Optimizing Protein Profile, Flavor, Digestibility, and Microstructure: The Impact of Preheating and Reheating in Stir-Fried Chicken
Abstract
1. Introduction
2. Materials and Methods
2.1. Materials and Chemicals
2.2. Sample Preparation
2.3. Total Protein Content
2.4. Total Sulfhydryl (SH) Content
2.5. Disulfide Bonds Detection
2.6. FTIR
2.7. Lipid Oxidation (TBARS)
2.8. Extraction and Quantification of Volatiles
2.9. Texture Profile Analysis (TPA)
2.10. Instrumental Color
2.11. Sensory Evaluation
2.12. Protein Digestibility
2.13. Microstructure
2.14. Statistical Analysis
3. Results and Discussion
3.1. Analysis of Protein Profile and Oxidative Stability
3.1.1. Analysis of Total Protein Content
3.1.2. Changes in Total Sulfhydryl (Thiol) Content
3.1.3. Disulfide Bond (Protein Cross-Linking) Detection
3.1.4. Protein Secondary Structure Analysis
3.1.5. Lipid Oxidation (TBARS) in Stir-Fried Chicken
3.2. Analysis of VOCs by SPME-GCMS
3.3. Texture Profile Analysis (TPA)
3.4. Instrumental Color Measurement
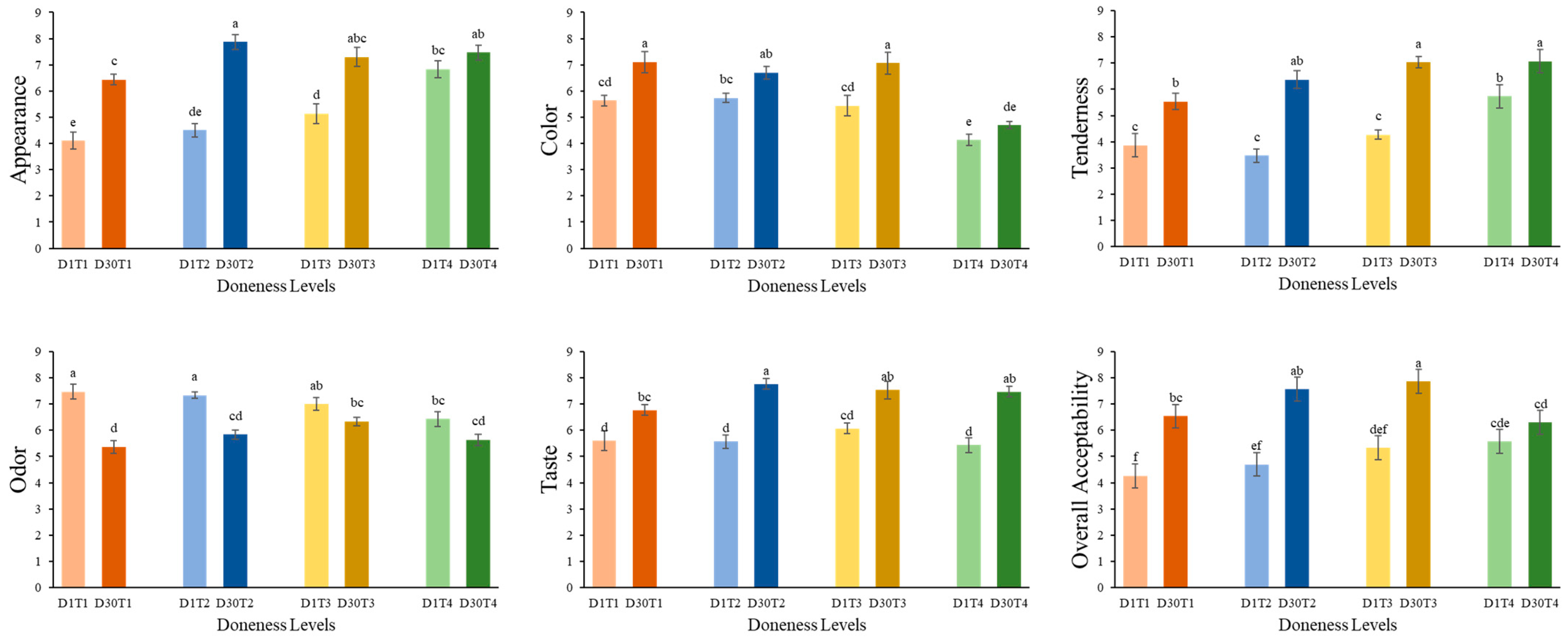
3.5. Sensory Evaluation
3.6. Changes in Protein Digestibility of Stir-Fried Chicken

3.7. Microstructural Alterations in Stir-Fried Chicken

3.8. Correlation Analysis
4. Conclusions
Supplementary Materials
Author Contributions
Funding
Institutional Review Board Statement
Informed Consent Statement
Data Availability Statement
Acknowledgments
Conflicts of Interest
References
- Wang, B.; Chen, X.; Yan, B.; Zhang, N.; Tao, Y.; Hu, J.; Zhao, J.; Zhang, H.; Chen, W.; Fan, D. Precooked state based on protein denaturation kinetics impacts moisture status, protein oxidation and texture of prepared chicken breast. Food Chem. 2025, 462, 140994. [Google Scholar] [CrossRef] [PubMed]
- Li, H.; Kong, B.; Liu, Q.; Chen, Q.; Sun, F.; Liu, H.; Xia, X. Ultrasound pretreatment for improving the quality and protein digestibility of stir-frying chicken gizzards. Food Res. Int. 2022, 161, 111782. [Google Scholar] [CrossRef] [PubMed]
- Shen, J.; Zhang, M.; Zhao, L.; Mujumdar, A.S.; Wang, H. Schemes for enhanced antioxidant stability in frying meat: A review of frying process using single oil and blended oils. Crit. Rev. Food Sci. Nutr. 2023, 63, 5414–5429. [Google Scholar] [CrossRef] [PubMed]
- Bai, S.; You, L.; Ji, C.; Zhang, T.; Wang, Y.; Geng, D.; Gao, S.; Bi, Y.; Luo, R. Formation of volatile flavor compounds, maillard reaction products and potentially hazard substance in China stir-frying beef sao zi. Food Res. Int. 2022, 159, 111545. [Google Scholar] [CrossRef] [PubMed]
- Ping, C.; Liu, Y.; Bi, J.; Cai, X.; Li, X.; Qiao, M. Identification of characteristic flavor quality of ceramic-pot sealed meat after reheating based on HS-GC-IMS, bionic sensory combined chemometrics. Food Chem. X 2024, 23, 101640. [Google Scholar] [CrossRef]
- Calderón, L.A.; Herrero, M.; Laca, A.; Díaz, M. Environmental impact of a traditional cooked dish at four different manufacturing scales: From ready meal industry and catering company to traditional restaurant and homemade. Int. J. Life Cycle Assess. 2018, 23, 811–823. [Google Scholar] [CrossRef]
- Chen, L.; Capone, D.L.; Jeffery, D.W. Identification and Quantitative Analysis of 2-Methyl-4-propyl-1, 3-oxathiane in Wine. J. Agric. Food Chem. 2018, 66, 10808–10815. [Google Scholar] [CrossRef]
- Bai, S.; Wang, Y.; Luo, R.; Shen, F.; Bai, H.; Ding, D. Formation of flavor volatile compounds at different processing stages of household stir-frying mutton sao zi in the northwest of China. LWT 2021, 139, 110735. [Google Scholar] [CrossRef]
- Choi, J.-H.; Choi, Y.-S.; Han, D.-J.; Kim, H.-Y.; Lee, M.-A.; Kim, S.-Y.; Lee, J.-W.; Jeong, J.-Y.; Kim, C.-J. Effects of reheating conditions and sodium chloride/phosphate levels on color characteristics of precooked pork patties. Food Sci. Anim. Resour. 2010, 30, 617–625. [Google Scholar] [CrossRef][Green Version]
- Negara, B.F.S.P.; Tirtawijaya, G.; Cho, W.-H.; Harwanto, D.; Sohn, J.-H.; Kim, J.-S.; Choi, J.-S. Effects of frying processes on the nutritional and sensory characteristics of different mackerel products. Processes 2021, 9, 1645. [Google Scholar] [CrossRef]
- Nanje, O.S.; Sylvia Ninying, V.T.Z.; Tonfack Djikeng, F.; Azia Morfor, T.; Achidi, A.U. Effect of different reheating processes and conditions on the nutritional, functional, and microbiological properties of cow meat. Food Sci. Nutr. 2024, 12, 4233–4247. [Google Scholar] [CrossRef] [PubMed]
- Sohail, A.; Al-Dalali, S.; Wang, J.; Xie, J.; Shakoor, A.; Asimi, S.; Shah, H.; Patil, P. Aroma compounds identified in cooked meat: A review. Food Res. Int. 2022, 157, 111385. [Google Scholar] [CrossRef] [PubMed]
- Bhat, Z.F.; Morton, J.D.; Bekhit, A.E.D.A.; Kumar, S.; Bhat, H.F. Thermal processing implications on the digestibility of meat, fish and seafood proteins. Compr. Rev. Food Sci. Food Saf. 2021, 20, 4511–4548. [Google Scholar] [CrossRef] [PubMed]
- Wang, W.; Li, Y.; Zhou, X.; Li, C.; Liu, Y. Changes in the extent and products of In vitro protein digestion during the ripening periods of Chinese dry-cured hams. Meat Sci. 2021, 171, 108290. [Google Scholar] [CrossRef]
- Gong, Y.; Feng, M.; Sun, J. Effect of different thermal processing methods and thermal core temperatures on the protein structure and in vitro digestive characteristics of beef. Food Chem. 2024, 464, 141751. [Google Scholar] [CrossRef]
- Ferreira, V.C.; Morcuende, D.; Madruga, M.S.; Silva, F.A.; Estévez, M. Role of protein oxidation in the nutritional loss and texture changes in ready-to-eat chicken patties. Int. J. Food Sci. Technol. 2018, 53, 1518–1526. [Google Scholar] [CrossRef]
- Jiang, S.; Xia, D.; Zhang, D.; Chen, G.; Liu, Y. Analysis of protein profiles and peptides during in vitro gastrointestinal digestion of four Chinese dry-cured hams. LWT 2020, 120, 108881. [Google Scholar] [CrossRef]
- Yu, Q.; Zhang, M.; Ju, R.; Mujumdar, A.S.; Wang, H. Advances in prepared dish processing using efficient physical fields: A review. Crit. Rev. Food Sci. Nutr. 2024, 64, 4031–4045. [Google Scholar] [CrossRef] [PubMed]
- Eftimov, T.; Popovski, G.; Petković, M.; Seljak, B.K.; Kocev, D. COVID-19 pandemic changes the food consumption patterns. Trends Food Sci. Technol. 2020, 104, 268–272. [Google Scholar] [CrossRef] [PubMed]
- Xiushan, W.; Pu, J.; Chen, C.; Jinhong, W.; Huiyun, C.; Shunshan, J. Research Progress on Microbial Control Techniques of Prepared Dishes. Food Phys. 2024, 1, 100015. [Google Scholar]
- Kim, T.-K.; Hwang, K.-E.; Kim, Y.-B.; Jeon, K.-H.; Leem, K.-H.; Choi, Y.-S. Effects of pre-cooking methods on quality characteristics of reheated marinated pork loin. Korean J. Food Sci. Anim. Resour. 2018, 38, 970. [Google Scholar] [CrossRef]
- Oz, F.; Aksu, M.; Turan, M. The effects of different cooking methods on some quality criteria and mineral composition of beef steaks. J. Food Process. Preserv. 2017, 41, e13008. [Google Scholar] [CrossRef]
- Parvin, R.; Zahid, M.A.; Seo, J.-K.; Park, J.; Ko, J.; Yang, H.-S. Influence of reheating methods and frozen storage on physicochemical characteristics and warmed-over flavor of nutmeg extract-enriched precooked beef meatballs. Antioxidants 2020, 9, 670. [Google Scholar] [CrossRef] [PubMed]
- Haiba, N.S.; Asaal, A.M.; El Massry, A.M.; Ismail, I.; Basahi, J.; Hassan, I.A. Effects of “Doneness” Level on PAH concentrations in charcoal-grilled beef and chicken: An Egyptian study case. Polycycl. Aromat. Compd. 2021, 41, 553–563. [Google Scholar] [CrossRef]
- Jinap, S.; Mohd-Mokhtar, M.; Farhadian, A.; Hasnol, N.; Jaafar, S.; Hajeb, P. Effects of varying degrees of doneness on the formation of heterocyclic aromatic amines in chicken and beef satay. Meat Sci. 2013, 94, 202–207. [Google Scholar] [CrossRef]
- Li, D.; Zhang, Z.; Zhang, K.; Wang, S.; Li, X.; Zang, M. Comparative characterization of fatty acids and volatile substances in Chinese indigenous and hybrid pork in raw, cooked, and reheated states. Food Biosci. 2024, 61, 104865. [Google Scholar] [CrossRef]
- Torun, M.; Khan, M.; Rahman, M.; Sadakuzzaman, M.; Hashem, M. Influence of degree of doneness temperature on the sensory, physiochemical, nutritional, and microbial properties of beef. Meat Res. 2023, 3, 5. [Google Scholar] [CrossRef]
- Cross, A.J.; Harnly, J.M.; Ferrucci, L.M.; Risch, A.; Mayne, S.T.; Sinha, R. Developing a heme iron database for meats according to meat type, cooking method and doneness level. Food Nutr. Sci. 2012, 3, 905. [Google Scholar] [CrossRef] [PubMed]
- Gao, Z.; Zhang, D.; Wu, R.; He, J.; Ma, J.; Sun, X.; Gu, M.; Wang, Z. Fluctuation of flavor quality in roasted duck: The consequences of raw duck preform’s repetitive freeze-thawing. Food Res. Int. 2024, 187, 114424. [Google Scholar] [CrossRef] [PubMed]
- He, J.; Xia, C.; He, Y.; Pan, D.; Cao, J.; Sun, Y.; Zeng, X. Proteomic responses to oxidative damage in meat from ducks exposed to heat stress. Food Chem. 2019, 295, 129–137. [Google Scholar] [CrossRef]
- Sun, X.; Yu, Y.; Saleh, A.S.; Yang, X.; Ma, J.; Gao, Z.; Zhang, D.; Li, W.; Wang, Z. Characterization of aroma profiles of Chinese four most famous traditional red-cooked chickens using GC–MS, GC-IMS, and E-nose. Food Res. Int. 2023, 173, 113335. [Google Scholar] [CrossRef] [PubMed]
- Marsol-Vall, A.; Kortesniemi, M.; Karhu, S.T.; Kallio, H.; Yang, B. Profiles of volatile compounds in blackcurrant (Ribes nigrum) cultivars with a special focus on the influence of growth latitude and weather conditions. J. Agric. Food Chem. 2018, 66, 7485–7495. [Google Scholar] [CrossRef]
- Pan, N.; Dong, C.; Du, X.; Kong, B.; Sun, J.; Xia, X. Effect of freeze-thaw cycles on the quality of quick-frozen pork patty with different fat content by consumer assessment and instrument-based detection. Meat Sci. 2021, 172, 108313. [Google Scholar] [CrossRef] [PubMed]
- Wang, J.; Zhang, M.; Fan, K.; Yang, C.h.; Fang, Z. Effects of reheating methods on the product quality of Hongsu chicken dish. J. Food Process. Preserv. 2018, 42, e13823. [Google Scholar] [CrossRef]
- Hou, H.M.; Cui, Y.N.; Tang, L.; Zhang, G.L.; Sun, L.M. The sensory quality and textural property of ready-to-eat sea cucumber in storage period. Adv. Mater. Res. 2014, 887, 619–622. [Google Scholar] [CrossRef]
- Wen, S.; Zhou, G.; Li, L.; Xu, X.; Yu, X.; Bai, Y.; Li, C. Effect of cooking on in vitro digestion of pork proteins: A peptidomic perspective. J. Agric. Food Chem. 2015, 63, 250–261. [Google Scholar] [CrossRef] [PubMed]
- Liu, J.; Li, X.; Jing, R.; Huang, X.; Geng, F.; Luo, Z.; Shang, P.; Liu, Z.; Huang, Q. Effect of prolonged cooking at low temperatures on the eating quality of Tibetan pork: Meat quality, water distribution, and microstructure. Food Qual. Saf. 2024, 8, fyae025. [Google Scholar] [CrossRef]
- Li, J.; Han, D.; Huang, F.; Zhang, C. Effect of reheating methods on eating quality, oxidation and flavor characteristics of Braised beef with potatoes dish. Int. J. Gastron. Food Sci. 2023, 31, 100659. [Google Scholar] [CrossRef]
- Kim, J.H.; Jang, H.J.; Lee, C.H. Effect of aged garlic powder on physicochemical characteristics, texture profiles, and oxidative stability of ready-to-eat pork patties. Asian-Australas. J. Anim. Sci. 2019, 32, 1027–1035. [Google Scholar] [CrossRef] [PubMed]
- Zhu, C.; Tian, W.; Sun, L.; Liu, Y.; Li, M.; Zhao, G. Characterization of protein changes and development of flavor components induced by thermal modulation during the cooking of chicken meat. J. Food Process. Preserv. 2019, 43, e13949. [Google Scholar] [CrossRef]
- de Avila Souza, M.A.; Shimokomaki, M.; Terra, N.N.; Petracci, M. Oxidative changes in cooled and cooked pale, soft, exudative (PSE) chicken meat. Food Chem. 2022, 385, 132471. [Google Scholar] [CrossRef] [PubMed]
- Yang, T.; Liu, R.; Yang, L.; Yang, W.; Li, K.; Qin, M.; Ge, Q.; Yu, H.; Wu, M.; Zhou, X. Improvement strategies for quality defects and oxidation of pale, soft and exudative (PSE)-like chicken meat: Effects of domestic cooking and core temperature. RSC Adv. 2022, 12, 7485–7496. [Google Scholar] [CrossRef] [PubMed]
- Abd Rashid, A.N.; Kormin, F.; Asman, S. Quality analysis of meats using ftir spectroscopy, colour spectrophotometer, texture analyser and physical image analysis. J. Sustain. Sci. Manag. 2020, 16, 103–119. [Google Scholar] [CrossRef]
- Xu, L.; Lv, Y.; Zhao, Y.; Yao, Y.; Wu, N.; Chen, S.; Tu, Y. High internal phase emulsion as a fat replacer: Effect on physico-chemical properties, microstructure and protein digestibility of processed meat during reheating. Poult. Sci. 2024, 104, 104644. [Google Scholar] [CrossRef]
- Guo, X.-J.; Wang, R.-Q. Changes in secondary structure of myofibrillar protein and its relationship with water dynamic changes during storage of battered and deep-fried pork slices. Food Sci. Biotechnol. 2018, 27, 1667–1673. [Google Scholar] [CrossRef] [PubMed]
- Zhao, G.; Zhang, Y.; Zhang, J.; Wang, S.; Wang, K.; Xu, L.; Zhang, Q.; Zhu, C. Investigating the impact of lipid oxidation on the duck odorous smell during storage and reheating based on lipidomics. Curr. Res. Food Sci. 2024, 9, 100884. [Google Scholar] [CrossRef] [PubMed]
- Tanimoto, S.; Kitabayashi, K.; Fukusima, C.; Sugiyama, S.; Hashimoto, T. Effect of storage period before reheating on the volatile compound composition and lipid oxidation of steamed meat of yellowtail Seriola quinqueradiata. Fish. Sci. 2015, 81, 1145–1155. [Google Scholar] [CrossRef]
- Huang, X.; Ahn, D.U. Lipid oxidation and its implications to meat quality and human health. Food Sci. Biotechnol. 2019, 28, 1275–1285. [Google Scholar] [CrossRef]
- Feng, X.; Moon, S.H.; Lee, H.Y.; Ahn, D.U. Effect of irradiation on the degradation of nucleotides in turkey meat. Lwt 2016, 73, 88–94. [Google Scholar] [CrossRef]
- Domínguez, R.; Pateiro, M.; Gagaoua, M.; Barba, F.J.; Zhang, W.; Lorenzo, J.M. A comprehensive review on lipid oxidation in meat and meat products. Antioxidants 2019, 8, 429. [Google Scholar] [CrossRef]
- Zioud, A.; Hajji, W.; Lobón, S.; Joy, M.; Bertolin, J.R.; Smeti, S.; Chabbouh, M.; Bellagha, S.; Essid, I. Effects of Drying Methods on Chemical Composition, Lipid Oxidation, and Fatty Acid Profile of a Traditional Dried Meat Kaddid. Foods 2023, 12, 3837. [Google Scholar] [CrossRef]
- Wang, S.; Li, S.; Wang, W.; Guo, X.; Pan, J.; Dong, X. HPLC-MS/MS method for the simultaneous determination of lysine-derived markers for protein carbonylation in meat. J. Food Compos. Anal. 2023, 122, 105459. [Google Scholar] [CrossRef]
- Wang, Y.; Zhang, H.; Cui, J.; Gao, S.; Bai, S.; You, L.; Ji, C.; Wang, S. Dynamic changes in the water and volatile compounds of chicken breast during the frying process. Food Res. Int. 2024, 175, 113715. [Google Scholar] [CrossRef]
- Zang, M.; Wang, L.; Zhang, Z.; Zhang, K.; Li, D.; Li, X.; Wang, S.; Chen, H. Changes in flavour compound profiles of precooked pork after reheating (warmed-over flavour) using gas chromatography–olfactometry–mass spectrometry with chromatographic feature extraction. Int. J. Food Sci. Technol. 2020, 55, 978–987. [Google Scholar] [CrossRef]
- Liu, Z.; Huang, Y.; Kong, S.; Miao, J.; Lai, K. Selection and quantification of volatile indicators for quality deterioration of reheated pork based on simultaneously extracting volatiles and reheating precooked pork. Food Chem. 2023, 419, 135962. [Google Scholar] [CrossRef]
- Yao, W.; Cai, Y.; Liu, D.; Chen, Y.; Li, J.; Zhang, M.; Chen, N.; Zhang, H. Analysis of flavor formation during production of Dezhou braised chicken using headspace-gas chromatography-ion mobility spec-trometry (HS-GC-IMS). Food Chem. 2022, 370, 130989. [Google Scholar] [CrossRef]
- Dong, X.; Hou, Y.; Wang, Y.; Xu, X.; Wang, K.; Zhao, M.; Prakash, S.; Yu, C. Effect of temperature–time pretreatments on the texture and microstructure of abalone (Haliotis discus hanai). J. Texture Stud. 2018, 49, 503–511. [Google Scholar] [CrossRef] [PubMed]
- Dick, A.; Bhandari, B.; Prakash, S. Effect of reheating method on the post-processing characterisation of 3D printed meat products for dysphagia patients. LWT 2021, 150, 111915. [Google Scholar] [CrossRef]
- Westphalen, A.D.; Briggs, J.L.; Lonergan, S.M. Influence of muscle type on rheological properties of porcine myofibrillar protein during heat-induced gelation. Meat Sci. 2006, 72, 697–703. [Google Scholar] [CrossRef] [PubMed]
- Jeong, S.-H.; Kim, E.-C.; Lee, D.-U. The impact of a consecutive process of pulsed electric field, sous-vide cooking, and reheating on the properties of beef semitendinosus muscle. Foods 2020, 9, 1674. [Google Scholar] [CrossRef] [PubMed]
- Ganhão, R.; Morcuende, D.; Estévez, M. Protein oxidation in emulsified cooked burger patties with added fruit extracts: Influence on colour and texture deterioration during chill storage. Meat Sci. 2010, 85, 402–409. [Google Scholar] [CrossRef] [PubMed]
- Ferreira, V.C.; Morcuende, D.; Madruga, M.S.; Hernández-López, S.H.; Silva, F.A.; Ventanas, S.; Estévez, M. Effect of pre-cooking methods on the chemical and sensory deterioration of ready-to-eat chicken patties during chilled storage and microwave reheating. J. Food Sci. Technol. 2016, 53, 2760–2769. [Google Scholar] [CrossRef]
- Mörlein, D. Sensory evaluation of meat and meat products: Fundamentals and applications. In Proceedings of the IOP Conference Series: Earth and Environmental Science, Kopaonik, Serbia, 22–25 September 2019; IOP Publishing: Bristol, UK, 2019; p. 012007. [Google Scholar]
- Chao, Y.-C.; Sun, L.; Niu, M.; Huang, Z.; Li, M.; Zhao, G.; Pan, Z. Comparative study on the edible quality and protein digestibility of diced chicken with mushroom from Prefabricated product and traditional cooked. Food Sci. Technol. 2023, 43, e106722. [Google Scholar] [CrossRef]
- Morzel, M.; Gatellier, P.; Sayd, T.; Renerre, M.; Laville, E. Chemical oxidation decreases proteolytic susceptibility of skeletal muscle myofibrillar proteins. Meat Sci. 2006, 73, 536–543. [Google Scholar] [CrossRef]
- Ramos, B.; Miller, F.; Brandão, T.; Teixeira, P.; Silva, C. Fresh fruits and vegetables—An overview on applied methodologies to improve its quality and safety. Innov. Food Sci. Emerg. Technol. 2013, 20, 1–15. [Google Scholar] [CrossRef]
- Jiang, S.; Xue, D.; Zhang, Z.; Shan, K.; Ke, W.; Zhang, M.; Zhao, D.; Nian, Y.; Xu, X.; Zhou, G. Effect of Sous-vide cooking on the quality and digestion characteristics of braised pork. Food Chem. 2022, 375, 131683. [Google Scholar] [CrossRef] [PubMed]
- Van der Sman, R. Model for electrical conductivity of muscle meat during Ohmic heating. J. Food Eng. 2017, 208, 37–47. [Google Scholar] [CrossRef]
- Li, S.; Tang, S.; Yan, L.; Li, R. Effects of microwave heating on physicochemical properties, microstructure and volatile profiles of yak meat. J. Appl. Anim. Res. 2019, 47, 262–272. [Google Scholar] [CrossRef]
- Roldán, M.; Antequera, T.; Martín, A.; Mayoral, A.I.; Ruiz, J. Effect of different temperature–time combinations on physicochemical, microbiological, textural and structural features of sous-vide cooked lamb loins. Meat Sci. 2013, 93, 572–578. [Google Scholar] [CrossRef]






| Samples | Hardness (g) | Gumminess | Cohesiveness | Chewiness | Springiness | |
|---|---|---|---|---|---|---|
| Preheating | D1T1 | 7180.06 ± 373.08 a | 3148.32 ± 189.30 a | 0.60 ± 0.04 a | 2880.58 ± 184.01 a | 0.62 ± 0.03 a |
| D1T2 | 6531.05 ± 447.80 b | 3023.48 ± 247.87 ab | 0.57 ± 0.04 a | 2593.12 ± 133.32 ab | 0.61 ± 0.03 a | |
| D1T3 | 6072.00 ± 421.12 cd | 2918.03 ± 202.88 ab | 0.56 ± 0.03 a | 2506.56 ± 152.52 ab | 0.60 ± 0.04 a | |
| D1T4 | 6424.01 ± 478.96 b | 3167.35 ± 143.01 a | 0.57 ± 0.04 a | 2654.79 ± 134.13 ab | 0.60 ± 0.03 a | |
| Reheating | D30T1 | 6310.62 ± 427.44 bc | 2751.69 ± 247.17 ab | 0.57 ± 0.02 a | 2714.24 ± 182.95 ab | 0.57 ± 0.03 a |
| D30T2 | 5914.67 ± 482.57 d | 2442.86 ± 217.18 ab | 0.56 ± 0.02 a | 2411.37 ± 163.37 bc | 0.58 ± 0.02 a | |
| D30T3 | 5365.85 ± 427.47 e | 2383.84 ± 243.82 c | 0.55 ± 0.03 a | 2204.27 ± 172.43 c | 0.56 ± 0.02 a | |
| D30T4 | 5921.80 ± 504.45 d | 2800.01 ± 194.19 ab | 0.56 ± 0.02 a | 2599.75 ± 181.33 abc | 0.58 ± 0.02 a |
| Sample | L* | a* | b* | |
|---|---|---|---|---|
| Preheating | D1T1 | 56.75 ± 1.82 ab | 14.54 ± 1.31 a | 25.16 ± 0.90 e |
| D1T2 | 58.41 ± 2.48 a | 13.46 ± 0.50 ab | 27.27 ± 1.26 de | |
| D1T3 | 59.10 ± 1.93 a | 12.99 ± 0.88 ab | 29.72 ± 1.62 cd | |
| D1T4 | 53.25 ± 1.75 b | 10.29 ± 1.03 c | 31.95 ± 2.15 ab | |
| Reheating | D30T1 | 55.11 ± 1.89 ab | 13.64 ± 0.52 ab | 27.90 ± 0.90 cde |
| D30T2 | 57.09 ± 2.40 ab | 12.50 ± 0.44 ab | 28.42 ± 1.41 cde | |
| D30T3 | 57.43 ± 1.13 ab | 12.32 ± 1.18 b | 30.99 ± 1.24 abc | |
| D30T4 | 48.14 ± 1.93 c | 9.52 ± 1.11 c | 33.38 ± 1.85 a |
Disclaimer/Publisher’s Note: The statements, opinions and data contained in all publications are solely those of the individual author(s) and contributor(s) and not of MDPI and/or the editor(s). MDPI and/or the editor(s) disclaim responsibility for any injury to people or property resulting from any ideas, methods, instructions or products referred to in the content. |
© 2025 by the authors. Licensee MDPI, Basel, Switzerland. This article is an open access article distributed under the terms and conditions of the Creative Commons Attribution (CC BY) license (https://creativecommons.org/licenses/by/4.0/).
Share and Cite
Akhtar, K.H.; Gao, Z.; Zhang, Z.; Sun, X.; Yu, Y.; Ma, J.; Zhang, D.; Wang, Z. Optimizing Protein Profile, Flavor, Digestibility, and Microstructure: The Impact of Preheating and Reheating in Stir-Fried Chicken. Foods 2025, 14, 643. https://doi.org/10.3390/foods14040643
Akhtar KH, Gao Z, Zhang Z, Sun X, Yu Y, Ma J, Zhang D, Wang Z. Optimizing Protein Profile, Flavor, Digestibility, and Microstructure: The Impact of Preheating and Reheating in Stir-Fried Chicken. Foods. 2025; 14(4):643. https://doi.org/10.3390/foods14040643
Chicago/Turabian StyleAkhtar, Kumayl Hassan, Ziwu Gao, Zeyu Zhang, Xiangxiang Sun, Yumei Yu, Jiale Ma, Dequan Zhang, and Zhenyu Wang. 2025. "Optimizing Protein Profile, Flavor, Digestibility, and Microstructure: The Impact of Preheating and Reheating in Stir-Fried Chicken" Foods 14, no. 4: 643. https://doi.org/10.3390/foods14040643
APA StyleAkhtar, K. H., Gao, Z., Zhang, Z., Sun, X., Yu, Y., Ma, J., Zhang, D., & Wang, Z. (2025). Optimizing Protein Profile, Flavor, Digestibility, and Microstructure: The Impact of Preheating and Reheating in Stir-Fried Chicken. Foods, 14(4), 643. https://doi.org/10.3390/foods14040643

