Glyphosate and AMPA in Human Urine of HBM4EU Aligned Studies: Part A Children
Abstract
:1. Introduction
2. Methods
2.1. Data
2.2. Statistics—Identifying Determinants of Exposure
2.3. Risk Assessment
3. Results and Discussion
3.1. Exposure
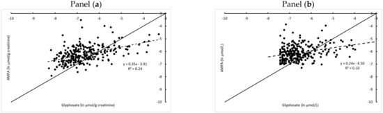
3.2. AMPA to Glyphosate Ratio (AMPA/Gly)
3.3. Risk Assessment (RA)
3.4. Exposure Determinants
4. Conclusions
Supplementary Materials
Author Contributions
Funding
Institutional Review Board Statement
Informed Consent Statement
Data Availability Statement
Acknowledgments
Conflicts of Interest
References
- EFSA. Conclusion of the Peer Review of the Pesticide Risk Assessment of the Active Substance Glyphosate. EFSA J. 2015, 13, 4302. [Google Scholar] [CrossRef]
- JMPR. Pesticide Residues in Food 2019-Evaluations 2019 Part I-Residues. In Proceedings of the EXTRA Joint FAO/WHO Meeting 2019, Gatineau, QC, Canada, 7–17 May 2019. [Google Scholar]
- Grandcoin, A.; Piel, S.; Baurès, E. AminoMethylPhosphonic Acid (AMPA) in Natural Waters: Its Sources, Behavior and Environmental Fate. Water Res. 2017, 117, 187–197. [Google Scholar] [CrossRef] [PubMed]
- Jayasumana, C.; Gunatilake, S.; Siribaddana, S. Simultaneous Exposure to Multiple Heavy Metals and Glyphosate May Contribute to Sri Lankan Agricultural Nephropathy. BMC Nephrol. 2015, 16, 1–8. [Google Scholar] [CrossRef] [PubMed]
- Tarazona, J.V.; Court-Marques, D.; Tiramani, M.; Reich, H.; Pfeil, R.; Istace, F.; Crivellente, F. Glyphosate Toxicity and Carcinogenicity: A Review of the Scientific Basis of the European Union Assessment and Its Differences with IARC. Arch. Toxicol. 2017, 91, 2723–2743. [Google Scholar] [CrossRef]
- De Araújo-Ramos, A.T.; Passoni, M.T.; Romano, M.A.; Romano, R.M.; Martino-Andrade, A.J. Controversies on Endocrine and Reproductive Effects of Glyphosate and Glyphosate-Based Herbicides: A Mini-Review. Front. Endocrinol. 2021, 12, 627210. [Google Scholar] [CrossRef]
- Silver, M.K.; Fernandez, J.; Tang, J.; McDade, A.; Sabino, J.; Rosario, Z.; Vega, C.V.; Alshawabkeh, A.; Cordero, J.F.; Meeker, J.D. Prenatal Exposure to Glyphosate and Its Environmental Degradate, Aminomethylphosphonic Acid (AMPA), and Preterm Birth: A Nested Case-Control Study in the PROTECT Cohort (Puerto Rico). Environ. Health Perspect. 2021, 129, 057011. [Google Scholar] [CrossRef]
- Parvez, S.; Gerona, R.R.; Proctor, C.; Friesen, M.; Ashby, J.L.; Reiter, J.L.; Lui, Z.; Winchester, P.D. Glyphosate Exposure in Pregnancy and Shortened Gestational Length: A Prospective Indiana Birth Cohort Study. Environ. Health 2018, 17, 23. [Google Scholar] [CrossRef]
- Lesseur, C.; Pathak, K.V.; Pirrotte, P.; Martinez, M.N.; Ferguson, K.K.; Barrett, E.S.; Nguyen, R.H.N.; Sathyanarayana, S.; Mandrioli, D.; Swan, S.H.; et al. Urinary Glyphosate Concentration in Pregnant Women in Relation to Length of Gestation. Environ. Res. 2021, 203, 111811. [Google Scholar] [CrossRef]
- Lesseur, C.; Pirrotte, P.; Pathak, K.V.; Manservisi, F.; Mandrioli, D.; Belpoggi, F.; Panzacchi, S.; Li, Q.; Barrett, E.S.; Nguyen, R.H.N.; et al. Maternal Urinary Levels of Glyphosate during Pregnancy and Anogenital Distance in Newborns in a US Multicenter Pregnancy Cohort. Environ. Pollut. 2021, 280, 117002. [Google Scholar] [CrossRef]
- Glyphosate: No Change Proposed to Hazard Classification. Available online: https://echa.europa.eu/-/glyphosate-no-change-proposed-to-hazard-classification#:~:text=ECHA’sCommitteeforRiskAssessment,acarcinogenisnotjustified (accessed on 2 June 2022).
- Makris, K.C.; Efthymiou, N.; Konstantinou, C.; Anastasi, E.; Schoeters, G.; Kolossa-Gehring, M.; Katsonouri, A. Oxidative Stress of Glyphosate, AMPA and Metabolites of Pyrethroids and Chlorpyrifos Pesticides among Primary School Children in Cyprus. Environ. Res. 2022, 212, 113316. [Google Scholar] [CrossRef]
- Davoren, M.J.; Schiestl, R.H. Glyphosate-Based Herbicides and Cancer Risk: A Post-IARC Decision Review of Potential Mechanisms, Policy and Avenues of Research. Carcinogenesis 2018, 39, 1207–1215. [Google Scholar] [CrossRef]
- Ganzleben, C.; Antignac, J.-P.; Barouki, R.; Castaño, A.; Fiddicke, U.; Klánová, J.; Lebret, E.; Olea, N.; Sarigiannis, D.; Schoeters, G.R.; et al. Human Biomonitoring as a Tool to Support Chemicals Regulation in the European Union. Int. J. Hyg. Environ. Health 2017, 220, 94–97. [Google Scholar] [CrossRef]
- Gilles, L.; Govarts, E.; Rambaud, L.; Vogel, N.; Castaño, A.; Esteban López, M.; Rodriguez Martin, L.; Koppen, G.; Remy, S.; Vrijheid, M.; et al. HBM4EU Combines and Harmonises Human Biomonitoring Data across the EU, Building on Existing Capacity—The HBM4EU Survey. Int. J. Hyg. Environ. Health 2021, 237, 113809. [Google Scholar] [CrossRef]
- Gilles, L.; Govarts, E.; Rodriguez Martin, L.; Andersson, A.-M.; Appenzeller, B.M.R.; Barbone, F.; Castaño, A.; Coertjens, D.; Den Hond, E.; Dzhedzheia, V.; et al. Harmonisation of Human Biomonitoring Studies in Europe: Characteristics of the HBM4EU Aligned Studies Participants. Int. J. Environ. Res. Public Health 2022, 19, 6787. [Google Scholar] [CrossRef]
- Esteban López, M.; Göen, T.; Mol, H.; Nübler, S.; Haji-Abbas-Zarrabi, K.; Koch, H.M.; Kasper-Sonnenberg, M.; Dvorakova, D.; Hajslova, J.; Antignac, J.P.; et al. The European Human Biomonitoring Platform—Design and Implementation of a Laboratory Quality Assurance/Quality Control (QA/QC) Programme for Selected Priority Chemicals. Int. J. Hyg. Environ. Health 2021, 234, 113740. [Google Scholar] [CrossRef]
- González-Alzaga, B.; Hernández, A.F.; Kim Pack, L.; Iavicoli, I.; Tolonen, H.; Santonen, T.; Vinceti, M.; Filippini, T.; Moshammer, H.; Probst-Hensch, N.; et al. The Questionnaire Design Process in the European Human Biomonitoring Initiative (HBM4EU). Environ. Int. 2022, 160, 107071. [Google Scholar] [CrossRef]
- Sarigiannis, D.; Horvat, M. Report on the Optimal Methodology for Exposure Reconstruction from HBM Data Deliverable Report D 12.2 HBM4EU. 2018. Available online: https://www.hbm4eu.eu/work-packages/deliverable-12-2-report-on-the-optimal-methodology-for-exposure-reconstruction-from-hbm-data/ (accessed on 2 June 2022).
- EFSA. EFSA–Renewal Assessment Report–Open for Consultation; EFSA: Parma, Italy, 2021. [Google Scholar]
- Zoller, O.; Rhyn, P.; Zarn, J.A.; Dudler, V. Urine Glyphosate Level as a Quantitative Biomarker of Oral Exposure. Int. J. Hyg. Environ. Health 2020, 228, 113526. [Google Scholar] [CrossRef]
- Connolly, A.; Coggins, M.A.; Koch, H.M. Human Biomonitoring of Glyphosate Exposures: State-of-the-Art and Future Research Challenges. Toxics 2020, 8, 32824707. [Google Scholar] [CrossRef]
- Arpilleda, J.C. Evidence-Based Management of Pediatric Genitourinary Tract Injuries in the ED (Trauma CME); EB Medicine: Norcross, GA, USA, 2010. [Google Scholar]
- Ferreira, C.; Duarte, S.C.; Costa, E.; Pereira, A.M.P.T.; Silva, L.J.G.; Almeida, A.; Lino, C.; Pena, A. Urine Biomonitoring of Glyphosate in Children: Exposure and Risk Assessment. Environ. Res. 2021, 198, 111294. [Google Scholar] [CrossRef]
- Knudsen, L.E.; Hansen, P.W.; Mizrak, S.; Hansen, H.K.; Mørck, T.A.; Nielsen, F.; Siersma, V.; Mathiesen, L. Biomonitoring of Danish School Children and Mothers Including Biomarkers of PBDE and Glyphosate. Rev. Environ. Health 2017, 32, 279–290. [Google Scholar] [CrossRef]
- Lemke, N.; Murawski, A.; Schmied-Tobies, M.; Rucic, E.; Hoppe, H.; Conrad, A.; Kolossa-Gehring, M. Glyphosate and Aminomethylphosphonic Acid (AMPA) in Urine of Children and Adolescents in Germany—Human Biomonitoring Results of the German Environmental Survey 2014–2017 (GerES V). Environ. Int. 2021, 156, 106769. [Google Scholar] [CrossRef]
- Stajnko, A.; Snoj Tratnik, J.; Kosjek, T.; Mazej, D.; Jagodic, M.; Eržen, I.; Horvat, M. Seasonal Glyphosate and AMPA Levels in Urine of Children and Adolescents Living in Rural Regions of Northeastern Slovenia. Environ. Int. 2020, 143, 105985. [Google Scholar] [CrossRef]
- Hines, E.P.; Mendola, P.; von Ehrenstein, O.S.; Ye, X.; Calafat, A.M.; Fenton, S.E. Concentrations of Environmental Phenols and Parabens in Milk, Urine and Serum of Lactating North Carolina Women. Reprod. Toxicol. 2015, 54, 120–128. [Google Scholar] [CrossRef]
- Gillezeau, C.; Lieberman-Cribbin, W.; Taioli, E. Update on Human Exposure to Glyphosate, with a Complete Review of Exposure in Children. Environ. Health 2020, 19, 1–8. [Google Scholar] [CrossRef]
- Trasande, L.; Aldana, S.I.; Trachtman, H.; Kannan, K.; Morrison, D.; Christakis, D.A.; Whitlock, K.; Messito, M.J.; Gross, R.S.; Karthikraj, R.; et al. Glyphosate Exposures and Kidney Injury Biomarkers in Infants and Young Children. Environ. Pollut. 2020, 256, 113334. [Google Scholar] [CrossRef]
- Van Bruggen, A.H.C.; He, M.M.; Shin, K.; Mai, V.; Jeong, K.C.; Finckh, M.R.; Morris, J.G. Environmental and Health Effects of the Herbicide Glyphosate. Sci. Total Environ. 2018, 616–617, 255–268. [Google Scholar] [CrossRef]
- Niemann, L.; Sieke, C.; Pfeil, R.; Solecki, R. A Critical Review of Glyphosate Findings in Human Urine Samples and Comparison with the Exposure of Operators and Consumers. J. Verbrauch. Leb. 2015, 10, 3–12. [Google Scholar] [CrossRef]
- Brewster, D.W.; Warren, J.; Hopkjns, W.E. Metabolism of Glyphosate in Sprague-Dawley Rats: Tissue Distribution, Identification, and Quantitation of Glyphosate-Derived Materials Following a Single Oral Dose. Toxicol. Sci. 1991, 17, 43–51. [Google Scholar] [CrossRef]
- Studnik, H.; Liebsch, S.; Forlani, G.; Wieczorek, D.; Kafarski, P.; Lipok, J. Amino Polyphosphonates—Chemical Features and Practical Uses, Environmental Durability and Biodegradation. New Biotechnol. 2015, 32, 1–6. [Google Scholar] [CrossRef]
- Faniband, M.H.; Norén, E.; Littorin, M.; Lindh, C.H. Human Experimental Exposure to Glyphosate and Biomonitoring of Young Swedish Adults. Int. J. Hyg. Environ. Health 2021, 231, 113657. [Google Scholar] [CrossRef] [PubMed]
- JMPR. Pesticides residues in food 2011. In Proceedings of the Joint FAO/WHO Meeting on Pesticide Residues, Glyphosate and Metabolites, Geneva, Switzerland, 20–29 September 2011. [Google Scholar]
- Nishioka, M.G.; Lewis, R.G.; Brinkman, M.C.; Burkholder, H.M.; Hines, C.E.; Menkedick, J.R. Distribution of 2,4-D in Air and on Surfaces inside Residences after Lawn Applications: Comparing Exposure Estimates from Various Media for Young Children. Environ. Health Perspect. 2001, 109, 1185–1191. [Google Scholar] [CrossRef] [PubMed]
- EFSA. The 2015 European Union Report on Pesticide Residues in Food. EFSA J. 2017, 15, 4791. [Google Scholar]
- EFSA. The 2016 European Union Report on Pesticide Residues in Food. EFSA J. 2018, 16, 5348. [Google Scholar]
- EFSA. The 2017 European Union Report on Pesticide Residues in Food. EFSA J. 2019, 17, 5743. [Google Scholar]
- Conrad, A.; Schröter-Kermani, C.; Hoppe, H.W.; Rüther, M.; Pieper, S.; Kolossa-Gehring, M. Glyphosate in German Adults—Time Trend (2001 to 2015) of Human Exposure to a Widely Used Herbicide. Int. J. Hyg. Environ. Health 2017, 220, 8–16. [Google Scholar] [CrossRef]
- Connolly, A.; Jones, K.; Basinas, I.; Galea, K.S.; Kenny, L.; McGowan, P.; Coggins, M.A. Exploring the Half-Life of Glyphosate in Human Urine Samples. Int. J. Hyg. Environ. Health 2019, 222, 205–210. [Google Scholar] [CrossRef]

| Study | Sampling Year | N | Age Range (yrs.) | Sex (F/M) | Urine Sample | Method | LOD Gly (µg/L) | LOQ Gly (µg/L) | % < LOQ f | Gly (µg/L) | Creatinine-Adjusted Gly (µg/g crt) g | CreatinineMedian (P5 and P95) in mg/dL | ||||||
|---|---|---|---|---|---|---|---|---|---|---|---|---|---|---|---|---|---|---|
| P25 | P50 | P75 | P95 | P25 | P50 | P75 | P95 | |||||||||||
| SLO CRP children (Slovenia) a | 2018 | 149 | 7–10 | (82/67) | Morning (140) and spot (9) | GC/MS-MS | 0.1 | 76 | <LOQ | <LOQ | <LOQ | 0.18 | 0.19 | 102 (42–175) | ||||
| ORGANIKO (Cyprus) b | 2017 | 166 | 10–11 | (80/86) | Morning | GC/MS-MS | 0.03 | 0.1 | 55 | <LOQ | <LOQ | 0.18 | 1.03 | 0.15 | 0.76 | 108 (53–205) | ||
| GerES V-sub d (Germany) a | 2015–2017 | 300 | 6–12 c | (150/150) | Morning (296) and spot (4) | GC/MS-MS | 0.1 | 47 | <LOQ | 0.10 = LOQ | 0.17 | 0.43 | 0.07 | 0.15 | 0.37 | 110 (49–204) | ||
| 3XG (Belgium) b | 2019–2020 | 133 | 6–8 | (67/66) | Morning (110) and spot (23) | LC/MS-MS | 0.1 | 40 | <LOQ | 0.12 | 0.22 | 0.41 | 0.11 | 0.21 | 0.58 | 97 (33–166) | ||
| ESTEBAN (France) a | 2014–2016 | 223 | 6–11 | (115/108) | Morning | LC/MS-MS | 0.02 | 0.05 | 83 | <LOQ | <LOQ | <LOQ | 0.65 | 0.84 | 87 (32–164) | |||
| Combined data e | 748 | 6–12 | (494/477) | 0.15 | 0.48 | 0.13 | 0.51 | |||||||||||
| Study | LOD AMPA (µg/L) | LOQ AMPA (µg/L) | % < LOQ | AMPA (µg/L) | Creatinine-Adjusted AMPA (µg/g crt) c | ||||||
|---|---|---|---|---|---|---|---|---|---|---|---|
| P25 | P50 | P75 | P95 | P25 | P50 | P75 | P95 | ||||
| SLO CRP children a | 0.1 | 53 | <LOQ | <LOQ | 0.14 | 0.29 | 0.13 | 0.26 | |||
| ORGANIKO b | 0.03 | 0.1 | 25 | =LOQ | 0.17 | 0.28 | 0.66 | 0.05 | 0.15 | 0.23 | 0.57 |
| GerES V-sub a | 0.1 | 53 | <LOQ | <LOQ | 0.21 | 0.48 | 0.17 | 0.40 | |||
| 3XG b | 0.2 | 74 | <LOQ | <LOQ | 0.20 | 0.40 | 0.14 | 0.37 | |||
| ESTEBAN a | 0.02 | 0.05 | 4 | 0.11 | 0.18 | 0.24 | 0.43 | 0.12 | 0.19 | 0.30 | 0.59 |
| Combined data | 0.22 | 0.47 | 0.21 | 0.45 | |||||||
| Study | Country | Sampling Year | Population | Urine Sample | Method (Instrumentation) | Gly, µg/L | AMPA, µg/L | ||||
|---|---|---|---|---|---|---|---|---|---|---|---|
| LOQ/LOQ | Average | P95 | LOD/LOQ | Average | P95 | ||||||
| Ferreira et al. 2021 [24] | Portugal | 2018–2019 | 41 children 2–13 y | Spot | ELISA | LOD = 0.6 | AM = 1.77 | ||||
| Knudsen et al. 2017 [25] | Denmark | 2011 | 14 children 6–11 y | Spot | ELISA | LOD = 0.08 | AM = 1.96 | ||||
| Lemke et al. 2021 [26] a | Germany | 2015–2017 | 2144 children and adolescents 3–17 y | First morning | GC/MS-MS | LOQ = 0.1 | AM = 0.16 GM = 0.11 | 0.51 | LOQ = 0.1 | AM = 0.16 GM = 0.10 | 0.48 |
| Stajnko et al. 2020 [27] b | Slovenia | 2018 | 246 children and adolescents 7–10 y and 12–15 y | First morning (January–March) | GC/MS-MS | LOQ = 0.1 | GM < LOQ | 0.19 | LOQ = 0.1 | GM < LOQ | 0.29 |
| 225 children and adolescents 7–10 y and 12–15 y | Fist morning (May–June) | GC/MS-MS | LOQ = 0.1 | GM < LOQ | 0.19 | LOQ = 0.1 | GM = 0.1 | 0.33 | |||
| Ref. | Country | P95 Concentration Glyphosate | PDI | PDI | PDI/ADI |
|---|---|---|---|---|---|
| µg/L | µg/day | µg/kg bw/day | % | ||
| SLO CRP children (HBM4EU) | Slovenia | 0.18 | =0.18 × 0.7/0.57% = 22 | =22/30 = 0.74 | =0.00074/0.1 = 0.74% |
| ORGANIKO (HBM4EU) | Cyprus | 1.03 | 126 | 4.22 | 4.22% |
| GerES V-sub (HBM4EU) | Germany | 0.43 | 53 | 1.76 | 1.76% |
| 3XG (HBM4EU) | Belgium | 0.41 | 50 | 1.68 | 1.68% |
| ESTEBAN (HBM4EU) | France | 0.65 | 80 | 2.66 | 2.66% |
| Lemke et al. 2021 [26] | Germany | 0.51 | 63 | 2.09 | 2.09% |
| Stajnko et al. 2020 [27] | Slovenia | 0.19 | 23 | 0.78 | 0.78% |
| Study | Variable | OR = Exp(β) | 95%CI | p Value | |
|---|---|---|---|---|---|
| Glyphosate | Slovenia SLO_CRP children (HBM4EU) | Intercept | 0.15 | ||
| Creatinine | 1.01 | (1.00;1.02) | 0.041 | ||
| Matrix | 1.08 | (0.19;5.96) | 0.933 | ||
| BMI | 0.98 | (0.87;1.10) | 0.698 | ||
| Use of pesticide outdoor (No: 76; Yes: 73) | 2.37 | (1.07;5.25) | 0.034 | ||
| Model | 0.070 | ||||
| Belgium 3XG (HBM4EU) | Intercept | 0 | |||
| Creatinine | 1.02 | (1.01;1.03) | 0.001 | ||
| Matrix | 1.08 | (0.38;3.07) | 0.890 | ||
| BMI | 1.03 | (0.84;1.26) | 0.782 | ||
| Age (6–8 y) | 2.61 | (1.12;6.06) | 0.026 | ||
| Pets in home (No: 80; Yes: 53) | 2.73 | (1.20;6.21) | 0.017 | ||
| Model | <0.001 |
Publisher’s Note: MDPI stays neutral with regard to jurisdictional claims in published maps and institutional affiliations. |
© 2022 by the authors. Licensee MDPI, Basel, Switzerland. This article is an open access article distributed under the terms and conditions of the Creative Commons Attribution (CC BY) license (https://creativecommons.org/licenses/by/4.0/).
Share and Cite
Buekers, J.; Remy, S.; Bessems, J.; Govarts, E.; Rambaud, L.; Riou, M.; Tratnik, J.S.; Stajnko, A.; Katsonouri, A.; Makris, K.C.; et al. Glyphosate and AMPA in Human Urine of HBM4EU Aligned Studies: Part A Children. Toxics 2022, 10, 470. https://doi.org/10.3390/toxics10080470
Buekers J, Remy S, Bessems J, Govarts E, Rambaud L, Riou M, Tratnik JS, Stajnko A, Katsonouri A, Makris KC, et al. Glyphosate and AMPA in Human Urine of HBM4EU Aligned Studies: Part A Children. Toxics. 2022; 10(8):470. https://doi.org/10.3390/toxics10080470
Chicago/Turabian StyleBuekers, Jurgen, Sylvie Remy, Jos Bessems, Eva Govarts, Loïc Rambaud, Margaux Riou, Janja Snoj Tratnik, Anja Stajnko, Andromachi Katsonouri, Konstantinos C. Makris, and et al. 2022. "Glyphosate and AMPA in Human Urine of HBM4EU Aligned Studies: Part A Children" Toxics 10, no. 8: 470. https://doi.org/10.3390/toxics10080470
APA StyleBuekers, J., Remy, S., Bessems, J., Govarts, E., Rambaud, L., Riou, M., Tratnik, J. S., Stajnko, A., Katsonouri, A., Makris, K. C., De Decker, A., Morrens, B., Vogel, N., Kolossa-Gehring, M., Esteban-López, M., Castaño, A., Andersen, H. R., & Schoeters, G. (2022). Glyphosate and AMPA in Human Urine of HBM4EU Aligned Studies: Part A Children. Toxics, 10(8), 470. https://doi.org/10.3390/toxics10080470

