Carbon Nanostructures—Silica Aerogel Composites for Adsorption of Organic Pollutants
Abstract
1. Introduction
2. Materials and Methods
2.1. Materials
2.2. Synthesis of Carbon Nanomaterial-Silica Aerogel Composites
2.3. Characterization
2.4. Adsorption Experiments
3. Results and Discussion
3.1. Silica Aerogels Selection Based on Preliminary Adsorption Tests
3.2. Properties of the Adsorbents
3.3. Study of Adsorption of Pollutants on the Selected Aerogels
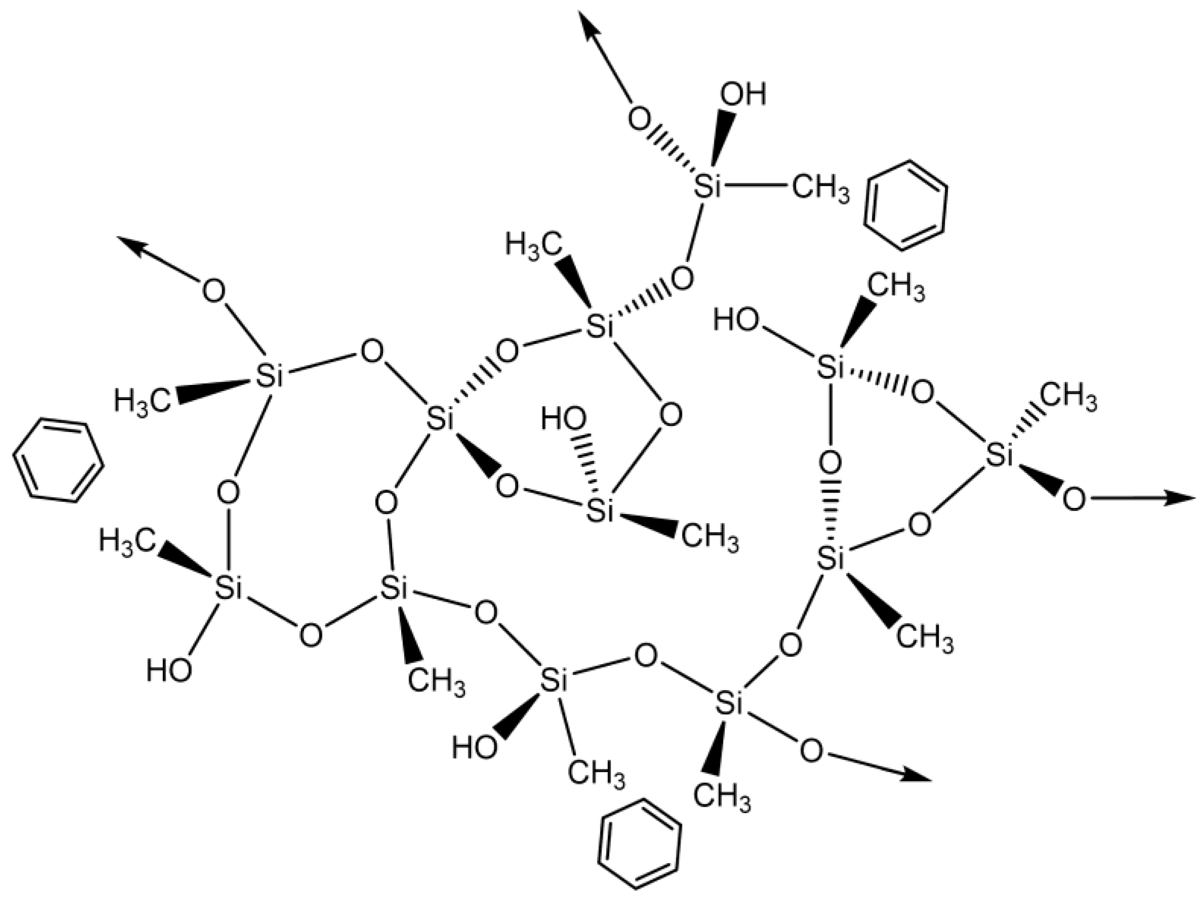
3.3.1. Benzene
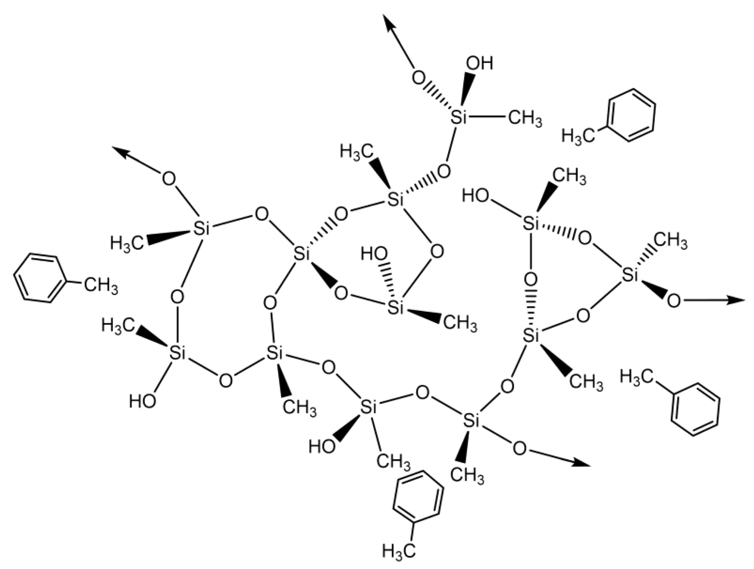
3.3.2. Toluene
3.3.3. Xylene
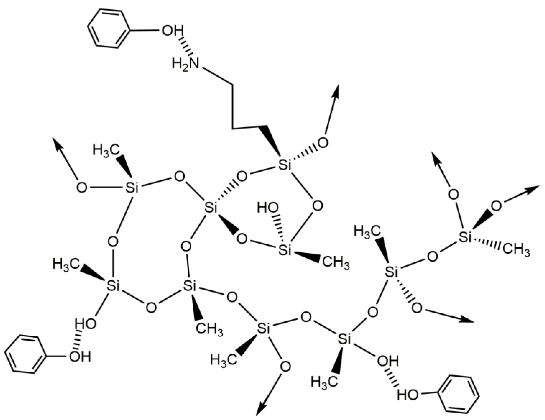
3.3.4. Phenol
3.3.5. Amoxicillin
3.3.6. Naproxen
4. Conclusions
Supplementary Materials
Author Contributions
Funding
Institutional Review Board Statement
Informed Consent Statement
Data Availability Statement
Conflicts of Interest
References
- Chen, C.; Li, F.; Zhang, Y.; Wang, B.; Fan, Y.; Wang, X.; Sun, R. Compressive, Ultralight and Fire-Resistant Lignin-Modified Graphene Aerogels as Recyclable Absorbents for Oil and Organic Solvents. Chem. Eng. J. 2018, 350, 173–180. [Google Scholar] [CrossRef]
- Nourmoradi, H.; Khiadani, M.; Nikaeen, M. Multi-Component Adsorption of Benzene, Toluene, Ethylbenzene, and Xylene from Aqueous Solutions by Montmorillonite Modified with Tetradecyl Trimethyl Ammonium Bromide. J. Chem. 2013, 2013, 589354. [Google Scholar] [CrossRef]
- Lima, L.F.; de Andrade, J.R.; da Silva, M.G.C.; Vieira, M.G.A. Fixed Bed Adsorption of Benzene, Toluene, and Xylene (BTX) Contaminants from Monocomponent and Multicomponent Solutions Using a Commercial Organoclay. Ind. Eng. Chem. Res. 2017, 56, 6326–6336. [Google Scholar] [CrossRef]
- Marques, J.; Matias, T.; Valente, A.J.M.; Portugal, A.; Quina, M.J.; Gando-Ferreira, L.; Durães, L. Adsorption of Phenol on Silica Aerogels Using a Stirred Tank and a Fixed Bed Column. Ciência Tecnol. dos Mater. 2017, 29, e229–e233. [Google Scholar] [CrossRef]
- Cesar Filho, M.C.; Matias, T.; Durães, L.; Valente, A.J.M. Efficient Simultaneous Removal of Petroleum Hydrocarbon Pollutants by a Hydrophobic Silica Aerogel-like Material. Colloids Surfaces A Physicochem. Eng. Asp. 2017, 520, 550–560. [Google Scholar] [CrossRef]
- Loomis, D.; Guyton, K.Z.; Grosse, Y.; El Ghissassi, F.; Bouvard, V.; Benbrahim-Tallaa, L.; Guha, N.; Vilahur, N.; Mattock, H.; Straif, K. Carcinogenicity of Benzene. Lancet Oncol. 2017, 18, 1574–1575. [Google Scholar] [CrossRef]
- Raza, W.; Lee, J.; Raza, N.; Luo, Y.; Kim, K.-H.; Yang, J. Removal of Phenolic Compounds from Industrial Waste Water Based on Membrane-Based Technologies. J. Ind. Eng. Chem. 2019, 71, 1–18. [Google Scholar] [CrossRef]
- Damjanović, L.; Rakić, V.; Rac, V.; Stošić, D.; Auroux, A. The Investigation of Phenol Removal from Aqueous Solutions by Zeolites as Solid Adsorbents. J. Hazard. Mater. 2010, 184, 477–484. [Google Scholar] [CrossRef]
- Fayemiwo, O.; Moothi, K.; Daramola, M. BTEX Compounds in Water–Future Trends and Directions for Water Treatment. Water Sa 2017, 43, 602–613. [Google Scholar] [CrossRef]
- Jaria, G.; Lourenco, M.A.O.; Silva, C.P.; Ferreira, P.; Otero, M.; Calisto, V.; Esteves, V.I. Effect of the Surface Functionalization of a Waste-Derived Activated Carbon on Pharmaceuticals’ Adsorption from Water. J. Mol. Liq. 2020, 299, 112098. [Google Scholar] [CrossRef]
- Modi, A.; Bellare, J. Amoxicillin Removal Using Polyethersulfone Hollow Fiber Membranes Blended with ZIF-L Nanoflakes and CGO Nanosheets: Improved Flux and Fouling-Resistance. J. Environ. Chem. Eng. 2020, 8, 103973. [Google Scholar] [CrossRef]
- Luján-Facundo, M.J.; Iborra-Clar, M.I.; Mendoza-Roca, J.A.; Alcaina-Miranda, M.I. Pharmaceutical Compounds Removal by Adsorption with Commercial and Reused Carbon Coming from a Drinking Water Treatment Plant. J. Clean. Prod. 2019, 238, 117866. [Google Scholar] [CrossRef]
- Hounfodji, J.W.; Kanhounnon, W.G.; Kpotin, G.; Atohoun, G.S.; Lainé, J.; Foucaud, Y.; Badawi, M. Molecular Insights on the Adsorption of Some Pharmaceutical Residues from Wastewater on Kaolinite Surfaces. Chem. Eng. J. 2021, 407, 127176. [Google Scholar] [CrossRef]
- Sui, Q.; Cao, X.; Lu, S.; Zhao, W.; Qiu, Z.; Yu, G. Occurrence, Sources and Fate of Pharmaceuticals and Personal Care Products in the Groundwater: A Review. Emerg. Contam. 2015, 1, 14–24. [Google Scholar] [CrossRef]
- Huerta-Fontela, M.; Galceran, M.T.; Ventura, F. Occurrence and Removal of Pharmaceuticals and Hormones through Drinking Water Treatment. Water Res. 2011, 45, 1432–1442. [Google Scholar] [CrossRef]
- Liu, L.; Cui, W.; Lu, C.; Zain, A.; Zhang, W.; Shen, G.; Hu, S.; Qian, X. Analyzing the Adsorptive Behavior of Amoxicillin on Four Zr-MOFs Nanoparticles: Functional Groups Dependence of Adsorption Performance and Mechanisms. J. Environ. Manag. 2020, 268, 110630. [Google Scholar] [CrossRef]
- Changanaqui, K.; Alarcon, H.; Brillas, E.; Sires, I. Blue LED Light-Driven Photoelectrocatalytic Removal of Naproxen from Water: Kinetics and Primary by-Products. J. Electroanal. Chem. 2020, 867, 114192. [Google Scholar] [CrossRef]
- Aydin, E.; Talinli, I. Analysis, Occurrence and Fate of Commonly Used Pharmaceuticals and Hormones in the Buyukcekmece Watershed, Turkey. Chemosphere 2013, 90, 2004–2012. [Google Scholar] [CrossRef]
- Deroco, P.B.; Rocha-Filho, R.C.; Fatibello-Filho, O. A New and Simple Method for the Simultaneous Determination of Amoxicillin and Nimesulide Using Carbon Black within a Dihexadecylphosphate Film as Electrochemical Sensor. Talanta 2018, 179, 115–123. [Google Scholar] [CrossRef]
- Valenga, M.G.P.; Felsner, M.L.; de Matos, C.F.; de Castro, E.G.; Galli, A. Development and Validation of Voltammetric Method for Determination of Amoxicillin in River Water. Anal. Chim. Acta 2020, 1138, 79–88. [Google Scholar] [CrossRef]
- Caliman, F.A.; Gavrilescu, M. Pharmaceuticals, Personal Care Products and Endocrine Disrupting Agents in the Environment–a Review. CLEAN–Soil Air Water 2009, 37, 277–303. [Google Scholar] [CrossRef]
- Sáenz-Roblero, B.; Durán, J.E.; Masís-Mora, M.; Ramírez-Morales, D.; Rodríguez-Rodríguez, C.E. Removal of Cimetidine, Ketoprofen and Naproxen by Heterogeneous Catalytic Ozonation over Volcanic Sand at Low PH. J. Water Process Eng. 2020, 37, 101461. [Google Scholar] [CrossRef]
- Mutiyar, P.K.; Mittal, A.K. Occurrences and Fate of an Antibiotic Amoxicillin in Extended Aeration-Based Sewage Treatment Plant in Delhi, India: A Case Study of Emerging Pollutant. Desalin. Water Treat. 2013, 51, 6158–6164. [Google Scholar] [CrossRef]
- Tran, N.H.; Reinhard, M.; Gin, K.Y.-H. Occurrence and Fate of Emerging Contaminants in Municipal Wastewater Treatment Plants from Different Geographical Regions-a Review. Water Res. 2018, 133, 182–207. [Google Scholar] [CrossRef]
- Verma, M.; Haritash, A.K. Photocatalytic Degradation of Amoxicillin in Pharmaceutical Wastewater: A Potential Tool to Manage Residual Antibiotics. Environ. Technol. Innov. 2020, 20, 101072. [Google Scholar] [CrossRef]
- Kurtulbaş, E.; Bilgin, M.; Şahin, S.; Bayazit, Ş.S. Comparison of Different Polymeric Resins for Naproxen Removal from Wastewater. J. Mol. Liq. 2017, 241, 633–637. [Google Scholar] [CrossRef]
- Lancheros, J.C.; Madera-Parra, C.A.; Caselles-Osorio, A.; Torres-López, W.A.; Vargas-Ramírez, X.M. Ibuprofen and Naproxen Removal from Domestic Wastewater Using a Horizontal Subsurface Flow Constructed Wetland Coupled to Ozonation. Ecol. Eng. 2019, 135, 89–97. [Google Scholar] [CrossRef]
- Wang, Y.; Lu, J.; Zhang, S.; Li, J.; Mao, L.; Yuan, Z.; Bond, P.L.; Guo, J. Non-Antibiotic Pharmaceuticals Can Enhance the Spread of Antibiotic Resistance via Conjugation. bioRxiv 2019. [Google Scholar] [CrossRef]
- Aksu, Z.; Tunç, Ö. Application of Biosorption for Penicillin G Removal: Comparison with Activated Carbon. Process Biochem. 2005, 40, 831–847. [Google Scholar] [CrossRef]
- Sehonova, P.; Svobodova, Z.; Dolezelova, P.; Vosmerova, P.; Faggio, C. Effects of Waterborne Antidepressants on Non-Target Animals Living in the Aquatic Environment: A Review. Sci. Total Environ. 2018, 631, 789–794. [Google Scholar] [CrossRef]
- Messina, P.V.; Schulz, P.C. Adsorption of Reactive Dyes on Titania–Silica Mesoporous Materials. J. Colloid Interface Sci. 2006, 299, 305–320. [Google Scholar] [CrossRef] [PubMed]
- Hashim, M.A.; Mukhopadhyay, S.; Sahu, J.N.; Sengupta, B. Remediation Technologies for Heavy Metal Contaminated Groundwater. J. Environ. Manag. 2011, 92, 2355–2388. [Google Scholar] [CrossRef] [PubMed]
- Fu, F.; Wang, Q. Removal of Heavy Metal Ions from Wastewaters: A Review. J. Environ. Manag. 2011, 92, 407–418. [Google Scholar] [CrossRef]
- Liu, C.; Liu, H.; Xu, A.; Tang, K.; Huang, Y.; Lu, C. In Situ Reduced and Assembled Three-Dimensional Graphene Aerogel for Efficient Dye Removal. J. Alloys Compd. 2017, 714, 522–529. [Google Scholar] [CrossRef]
- Vareda, J.P.; Valente, A.J.M.; Durães, L. Assessment of Heavy Metal Pollution from Anthropogenic Activities and Remediation Strategies: A Review. J. Environ. Manag. 2019, 246, 101–118. [Google Scholar] [CrossRef] [PubMed]
- Hashemi, M.S.H.; Eslami, F.; Karimzadeh, R. Organic Contaminants Removal from Industrial Wastewater by CTAB Treated Synthetic Zeolite Y. J. Environ. Manag. 2019, 233, 785–792. [Google Scholar] [CrossRef]
- Cashin, V.B.; Eldridge, D.S.; Yu, A.; Zhao, D. Surface Functionalization and Manipulation of Mesoporous Silica Adsorbents for Improved Removal of Pollutants: A Review. Environ. Sci. Water Res. Technol. 2018, 4, 110–128. [Google Scholar] [CrossRef]
- Maleki, H. Recent Advances in Aerogels for Environmental Remediation Applications: A Review. Chem. Eng. J. 2016, 300, 98–118. [Google Scholar] [CrossRef]
- Ge, M.; Liu, H. A Silsesquioxane-Based Thiophene-Bridged Hybrid Nanoporous Network as a Highly Efficient Adsorbent for Wastewater Treatment. J. Mater. Chem. A 2016, 4, 16714–16722. [Google Scholar] [CrossRef]
- Durães, L.; Maleki, H.; Vareda, J.P.; Lamy-Mendes, A.; Portugal, A. Exploring the Versatile Surface Chemistry of Silica Aerogels for Multipurpose Application. MRS Adv. 2017, 2, 3511–3519. [Google Scholar] [CrossRef]
- Zhao, W.; Zhu, J.; Wei, W.; Ma, L.; Zhu, J.; Xie, J. Comparative Study of Modified/Non-Modified Aluminum and Silica Aerogels for Anionic Dye Adsorption Performance. RSC Adv. 2018, 8, 29129–29140. [Google Scholar] [CrossRef] [PubMed]
- Štandeker, S.; Novak, Z.; Knez, Ž. Adsorption of Toxic Organic Compounds from Water with Hydrophobic Silica Aerogels. J. Colloid Interface Sci. 2007, 310, 362–368. [Google Scholar] [CrossRef]
- Sun, Z.; Zhao, Z.; Kong, Y.; Ren, J.; Jiang, X.; Shen, X. Auto-Continuous Synthesis of Robust and Hydrophobic Silica Aerogel Microspheres from Low-Cost Aqueous Sodium Silicate for Fast Dynamic Organics Removal. Gels 2022, 8, 778. [Google Scholar] [CrossRef] [PubMed]
- Qin, G.; Yao, Y.; Wei, W.; Zhang, T. Preparation of Hydrophobic Granular Silica Aerogels and Adsorption of Phenol from Water. Appl. Surf. Sci. 2013, 280, 806–811. [Google Scholar] [CrossRef]
- Aguado, J.; Arsuaga, J.M.; Arencibia, A.; Lindo, M.; Gascón, V. Aqueous Heavy Metals Removal by Adsorption on Amine-Functionalized Mesoporous Silica. J. Hazard. Mater. 2009, 163, 213–221. [Google Scholar] [CrossRef]
- Guo, X.; Shan, J.; Lai, Z.; Lei, W.; Ding, R.; Zhang, Y.; Yang, H. Facile Synthesis of Flexible Methylsilsesquioxane Aerogels with Surface Modifications for Sound- Absorbance, Fast Dye Adsorption and Oil/Water Separation. Molecules 2018, 23, 945. [Google Scholar] [CrossRef]
- Chenab, K.K.; Sohrabi, B.; Jafari, A.; Ramakrishna, S. Water Treatment: Functional Nanomaterials and Applications from Adsorption to Photodegradation. Mater. Today Chem. 2020, 16, 100262. [Google Scholar] [CrossRef]
- Smith, S.C.; Rodrigues, D.F. Carbon-Based Nanomaterials for Removal of Chemical and Biological Contaminants from Water: A Review of Mechanisms and Applications. Carbon N. Y. 2015, 91, 122–143. [Google Scholar] [CrossRef]
- Lamy-Mendes, A.; Torres, R.B.; Vareda, J.P.; Lopes, D.; Ferreira, M.; Valente, V.; Girão, A.V.; Valente, A.J.M.; Durães, L. Amine Modification of Silica Aerogels/Xerogels for Removal of Relevant Environmental Pollutants. Molecules 2019, 24, 3701. [Google Scholar] [CrossRef]
- Lamy-Mendes, A.; Girão, A.V.V.; Silva, R.F.F.; Durães, L. Polysilsesquioxane-Based Silica Aerogel Monoliths with Embedded CNTs. Microporous Mesoporous Mater. 2019, 288, 109575. [Google Scholar] [CrossRef]
- Lamy-Mendes, A.; Malfait, W.J.; Sadeghpour, A.; Girão, A.V.; Silva, R.F.; Durães, L. Influence of 1D and 2D Carbon Nanostructures in Silica-Based Aerogels. Carbon N. Y. 2021, 180, 146–162. [Google Scholar] [CrossRef]
- Su, F.; Lu, C.; Hu, S. Adsorption of Benzene, Toluene, Ethylbenzene and p-Xylene by NaOCl-Oxidized Carbon Nanotubes. Colloids Surf. A Physicochem. Eng. Asp. 2010, 353, 83–91. [Google Scholar] [CrossRef]
- Farsouni Eydi, E.; Shariati, A.; Khosravi-Nikou, M.R. Separation of BTEX Compounds (Benzene, Toluene, Ethylbenzene and Xylenes) from Aqueous Solutions Using Adsorption Process. J. Dispers. Sci. Technol. 2019, 40, 453–463. [Google Scholar] [CrossRef]
- Handayani, S.; Safitri, R.; Surono, W.; Astika, H.; Damayanti, R.; Agung, M. Biodegradation of BTEX by Indigenous Microorganisms Isolated from UCG Project Area, South Sumatra. In IOP Conference Series: Earth and Environmental Science; IOP Publishing: Bristol, UK, 2019; Volume 308, p. 12017. [Google Scholar]
- Al-Ghouti, M.A.; Da’ana, D.A. Guidelines for the Use and Interpretation of Adsorption Isotherm Models: A Review. J. Hazard. Mater. 2020, 393, 122383. [Google Scholar] [CrossRef]
- Vareda, J.P.; Valente, A.J.M.; Durães, L. Heavy Metals in Iberian Soils: Removal by Current Adsorbents/Amendments and Prospective for Aerogels. Adv. Colloid Interface Sci. 2016, 237, 28–42. [Google Scholar] [CrossRef]
- Zhang, L.; Zeng, Y.; Cheng, Z. Removal of Heavy Metal Ions Using Chitosan and Modified Chitosan: A Review. J. Mol. Liq. 2016, 214, 175–191. [Google Scholar] [CrossRef]
- Foo, K.Y.; Hameed, B.H. Insights into the Modeling of Adsorption Isotherm Systems. Chem. Eng. J. 2010, 156, 2–10. [Google Scholar] [CrossRef]
- Shen, Y.; Zhang, N. Facile Synthesis of Porous Carbons from Silica-Rich Rice Husk Char for Volatile Organic Compounds (VOCs) Sorption. Bioresour. Technol. 2019, 282, 294–300. [Google Scholar] [CrossRef]
- Cesar Filho, M.C.; Bueno, P.V.A.; Matsushita, A.F.Y.; Rubira, A.F.; Muniz, E.C.; Durães, L.; Murtinho, D.M.B.; Valente, A.J.M. Synthesis, Characterization and Sorption Studies of Aromatic Compounds by Hydrogels of Chitosan Blended with β-Cyclodextrin-and PVA-Functionalized Pectin. RSC Adv. 2018, 8, 14609–14622. [Google Scholar] [CrossRef]
- Burnham, K.P.; Anderson, D.R. Multimodel Inference: Understanding AIC and BIC in Model Selection. Sociol. Methods Res. 2004, 33, 261–304. [Google Scholar] [CrossRef]
- Mazerolle, M. Improving Data Analysis in Herpetology: Using Akaike’s Information Criterion (AIC) to Assess the Strength of Biological Hypotheses. Amphibia-Reptilia 2006, 27, 169–180. [Google Scholar] [CrossRef]
- Pierre, A.C.; Rigacci, A. SiO2 Aerogels. In Aerogels Handbook; Springer: Berlin/Heidelberg, Germany, 2011; pp. 21–45. [Google Scholar]
- Fabozzi, F.J.; Focardi, S.M.; Rachev, S.T.; Arshanapalli, B.G. The Basics of Financial Econometrics: Tools, Concepts, and Asset Management Applications; John Wiley & Sons: Hoboken, NJ, USA, 2014. [Google Scholar]
- Perdigoto, M.L.N.; Martins, R.C.; Rocha, N.; Quina, M.J.; Gando-Ferreira, L.; Patrício, R.; Durães, L. Application of Hydrophobic Silica Based Aerogels and Xerogels for Removal of Toxic Organic Compounds from Aqueous Solutions. J. Colloid Interface Sci. 2012, 380, 134–140. [Google Scholar] [CrossRef] [PubMed]
- Lu, C.; Su, F.; Hu, S. Surface Modification of Carbon Nanotubes for Enhancing BTEX Adsorption from Aqueous Solutions. Appl. Surf. Sci. 2008, 254, 7035–7041. [Google Scholar]
- Mohammadi, L.; Bazrafshan, E.; Noroozifar, M.; Ansari-Moghaddam, A.; Barahuie, F.; Balarak, D. Adsorptive Removal of Benzene and Toluene from Aqueous Environments by Cupric Oxide Nanoparticles: Kinetics and Isotherm Studies. J. Chem. 2017, 2017, 2069519. [Google Scholar] [CrossRef]
- Ravindran, C.; Kunnathulli, A.P.P.; Maniath, J.K. Polyvinyl Alcohol-Polyvinylpyrrolidone-Hydroxy Apatite (PVA-PVP-Hap) Membrane for Effective Removal of Benzene from Aqueous Solutions: -Kinetic, Isotherm, and Thermodynamic Studies. Mater. Today Proc. 2022, 66, 2422–2430. [Google Scholar] [CrossRef]
- Yang, Z.; Liu, J.; Yao, X.; Rui, Z.; Ji, H. Efficient Removal of BTEX from Aqueous Solution by β-Cyclodextrin Modified Poly (Butyl Methacrylate) Resin. Sep. Purif. Technol. 2016, 158, 417–421. [Google Scholar] [CrossRef]
- Moreira da Costa, L.; Stoyanov, S.R.; Gusarov, S.; Seidl, P.R.; Carneiro, J.W.d.M.; Kovalenko, A. Computational Study of the Effect of Dispersion Interactions on the Thermochemistry of Aggregation of Fused Polycyclic Aromatic Hydrocarbons as Model Asphaltene Compounds in Solution. J. Phys. Chem. A 2014, 118, 896–908. [Google Scholar] [CrossRef]
- Pourzamani, H.; Hajizadeh, Y.; Fadaei, S. Efficiency Enhancement of Multi-Walled Carbon Nanotubes by Ozone for Benzene Removal from Aqueous Solution. Int. J. Environ. Health Eng. 2015, 4, 29. [Google Scholar]
- Tian, M.-J.; Liao, F.; Ke, Q.-F.; Guo, Y.-J.; Guo, Y.-P. Synergetic Effect of Titanium Dioxide Ultralong Nanofibers and Activated Carbon Fibers on Adsorption and Photodegradation of Toluene. Chem. Eng. J. 2017, 328, 962–976. [Google Scholar] [CrossRef]
- Yu, F.; Wu, Y.; Li, X.; Ma, J. Kinetic and Thermodynamic Studies of Toluene, Ethylbenzene, and m-Xylene Adsorption from Aqueous Solutions onto KOH-Activated Multiwalled Carbon Nanotubes. J. Agric. Food Chem. 2012, 60, 12245–12253. [Google Scholar] [CrossRef]
- Khamizov, R.K.; Sveshnikova, D.A.; Kucherova, A.E.; Sinyaeva, L.A. Kinetic Models of Batch Sorption in a Limited Volume. Russ. J. Phys. Chem. A 2018, 92, 1782–1789. [Google Scholar] [CrossRef]
- Wang, D.; McLaughlin, E.; Pfeffer, R.; Lin, Y.S. Aqueous Phase Adsorption of Toluene in a Packed and Fluidized Bed of Hydrophobic Aerogels. Chem. Eng. J. 2011, 168, 1201–1208. [Google Scholar] [CrossRef]
- Yu, F.; Ma, J.; Wang, J.; Zhang, M.; Zheng, J. Magnetic Iron Oxide Nanoparticles Functionalized Multi-Walled Carbon Nanotubes for Toluene, Ethylbenzene and Xylene Removal from Aqueous Solution. Chemosphere 2016, 146, 162–172. [Google Scholar] [CrossRef] [PubMed]
- Kyzas, G.Z.; McKay, G.; Al-Musawi, T.J.; Salehi, S.; Balarak, D. Removal of Benzene and Toluene from Synthetic Wastewater by Adsorption onto Magnetic Zeolitic Imidazole Framework Nanocomposites. Nanomaterials 2022, 12, 3049. [Google Scholar] [CrossRef] [PubMed]
- Zou, W.; Gao, B.; Ok, Y.S.; Dong, L. Integrated Adsorption and Photocatalytic Degradation of Volatile Organic Compounds (VOCs) Using Carbon-Based Nanocomposites: A Critical Review. Chemosphere 2019, 218, 845–859. [Google Scholar] [CrossRef]
- Ye, C.; Lu, P.; Jiang, X.; Wu, C.; Qiu, T.; Li, Y. Synthesis and Adsorption Behavior of a Magnetic ZSM Zeolite for the Selective Removal of P-Xylene from Complex Aqueous Media. Chem. Eng. Process. Intensif. 2020, 153, 107961. [Google Scholar] [CrossRef]
- Pourzamani, H.; Parastar, S.; Hashemi, M. The Elimination of Xylene from Aqueous Solutions Using Single Wall Carbon Nanotube and Magnetic Nanoparticle Hybrid Adsorbent. Process Saf. Environ. Prot. 2017, 109, 688–696. [Google Scholar] [CrossRef]
- Bandura, L.; Kołodyńska, D.; Franus, W. Adsorption of BTX from Aqueous Solutions by Na-P1 Zeolite Obtained from Fly Ash. Process Saf. Environ. Prot. 2017, 109, 214–223. [Google Scholar] [CrossRef]
- Matias, T.; Marques, J.; Conceição, F.; Maleki, H.; Quina, M.J.; Gando-Ferreira, L.; Valente, A.J.M.; Portugal, A.; Durães, L. Towards Improved Adsorption of Phenolic Compounds by Surface Chemistry Tailoring of Silica Aerogels. J. Sol-Gel Sci. Technol. 2017, 84, 409–421. [Google Scholar] [CrossRef]
- Vázquez, I.; Rodríguez-Iglesias, J.; Maranon, E.; Castrillon, L.; Alvarez, M. Removal of Residual Phenols from Coke Wastewater by Adsorption. J. Hazard. Mater. 2007, 147, 395–400. [Google Scholar] [CrossRef]
- Ouallal, H.; Dehmani, Y.; Moussout, H.; Messaoudi, L.; Azrour, M. Kinetic, Isotherm and Mechanism Investigations of the Removal of Phenols from Water by Raw and Calcined Clays. Heliyon 2019, 5, e01616. [Google Scholar] [CrossRef] [PubMed]
- Bahdod, A.; El Asri, S.; Saoiabi, A.; Coradin, T.; Laghzizil, A. Adsorption of Phenol from an Aqueous Solution by Selected Apatite Adsorbents: Kinetic Process and Impact of the Surface Properties. Water Res. 2009, 43, 313–318. [Google Scholar] [CrossRef] [PubMed]
- Catherine, H.N.; Tan, K.-H.; Shih, Y.; Doong, R.; Manu, B.; Ding, J. Surface Interaction of Tetrabromobisphenol A, Bisphenol A and Phenol with Graphene-Based Materials in Water: Adsorption Mechanism and Thermodynamic Effects. J. Hazard. Mater. Adv. 2023, 9, 100227. [Google Scholar] [CrossRef]
- Dehmani, Y.; Alrashdi, A.A.; Lgaz, H.; Lamhasni, T.; Abouarnadasse, S.; Chung, I.-M. Removal of Phenol from Aqueous Solution by Adsorption onto Hematite (α-Fe2O3): Mechanism Exploration from Both Experimental and Theoretical Studies. Arab. J. Chem. 2020, 13, 5474–5486. [Google Scholar] [CrossRef]
- Pouretedal, H.R.; Sadegh, N. Effective Removal of Amoxicillin, Cephalexin, Tetracycline and Penicillin G from Aqueous Solutions Using Activated Carbon Nanoparticles Prepared from Vine Wood. J. Water Process Eng. 2014, 1, 64–73. [Google Scholar] [CrossRef]
- De Franco, M.A.E.; de Carvalho, C.B.; Bonetto, M.M.; de Pelegrini Soares, R.; Féris, L.A. Removal of Amoxicillin from Water by Adsorption onto Activated Carbon in Batch Process and Fixed Bed Column: Kinetics, Isotherms, Experimental Design and Breakthrough Curves Modelling. J. Clean. Prod. 2017, 161, 947–956. [Google Scholar] [CrossRef]
- Ren, L.; Zhou, D.; Wang, J.; Zhang, T.; Peng, Y.; Chen, G. Biomaterial-Based Flower-like MnO2@ Carbon Microspheres for Rapid Adsorption of Amoxicillin from Wastewater. J. Mol. Liq. 2020, 309, 113074. [Google Scholar] [CrossRef]
- Li, Y.; Shi, M.; Xia, M.; Wang, F. The Enhanced Adsorption of Ampicillin and Amoxicillin on Modified Montmorillonite with Dodecyl Dimethyl Benzyl Ammonium Chloride: Experimental Study and Density Functional Theory Calculation. Adv. Powder Technol. 2021, 32, 3465–3475. [Google Scholar] [CrossRef]
- Moussavi, G.; Alahabadi, A.; Yaghmaeian, K.; Eskandari, M. Preparation, Characterization and Adsorption Potential of the NH4Cl-Induced Activated Carbon for the Removal of Amoxicillin Antibiotic from Water. Chem. Eng. J. 2013, 217, 119–128. [Google Scholar] [CrossRef]
- İlbay, Z.; Şahin, S.; Kerkez, Ö.; Bayazit, Ş.S. Isolation of Naproxen from Wastewater Using Carbon-Based Magnetic Adsorbents. Int. J. Environ. Sci. Technol. 2015, 12, 3541–3550. [Google Scholar] [CrossRef]
- Rafati, L.; Ehrampoush, M.H.; Rafati, A.A.; Mokhtari, M.; Mahvi, A.H. Modeling of Adsorption Kinetic and Equilibrium Isotherms of Naproxen onto Functionalized Nano-Clay Composite Adsorbent. J. Mol. Liq. 2016, 224, 832–841. [Google Scholar] [CrossRef]
- Baccar, R.; Sarrà, M.; Bouzid, J.; Feki, M.; Blánquez, P. Removal of Pharmaceutical Compounds by Activated Carbon Prepared from Agricultural By-Product. Chem. Eng. J. 2012, 211, 310–317. [Google Scholar] [CrossRef]
- Domínguez-Vargas, J.R.; Gonzalez, T.; Palo, P.; Cuerda-Correa, E.M. Removal of Carbamazepine, Naproxen, and Trimethoprim from Water by Amberlite XAD-7: A Kinetic Study. CLEAN–Soil Air Water 2013, 41, 1052–1061. [Google Scholar] [CrossRef]
- Njaramba, L.K.; Kim, M.; Yea, Y.; Yoon, Y.; Park, C.M. Efficient Adsorption of Naproxen and Ibuprofen by Gelatin/Zirconium-Based Metal–Organic Framework/Sepiolite Aerogels via Synergistic Mechanisms. Chem. Eng. J. 2023, 452, 139426. [Google Scholar] [CrossRef]
- Yu, Z.; Peldszus, S.; Huck, P.M. Adsorption Characteristics of Selected Pharmaceuticals and an Endocrine Disrupting Compound—Naproxen, Carbamazepine and Nonylphenol—On Activated Carbon. Water Res. 2008, 42, 2873–2882. [Google Scholar] [CrossRef] [PubMed]
- Madikizela, L.M.; Chimuka, L. Synthesis, Adsorption and Selectivity Studies of a Polymer Imprinted with Naproxen, Ibuprofen and Diclofenac. J. Environ. Chem. Eng. 2016, 4, 4029–4037. [Google Scholar] [CrossRef]















| Removal Efficiency (%) | |||||
|---|---|---|---|---|---|
| Pollutant | C0 (mg⋅L−1) | MTMS | 90MTMS/10APTMS | ||
| 0.83 wt.% | 4.0 wt.% | 0.83 wt.% | 4.0 wt.% | ||
| Benzene | 200 | 72.1 ± 2.1 | 51.0 ± 1.4 [49] | 50.0 ± 2.0 | 15.4 ± 1.6 [49] |
| Toluene | 200 | 81.1 ± 0.7 | 68.9 ± 2.3 | 48.7 ± 2.4 | 51.7 ± 1.9 |
| Xylene | 200 | 96.9 ± 1.4 | 86.7 ± 0.1 | 66.9 ± 0.8 | 74.8 ± 0.7 |
| Phenol | 200 | 20.0 ± 2.4 | 8.4 ± 0.8 [49] | 25.9 ± 1.2 | 19.1 ± 0.9 [49] |
| Amoxicillin | 25 | 5.3 ± 2.0 | 5.0 ± 2.3 | 15.6 ± 1.3 | 19.4 ± 2.5 |
| Naproxen | 25 | 84.2 ± 0.7 | 69.0 ± 0.9 | 79.0 ± 1.8 | 93.8 ± 0.3 |
| Samples | Bulk Density (kg⋅m−3) | Porosity (%) | Pore Volume (cm3⋅g−1) | Specific Surface Area (m2⋅g−1) | Average Pore Size (nm) |
|---|---|---|---|---|---|
| 100M | 75.6 ± 2.8 | 94.8 ± 0.1 | 12.5 ± 0.5 | 444.6 ± 4.3 | 112.9 ± 3.4 |
| 100M_CNT-HNO3_10 | 73.1 ± 2.8 | 93.9 ± 0.3 | 12.8 ± 0.7 | 465.4 ± 5.7 | 110.4 ± 7.7 |
| 100M_CNT-TMOS_10 | 61.3 ± 5.3 | 95.8 ± 0.2 | 15.6 ± 1.4 | 463.4 ± 4.5 | 134.9 ± 10.1 |
| 90M10A | 79.3 ± 11.1 | 94.6 ± 0.7 | 11.9 ± 1.8 | 11.3 ± 0.2 | 4221 ± 546 |
| 90M10A_ CNT-HNO3_10 | 76.3 ± 2.5 | 95.2 ± 0.1 | 12.5 ± 0.4 | 293.7 ± 3.0 | 170.0 ± 7.3 |
| 90M10A_CNT-TMOS_10 | 76.2 ± 5.6 | 95.1 ± 0.3 | 12.5 ± 1.0 | 18.4 ± 0.3 | 2713 ± 180 |
| 90M10A | 83.0 ± 2.8 | 93.9 ± 0.2 | 11.3 ± 0.4 | 5.02 ± 0.9 | 9021 ± 1929 |
| 90M10A_GO_10 | 79.2 ± 1.2 | 94.3 ± 0.1 | 11.9 ± 0.2 | 11.2 ± 0.2 | 4250 ± 140 |
| Removal Efficiency (%) | ||||
|---|---|---|---|---|
| C0 = 50 mg⋅L−1 | C0 = 100 mg⋅L−1 | C0 = 200 mg⋅L−1 | C0 = 400 mg⋅L−1 | |
| 100M_CNT-TMOS_10 | 85.2 ± 1.3 | 86.4 ± 1.4 | 80.2 ± 0.7 | 70.1 ± 0.3 |
| 100M_CNT-TMOS_50 | 88.5 ± 0.2 | 92.8 ± 0.3 | 85.6 ± 0.1 | 71.9 ± 0.5 |
| 100M_CNT-HNO3_10 | 91.7 ± 0.4 | 91.8 ± 0.4 | 89.4 ± 1.3 | 71.9 ± 1.7 |
| 100M_CNT-HNO3_50 | 91.9 ± 0.3 | 90.6 ± 0.9 | 85.0 ± 0.8 | 70.7 ± 0.5 |
| Removal Efficiency (%) | ||||
|---|---|---|---|---|
| C0 = 50 mg⋅L−1 | C0 = 100 mg⋅L−1 | C0 = 200 mg⋅L−1 | C0 = 400 mg⋅L−1 | |
| 100M_CNT-TMOS_10 | 99.5 ± 0.1 | 99.7 ± 0.1 | 96.2 ± 0.4 | 73.7 ± 2.6 |
| 100M_CNT-TMOS_50 | 98.7 ± 0.3 | 99.0 ± 0.1 | 98.9 ± 0.1 | 76.4 ± 0.3 |
| 100M_CNT-HNO3_10 | 96.7 ± 0.1 | 97.4 ± 0.6 | 97.7 ± 0.2 | 81.3 ± 1.7 |
| 100M_CNT-HNO3_50 | 98.2 ± 0.3 | 99.1 ± 0.2 | 97.9 ± 0.1 | 73.0 ± 1.2 |
| Removal Efficiency (%) | ||||
|---|---|---|---|---|
| C0 = 50 mg⋅L−1 | C0 = 100 mg⋅L−1 | C0 = 200 mg⋅L−1 | C0 = 400 mg⋅L−1 | |
| 90M10A_CNT-TMOS_10 | 32.4 ± 0.9 | 31.3 ± 2.4 | 28.2 ± 2.3 | 17.2 ± 2.2 |
| 90M10A_CNT-TMOS_50 | 30.6 ± 1.0 | 26.4 ± 0.6 | 24.2 ± 1.1 | 21.0 ± 1.1 |
| 90M10A_CNT-HNO3_10 | 31.9 ± 0.8 | 29.0 ± 2.7 | 24.2 ± 2.2 | 15.6 ± 1.3 |
| 90M10A_CNT-HNO3_50 | 30.9 ± 0.4 | 28.3 ± 1.9 | 23.8 ± 1.2 | 21.3 ± 0.6 |
| Removal Efficiency (%) | ||||
|---|---|---|---|---|
| C0 = 10 mg⋅L−1 | C0 = 20 mg⋅L−1 | C0 = 25 mg⋅L−1 | C0 = 50 mg⋅L−1 | |
| 80M20A_CNT-TMOS_10 | 92.3 ± 2.3 | 83.9 ± 1.1 | 82.8 ± 1.1 | 78.2 ± 0.7 |
| 80M20A_CNT-TMOS_50 | 93.4 ± 0.6 | 93.8 ± 0.6 | 92.1 ± 0.5 | 77.3 ± 0.4 |
| 80M20A_GO_10 | 91.8 ± 1.2 | 81.6 ± 0.9 | 79.8 ± 0.3 | 73.8 ± 1.5 |
| 80M20A_GO_50 | 89.0 ± 4.3 | 83.6 ± 1.7 | 80.7 ± 0.3 | 71.5 ± 1.3 |
| Removal Efficiency (%) | ||||
|---|---|---|---|---|
| C0 = 10 mg⋅L−1 | C0 = 20 mg⋅L−1 | C0 = 25 mg⋅L−1 | C0 = 50 mg⋅L−1 | |
| 100M_CNT-TMOS_10 | 92.4 ± 1.6 | 89.9 ± 0.3 | 91.3 ± 0.1 | 92.1 ± 0.4 |
| 100M_CNT-TMOS_50 | 84.7 ± 0.5 | 87.5 ± 0.4 | 89.1 ± 0.8 | 89.3 ± 0.7 |
| 100M_CNT-HNO3_10 | 88.2 ± 0.4 | 93.1 ± 0.2 | 93.5 ± 0.2 | 94.8 ± 0.1 |
| 100M_CNT-HNO3_50 | 88.5 ± 1.1 | 90.1 ± 0.6 | 89.6 ± 0.9 | 91.6 ± 0.6 |
| 90M10A_GO_10 | 94.0 ± 0.6 | 95.3 ± 0.3 | 96.2 ± 0.8 | 98.2 ± 0.4 |
| 90M10A_GO_50 | 97.2 ± 2.9 | 96.2 ± 0.6 | 96.4 ± 0.4 | 98.9 ± 0.1 |
Disclaimer/Publisher’s Note: The statements, opinions and data contained in all publications are solely those of the individual author(s) and contributor(s) and not of MDPI and/or the editor(s). MDPI and/or the editor(s) disclaim responsibility for any injury to people or property resulting from any ideas, methods, instructions or products referred to in the content. |
© 2023 by the authors. Licensee MDPI, Basel, Switzerland. This article is an open access article distributed under the terms and conditions of the Creative Commons Attribution (CC BY) license (https://creativecommons.org/licenses/by/4.0/).
Share and Cite
Lamy-Mendes, A.; Lopes, D.; Girão, A.V.; Silva, R.F.; Malfait, W.J.; Durães, L. Carbon Nanostructures—Silica Aerogel Composites for Adsorption of Organic Pollutants. Toxics 2023, 11, 232. https://doi.org/10.3390/toxics11030232
Lamy-Mendes A, Lopes D, Girão AV, Silva RF, Malfait WJ, Durães L. Carbon Nanostructures—Silica Aerogel Composites for Adsorption of Organic Pollutants. Toxics. 2023; 11(3):232. https://doi.org/10.3390/toxics11030232
Chicago/Turabian StyleLamy-Mendes, Alyne, David Lopes, Ana V. Girão, Rui F. Silva, Wim J. Malfait, and Luísa Durães. 2023. "Carbon Nanostructures—Silica Aerogel Composites for Adsorption of Organic Pollutants" Toxics 11, no. 3: 232. https://doi.org/10.3390/toxics11030232
APA StyleLamy-Mendes, A., Lopes, D., Girão, A. V., Silva, R. F., Malfait, W. J., & Durães, L. (2023). Carbon Nanostructures—Silica Aerogel Composites for Adsorption of Organic Pollutants. Toxics, 11(3), 232. https://doi.org/10.3390/toxics11030232

