Optimization of Preparation Conditions and Storage Quality of Sour Cream Fermented by Lactococcus lactis grx602
Abstract
1. Introduction
2. Materials and Methods
2.1. Media, Bacterial Isolation and Culture Conditions
2.2. Preparation of Sour Cream Fermented by L. lactis grx602 (Lg-Sour Cream)
2.3. Texture Analysis
2.4. Detection of Cell Growth, Acidity, and pH
2.5. Viscosity
2.6. Water Holding Capacity (WHC)
2.7. Apparent Viscosity
2.8. Detection of Free Fatty Acid Composition
2.9. Statistical Analyses
3. Results and Discussion
3.1. Preparation Conditions of Lg-Sour Cream
3.1.1. Effects of Homogenization Conditions on Lg-Sour Cream Quality
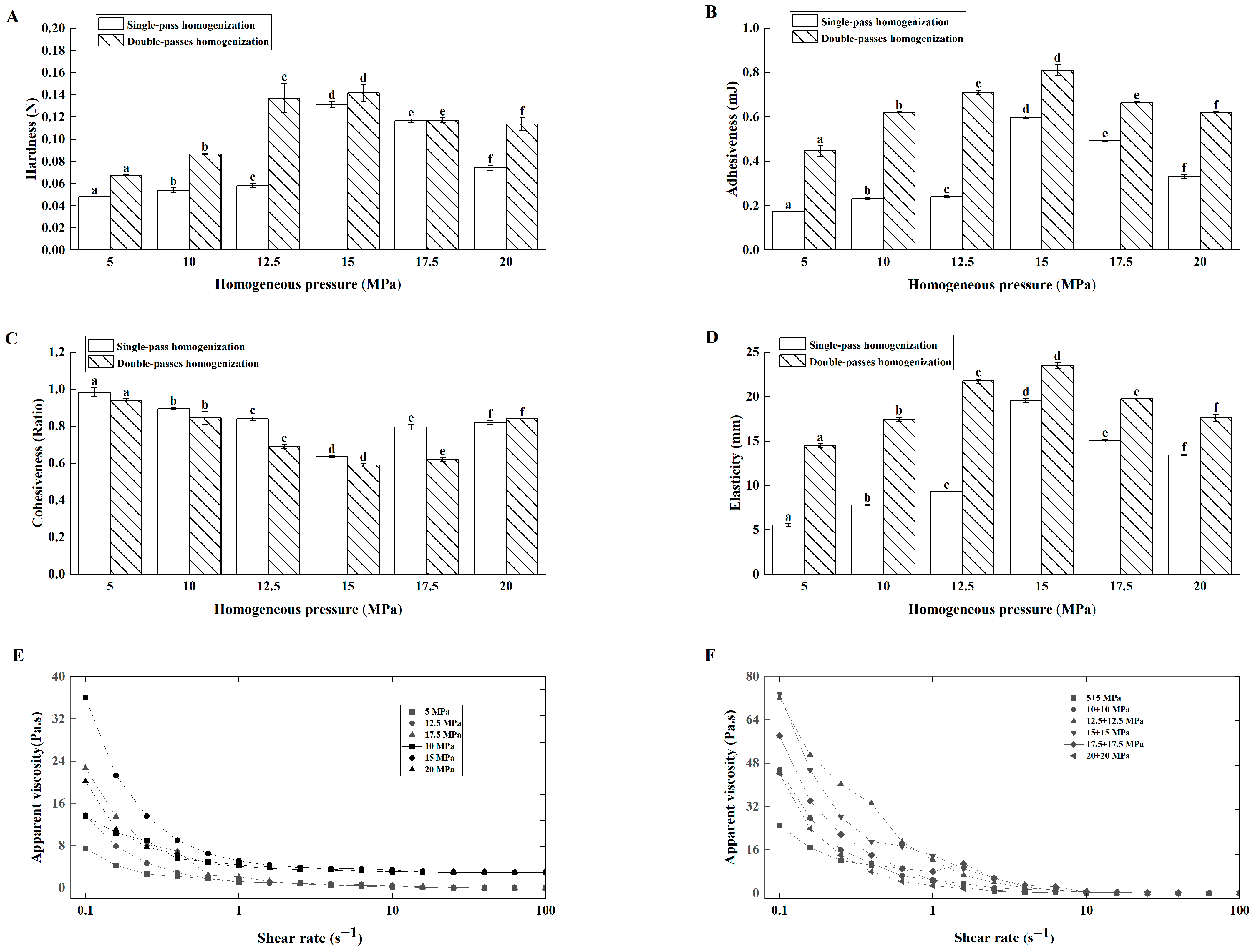
Effects of Homogenization Pressure on Lg-Sour Cream Quality
Effects of Double-Pass Homogenization on Lg-Sour Cream Quality
Effects of Homogenization Temperature on Lg-Sour Cream Quality
3.1.2. Effects of Inoculum Size on Lg-Sour Cream Quality
3.1.3. Effects of Fermentation Temperature on Lg-Sour Cream Quality
3.2. Lg-Sour Cream Quality During Storage
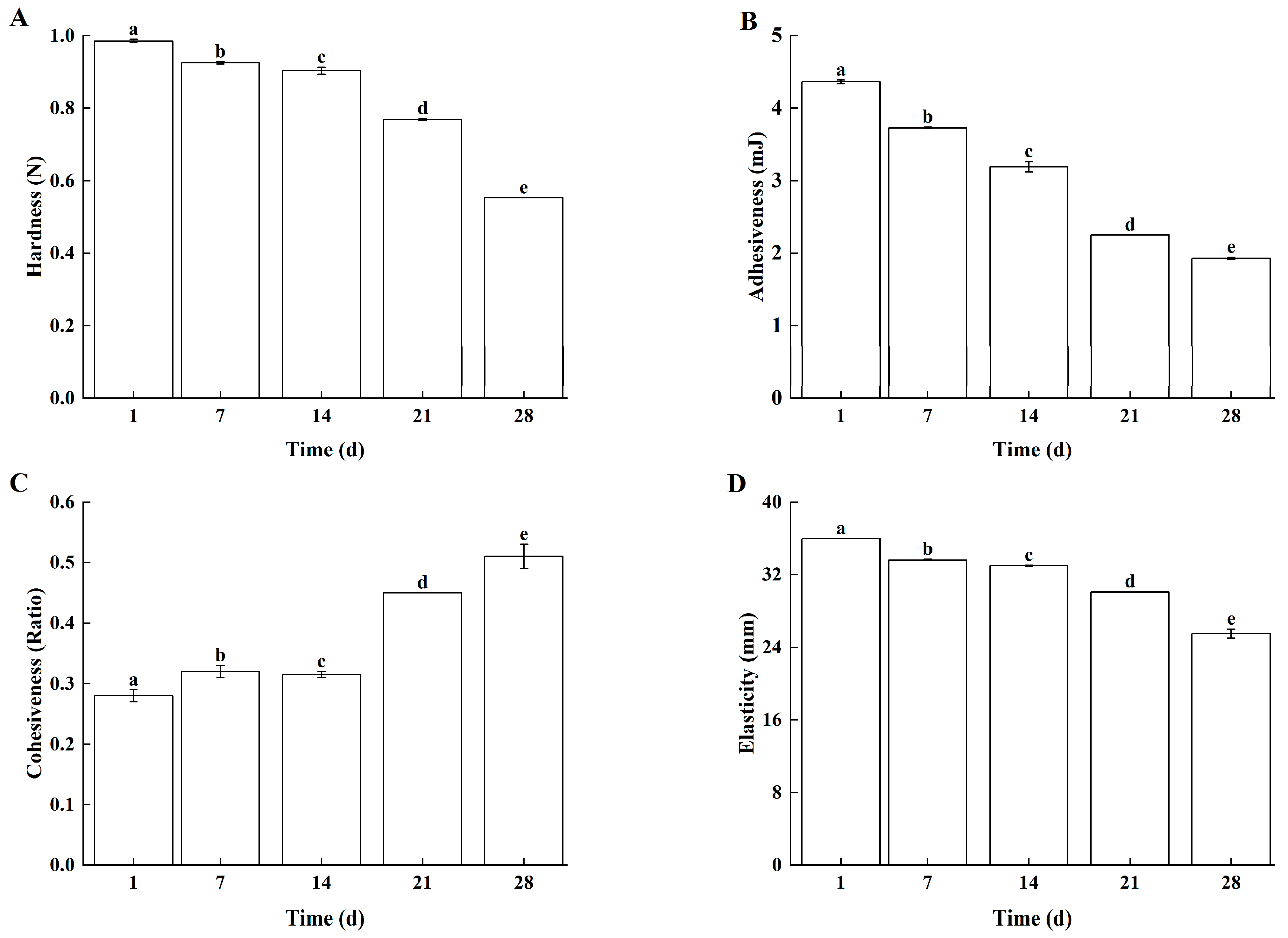
3.2.1. Fermentation Characteristics
3.2.2. Textural Properties
3.2.3. Rheological Properties
3.2.4. Free Fatty Acid Composition
4. Conclusions
Author Contributions
Funding
Institutional Review Board Statement
Informed Consent Statement
Data Availability Statement
Conflicts of Interest
References
- Luvian-Morales, J.; Varela-Castillo, F.O.; Flores-Cisneros, L.; Cetina-Perez, L.; Castro-Eguiluz, D. Functional foods modulating inflammation and metabolism in chronic diseases: A systematic review. Crit. Rev. Food Sci. 2022, 62, 4371–4392. [Google Scholar] [CrossRef] [PubMed]
- Wang, M.S.; Fan, M.; Zheng, A.R.; Wei, C.K.; Liu, D.H.; Thaku, K.; Wei, Z.J. Characterization of a fermented dairy, sour cream: Lipolysis and the release profile of flavor compounds. Food Chem. 2023, 423, 136299. [Google Scholar] [CrossRef] [PubMed]
- Ekinci, F.Y.; Okur, O.D.; Ertekin, B.; Guzel-Seydim, Z. Effects of probiotic bacteria and oils on fatty acid profiles of cultured cream. Eur. J. Lipid Sci. Technol. 2008, 110, 216–224. [Google Scholar] [CrossRef]
- Wang, Y.Y.; Zhang, C.H.; Liu, F.S.; Jin, Z.Y.; Xia, X.L. Ecological succession and functional characteristics of lactic acid bacteria in traditional fermented foods. Crit. Rev. Food Sci. 2023, 63, 5841–5855. [Google Scholar] [CrossRef]
- Aryana, K.J.; Olson, D.W. A 100-Year: Yogurt and other cultured dairy products. J. Dairy Sci. 2017, 100, 9987–10013. [Google Scholar] [CrossRef]
- Narvhus, J.A.; Ostby, N.; Abrahamsen, R.K. Science and technology of cultured cream products: A review. Int. Dairy J. 2019, 93, 57–71. [Google Scholar] [CrossRef]
- Erkaya, T.; Ürkek, B.; Dogru, Ü.; Çetin, B.; Sengül, M. Probiotic butter: Stability, free fatty acid composition and some quality parameters during refrigerated storage. Int. Dairy J. 2015, 49, 102–110. [Google Scholar] [CrossRef]
- Khademi, F.; Raeisi, S.N.; Younesi, M.; Motamedzadegan, A.; Rabiei, K.; Shojaei, M.; Rokni, H.; Falsafi, M. Effect of probiotic bacteria on physicochemical, microbiological, textural, sensory properties and fatty acid profile of sour cream. Food Chem. Toxicol. 2022, 166, 113244. [Google Scholar] [CrossRef] [PubMed]
- Yu, P.; Guan, C.; Yuan, Y.; Liu, Y.; Wang, X.; Yang, R.; Zhang, C.; Chen, D.; Huang, Y.; Gu, R. Characterization of Lactococcus lactis grx602: A novel lipase-producing probiotic strain for nutritional and sensory enhancement of sour cream. Food Biosci. 2025, 74, 107918. [Google Scholar] [CrossRef]
- Kumar, P.; Mishra, H.N. Effect of mango pulp and soymilk fortification on the texture profile of set yoghurt made from buffalo milk. J. Texture Stud. 2003, 34, 249–269. [Google Scholar] [CrossRef]
- Guan, C.; Chen, X.; Zhao, R.; Yuan, Y.; Huang, X.; Su, J.; Ding, X.; Chen, X.; Huang, Y.; Gu, R. A weak post-acidification Lactobacillus helveticus UV mutant with improved textural properties. Food Sci. Nutr. 2021, 9, 469–479. [Google Scholar] [CrossRef] [PubMed]
- Ewe, J.A.; Loo, S.Y. Effect of cream fermentation on microbiological, physicochemical and rheological properties of L. helveticus-butter. Food Chem. 2016, 201, 29–36. [Google Scholar] [CrossRef]
- Touhami, S.; Marciniak, A.; Doyen, A.; Brisson, G. Effect of alkalinization and ultra-high-pressure homogenization on casein micelles in raw and pasteurized skim milk. J. Dairy Sci. 2022, 105, 2815–2827. [Google Scholar] [CrossRef]
- Gharbi, N.; Stone, D.; Fittipaldi, N.; Unger, S.; O’Connor, D.L.; Pouliot, Y.; Doyen, A. Application of pressure homogenization on whole human milk pasteurized by high hydrostatic pressure: Effect on protein aggregates in milk fat globule membrane and skim milk phases. Food Chem. 2024, 455, 139863. [Google Scholar] [CrossRef]
- Kim, S.C.; Yun, S.Y.; Ahn, N.H.; Kim, S.M.; Imm, J.Y. Effect of Homogenization pressure on plasmin activity and mechanical stress-induced fat aggregation of commercially sterilized ultra high temperature milk during storage. Food Sci. Anim. Resour. 2020, 40, 734–745. [Google Scholar] [CrossRef]
- Li, J.; Xu, H.; Wang, G.; Gao, Y.; Jiang, Z.; Hou, J. Consequence of high-pressure homogenization on the whipping characteristics of soybean oil body cream. Food Chem. 2025, 468, 142450. [Google Scholar] [CrossRef] [PubMed]
- Innocente, N.; Biasutti, M.; Venir, E.; Spaziani, M.; Marchesini, G. Effect of high-pressure homogenization on droplet size distribution and rheological properties of ice cream mixes. J. Dairy Sci. 2009, 92, 1864–1875. [Google Scholar] [CrossRef] [PubMed]
- Kessler, H.G. Food and Bio Process Engineering; Publishing House A. Kessler: Munich, Germany, 2002. [Google Scholar]
- Mulder, H.; Walstra, P. The milk fat globule. Emulsion science as applied to milk products and comparable foods. In Technical Communication, Commonwealth Bureau of Dairy Science and Technology; Centre for Agricultural Publishing and Documentation: Wageningen, The Netherlands, 1974. [Google Scholar]
- Emmons, D.B.; Tuckey, S.L. Cottage Cheese and Other Cultured Milk Products; Chas. Phizer: New York, NY, USA, 1967. [Google Scholar]
- El-Nimr, A.A.; Szakaly, S.; Schaffer, B. Effect of homogenization on some properties of sour cream. Egypt. J. Dairy Sci. 1975, 3, 104–112. [Google Scholar]
- Brighenti, M.; Govindasamy-Lucey, S.; Jaeggi, J.J.; Johnson, M.E.; Lucey, J.A. Effects of processing conditions on the texture and rheological properties of model acid gels and cream cheese. J. Dairy Sci. 2018, 101, 6762–6775. [Google Scholar] [CrossRef]
- Wardani, S.K.; Cahyanto, M.N.; Rahayu, E.S.; Utami, T. The effect of inoculum size and incubation temperature on cell growth, acid production and curd formation during milk fermentation by Lactobacillus plantarum Dad 13. Int. Food Res. J. 2017, 24, 921–926. [Google Scholar]
- Nor-Khaizura, M.A.R.; Flint, S.H.; McCarthy, O.J.; Palmer, J.S.; Golding, M. Modelling the effect of fermentation temperature and time on starter culture growth, acidification and firmness in made-in-transit yoghurt. LWT 2019, 106, 113–121. [Google Scholar] [CrossRef]
- Dagdemir, E.; Cakmakci, S.; Gundogdu, E. Effect of and essential oils on the stability of cow milk butter. Eur. J. Lipid Sci. Technol. 2009, 111, 1118–1123. [Google Scholar] [CrossRef]
- Zalán, Z.; Hudácek, J.; Stetina, J.; Chumchalová, J.; Halász, A. Production of organic acids by Lactobacillus strains in three different media. Eur. Food Res. Technol. 2010, 230, 395–404. [Google Scholar] [CrossRef]
- Buriti, F.C.A.; da Rocha, J.S.; Saad, S.M.I. Incorporation of in Minas fresh cheese and its implications for textural and sensorial properties during storage. Int. Dairy J. 2005, 15, 1279–1288. [Google Scholar] [CrossRef]
- Ranadheera, C.S.; Evans, C.A.; Adams, M.C.; Baines, S.K. Probiotic viability and physico-chemical and sensory properties of plain and stirred fruit yogurts made from goat’s milk. Food Chem. 2012, 135, 1411–1418. [Google Scholar] [CrossRef]
- Mudgil, D.; Barak, S.; Khatkar, B.S. Texture profile analysis of yogurt as influenced by partially hydrolyzed guar gum and process variables. J. Food Sci. Technol. 2017, 54, 3810–3817. [Google Scholar] [CrossRef] [PubMed]
- Hilali, M.; El-Mayda, E.; Rischkowsky, B. Characteristics and utilization of sheep and goat milk in the Middle East. Small Rumin. Res. 2011, 101, 92–101. [Google Scholar] [CrossRef]
- Seo, C.W. Effect of galactomannan addition on rheological, physicochemical, and microbial properties of cultured sour cream. Food Sci. Biotechnol. 2022, 31, 571–577. [Google Scholar] [CrossRef] [PubMed]
- Misawa, N.; Barbano, D.M.; Drake, M. Influence of casein as a percentage of true protein and protein level on color and texture of milks containing 1 and 2% fat. J. Dairy Sci. 2016, 99, 5284–5304. [Google Scholar] [CrossRef]
- Lee, W.J.; Lucey, J.A. Impact of gelation conditions and structural breakdown on the physical and sensory properties of stirred yogurts. J. Dairy Sci. 2006, 89, 2374–2385. [Google Scholar] [CrossRef] [PubMed]
- Danylenko, S.G.; Bodnarchuk, O.V.; Ryzhkova, T.M.; Diukareva, G.I.; Malafaiev, M.T.; Verbytsky, S.B. The Effects of thickeners upon the viscous properties of sour cream with a low fat content. Acta Sci. Pol. Technol. Aliment. 2020, 19, 359–368. [Google Scholar] [CrossRef] [PubMed]
- Yilmaz-Ersan, L. Fatty acid composition of cream fermented by probiotic bacteria. Mljekarstvo 2013, 63, 132–139. [Google Scholar]
- Kankaanpää, P.E.; Salminen, S.J.; Isolauri, E.; Lee, Y.K. The influence of polyunsaturated fatty acids on probiotic growth and adhesion. FEMS Microbiol. Lett. 2001, 194, 149–153. [Google Scholar] [CrossRef] [PubMed]
- Partanen, L.; Marttinen, N.; Alatossava, T. Fats and fatty acids as growth factors for. Syst. Appl. Microbiol. 2001, 24, 500–506. [Google Scholar] [CrossRef]
- Shahidi, F.; Hossain, A. Role of lipids in food flavor generation. Molecules 2022, 27, 5014. [Google Scholar] [CrossRef]
- Meng, H.; Matthan, N.R.; Wu, D.; Li, L.; Rodriguez-Morato, J.; Cohen, R.; Galluccio, J.M.; Dolnikowski, G.G.; Lichtenstein, A.H. Comparison of diets enriched in stearic, oleic, and palmitic acids on inflammation, immune response, cardiometabolic risk factors, and fecal bile acid concentrations in mildly hypercholesterolemic postmenopausal women-randomized crossover trial. Am. J. Clin. Nutr. 2019, 110, 305–315. [Google Scholar] [CrossRef]







| FFAs | Time | |||||
|---|---|---|---|---|---|---|
| 1 d | 7 d | 14 d | 21 d | 28 d | ||
| SCFA | C6:0 | / | 0.03 ± 0.01 d | 0.30 ± 0.04 a | 0.19 ± 0.03 c | 0.23 ± 0.03 b |
| MCFA | C8:0 | / | 0.14 ± 0.02 d | 0.47 ± 0.05 a | 0.41 ± 0.04 b | 0.38 ± 0.03 c |
| C10:0 | 0.31 ± 0.03 e | 1.25 ± 0.07 d | 2.11 ± 0.11 a | 2.03 ± 0.10 b | 1.85 ± 0.09 c | |
| C11:0 | / | / | 0.14 ± 0.02 a | 0.13 ± 0.02 a | 0.13 ± 0.02 a | |
| C12:0 | 1.92 ± 0.05 e | 3.23 ± 0.09 d | 4.14 ± 0.13 a | 4.03 ± 0.12 b | 3.82 ± 0.11 c | |
| C13:0 | / | / | 0.12 ± 0.02 a | 0.11 ± 0.02 a | 0.11 ± 0.02 a | |
| C14:0 | 10.1 ± 0.15 e | 12 ± 0.18 d | 13.43 ± 0.21 a | 13.12 ± 0.20 b | 12.98 ± 0.19 c | |
| C14:1 | 0.54 ± 0.03 b | 1.03 ± 0.05 a | 1.09 ± 0.05 a | 1.07 ± 0.05 a | 1.06 ± 0.05 a | |
| C15:0 | 1.21 ± 0.05 c | 1.69 ± 0.05 ab | 1.73 ± 0.05 a | 1.62 ± 0.04 b | 1.71 ± 0.05 a | |
| LCFA | C16:0 | 31.01 ± 0.25 a | 27.75 ± 0.23 e | 29.36 ± 0.24 c | 30.11 ± 0.24 b | 28.28 ± 0.23 d |
| C16:1 | 1.39 ± 0.05 b | 1.84 ± 0.06 a | 1.77 ± 0.06 a | 1.78 ± 0.06 a | 1.73 ± 0.06 a | |
| C17:0 | 0.56 ± 0.03 c | 0.78 ± 0.04 a | 0.7 ± 0.04 ab | 0.68 ± 0.04 b | 0.73 ± 0.04 ab | |
| C18:0 | 12.45 ± 0.15 a | 12.71 ± 0.15 a | 11.5 ± 0.14 b | 11.56 ± 0.14 b | 12.55 ± 0.15 a | |
| C18:1n9c | 18.34 ± 0.20 a | 16.35 ± 0.19 b | 13.49 ± 0.17 d | 15.13 ± 0.18 c | 15.42 ± 0.18 c | |
| C18:2n6c | 1.89 ± 0.05 c | 2.22 ± 0.05 a | 2.17 ± 0.05 ab | 2.27 ± 0.05 a | 2.12 ± 0.05 b | |
| C18:3n3 | 0.71 ± 0.03 c | 0.96 ± 0.03 a | 0.85 ± 0.03 b | 0.84 ± 0.03 b | 0.87 ± 0.03 b | |
| C18:2c9t11 | 1.52 ± 0.04 c | 2.03 ± 0.05 a | 1.67 ± 0.04 b | 1.69 ± 0.04 b | 1.75 ± 0.04 b | |
| VLCFA | C20:0 | 0.19 ± 0.01 a | 0.21 ± 0.01 a | 0.20 ± 0.01 a | 0.19 ± 0.01 a | 0.22 ± 0.01 a |
| C20:1n9 | 0.15 ± 0.01 b | 0.18 ± 0.01 a | 0.11 ± 0.01 c | 0.11 ± 0.01 c | 0.12 ± 0.01 c | |
| C20:3n6 | / | 0.11 ± 0.01 a | 0.09 ± 0.01 a | 0.09 ± 0.01 a | 0.09 ± 0.01 a | |
| C20:4n6 | 0.15 ± 0.01 c | 0.25 ± 0.02 a | 0.14 ± 0.01 c | 0.20 ± 0.02 b | 0.15 ± 0.01 c | |
| C20:5n3 | 0.08 ± 0.01 c | 0.20 ± 0.01 a | 0.14 ± 0.01 b | 0.14 ± 0.01 b | 0.12 ± 0.01 b | |
Disclaimer/Publisher’s Note: The statements, opinions and data contained in all publications are solely those of the individual author(s) and contributor(s) and not of MDPI and/or the editor(s). MDPI and/or the editor(s) disclaim responsibility for any injury to people or property resulting from any ideas, methods, instructions or products referred to in the content. |
© 2025 by the authors. Licensee MDPI, Basel, Switzerland. This article is an open access article distributed under the terms and conditions of the Creative Commons Attribution (CC BY) license (https://creativecommons.org/licenses/by/4.0/).
Share and Cite
He, X.; Cheng, J.; Tang, J.; Guan, C. Optimization of Preparation Conditions and Storage Quality of Sour Cream Fermented by Lactococcus lactis grx602. Foods 2025, 14, 4159. https://doi.org/10.3390/foods14234159
He X, Cheng J, Tang J, Guan C. Optimization of Preparation Conditions and Storage Quality of Sour Cream Fermented by Lactococcus lactis grx602. Foods. 2025; 14(23):4159. https://doi.org/10.3390/foods14234159
Chicago/Turabian StyleHe, Xiaolong, Jintao Cheng, Jianhua Tang, and Chengran Guan. 2025. "Optimization of Preparation Conditions and Storage Quality of Sour Cream Fermented by Lactococcus lactis grx602" Foods 14, no. 23: 4159. https://doi.org/10.3390/foods14234159
APA StyleHe, X., Cheng, J., Tang, J., & Guan, C. (2025). Optimization of Preparation Conditions and Storage Quality of Sour Cream Fermented by Lactococcus lactis grx602. Foods, 14(23), 4159. https://doi.org/10.3390/foods14234159

