Preparation of Bovine Hides Gelatin by Ultra-High Pressure Technique and the Effect of Its Replacement Fat on the Quality and In Vitro Digestion of Beef Patties
Abstract
:1. Introduction
2. Materials and Methods
2.1. Materials
2.2. UHP-Assisted Preparation of Bovine Gelatin
2.3. Prepare Beef Patties Process
2.4. Experimental Design and Optimization
2.4.1. Single-Factor Experiment
2.4.2. Box-Behnken Design
2.5. Cooking Losses
2.6. Textural Analysis
2.7. Sensory Evaluation
2.8. Analysis of Fatty Acid Composition
2.9. Analysis of Amino Acid Composition
2.10. Digestibility
2.11. Data Analysis
3. Results and Discussion
3.1. Optimization of Beef Patty Preparation Process
3.1.1. Single-Factor Experimental Results
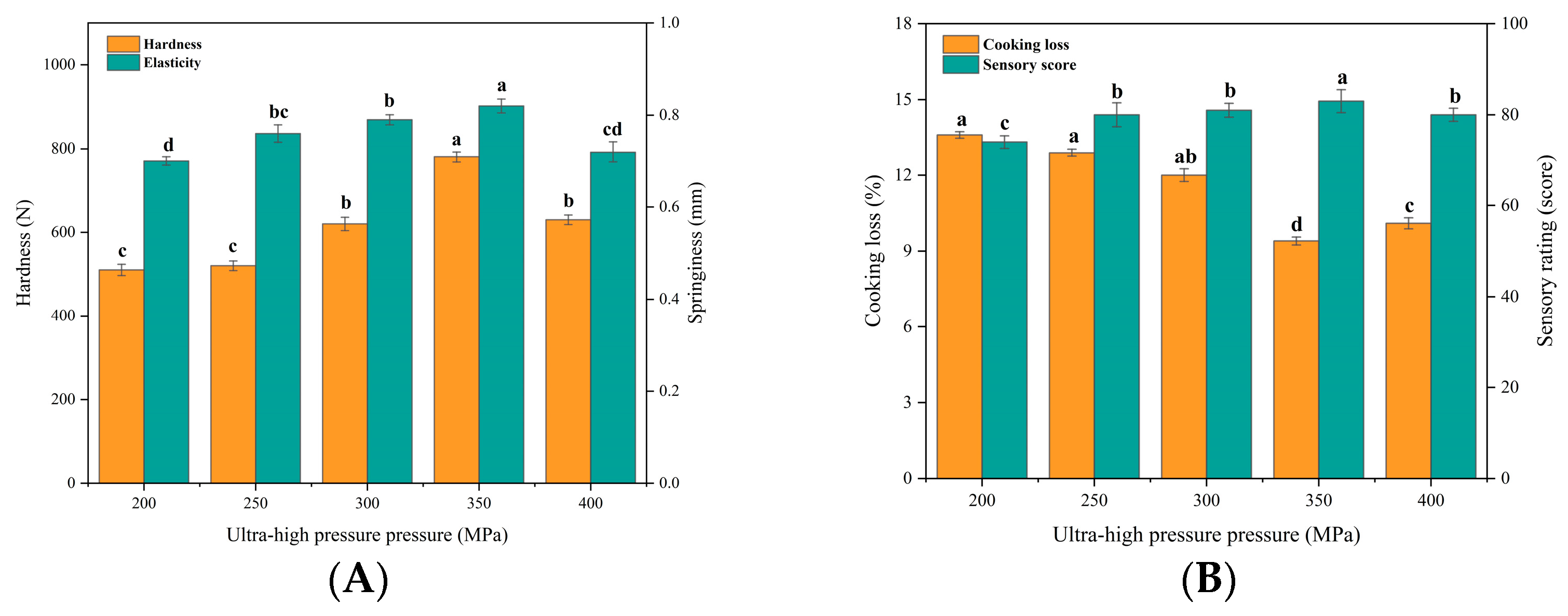
Effect of Bovine Collagen on Beef Patties under Different UHP
Effect of Bovine Collagen on Beef Patties under Different UHP Time
Effect of Bovine Collagen on Beef Patties at Different NaCl Additions
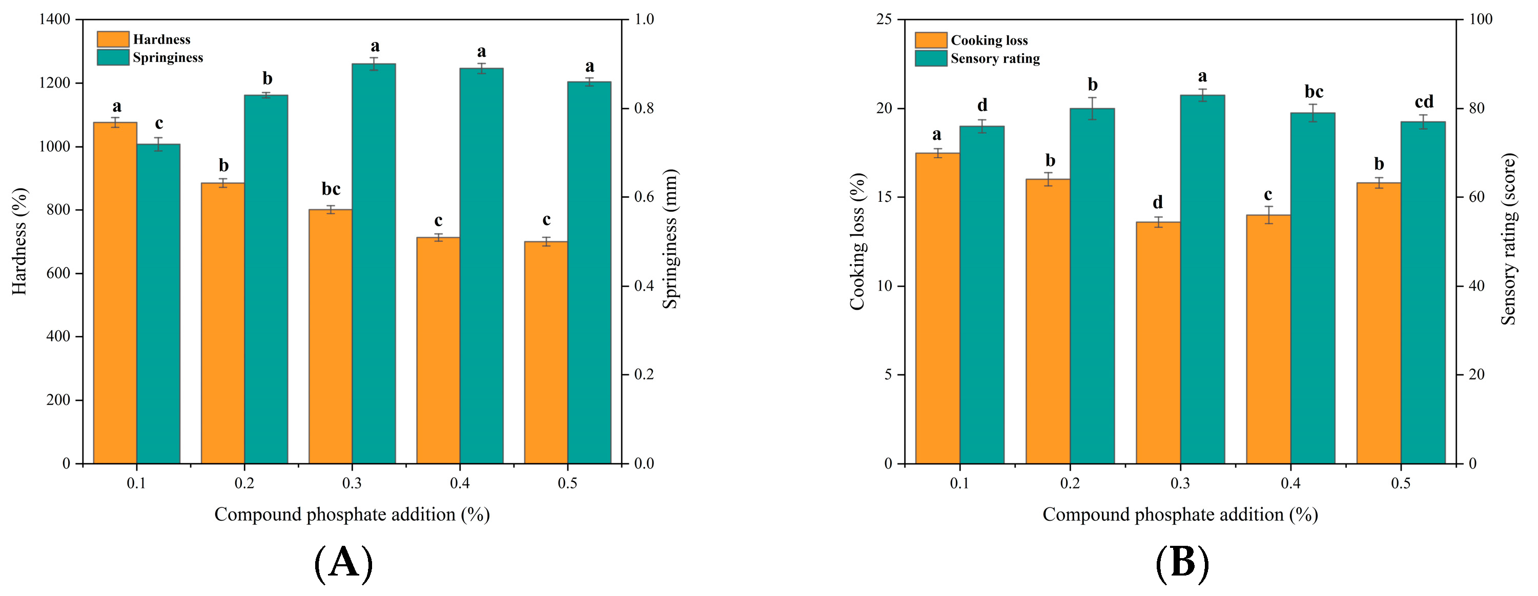
Effect of Kraft Collagen on Beef Patties with Different Compound Phosphate Additions
3.1.2. Response Surface Optimization Test Results and Analysis of Variance
3.2. Analysis of Variance
3.2.1. Analysis of Interaction among All Factors
3.2.2. Validation Experiments
3.3. Effect of Cow Skin Gelatin on Fatty Acids in Beef Patties
3.4. Effect of Cow Skin Gelatin on Amino Acids in Beef Patties
3.5. Effect of Kraft Gelatin on the In Vitro Digestibility of Beef Patties Protein
4. Conclusions
Author Contributions
Funding
Data Availability Statement
Acknowledgments
Conflicts of Interest
References
- Liu, S.; Lu, J.; Zhang, J.; Su, X.; Peng, X.; Guan, H.; Shi, C. Emulsion gels prepared with chia mucilage and olive oil as a new animal fat replacer in beef patties. J. Food Process. Preserv. 2022, 46, e16972. [Google Scholar] [CrossRef]
- Eshag Osman, M.F.; Mohamed, A.A.; Alamri, M.S.; Ahmed, I.A.M.; Hussain, S.; Ibraheem, M.I.; Qasem, A. Quality Characteristics of Beef Patties Prepared with Octenyl-Succinylated (Osan) Starch. Foods 2021, 10, 1157. [Google Scholar] [CrossRef] [PubMed]
- Bays, H.E.; Jones, P.H.; Brown, W.V.; Jacobson, T.A. National Lipid Association Annual Summary of Clinical Lipidology 2015. J. Clin. Lipidol. 2014, 8, S1–S36. [Google Scholar] [CrossRef] [PubMed]
- Barbut, S.; Wood, J.; Marangoni, A.G. Effects of Organogel Hardness and Formulation on Acceptance of Frankfurters. J. Food Sci. 2016, 81, C2183–C2188. [Google Scholar] [CrossRef] [PubMed]
- Lu, F.; Kuhnle, G.K.; Cheng, Q. Vegetable oil as fat replacer inhibits formation of heterocyclic amines and polycyclic aromatic hydrocarbons in reduced fat pork patties. Food Control 2017, 81, 113–125. [Google Scholar] [CrossRef]
- Xu, M.; Wei, L.; Xiao, Y.; Bi, H.; Yang, H.; Du, Y. Molecular structural properties of extracted gelatin from Yak skin as analysed based on molecular weight. Int. J. Food Prop. 2017, 20, S543–S555. [Google Scholar] [CrossRef]
- Moghtadaei, M.; Soltanizadeh, N.; Goli, S.A.H. Production of sesame oil oleogels based on beeswax and application as partial substitutes of animal fat in beef burger. Food Res. Int. 2018, 108, 368–377. [Google Scholar] [CrossRef]
- Niu, Y.; Fang, H.; Huo, T.; Sun, X.; Gong, Q.; Yu, L. A novel fat replacer composed by gelatin and soluble dietary fibers from black bean coats with its application in meatballs. LWT 2020, 122, 109000. [Google Scholar] [CrossRef]
- Chen, Y.; She, Y.; Zhang, R.; Wang, J.; Zhang, X.; Gou, X. Use of starch-based fat replacers in foods as a strategy to reduce dietary intake of fat and risk of metabolic diseases. Food Sci. Nutr. 2020, 8, 16–22. [Google Scholar] [CrossRef]
- Yang, Z.; McClements, D.J.; Xu, Z.; Meng, M.; Li, C.; Chen, L.; Qiu, C.; Long, J.; Jin, Z. Carbohydrate-based functional ingredients derived from starch: Current status and future prospects. Food Hydrocoll. 2022, 131, 107729. [Google Scholar] [CrossRef]
- Baugreet, S.; Kerry, J.P.; Botinestean, C.; Allen, P.; Hamill, R.M. Development of novel fortified beef patties with added functional protein ingredients for the elderly. Meat Sci. 2016, 122, 40–47. [Google Scholar] [CrossRef] [PubMed]
- Shen, Y.; Hong, S.; Du, Z.; Chao, M.; O’Quinn, T.; Li, Y. Effect of adding modified pea protein as functional extender on the physical and sensory properties of beef patties. LWT 2022, 154, 112774. [Google Scholar] [CrossRef]
- Mariod, A.A.; Adam, H.F. Gelatin, Source, Extraction and Industrial Applications. Acta Sci. Pol. Technol. Aliment. 2013, 12, 135–147. [Google Scholar]
- Nitsuwat, S.; Zhang, P.; Ng, K.; Fang, Z. Fish gelatin as an alternative to mammalian gelatin for food industry: A meta-analysis. LWT 2021, 141, 110899. [Google Scholar] [CrossRef]
- Shen, X.; Zhang, M.; Bhandari, B.; Gao, Z. Novel technologies in utilization of byproducts of animal food processing: A review. Crit. Rev. Food Sci. Nutr. 2019, 59, 3420–3430. [Google Scholar] [CrossRef]
- Pancar, E.D.; Andiç, S.; Boran, G. Comparative Effects of Fish and Cow Gelatins and Locust Bean Gum on Chemical, Textural, and Sensory Properties of Yogurt. J. Aquat. Food Prod. Technol. 2016, 25, 843–853. [Google Scholar] [CrossRef]
- Nunez, S.M.; Cardenas, C.; Pinto, M.; Valencia, P.; Cataldo, P.; Guzman, F.; Almonacid, S. Bovine skin gelatin hydrolysates as potential substitutes for polyphosphates: The role of degree of hydrolysis and pH on water-holding capacity. J Food Sci. 2020, 85, 1988–1996. [Google Scholar] [CrossRef]
- Ma, Y.S.; Zhao, H.J.; Zhao, X.H. Comparison of the Effects of the Alcalase-Hydrolysates of Caseinate, and of Fish and Bovine Gelatins on the Acidification and Textural Features of Set-Style Skimmed Yogurt-Type Products. Foods 2019, 8, 501. [Google Scholar] [CrossRef]
- Ashrafi, A.; Babapour, H.; Johari, S.; Alimohammadi, F.; Teymori, F.; Nafchi, A.M.; Shahrai, N.N.; Huda, N.; Abedinia, A. Application of Poultry Gelatin to Enhance the Physicochemical, Mechanical, and Rheological Properties of Fish Gelatin as Alternative Mammalian Gelatin Films for Food Packaging. Foods 2023, 12, 670. [Google Scholar] [CrossRef]
- Ahmad, T.; Ismail, A.; Ahmad, S.A.; Khalil, K.A.; Kumar, Y.; Adeyemi, K.D.; Sazili, A.Q. Recent advances on the role of process variables affecting gelatin yield and characteristics with special reference to enzymatic extraction: A review. Food Hydrocoll. 2017, 63, 85–96. [Google Scholar] [CrossRef]
- Balasubramaniam, V.M.; Martinez-Monteagudo, S.I.; Gupta, R. Principles and application of high pressure-based technologies in the food industry. Annu. Rev. Food Sci. Technol. 2015, 6, 435–462. [Google Scholar] [CrossRef]
- Nan, J.; Zou, M.; Wang, H.; Xu, C.; Zhang, J.; Wei, B.; He, L.; Xu, Y. Effect of ultra-high pressure on molecular structure and properties of bullfrog skin collagen. Int. J. Biol. Macromol. 2018, 111, 200–207. [Google Scholar] [CrossRef]
- Tkaczewska, J.; Bukowski, M.; Mak, P. Identification of Antioxidant Peptides in Enzymatic Hydrolysates of Carp (Cyprinus carpio) Skin Gelatin. Molecules 2018, 24, 97. [Google Scholar] [CrossRef]
- Liu, L.; Abdullah; Tian, W.; Chen, M.; Huang, Y.; Xiao, J. Oral sensation and gastrointestinal digestive profiles of bigels tuned by the mass ratio of konjac glucomannan to gelatin in the binary hydrogel matrix. Carbohydr. Polym. 2023, 312, 120765. [Google Scholar] [CrossRef] [PubMed]
- Gao, Y.; Li, M.; Zhang, L.; Wang, Z.; Yu, Q.; Han, L. Preparation of rapeseed oil oleogels based on beeswax and its application in beef heart patties to replace animal fat. LWT 2021, 149, 111986. [Google Scholar] [CrossRef]
- da Silva, S.L.; Amaral, J.T.; Ribeiro, M.; Sebastiao, E.E.; Vargas, C.; de Lima Franzen, F.; Schneider, G.; Lorenzo, J.M.; Fries, L.L.M.; Cichoski, A.J.; et al. Fat replacement by oleogel rich in oleic acid and its impact on the technological, nutritional, oxidative, and sensory properties of Bologna-type sausages. Meat Sci. 2019, 149, 141–148. [Google Scholar] [CrossRef] [PubMed]
- Xiong, G.; Wang, P.; Zheng, H.; Xu, X.; Zhu, Y.; Zhou, G. Effects of Plant Oil Combinations Substituting Pork Back-Fat Combined with Pre-Emulsification on Physicochemical, Textural, Microstructural and Sensory Properties of Spreadable Chicken Liver PÂTÉ. J. Food Qual. 2016, 39, 331–341. [Google Scholar] [CrossRef]
- Tian, Z.; Cui, Y.; Lu, H.; Wang, G.; Ma, X. Effect of long-term dietary probiotic Lactobacillus reuteri 1 or antibiotics on meat quality, muscular amino acids and fatty acids in pigs. Meat Sci. 2021, 171, 108234. [Google Scholar] [CrossRef]
- Gallego, M.; Mora, L.; Hayes, M.; Reig, M.; Toldra, F. Effect of cooking and in vitro digestion on the antioxidant activity of dry-cured ham by-products. Food Res. Int. 2017, 97, 296–306. [Google Scholar] [CrossRef]
- Ma, F.; Chen, C.; Zheng, L.; Zhou, C.; Cai, K.; Han, Z. Effect of high pressure processing on the gel properties of salt-soluble meat protein containing CaCl2 and kappa-carrageenan. Meat Sci. 2013, 95, 22–26. [Google Scholar] [CrossRef]
- Zhang, F.; Fan, Q.; Li, H.; Chen, H.; Zheng, J. Preparation of konjac glucomannan/casein blending gels optimized by response surface methodology and assessment of the effects of high-pressure processing on their gel properties and structure. J. Sci. Food Agric. 2018, 98, 4160–4167. [Google Scholar] [CrossRef]
- Chen, L.; Ma, L.; Zhou, M.; Liu, Y.; Zhang, Y. Effects of pressure on gelatinization of collagen and properties of extracted gelatins. Food Hydrocoll. 2014, 36, 316–322. [Google Scholar] [CrossRef]
- Ma, X.-S.; Yi, S.-M.; Yu, Y.-M.; Li, J.-R.; Chen, J.-R. Changes in gel properties and water properties of Nemipterus virgatus surimi gel induced by high-pressure processing. LWT-Food Sci. Technol. 2015, 61, 377–384. [Google Scholar] [CrossRef]
- Petracci, M.; Bianchi, M.; Mudalal, S.; Cavani, C. Functional ingredients for poultry meat products. Trends Food Sci. Technol. 2013, 33, 27–39. [Google Scholar] [CrossRef]
- Tobin, B.D.; O’Sullivan, M.G.; Hamill, R.M.; Kerry, J.P. Effect of varying salt and fat levels on the sensory quality of beef patties. Meat Sci. 2012, 91, 460–465. [Google Scholar] [CrossRef] [PubMed]
- Iwasaki, T.; Noshiroya, K.; Saitoh, N.; Okano, K.; Yamamoto, K. Studies of the effect of hydrostatic pressure pretreatment on thermal gelation of chicken myofibrils and pork meat patty. Food Chem. 2006, 95, 474–483. [Google Scholar] [CrossRef]
- Glorieux, S.; Goemaere, O.; Steen, L.; Fraeye, I. Phosphate Reduction in Emulsified Meat Products: Impact of Phosphate Type and Dosage on Quality Characteristics. Food Technol. Biotechnol. 2017, 55, 390–397. [Google Scholar] [CrossRef] [PubMed]
- Thangavelu, K.P.; Kerry, J.P.; Tiwari, B.K.; McDonnell, C.K. Novel processing technologies and ingredient strategies for the reduction of phosphate additives in processed meat. Trends Food Sci. Technol. 2019, 94, 43–53. [Google Scholar] [CrossRef]
- Jia, Z.H.; Guo, Z.H.; Wang, W.; Yi, S.M.; Li, X.P.; Li, J.R.; Zhou, G.w. Effect of compound phosphate on the water-holding capacity and nutritional quality of sea bass (Lateolabrax japonicus) fillets. J. Food Process. Preserv. 2022, 46, e16511. [Google Scholar] [CrossRef]
- Julavittayanukul, O.; Benjakul, S.; Visessanguan, W. Effect of phosphate compounds on gel-forming ability of surimi from bigeye snapper (Priacanthus tayenus). Food Hydrocoll. 2006, 20, 1153–1163. [Google Scholar] [CrossRef]
- Elmadfa, I.; Kornsteiner, M. Fats and fatty acid requirements for adults. Ann. Nutr. Metab. 2009, 55, 56–75. [Google Scholar] [CrossRef] [PubMed]
- Yüncü, Ö.; Kavuşan, H.S.; Serdaroğlu, M. Chia (Salvia hispanica L.) Mucilage as a Novel Fat Replacer in Beef Patties Cooked with Different Methods: Physico-Chemical, Technological, and Nutritional Perspectives. J. Culin. Sci. Technol. 2022, 1–29. [Google Scholar] [CrossRef]
- Disetlhe, A.R.P.; Marume, U.; Mlambo, V.; Hugo, A. Effects of dietary humic acid and enzymes on meat quality and fatty acid profiles of broiler chickens fed canola-based diets. Asian-Australas. J. Anim. Sci. 2019, 32, 711–720. [Google Scholar] [CrossRef] [PubMed]
- Paola, A.S.; Isabel, Y.M. Effect of Frozen Storage on Biochemical Changes and Fatty Acid Composition of Mackerel (Scomber japonicus) Muscle. J. Food Res. 2014, 4. [Google Scholar] [CrossRef]
- Ke, P.J.; Ackman, R.G.; Linke, B.A.; Nash, D.M. Differential lipid oxidation in various parts of frozen mackerel. Int. J. Food Sci. Technol. 2007, 12, 37–47. [Google Scholar] [CrossRef]
- Lucas-Gonzalez, R.; Perez-Alvarez, J.A.; Viuda-Martos, M.; Fernandez-Lopez, J. Pork Liver Pate Enriched with Persimmon Coproducts: Effect of In Vitro Gastrointestinal Digestion on Its Fatty Acid and Polyphenol Profile Stability. Nutrients 2021, 13, 1332. [Google Scholar] [CrossRef]
- Zhu, X.; Ye, A.; Verrier, T.; Singh, H. Free fatty acid profiles of emulsified lipids during in vitro digestion with pancreatic lipase. Food Chem. 2013, 139, 398–404. [Google Scholar] [CrossRef]
- Oberli, M.; Marsset-Baglieri, A.; Airinei, G.; Sante-Lhoutellier, V.; Khodorova, N.; Remond, D.; Foucault-Simonin, A.; Piedcoq, J.; Tome, D.; Fromentin, G.; et al. High True Ileal Digestibility but Not Postprandial Utilization of Nitrogen from Bovine Meat Protein in Humans Is Moderately Decreased by High-Temperature, Long-Duration Cooking. J. Nutr. 2015, 145, 2221–2228. [Google Scholar] [CrossRef]
- Hinsberger, A.; Sandhu, B.K. Digestion and absorption. Curr. Paediatr. 2004, 14, 605–611. [Google Scholar] [CrossRef]
- Ganhao, R.; Morcuende, D.; Estevez, M. Protein oxidation in emulsified cooked burger patties with added fruit extracts: Influence on colour and texture deterioration during chill storage. Meat Sci. 2010, 85, 402–409. [Google Scholar] [CrossRef]
- Ketnawa, S.; Ogawa, Y. Evaluation of protein digestibility of fermented soybeans and changes in biochemical characteristics of digested fractions. J. Funct. Foods 2019, 52, 640–647. [Google Scholar] [CrossRef]
- Zou, X.; Zhou, G.; Yu, X.; Bai, Y.; Wang, C.; Xu, X.; Dai, C.; Li, C. In vitro protein digestion of pork cuts differ with muscle type. Food Res. Int. 2018, 106, 344–353. [Google Scholar] [CrossRef] [PubMed]
- Zając, M.; Guzik, P.; Kulawik, P.; Tkaczewska, J.; Florkiewicz, A.; Migdał, W. The quality of pork loaves with the addition of hemp seeds, de-hulled hemp seeds, hemp protein and hemp flour. LWT 2019, 105, 190–199. [Google Scholar] [CrossRef]
- Luo, J.; Taylor, C.; Nebl, T.; Ng, K.; Bennett, L.E. Effects of macro-nutrient, micro-nutrient composition and cooking conditions on in vitro digestibility of meat and aquatic dietary proteins. Food Chem. 2018, 254, 292–301. [Google Scholar] [CrossRef] [PubMed]
- Lee, S.; Choi, Y.S.; Jo, K.; Yong, H.I.; Jeong, H.G.; Jung, S. Improvement of meat protein digestibility in infants and the elderly. Food Chem. 2021, 356, 129707. [Google Scholar] [CrossRef] [PubMed]










| Item (g) | 0% | 25% | 50% | 75% | 100% |
|---|---|---|---|---|---|
| Beef | 52 | 52 | 52 | 52 | 52 |
| Beef fat | 13 | 9.75 | 6.5 | 3.25 | – |
| Cowhide gelatin | – | 3.25 | 6.5 | 9.75 | 13 |
| Salt | 0.8 | 0.8 | 0.8 | 0.8 | 0.8 |
| Pepper | 0.1 | 0.1 | 0.1 | 0.1 | 0.1 |
| Compound phosphate | 0.15 | 0.15 | 0.15 | 0.15 | 0.15 |
| Starch | 13 | 13 | 13 | 13 | 13 |
| Star anise | 0.05 | 0.05 | 0.05 | 0.05 | 0.05 |
| Clove | 0.05 | 0.05 | 0.05 | 0.05 | 0.05 |
| Fennel | 0.05 | 0.05 | 0.05 | 0.05 | 0.05 |
| Ice water | 20.8 | 20.8 | 20.8 | 20.8 | 20.8 |
| Level | Factor | |||
|---|---|---|---|---|
| A Pressure/MPa | B Time/min | C NaCl/% | D Complex Phosphates/% | |
| −1 | 300 | 15 | 1.3 | 0.2 |
| 0 | 350 | 20 | 1.5 | 0.3 |
| 1 | 400 | 25 | 1.7 | 0.4 |
| Evaluation Projects | Evaluation Criteria | Score |
|---|---|---|
| Color (20) | Golden surface color, uniform | 16–20 |
| Light yellow surface color, more uniform | 8–15 | |
| Surface color scorched black, uneven | 1–7 | |
| Taste (20) | Pure meat flavor, with a rich meatloaf flavor | 16–20 |
| Pure meat flavor, with a strong meatloaf flavor | 8–15 | |
| Meat flavor is lighter, meatloaf flavor is not strong | 1–7 | |
| Taste (30) | Unique flavor, crisp, and juicy | 25–30 |
| Average flavor, more crisp, less juicy | 13–24 | |
| Poor flavor, not crisp, basically no gravy | 1–12 | |
| Organizational form (30) | Dense organization, not easy to loosen, good springiness | 25–30 |
| Large tissue pores, easy to loosen, better springiness | 13–24 | |
| Loose tissue, loose, poor springiness | 1–12 |
| Run | Coded Values | Experimental Values | |||||
|---|---|---|---|---|---|---|---|
| A | B | C | D | Y1 | Y2 | Y | |
| 1 | −1 | −1 | 0 | 0 | 0.82 | 80.95 | 0.97 |
| 2 | 1 | −1 | 0 | 0 | 0.81 | 81.62 | 0.96 |
| 3 | −1 | 1 | 0 | 0 | 0.81 | 80.46 | 0.96 |
| 4 | 1 | 1 | 0 | 0 | 0.84 | 80.33 | 0.97 |
| 5 | 0 | 0 | −1 | −1 | 0.82 | 81.18 | 0.96 |
| 6 | 0 | 0 | 1 | −1 | 0.83 | 82.06 | 0.98 |
| 7 | 0 | 0 | −1 | 1 | 0.81 | 81.90 | 0.96 |
| 8 | 0 | 0 | 1 | 1 | 0.82 | 81.57 | 0.97 |
| 9 | −1 | 0 | 0 | −1 | 0.81 | 81.91 | 0.97 |
| 10 | 1 | 0 | 0 | −1 | 0.81 | 81.38 | 0.96 |
| 11 | −1 | 0 | 0 | 1 | 0.81 | 80.34 | 0.96 |
| 12 | 1 | 0 | 0 | 1 | 0.81 | 82.80 | 0.98 |
| 13 | 0 | −1 | −1 | 0 | 0.82 | 81.23 | 0.97 |
| 14 | 0 | 1 | −1 | 0 | 0.81 | 80.50 | 0.96 |
| 15 | 0 | −1 | 1 | 0 | 0.82 | 81.58 | 0.97 |
| 16 | 0 | 1 | 1 | 0 | 0.83 | 81.33 | 0.97 |
| 17 | −1 | 0 | −1 | 0 | 0.82 | 81.42 | 0.97 |
| 18 | 1 | 0 | −1 | 0 | 0.81 | 82.23 | 0.97 |
| 19 | −1 | 0 | 1 | 0 | 0.84 | 80.00 | 0.97 |
| 20 | 1 | 0 | 1 | 0 | 0.81 | 82.98 | 0.97 |
| 21 | 0 | −1 | 0 | −1 | 0.81 | 81.20 | 0.96 |
| 22 | 0 | 1 | 0 | −1 | 0.82 | 80.60 | 0.96 |
| 23 | 0 | −1 | 0 | 1 | 0.81 | 80.82 | 0.96 |
| 24 | 0 | 1 | 0 | 1 | 0.82 | 80.80 | 0.96 |
| 25 | 0 | 0 | 0 | 0 | 0.81 | 84.23 | 0.98 |
| 26 | 0 | 0 | 0 | 0 | 0.83 | 83.09 | 0.98 |
| 27 | 0 | 0 | 0 | 0 | 0.82 | 83.29 | 0.98 |
| 28 | 0 | 0 | 0 | 0 | 0.82 | 84.50 | 0.99 |
| 29 | 0 | 0 | 0 | 0 | 0.83 | 83.34 | 0.98 |
| Source of Variation | S.S. | DF. | M.S. | F-Value | p-Value | Sig. |
|---|---|---|---|---|---|---|
| Model | 14 | 32.73 | <0.0001 | ** | ||
| A | 1 | 22.68 | 0.0003 | ** | ||
| B | 1 | 6.06 | 0.0274 | * | ||
| C | 1 | 36.21 | <0.0001 | ** | ||
| D | 1 | 0.068 | 0.7986 | |||
| AB | 1 | 9.65 | 0.0077 | ** | ||
| AC | 1 | 1.40 | 0.2571 | |||
| AD | 1 | 12.02 | 0.0038 | ** | ||
| BC | 1 | 4.01 | 0.0649 | |||
| BD | 1 | 2.23 | 0.1572 | |||
| CD | 1 | 0.023 | 0.8805 | |||
| A2 | 1 | 100.50 | <0.0001 | ** | ||
| B2 | 1 | 164.60 | <0.0001 | ** | ||
| C2 | 1 | 169.39 | <0.0001 | ** | ||
| D2 | 1 | 130.46 | <0.0001 | ** | ||
| Residual | 14 | |||||
| Lack of fit | 10 | 2.30 | 0.2197 | |||
| Net error | 4 | |||||
| Total deviation | 28 |
| Items | R(%) | T | S.E | |||||||||||
|---|---|---|---|---|---|---|---|---|---|---|---|---|---|---|
| 0 d | 7 d | 14 d | 21 d | 28 d | R | T | ||||||||
| Before | After | Before | After | Before | After | Before | After | Before | After | |||||
| C10:0 | 0 | 0.15 ± 0.01 Ba | 0.14 ± 0.01 Ba | 0.16 ± 0.01 ABa | 0.16 ± 0.01 ABa | 0.17 ± 0.01 ABa | 0.17 ± 0.01 ABa | 0.18 ± 0.01 ABa | 0.18 ± 0.01 Aa | 0.19 ± 0.01 Aa | 0.19 ± 0.01 Aa | <0.01 | ** | ** |
| 25 | 0.11 ± 0.01 Cb | 0.13 ± 0.01 Ba | 0.13 ± 0.01 BCb | 0.14 ± 0.01 Bb | 0.15 ± 0.01 ABab | 0.16 ± 0.01 ABa | 0.16 ± 0.01 ABa | 0.16 ± 0.01 ABb | 0.17 ± 0.01 Aa | 0.18 ± 0.01 Aab | ||||
| 50 | 0.10 ± 0.01 Bb | 0.11 ± 0.01 Cb | 0.12 ± 0.01 ABb | 0.13 ± 0.01 BCb | 0.13 ± 0.01 ABbc | 0.14 ± 0.01 ABCb | 0.13 ± 0.01 ABb | 0.15 ± 0.01 ABbc | 0.14 ± 0.01 Ab | 0.17 ± 0.01 Abc | ||||
| 75 | 0.07 ± 0.01 Cc | 0.09 ± 0.01 Cc | 0.08 ± 0.01 BCc | 0.11 ± 0.01 BCc | 0.11 ± 0.01 ABcd | 0.13 ± 0.01 ABb | 0.12 ± 0.01 Abc | 0.14 ± 0.01 ABcd | 0.13 ± 0.01 Abc | 0.16 ± 0.01 Ac | ||||
| 100 | 0.05 ± 0.01 Cc | 0.07 ± 0.01 Cd | 0.07 ± 0.01 BCc | 0.09 ± 0.01 BCd | 0.09 ± 0.01 ABd | 0.11 ± 0.01 ABc | 0.10 ± 0.01 ABc | 0.13 ± 0.01 Ad | 0.12 ± 0.01 Ac | 0.14 ± 0.01 Ad | ||||
| C11:0 | 0 | 1.50 ± 0.01 Da | 1.49 ± 0.01 Da | 1.68 ± 0.02 CDa | 1.65 ± 0.01 Ca | 1.81 ± 0.01 BCa | 1.78 ± 0.01 Ca | 1.98 ± 0.04 Ba | 1.97 ± 0.01 Ba | 2.23 ± 0.02 Aa | 2.17 ± 0.02 Aa | <0.01 | ** | ** |
| 25 | 1.31 ± 0.02 Cb | 1.29 ± 0.01 Db | 1.41 ± 0.03 Cb | 1.39 ± 0.04 Db | 1.63 ± 0.02 Bb | 1.58 ± 0.01 Cb | 1.77 ± 0.02 ABb | 1.74 ± 0.02 Bb | 1.90 ± 0.01 Ab | 1.86 ± 0.03 Ab | ||||
| 50 | 1.04 ± 0.01 Dc | 1.02 ± 0.01 Ec | 1.20 ± 0.02 Cc | 1.16 ± 0.01 Dc | 1.41 ± 0.04 Bc | 1.38 ± 0.01 Cc | 1.56 ± 0.02 Bc | 1.54 ± 0.02 Bc | 1.74 ± 0.01 Ac | 1.70 ± 0.01 Ac | ||||
| 75 | 0.76 ± 0.01 Dd | 0.72 ± 0.01 Dd | 0.82 ± 0.02 Dd | 0.80 ± 0.01 CDd | 0.96 ± 0.01 Cd | 0.93 ± 0.03 Cd | 1.11 ± 0.01 Bd | 1.10 ± 0.01 Bd | 1.33 ± 0.02 Ad | 1.30 ± 0.02 Ad | ||||
| 100 | 0.50 ± 0.01 De | 0.47 ± 0.02 Ce | 0.65 ± 0.03 Ce | 0.60 ± 0.02 Be | 0.75 ± 0.03 BCe | 0.72 ± 0.01 Be | 0.87 ± 0.04 ABe | 0.85 ± 0.02 Ae | 0.96 ± 0.02 Ae | 0.93 ± 0.02 Ae | ||||
| C12:0 | 0 | 0.18 ± 0.02 Da | 0.17 ± 0.01 Db | 0.22 ± 0.01 Ca | 0.20 ± 0.01 Db | 0.26 ± 0.01 Ba | 0.27 ± 0.02 Ca | 0.28 ± 0.02 Ba | 0.32 ± 0.01 Ba | 0.37 ± 0.02 Aa | 0.37 ± 0.03 Aa | <0.01 | ** | ** |
| 25 | 0.16 ± 0.02 Bab | 0.20 ± 0.01 Ca | 0.24 ± 0.01 Aa | 0.25 ± 0.01 Ba | 0.25 ± 0.01 Aa | 0.26 ± 0.02 Ba | 0.27 ± 0.02 Aa | 0.27 ± 0.03 ABb | 0.27 ± 0.04 Ab | 0.30 ± 0.01 Ab | ||||
| 50 | 0.15 ± 0.01 Cab | 0.16 ± 0.01 Cbc | 0.18 ± 0.01 BCb | 0.17 ± 0.01 Cbc | 0.21 ± 0.02 Bb | 0.21 ± 0.01 Bb | 0.21 ± 0.01 Bb | 0.23 ± 0.01 Bc | 0.27 ± 0.02 Ab | 0.25 ± 0.01 Ac | ||||
| 75 | 0.13 ± 0.02 Cbc | 0.13 ± 0.01 Dc | 0.15 ± 0.02 Cbc | 0.15 ± 0.01 CDcd | 0.16 ± 0.01 BCc | 0.17 ± 0.02 BCbc | 0.19 ± 0.02 ABb | 0.19 ± 0.01 ABd | 0.22 ± 0.02 Abc | 0.22 ± 0.01 Acd | ||||
| 100 | 0.10 ± 0.02 Dc | 0.10 ± 0.01 Dd | 0.13 ± 0.02 CDc | 0.13 ± 0.01 CDd | 0.15 ± 0.02 BCc | 0.15 ± 0.01 BCc | 0.17 ± 0.03 ABb | 0.17 ± 0.01 ABd | 0.19 ± 0.02 Ac | 0.20 ± 0.02 Ad | ||||
| C13:0 | 0 | 0.13 ± 0.01 Ca | 0.14 ± 0.01 Da | 0.16 ± 0.01 Ca | 0.17 ± 0.01 CDa | 0.20 ± 0.02 Ba | 0.20 ± 0.01 BCa | 0.23 ± 0.02 ABa | 0.23 ± 0.01 ABa | 0.26 ± 0.01 Aa | 0.25 ± 0.01 Aa | <0.01 | ** | ** |
| 25 | 0.12 ± 0.02 Da | 0.13 ± 0.02 Ba | 0.14 ± 0.02 CDab | 0.14 ± 0.01 Bb | 0.16 ± 0.02 BCab | 0.16 ± 0.01 Bb | 0.19 ± 0.02 ABab | 0.20 ± 0.02 Aa | 0.20 ± 0.01 Ab | 0.21 ± 0.01 Ab | ||||
| 50 | 0.10 ± 0.02 Cab | 0.10 ± 0.01 Cab | 0.11 ± 0.03 Cab | 0.12 ± 0.01 BCbc | 0.13 ± 0.02 BCbc | 0.14 ± 0.01 Bc | 0.15 ± 0.02 ABbc | 0.15 ± 0.01 ABb | 0.18 ± 0.03 Ab | 0.18 ± 0.01 Ac | ||||
| 75 | 0.08 ± 0.02 Cab | 0.08 ± 0.01 Db | 0.10 ± 0.03 Cab | 0.10 ± 0.01 CDcd | 0.11 ± 0.01 BCbc | 0.12 ± 0.01 BCd | 0.14 ± 0.02 ABbc | 0.14 ± 0.01 ABbc | 0.16 ± 0.02 Abc | 0.16 ± 0.01 Acd | ||||
| 100 | 0.06 ± 0.02 Cb | 0.07 ± 0.02 Cb | 0.08 ± 0.02 BCb | 0.08 ± 0.01 BCd | 0.09 ± 0.03 BCc | 0.09 ± 0.01 BCe | 0.11 ± 0.03 ABc | 0.11 ± 0.01 ABc | 0.13 ± 0.02 Ac | 0.13 ± 0.01 Ad | ||||
| C14:0 | 0 | 8.22 ± 0.08 Ea | 8.27 ± 0.08 Ea | 9.89 ± 0.06 Da | 9.80 ± 0.08 Da | 10.37 ± 0.07 Ca | 10.67 ± 0.07 Ca | 11.90 ± 0.09 Ba | 11.87 ± 0.06 Ba | 12.69 ± 0.09 Aa | 12.67 ± 0.02 Aa | <0.01 | ** | ** |
| 25 | 8.10 ± 0.01 Ea | 8.04 ± 0.03 Eb | 8.61 ± 0.09 Db | 8.70 ± 0.02 Db | 9.53 ± 0.02 Cb | 9.54 ± 0.04 Cb | 10.11 ± 0.03 Bb | 10.13 ± 0.03 Bb | 11.16 ± 0.05 Ab | 11.20 ± 0.02 Ab | ||||
| 50 | 7.71 ± 0.04 Eb | 7.70 ± 0.01 Ec | 8.53 ± 0.06 Dc | 8.61 ± 0.02 Db | 8.88 ± 0.09 Cc | 8.94 ± 0.08 Cc | 9.79 ± 0.11 Bc | 9.80 ± 0.01 Bc | 10.94 ± 0.06 Ac | 10.89 ± 0.03 Ac | ||||
| 75 | 6.79 ± 0.04 Ec | 6.80 ± 0.03 Ed | 7.17 ± 0.08 Dd | 7.22 ± 0.05 Dc | 7.75 ± 0.15 Cd | 7.81 ± 0.12 Cd | 8.96 ± 0.03 Bd | 8.91 ± 0.03 Bd | 9.90 ± 0.01 Ad | 9.93 ± 0.02 Ad | ||||
| 100 | 5.74 ± 0.08 Ed | 5.78 ± 0.05 Ee | 6.15 ± 0.06 d | 6.19 ± 0.03 Dd | 7.50 ± 0.03 Cd | 7.49 ± 0.04 Ce | 7.71 ± 0.02 Be | 7.69 ± 0.09 Be | 8.45 ± 0.05 Ae | 8.47 ± 0.06 Ae | ||||
| C15:0 | 0 | 1.29 ± 0.11 Da | 1.28 ± 0.07 Da | 1.59 ± 0.04 Ca | 1.62 ± 0.04 Ca | 1.84 ± 0.06 Ba | 1.88 ± 0.06 Ba | 1.90 ± 0.06 ABa | 1.91 ± 0.06 Ba | 2.04 ± 0.04 Aa | 2.09 ± 0.04 Aa | <0.01 | ** | ** |
| 25 | 1.04 ± 0.04 Cb | 1.06 ± 0.05 Db | 1.18 ± 0.09 Cb | 1.21 ± 0.06 CDb | 1.36 ± 0.09 Bb | 1.39 ± 0.04 BCb | 1.50 ± 0.05 ABb | 1.52 ± 0.06 ABb | 1.60 ± 0.06 Ab | 1.60 ± 0.11 Ab | ||||
| 50 | 0.92 ± 0.04 Dc | 0.98 ± 0.01 Cb | 0.95 ± 0.06 CDc | 0.93 ± 0.03 BCc | 1.02 ± 0.01 BCc | 1.07 ± 0.02 BCc | 1.11 ± 0.02 Bc | 1.13 ± 0.02 Bc | 1.28 ± 0.04 Ac | 1.34 ± 0.04 Ac | ||||
| 75 | 0.73 ± 0.05 Dd | 0.72 ± 0.11 Cc | 0.85 ± 0.05 CDc | 0.86 ± 0.04 BCc | 0.94 ± 0.03 BCd | 0.95 ± 0.06 ABc | 1.05 ± 0.04 ABc | 1.03 ± 0.01 Ac | 1.10 ± 0.01 Ad | 1.10 ± 0.03 Ad | ||||
| 100 | 0.61 ± 0.02 De | 0.60 ± 0.04 Cc | 0.70 ± 0.02 CDd | 0.69 ± 0.05 BCd | 0.81 ± 0.03 BCe | 0.80 ± 0.07 ABCd | 0.91 ± 0.02 ABd | 0.89 ± 0.04 ABd | 1.00 ± 0.03 Ae | 0.99 ± 0.04 Ad | ||||
| C16:0 | 0 | 15.71 ± 0.04 Aa | 15.91 ± 0.12 Aa | 16.22 ± 0.0 4 Ba | 16.30 ± 0.02 Ba | 17.30 ± 0.02 Ca | 17.31 ± 0.03 Ca | 18.75 ± 0.08 Da | 18.80 ± 0.09 Da | 19.04 ± 0.04 Ea | 19.08 ± 0.05 Ea | <0.01 | ** | ** |
| 25 | 13.82 ± 0.08 Ab | 13.90 ± 0.02 Ab | 15.59 ± 0.04 Bb | 15.68 ± 0.06 Bb | 15.89 ± 0.03 Cb | 15.93 ± 0.05 Cb | 16.62 ± 0.05 Db | 16.68 ± 0.06 Db | 17.51 ± 0.04 Eb | 17.58 ± 0.06 Eb | ||||
| 50 | 12.29 ± 0.06 Ac | 12.41 ± 0.02 Ac | 13.06 ± 0.03 Bc | 13.14 ± 0.04 Bc | 14.42 ± 0.05 Cc | 14.51 ± 0.02 Cc | 15.44 ± 0.14 Dc | 15.50 ± 0.01 Dc | 16.22 ± 0.04 Ec | 16.30 ± 0.02 Ec | ||||
| 75 | 10.74 ± 0.06 Ad | 10.78 ± 0.06 Ad | 11.73 ± 0.06 Bd | 11.67 ± 0.04 Bd | 13.31 ± 0.02 Cd | 13.30 ± 0.03 Cd | 14.11 ± 0.04 Dd | 14.20 ± 0.03 Dd | 15.12 ± 0.01 Ed | 15.17 ± 0.03 Ed | ||||
| 100 | 9.95 ± 0.06 Ae | 10.08 ± 0.05 Ae | 10.50 ± 0.02 Be | 10.57 ± 0.07 Be | 11.44 ± 0.08 Ce | 11.46 ± 0.04 Ce | 12.74 ± 0.06 De | 12.77 ± 0.08 De | 13.47 ± 0.06 Ee | 13.43 ± 0.06 Ee | ||||
| C17:0 | 0 | 0.87 ± 0.01 Aa | 0.84 ± 0.02 Aa | 0.95 ± 0.02 Ba | 0.96 ± 0.01 ABa | 1.07 ± 0.02 Ca | 1.09 ± 0.02 BCa | 1.11 ± 0.03 CDa | 1.13 ± 0.03 CDa | 1.17 ± 0.04 Da | 1.18 ± 0.04 Da | <0.01 | ** | ** |
| 25 | 0.75 ± 0.04 Ab | 0.80 ± 0.01 Aa | 0.82 ± 0.01 ABb | 0.84 ± 0.02 ABb | 0.94 ± 0.01 BCb | 0.93 ± 0.03 BCb | 0.98 ± 0.01 Cb | 0.99 ± 0.05 Cb | 1.04 ± 0.02 Db | 1.05 ± 0.01 Cb | ||||
| 50 | 0.63 ± 0.02 Ac | 0.68 ± 0.02 Ab | 0.70 ± 0.02 ABc | 0.72 ± 0.01 ABc | 0.78 ± 0.02 BCc | 0.84 ± 0.02 BCc | 0.83 ± 0.02 CDc | 0.87 ± 0.01 BCc | 0.96 ± 0.02 Dc | 0.98 ± 0.01 Cc | ||||
| 75 | 0.58 ± 0.02 Ad | 0.61 ± 0.02 Ac | 0.63 ± 0.02 ABd | 0.67 ± 0.01 Bc | 0.71 ± 0.02 Bd | 0.72 ± 0.01 Cd | 0.80 ± 0.02 Bc | 0.87 ± 0.02 Cc | 0.91 ± 0.02 Bcd | 0.97 ± 0.03 Dc | ||||
| 100 | 0.47 ± 0.02 Ae | 0.47 ± 0.04 Ad | 0.50 ± 0.02 Ae | 0.52 ± 0.04 Bd | 0.63 ± 0.01 Be | 0.64 ± 0.01 BCe | 0.74 ± 0.01 Bd | 0.75 ± 0.01 BCd | 0.87 ± 0.02 Bd | 0.88 ± 0.02 Cd | ||||
| C18:0 | 0 | 26.35 ± 0.06 Ea | 26.76 ± 0.18 Ea | 29.41 ± 0.04 Da | 29.50 ± 0.04 Da | 32.91 ± 0.09 Ca | 32.76 ± 0.15 Ca | 36.98 ± 0.06 Ba | 37.40 ± 0.23 Ba | 38.53 ± 0.05 Aa | 38.70 ± 0.13 Aa | <0.01 | ** | ** |
| 25 | 20.63 ± 0.05 Eb | 20.77 ± 0.17 Eb | 22.70 ± 0.07 Db | 22.60 ± 0.12 Db | 24.31 ± 0.04 Cb | 24.61 ± 0.11 Cb | 26.25 ± 0.08 Bb | 26.58 ± 0.29 Bb | 27.93 ± 0.06 Ab | 27.77 ± 0.11 Ab | ||||
| 50 | 14.94 ± 0.04 Ec | 15.07 ± 0.06 Ec | 16.16 ± 0.06 Dc | 16.42 ± 0.09 Dc | 17.47 ± 0.07 Cc | 17.60 ± 0.03 Cc | 19.15 ± 0.05 Bc | 19.26 ± 0.07 Bc | 20.69 ± 0.06 Ac | 20.79 ± 0.06 Ac | ||||
| 75 | 9.82 ± 0.04 Ed | 9.79 ± 0.17 Ed | 11.26 ± 0.04 Dd | 11.41 ± 0.04 Dd | 12.81 ± 0.04 Cd | 12.88 ± 0.05 Cd | 13.45 ± 0.06 Bd | 13.58 ± 0.06 Bd | 15.60 ± 0.03 Ad | 15.84 ± 0.08 Ad | ||||
| 100 | 3.36 ± 0.05 Ce | 3.47 ± 0.28 Ee | 4.04 ± 0.04 BCe | 4.15 ± 0.05 De | 6.39 ± 0.05 ABe | 6.61 ± 0.12 Ce | 6.72 ± 0.11 Ae | 6.88 ± 0.06 Be | 7.34 ± 0.06 Ae | 7.46 ± 0.05 Ae | ||||
| C20:0 | 0 | 1.05 ± 0.05 Ca | 1.08 ± 0.06 Ca | 1.16 ± 0.04 BCa | 1.19 ± 0.03 BCa | 1.23 ± 0.03 ABCa | 1.23 ± 0.06 BCa | 1.34 ± 0.04 ABa | 1.35 ± 0.04 ABa | 1.50 ± 0.06 Aa | 1.47 ± 0.04 Aa | <0.01 | ** | ** |
| 25 | 0.81 ± 0.03 Cb | 0.87 ± 0.02 Db | 0.92 ± 0.04 BCb | 0.94 ± 0.04 CDb | 1.01 ± 0.02 Bb | 1.03 ± 0.02 BCb | 1.09 ± 0.04 ABb | 1.15 ± 0.05 Bb | 1.25 ± 0.05 Ab | 1.29 ± 0.04 Ab | ||||
| 50 | 0.61 ± 0.02 Cc | 0.64 ± 0.04 Cc | 0.67 ± 0.02 Cc | 0.70 ± 0.02 Cc | 0.84 ± 0.04 Bc | 0.87 ± 0.02 Bc | 0.90 ± 0.02 Bc | 0.93 ± 0.02 Bc | 1.05 ± 0.06 Ac | 1.12 ± 0.01 Ac | ||||
| 75 | 0.41 ± 0.04 Bd | 0.44 ± 0.04 Bd | 0.45 ± 0.05 Bd | 0.49 ± 0.03 Bd | 0.55 ± 0.04 Bd | 0.60 ± 0.01 Bd | 0.75 ± 0.05 Ad | 0.81 ± 0.02 Ad | 0.81 ± 0.02 Ad | 0.81 ± 0.04 Ad | ||||
| 100 | 0.11 ± 0.02 De | 0.12 ± 0.01 De | 0.30 ± 0.02 Ce | 0.35 ± 0.03 Ce | 0.43 ± 0.03 BCe | 0.46 ± 0.05 BCe | 0.49 ± 0.04 Be | 0.51 ± 0.03 Be | 0.62 ± 0.04 Ae | 0.67 ± 0.03 Ae | ||||
| C14:1 | 0 | 1.33 ± 0.02 Ad | 1.35 ± 0.01 Ae | 1.23 ± 0.03 Ad | 1.26 ± 0.02 Ae | 0.94 ± 0.01 Bd | 1.06 ± 0.02 Be | 0.88 ± 0.03 Be | 0.98 ± 0.01 BCe | 0.71 ± 0.03 Ce | 0.87 ± 0.03 Ce | <0.01 | ** | ** |
| 25 | 1.37 ± 0.01 Ad | 1.45 ± 0.03 Ad | 1.29 ± 0.03 Ad | 1.35 ± 0.02 ABd | 1.18 ± 0.03 ABc | 1.23 ± 0.01 BCd | 1.06 ± 0.03 BCd | 1.07 ± 0.03 CDd | 0.93 ± 0.02 Cd | 0.97 ± 0.01 Dd | ||||
| 50 | 1.46 ± 0.06 Ac | 1.57 ± 0.04 Ac | 1.36 ± 0.02 ABc | 1.45 ± 0.01 ABc | 1.24 ± 0.03 BCc | 1.36 ± 0.01 ABc | 1.13 ± 0.02 CDc | 1.24 ± 0.02 BCc | 1.01 ± 0.03 Dc | 1.08 ± 0.02 Cc | ||||
| 75 | 1.58 ± 0.02 Ab | 1.67 ± 0.04 Ab | 1.47 ± 0.04 ABb | 1.57 ± 0.04 ABb | 1.35 ± 0.04 BCb | 1.42 ± 0.01 BCb | 1.27 ± 0.03 CDb | 1.36 ± 0.01 CDb | 1.16 ± 0.04 Db | 1.22 ± 0.01 Db | ||||
| 100 | 1.66 ± 0.03 Aa | 1.79 ± 0.01 Aa | 1.59 ± 0.03 ABa | 1.64 ± 0.01 ABa | 1.49 ± 0.04 ABa | 1.53 ± 0.02 BCa | 1.40 ± 0.02 BCa | 1.48 ± 0.01 BCa | 1.24 ± 0.03 Ca | 1.37 ± 0.03 Ca | ||||
| C16:1 | 0 | 0.12 ± 0.01 Ac | 0.20 ± 0.01 Ae | 0.11 ± 0.01 ABc | 0.18 ± 0.01 ABe | 0.08 ± 0.01 ABd | 0.14 ± 0.01 BCd | 0.07 ± 0.01 ABc | 0.11 ± 0.01 Ce | 0.05 ± 0.02 Bb | 0.10 ± 0.01 Cd | <0.01 | ** | ** |
| 25 | 0.14 ± 0.02 Ac | 0.30 ± 0.02 Ad | 0.12 ± 0.01 ABc | 0.24 ± 0.01 ABd | 0.12 ± 0.01 ABc | 0.20 ± 0.01 BCc | 0.09 ± 0.01 ABc | 0.17 ± 0.01 Cd | 0.08 ± 0.01 Bb | 0.15 ± 0.01 Cc | ||||
| 50 | 0.23 ± 0.04 Ab | 0.35 ± 0.01 Ac | 0.20 ± 0.01 ABb | 0.30 ± 0.01 ABc | 0.18 ± 0.02 Bb | 0.27 ± 0.01 BCb | 0.16 ± 0.01 Cb | 0.23 ± 0.01 BCc | 0.13 ± 0.02 Ca | 0.20 ± 0.01 Cb | ||||
| 75 | 0.27 ± 0.03 Aab | 0.40 ± 0.01 Ab | 0.23 ± 0.03 ABab | 0.35 ± 0.01 ABb | 0.20 ± 0.01 BCb | 0.31 ± 0.02 BCb | 0.17 ± 0.02 CDab | 0.27 ± 0.01 Cb | 0.13 ± 0.03 Da | 0.24 ± 0.02 Db | ||||
| 100 | 0.31 ± 0.02 Aa | 0.45 ± 0.01 Aa | 0.27 ± 0.02 ABa | 0.41 ± 0.02 ABa | 0.25 ± 0.01 BCa | 0.37 ± 0.02 BCa | 0.20 ± 0.01 CDa | 0.33 ± 0.01 CDa | 0.17 ± 0.02 Da | 0.30 ± 0.01 Da | ||||
| C18:1n9c | 0 | 4.82 ± 0.04 Ae | 7.45 ± 0.10 Ae | 4.14 ± 0.04 Be | 6.97 ± 0.07 Be | 3.81 ± 0.06 Ce | 6.37 ± 0.30 Ce | 3.23 ± 0.06 De | 5.89 ± 0.06 De | 2.80 ± 0.06 Ee | 5.08 ± 0.08 Ee | <0.01 | ** | ** |
| 25 | 5.11 ± 0.03 Ad | 10.43 ± 0.08 Ad | 4.84 ± 0.07 Bd | 9.78 ± 0.06 Bd | 4.60 ± 0.01 Cd | 8.50 ± 0.12 Cd | 4.40 ± 0.03 Dd | 7.96 ± 0.05 Dd | 4.29 ± 0.05 Ed | 6.92 ± 0.04 Ed | ||||
| 50 | 6.04 ± 0.04 Ac | 13.35 ± 0.08 Ac | 5.62 ± 0.04 Bc | 12.09 ± 0.11 Bc | 5.32 ± 0.04 Cc | 11.17 ± 0.11 Cc | 5.03 ± 0.02 Dc | 10.31 ± 0.06 Dc | 4.72 ± 0.04 Ec | 9.42 ± 0.08 Ec | ||||
| 75 | 6.74 ± 0.04 Ab | 15.85 ± 0.10 Ab | 6.34 ± 0.06 Bb | 13.79 ± 0.08 Bb | 6.00 ± 0.03 Cb | 12.80 ± 0.06 Cb | 5.81 ± 0.04 Db | 11.61 ± 0.04 Db | 5.62 ± 0.04 Eb | 10.32 ± 0.09 Eb | ||||
| 100 | 7.33 ± 0.05 Aa | 17.66 ± 0.10 Aa | 7.15 ± 0.06 Ba | 15.45 ± 0.33 Ba | 7.04 ± 0.04 Ca | 14.90 ± 0.04 Ca | 6.84 ± 0.04 Da | 13.59 ± 0.09 Da | 6.34 ± 0.06 Ea | 12.25 ± 0.10 Ea | ||||
| C18:1n9t | 0 | 5.31 ± 0.13 Ae | 8.37 ± 0.13 Ae | 4.63 ± 0.05 Be | 7.32 ± 0.05 Be | 4.07 ± 0.08 Ce | 6.38 ± 0.29 Ce | 3.72 ± 0.04 De | 5.35 ± 0.09 De | 3.53 ± 0.06 Ed | 4.24 ± 0.10 Ee | <0.01 | ** | ** |
| 25 | 6.72 ± 0.09 Ad | 10.25 ± 0.10 Ad | 5.48 ± 0.06 Bd | 9.44 ± 0.14 Bd | 5.02 ± 0.04 Cd | 8.35 ± 0.12 Cd | 4.81 ± 0.03 Dd | 7.81 ± 0.12 Dd | 4.68 ± 0.04 Ec | 6.80 ± 0.08 Ed | ||||
| 50 | 7.14 ± 0.04 Ac | 13.34 ± 0.12 Ac | 6.44 ± 0.06 Bc | 11.78 ± 0.16 Bc | 5.79 ± 0.04 Cc | 10.81 ± 0.04 Cc | 5.13 ± 0.02 Dc | 9.61 ± 0.04 Dc | 4.89 ± 0.04 Eb | 8.43 ± 0.05 Ec | ||||
| 75 | 7.94 ± 0.07 Ab | 15.54 ± 0.08 Ab | 7.26 ± 0.09 Bb | 14.34 ± 0.08 Bb | 6.52 ± 0.09 Cb | 13.83 ± 0.09 Cb | 6.06 ± 0.07 Db | 12.59 ± 0.09 Db | 5.53 ± 0.05 Eb | 11.12 ± 0.05 Eb | ||||
| 100 | 8.61 ± 0.07 Aa | 17.91 ± 0.06 Aa | 8.14 ± 0.04 Ba | 16.80 ± 0.05 Ba | 7.63 ± 0.01 Ca | 15.68 ± 0.08 Ca | 7.07 ± 0.02 Da | 14.78 ± 0.13 Da | 6.90 ± 0.01 Ea | 13.83 ± 0.06 Ea | ||||
| C18:2n6c | 0 | 22.63 ± 0.06 Ae | 18.28 ± 0.06 Ae | 20.14 ± 0.04 Be | 16.30 ± 0.05 Be | 19.86 ± 0.05 Cd | 15.35 ± 0.05 Ce | 17.24 ± 0.04 De | 14.84 ± 0.04 De | 15.13 ± 0.06 Ee | 14.70 ± 0.03 Ee | <0.01 | ** | ** |
| 25 | 26.84 ± 0.04 Ad | 21.18 ± 0.08 Ad | 23.68 ± 0.11 Bd | 19.32 ± 0.04 Bd | 21.28 ± 0.23 Cc | 18.83 ± 0.06 Cd | 19.23 ± 0.07 Dd | 17.64 ± 0.08 Dd | 17.15 ± 0.13 Ed | 16.90 ± 0.04 Ed | ||||
| 50 | 31.45 ± 0.09 Ac | 25.68 ± 0.21 Ac | 28.39 ± 0.05 Bc | 23.40 ± 0.06 Bc | 26.55 ± 0.18 Cc | 20.68 ± 0.06 Cc | 25.43 ± 0.06 Dc | 19.31 ± 0.05 Dc | 22.73 ± 0.05 Ec | 18.24 ± 0.04 Ec | ||||
| 75 | 34.87 ± 0.08 Ab | 30.51 ± 0.04 Ab | 31.30 ± 0.03 Bb | 28.24 ± 0.06 Bb | 29.82 ± 0.04 Cb | 26.48 ± 0.08 Cb | 28.75 ± 0.06 Db | 24.74 ± 0.18 Db | 27.49 ± 0.04 Eb | 21.49 ± 0.06 Eb | ||||
| 100 | 48.13 ± 0.06 Aa | 39.74 ± 0.06 Aa | 46.14 ± 0.04 Ba | 35.25 ± 0.10 Ba | 44.44 ± 0.06 Ca | 31.41 ± 0.06 Ca | 42.07 ± 0.06 Da | 29.82 ± 0.05 Da | 40.43 ± 0.16 Ea | 27.91 ± 0.11 Ea | ||||
| C18:3n3 | 0 | 3.73 ± 0.05 Ae | 2.99 ± 0.04 Ae | 3.46 ± 0.06 Be | 2.81 ± 0.03 Ae | 3.33 ± 0.05 Bd | 2.54 ± 0.04 Be | 3.15 ± 0.05 Ce | 2.30 ± 0.01 BCe | 2.93 ± 0.06 De | 2.10 ± 0.02 Ce | <0.01 | ** | ** |
| 25 | 4.84 ± 0.08 Ad | 3.49 ± 0.06 Ad | 4.26 ± 0.04 Bd | 3.10 ± 0.02 Bd | 3.85 ± 0.06 Cc | 2.83 ± 0.09 Bd | 3.35 ± 0.04 Dd | 2.48 ± 0.04 Cd | 3.11 ± 0.03 Dd | 2.39 ± 0.05 Cd | ||||
| 50 | 5.21 ± 0.02 Ac | 4.23 ± 0.08 Ac | 4.51 ± 0.02 Bc | 4.05 ± 0.05 Bc | 3.98 ± 0.06 Cc | 3.61 ± 0.12 Cc | 3.78 ± 0.13 Cc | 3.10 ± 0.02 Dc | 3.69 ± 0.04 Cc | 2.95 ± 0.05 Dc | ||||
| 75 | 8.81 ± 0.02 Ab | 6.80 ± 0.05 Ab | 7.63 ± 0.05 Bb | 6.07 ± 0.06 Bb | 7.42 ± 0.06 Bb | 5.83 ± 0.06 BCb | 6.16 ± 0.04 Cb | 5.60 ± 0.04 Cb | 5.61 ± 0.03 Db | 5.00 ± 0.02 Db | ||||
| 100 | 10.61 ± 0.13 Aa | 8.08 ± 0.06 Aa | 9.39 ± 0.06 Ba | 7.80 ± 0.05 Aa | 8.48 ± 0.1 Ca | 6.39 ± 0.04 Ba | 7.79 ± 0.05 Da | 6.09 ± 0.03 Ba | 7.07 ± 0.08 Ea | 5.72 ± 0.04 Ca | ||||
| C20:4n6 | 0 | 1.24 ± 0.04 Ad | 1.05 ± 0.05 Ad | 1.12 ± 0.04 ABe | 0.86 ± 0.05 Be | 0.95 ± 0.02 BCe | 0.73 ± 0.02 BCe | 0.71 ± 0.08 CDe | 0.62 ± 0.01 CDd | 0.61 ± 0.07 De | 0.55 ± 0.05 Dd | <0.01 | ** | ** |
| 25 | 1.75 ± 0.05 Ac | 1.34 ± 0.06 Ac | 1.56 ± 0.05 Bd | 1.05 ± 0.05 Bd | 1.31 ± 0.04 Cd | 0.96 ± 0.05 BCd | 1.16 ± 0.04 CDd | 0.85 ± 0.03 CDc | 1.00 ± 0.03 Dd | 0.75 ± 0.04 Dc | ||||
| 50 | 2.14 ± 0.04 Ab | 1.90 ± 0.04 Ab | 1.87 ± 0.03 Bc | 1.56 ± 0.04 Bc | 1.63 ± 0.02 BCc | 1.46 ± 0.04 BCc | 1.40 ± 0.03 CDc | 1.34 ± 0.04 Cb | 1.20 ± 0.02 Dc | 1.26 ± 0.04 Cb | ||||
| 75 | 2.32 ± 0.04 Ab | 2.04 ± 0.01 Aa | 2.04 ± 0.04 Bb | 1.81 ± 0.11 Bb | 1.93 ± 0.04 Bb | 1.61 ± 0.04 Cb | 1.65 ± 0.05 Cb | 1.41 ± 0.03 Db | 1.42 ± 0.04 Db | 1.21 ± 0.02 Eb | ||||
| 100 | 2.44 ± 0.04 Aa | 2.16 ± 0.05 Aa | 2.31 ± 0.02 Aa | 2.00 ± 0.02 Ba | 2.20 ± 0.02 ABa | 1.85 ± 0.04 Ca | 1.95 ± 0.06 BCa | 1.78 ± 0.01 Da | 1.69 ± 0.04 Ca | 1.61 ± 0.02 Ea | ||||
| ΣSFA | 0 | 55.42 ± 0.40 Aa | 56.04 ± 0.57 Aa | 61.42 ± 0.31 Ba | 61.52 ± 0.25 Ba | 67.13 ± 0.35 Ca | 67.34 ± 0.43 Ca | 74.63 ± 0.45 Da | 75.13 ± 0.55 Da | 77.99 ± 0.37 Ea | 78.14 ± 0.38 Ea | <0.01 | ** | ** |
| 25 | 46.82 ± 0.33 Ab | 47.17 ± 0.36 Ab | 51.71 ± 0.40 Bb | 51.85 ± 0.38 Bb | 55.20 ± 0.28 Cb | 55.55 ± 0.33 Cb | 58.91 ± 0.33 Db | 59.39 ± 0.62 Db | 63.00 ± 0.34 Eb | 63.01 ± 0.41 Eb | ||||
| 50 | 38.46 ± 0.33 Ac | 38.83 ± 0.20 Ac | 41.65 ± 0.33 Bc | 42.07 ± 0.25 Bc | 45.26 ± 0.40 Cc | 45.66 ± 0.23 Cc | 49.24 ± 0.45 Dc | 49.53 ± 0.20 Dc | 53.45 ± 0.40 Ec | 53.69 ± 0.21 Ec | ||||
| 75 | 30.07 ± 0.31 Ad | 30.14 ± 0.46 Ad | 33.20 ± 0.38 Bd | 33.46 ± 0.25 Bd | 37.38 ± 0.34 Cd | 37.59 ± 0.35 Cd | 40.65 ± 0.29 Dd | 40.94 ± 0.21 Dd | 45.25 ± 0.18 Ed | 45.63 ± 0.26 Ed | ||||
| 100 | 20.91 ± 0.31 Ae | 21.20 ± 0.53 Ae | 23.09 ± 0.26 Be | 23.35 ± 0.32 Be | 28.27 ± 0.32 Ce | 28.50 ± 0.36 Ce | 30.53 ± 0.36 De | 30.72 ± 0.37 De | 33.11 ± 0.33 Ee | 33.26 ± 0.33 Ee | ||||
| ΣMUFA | 0 | 11.57 ± 0.21 Ae | 17.37 ± 0.25 Ae | 10.10 ± 0.13 Be | 15.72 ± 0.15 Be | 8.89 ± 0.17 Ce | 13.94 ± 0.63 Ce | 7.89 ± 0.13 De | 12.33 ± 0.18 De | 7.09 ± 0.15 Ee | 10.29 ± 0.23 Ee | <0.01 | ** | ** |
| 25 | 13.33 ± 0.16 Ad | 22.42 ± 0.23 Ad | 11.73 ± 0.18 Bd | 20.80 ± 0.24 Bd | 10.91 ± 0.08 Cd | 18.27 ± 0.27 Cd | 10.36 ± 0.10 Dd | 17.00 ± 0.21 Dd | 9.97 ± 0.12 Ed | 14.83 ± 0.14 Ed | ||||
| 50 | 14.87 ± 0.18 Ac | 28.60 ± 0.25 Ac | 13.61 ± 0.13 Bc | 25.62 ± 0.30 Bc | 12.52 ± 0.13 Cc | 23.61 ± 0.18 Cc | 11.44 ± 0.08 Dc | 21.38 ± 0.13 Dc | 10.74 ± 0.13 Ec | 19.12 ± 0.16 Ec | ||||
| 75 | 16.27 ± 0.16 Ab | 33.14 ± 0.23 Ab | 15.05 ± 0.22 Bb | 29.67 ± 0.21 Bb | 13.66 ± 0.18 Cb | 27.99 ± 0.18 Cb | 12.91 ± 0.16 Db | 25.44 ± 0.16 Db | 11.98 ± 0.15 Eb | 22.54 ± 0.18 Eb | ||||
| 100 | 17.90 ± 0.17 Aa | 37.81 ± 0.18 Aa | 17.14 ± 0.14 Ba | 34.29 ± 0.40 Ba | 16.41 ± 0.11 Ca | 32.47 ± 0.16 Ca | 15.50 ± 0.10 Da | 30.17 ± 0.25 Da | 14.64 ± 0.13 Ea | 27.75 ± 0.20 Ea | ||||
| ΣPUFA | 0 | 27.59 ± 0.16 Ae | 22.31 ± 0.14 Ae | 24.72 ± 0.15 Be | 19.96 ± 0.13 Be | 24.13 ± 0.12 Ce | 18.61 ± 0.11 Ce | 21.09 ± 0.17 De | 17.76 ± 0.07 De | 18.67 ± 0.19 Ee | 17.34 ± 0.10 Ee | <0.01 | ** | ** |
| 25 | 33.42 ± 0.16 Ad | 26.00 ± 0.20 Ad | 29.49 ± 0.20 Bd | 23.46 ± 0.11 Bd | 26.43 ± 0.33 Cd | 22.61 ± 0.20 Cd | 23.74 ± 0.15 Dd | 20.97 ± 0.15 Dd | 21.26 ± 0.19 Ed | 20.04 ± 0.13 Ed | ||||
| 50 | 38.79 ± 0.15 Ac | 31.80 ± 0.33 Ac | 34.76 ± 0.10 Bc | 29.01 ± 0.15 Bc | 32.15 ± 0.25 Cc | 25.74 ± 0.21 Cc | 30.60 ± 0.23 Dc | 23.74 ± 0.11 Dc | 27.61 ± 0.11 Ec | 22.44 ± 0.13 Ec | ||||
| 75 | 45.99 ± 0.14 Ab | 39.34 ± 0.10 Ab | 40.96 ± 0.11 Bb | 36.12 ± 0.23 Bb | 39.17 ± 0.13 Cb | 33.92 ± 0.18 Cb | 36.56 ± 0.15 Db | 31.75 ± 0.25 Db | 34.52 ± 0.11 Eb | 27.69 ± 0.11 Eb | ||||
| 100 | 61.17 ± 0.24 Aa | 49.97 ± 0.17 Aa | 57.83 ± 0.13 Ba | 45.04 ± 0.17 Ba | 55.11 ± 0.18 Ca | 39.65 ± 0.15 Ca | 51.80 ± 0.17 Da | 37.69 ± 0.09 Da | 49.19 ± 0.25 Ea | 35.23 ± 0.17 Ea | ||||
| Items | R(%) | T | S.E | Sig. | ||||||||||
|---|---|---|---|---|---|---|---|---|---|---|---|---|---|---|
| 0 d | 7 d | 14 d | 21 d | 28 d | R | T | ||||||||
| Before | After | Before | After | Before | After | Before | After | Before | After | |||||
| Asp | 0 | 0.0582 ± 0.0001 Ae | 0.0707 ± 0.0001 Ae | 0.0574 ± 0.0001 Ae | 0.0672 ± 0.0002 Be | 0.0573 ± 0.0002 Ae | 0.0607 ± 0.0032 Ce | 0.0545 ± 0.0001 Be | 0.0593 ± 0.0001 Ce | 0.0504 ± 0.0001 Ce | 0.0565 ± 0.0001 De | <0.01 | ** | ** |
| 25 | 0.0648 ± 0.0001 Ad | 0.0835 ± 0.0001 Ad | 0.0652 ± 0.0009 Ad | 0.0753 ± 0.0002 Bd | 0.0614 ± 0.0001 Bd | 0.0727 ± 0.0002 Cd | 0.0587 ± 0.0011 Cd | 0.0665 ± 0.0002 Dd | 0.0494 ± 0.0001 Dd | 0.0635 ± 0.0001 Ed | ||||
| 50 | 0.0702 ± 0.0001 Ac | 0.0974 ± 0.0001 Ac | 0.0772 ± 0.0001 Bc | 0.0893 ± 0.0002 Bc | 0.0752 ± 0.0004 Cc | 0.0830 ± 0.0002 Cc | 0.0698 ± 0.0009 Dc | 0.0757 ± 0.0001 Dc | 0.0650 ± 0.0001 Ec | 0.0730 ± 0.0001 Ec | ||||
| 75 | 0.0821 ± 0.0002 Ab | 0.1131 ± 0.0001 Ab | 0.0803 ± 0.0002 Bb | 0.1073 ± 0.0001 Bb | 0.0771 ± 0.0001 Cb | 0.0983 ± 0.0002 Cb | 0.0729 ± 0.0001 Db | 0.0941 ± 0.0002 Db | 0.0687 ± 0.0002 Eb | 0.0835 ± 0.0003 Eb | ||||
| 100 | 0.0974 ± 0.0001 Aa | 0.1156 ± 0.0002 Aa | 0.0942 ± 0.0008 Ba | 0.1115 ± 0.0001 Ba | 0.0903 ± 0.0002 Ca | 0.1032 ± 0.0002 Ca | 0.0874 ± 0.0012 Da | 0.0961 ± 0.0001 Da | 0.0828 ± 0.0003 Ea | 0.0937 ± 0.001 Ea | ||||
| Thr | 0 | 0.0280 ± 0.0001 Ae | 0.1681 ± 0.1921 Ae | 0.0262 ± 0.0001 Be | 0.0313 ± 0.0002 Be | 0.0261 ± 0.0001 Be | 0.0295 ± 0.0002 Ce | 0.0261 ± 0.0008 Bd | 0.0259 ± 0.0001 De | 0.0219 ± 0.0001 Ce | 0.0255 ± 0.0002 De | <0.01 | ** | ** |
| 25 | 0.0311 ± 0.0001 Ad | 0.2060 ± 0.2353 Ad | 0.0283 ± 0.0001 Bd | 0.0394 ± 0.0001 Bd | 0.0277 ± 0.0001 Bd | 0.0384 ± 0.0001 Bd | 0.0274 ± 0.0004 Bc | 0.0354 ± 0.0001 Cd | 0.0238 ± 0.0003 Cd | 0.0295 ± 0.0002 Dd | ||||
| 50 | 0.0335 ± 0.0001 Ac | 0.2206 ± 0.2519 Ac | 0.0320 ± 0.0001 ABc | 0.0421 ± 0.0002 Bc | 0.0319 ± 0.0001 ABc | 0.0405 ± 0.0002 Cc | 0.0307 ± 0.0001 Bb | 0.0387 ± 0.0001 Dc | 0.0287 ± 0.0004 Cc | 0.0305 ± 0.0001 Ec | ||||
| 75 | 0.0346 ± 0.0002 Ab | 0.2753 ± 0.3143 Ab | 0.0346 ± 0.0002 Ab | 0.0475 ± 0.0001 Bb | 0.0328 ± 0.0001 Bb | 0.0415 ± 0.0002 Cb | 0.0314 ± 0.0001 Bb | 0.0401 ± 0.0001 Db | 0.0299 ± 0.0001 Cb | 0.0371 ± 0.0002 Eb | ||||
| 100 | 0.0520 ± 0.0001 Aa | 0.2896 ± 0.3307 Aa | 0.0421 ± 0.0004 Ba | 0.0521 ± 0.0001 Ba | 0.0414 ± 0.0001 BCa | 0.0503 ± 0.0001 Ba | 0.0401 ± 0.0002 Ca | 0.0481 ± 0.0001 Ca | 0.0376 ± 0.0001 Da | 0.0409 ± 0.0006 Da | ||||
| Vla | 0 | 0.0053 ± 0.0001 Ae | 0.0360 ± 0.0001 Aa | 0.0034 ± 0.0001 Be | 0.0341 ± 0.0001 Be | 0.0024 ± 0.0001 BCe | 0.0322 ± 0.0001 Ce | 0.0018 ± 0.0001 Ce | 0.0298 ± 0.0001 De | 0.0013 ± 0.0001 Ce | 0.0282 ± 0.0001 Ee | <0.01 | ** | ** |
| 25 | 0.0058 ± 0.0001 Ad | 0.0383 ± 0.0001 Aa | 0.0046 ± 0.0001 Bd | 0.0366 ± 0.0002 Bd | 0.0029 ± 0.0001 Cd | 0.0346 ± 0.001 Cd | 0.0027 ± 0.0001 Cd | 0.0323 ± 0.0003 Dd | 0.0016 ± 0.0001 Dd | 0.0309 ± 0.0001 Dd | ||||
| 50 | 0.0074 ± 0.0001 Ac | 0.0414 ± 0.0001 Aa | 0.0059 ± 0.0001 Bc | 0.0398 ± 0.0001 Bc | 0.0044 ± 0.0001 Cc | 0.0378 ± 0.0001 Cc | 0.0035 ± 0.0001 CDc | 0.0341 ± 0.0001 Dc | 0.0022 ± 0.0001 Dc | 0.0326 ± 0.0001 Ec | ||||
| 75 | 0.0088 ± 0.0001 Ab | 0.0385 ± 0.0099 Aa | 0.0069 ± 0.0001 Bb | 0.0425 ± 0.0001 Bb | 0.0059 ± 0.0001 BCb | 0.0396 ± 0.0001 Bb | 0.0049 ± 0.0001 Cb | 0.0386 ± 0.0001 Bb | 0.0035 ± 0.0001 Db | 0.0362 ± 0.0008 Cb | ||||
| 100 | 0.0101 ± 0.0001 Aa | 0.0468 ± 0.0001 Aa | 0.0089 ± 0.0002 Ba | 0.0446 ± 0.0001 Ba | 0.0077 ± 0.0001 Ca | 0.0427 ± 0.0001 Ca | 0.0063 ± 0.0001 Da | 0.0420 ± 0.0005 Ca | 0.0053 ± 0.0001 Da | 0.0390 ± 0.0002 Da | ||||
| Ser | 0 | 0.0183 ± 0.0001 Be | 0.0269 ± 0.0001 Ae | 0.0199 ± 0.0001 Ae | 0.0242 ± 0.0001 Be | 0.0191 ± 0.0001 ABe | 0.0238 ± 0.0001 Be | 0.0163 ± 0.0001 Ce | 0.0223 ± 0.0001 Ce | 0.0139 ± 0.0001 De | 0.0178 ± 0.0001 De | <0.01 | ** | ** |
| 25 | 0.0234 ± 0.0001 Ad | 0.0282 ± 0.0001 Ad | 0.0224 ± 0.0001 Ad | 0.0273 ± 0.0001 ABd | 0.0200 ± 0.0001 Bd | 0.0268 ± 0.0002 Bd | 0.0182 ± 0.0002 Cd | 0.0247 ± 0.0001 Cd | 0.0162 ± 0.0004 Dd | 0.0188 ± 0.0001 Dd | ||||
| 50 | 0.0261 ± 0.0001 Ac | 0.0303 ± 0.0001 Ac | 0.0254 ± 0.0003 Ac | 0.0302 ± 0.0002 Ac | 0.0241 ± 0.0001 Bc | 0.0292 ± 0.0002 Bc | 0.0238 ± 0.0001 Bc | 0.0281 ± 0.0001 Cc | 0.0182 ± 0.0001 Cc | 0.0191 ± 0.0001 Dc | ||||
| 75 | 0.0265 ± 0.0001 Bb | 0.0404 ± 0.0001 Ab | 0.0304 ± 0.0001 Ab | 0.0332 ± 0.0001 Bb | 0.0258 ± 0.0001 BCb | 0.0306 ± 0.0002 Cb | 0.0246 ± 0.0001 Cb | 0.0296 ± 0.0001 Cb | 0.0215 ± 0.0002 Db | 0.0237 ± 0.0001 Db | ||||
| 100 | 0.0393 ± 0.0001 Aa | 0.0437 ± 0.0001 Aa | 0.0356 ± 0.0002 Ba | 0.0368 ± 0.0001 Ba | 0.0297 ± 0.0001 Ca | 0.0343 ± 0.0002 Ca | 0.0281 ± 0.0001 Da | 0.0318 ± 0.0001 Da | 0.0254 ± 0.0001 Ea | 0.0282 ± 0.0002 Ea | ||||
| Glu | 0 | 0.0829 ± 0.0001 Ae | 0.1043 ± 0.0001 Ae | 0.0795 ± 0.0003 Be | 0.1041 ± 0.0001 Ae | 0.0668 ± 0.0003 Ce | 0.0956 ± 0.0002 Be | 0.0468 ± 0.0001 De | 0.0937 ± 0.0001 Ce | 0.0406 ± 0.0004 Ee | 0.0787 ± 0.0001 De | <0.01 | ** | ** |
| 25 | 0.0909 ± 0.0001 Ad | 0.1160 ± 0.0001 Ad | 0.0862 ± 0.0001 Bd | 0.1127 ± 0.0002 Bd | 0.0708 ± 0.0011 Cd | 0.1093 ± 0.0002 Cd | 0.0558 ± 0.0001 Dd | 0.0977 ± 0.0002 Dd | 0.0473 ± 0.0003 Ed | 0.0858 ± 0.0002 Ed | ||||
| 50 | 0.1107 ± 0.0001 Ac | 0.1293 ± 0.0001 Ac | 0.0962 ± 0.0001 Bc | 0.1289 ± 0.0002 Ac | 0.0820 ± 0.0001 Cc | 0.1151 ± 0.0003 Bc | 0.0731 ± 0.0001 Dc | 0.1026 ± 0.0002 Cc | 0.0685 ± 0.0003 Ec | 0.0892 ± 0.0002 Dc | ||||
| 75 | 0.1217 ± 0.0007 Ab | 0.1582 ± 0.0002 Ab | 0.1032 ± 0.0002 Bb | 0.1323 ± 0.0001 Bb | 0.0969 ± 0.0004 Cb | 0.1239 ± 0.0004 Cb | 0.0861 ± 0.0001 Db | 0.1150 ± 0.0001 Db | 0.0741 ± 0.0001 Eb | 0.1133 ± 0.0001 Db | ||||
| 100 | 0.1257 ± 0.0002 Aa | 0.1638 ± 0.0001 Aa | 0.1228 ± 0.0002 Ba | 0.1534 ± 0.0001 Ba | 0.1082 ± 0.0002 Ca | 0.1532 ± 0.0007 Ca | 0.0969 ± 0.0001 Da | 0.1377 ± 0.0001 Da | 0.0888 ± 0.0001 Ea | 0.1194 ± 0.0005 Ea | ||||
| Gly | 0 | 0.0308 ± 0.0001 Ae | 0.0357 ± 0.0001 Ad | 0.0272 ± 0.0002 Be | 0.0333 ± 0.0001 Bd | 0.0267 ± 0.0002 BCe | 0.0295 ± 0.0004 Ce | 0.0241 ± 0.0004 Ce | 0.0287 ± 0.0001 De | 0.0210 ± 0.0001 Ce | 0.0225 ± 0.0001 Ee | <0.01 | ** | ** |
| 25 | 0.0334 ± 0.0001 Ad | 0.0354 ± 0.0001 Ad | 0.0333 ± 0.0003 Bd | 0.0339 ± 0.0001 Ad | 0.0310 ± 0.0001 Cd | 0.0334 ± 0.0001 Bd | 0.0278 ± 0.0001 Cd | 0.0306 ± 0.0001 Cd | 0.0263 ± 0.0004 Cd | 0.0285 ± 0.0001 Cd | ||||
| 50 | 0.0372 ± 0.0001 Ac | 0.0390 ± 0.0001 Ac | 0.0366 ± 0.0001 Bc | 0.0379 ± 0.0001 Bc | 0.0350 ± 0.0001 Cc | 0.0368 ± 0.0001 Cc | 0.0321 ± 0.0007 CDc | 0.0363 ± 0.0001 Dc | 0.0297 ± 0.0002 Dc | 0.0291 ± 0.0001 Ec | ||||
| 75 | 0.0469 ± 0.0001 Ab | 0.0510 ± 0.0001 Ab | 0.0447 ± 0.0001 ABb | 0.0413 ± 0.0001 Bb | 0.0422 ± 0.0001 Bb | 0.0384 ± 0.0007 Bb | 0.0395 ± 0.0003 BCb | 0.0375 ± 0.0001 Bb | 0.0356 ± 0.0005 Cb | 0.0360 ± 0.0002 Cb | ||||
| 100 | 0.0614 ± 0.0001 Aa | 0.0564 ± 0.0001 Aa | 0.0534 ± 0.0002 Ba | 0.0527 ± 0.0006 Ba | 0.0498 ± 0.0002 Ca | 0.0490 ± 0.0003 BCa | 0.0457 ± 0.0007 Da | 0.0489 ± 0.0002 Ca | 0.0437 ± 0.0005 Da | 0.0422 ± 0.0001 Da | ||||
| Ala | 0 | 0.0411 ± 0.0001 Ad | 0.0463 ± 0.0001 Ae | 0.0377 ± 0.0003 Bc | 0.0450 ± 0.0001 Ae | 0.0371 ± 0.0001 Bc | 0.0413 ± 0.0001 Be | 0.0332 ± 0.0003 Cd | 0.0395 ± 0.0002 Ce | 0.0300 ± 0.0001 De | 0.0311 ± 0.0001 De | <0.01 | ** | ** |
| 25 | 0.0413 ± 0.0001 Ad | 0.0477 ± 0.0001 Ad | 0.0378 ± 0.0003 Bc | 0.0469 ± 0.0001 Ad | 0.0372 ± 0.0001 Bc | 0.0473 ± 0.0001 Ad | 0.0362 ± 0.0002 Cc | 0.0431 ± 0.0001 Bd | 0.0342 ± 0.0002 Dd | 0.0378 ± 0.0001 Cd | ||||
| 50 | 0.0426 ± 0.0001 Ac | 0.0517 ± 0.0001 Ac | 0.0386 ± 0.0002 Bc | 0.0510 ± 0.0001 Ac | 0.0376 ± 0.0001 BCc | 0.0489 ± 0.0001 Bc | 0.0371 ± 0.0007 CDc | 0.0469 ± 0.0005 Cc | 0.0361 ± 0.0005 Dc | 0.0392 ± 0.0001 Dc | ||||
| 75 | 0.0478 ± 0.0001 Ab | 0.0636 ± 0.0001 Ab | 0.0451 ± 0.002 Bb | 0.0566 ± 0.0003 Bb | 0.0429 ± 0.0006 Cb | 0.0506 ± 0.0001 Cb | 0.0404 ± 0.0005 Db | 0.0484 ± 0.0001 Db | 0.0385 ± 0.0008 Eb | 0.0475 ± 0.0001 Db | ||||
| 100 | 0.0637 ± 0.0001 Aa | 0.0689 ± 0.0001 Aa | 0.0571 ± 0.0003 Ba | 0.0680 ± 0.0001 Aa | 0.0458 ± 0.0001 Ca | 0.0645 ± 0.0001 Aa | 0.0447 ± 0.0002 Ca | 0.0638 ± 0.0001 Aa | 0.0418 ± 0.0002 Da | 0.0521 ± 0.0004 Ba | ||||
| Cys | 0 | 0.0012 ± 0.0001 Bd | 0.0028 ± 0.0001 Ac | 0.0013 ± 0.0001 Bd | 0.0027 ± 0.0001 Ab | 0.0012 ± 0.0001 Bd | 0.0025 ± 0.0001 Ac | 0.0011 ± 0.0001 Be | 0.0023 ± 0.0001 Ab | 0.0052 ± 0.0061 Aa | 0.0008 ± 0.0001 Bc | <0.01 | ** | ** |
| 25 | 0.0017 ± 0.0001 Bc | 0.0032 ± 0.0001 Ab | 0.0016 ± 0.0001 Bc | 0.0027 ± 0.0001 Ab | 0.0015 ± 0.0001 Bc | 0.0026 ± 0.0001 Abc | 0.0013 ± 0.0001 Bd | 0.0024 ± 0.0001 Bb | 0.0064 ± 0.0075 Aa | 0.0011 ± 0.0001 Cc | ||||
| 50 | 0.0019 ± 0.0001 Bc | 0.0033 ± 0.0001 Ab | 0.0018 ± 0.0001 Bc | 0.0029 ± 0.0001 ABb | 0.0018 ± 0.0001 Bc | 0.0027 ± 0.0001 ABabc | 0.0016 ± 0.0001 Bc | 0.0024 ± 0.0001 ABb | 0.0081 ± 0.0095 Aa | 0.0020 ± 0.0001 Bb | ||||
| 75 | 0.0023 ± 0.0001 Bb | 0.0033 ± 0.0001 Ab | 0.0022 ± 0.0001 Bb | 0.0032 ± 0.0001 ABa | 0.0020 ± 0.0001 Bb | 0.0028 ± 0.0001 ABCab | 0.0018 ± 0.0001 Bb | 0.0024 ± 0.0001 BCb | 0.0089 ± 0.0104 Aa | 0.0022 ± 0.0001 Cb | ||||
| 100 | 0.0039 ± 0.0001 Ba | 0.0036 ± 0.0001 Aa | 0.0034 ± 0.0001 BCa | 0.0032 ± 0.0001 ABa | 0.0030 ± 0.0001 BCa | 0.0029 ± 0.0001 ABa | 0.0026 ± 0.0001 Ca | 0.0027 ± 0.0001 ABa | 0.0129 ± 0.0150 Aa | 0.0025 ± 0.0001 Ba | ||||
| Tyr | 0 | 0.0252 ± 0.0001 ABe | 0.0780 ± 0.0001 Ae | 0.0248 ± 0.0001 Be | 0.0698 ± 0.0007 Be | 0.0264 ± 0.0001 Ad | 0.0674 ± 0.0004 Cd | 0.0221 ± 0.0001 Cd | 0.0629 ± 0.0002 De | 0.0192 ± 0.0003 De | 0.0600 ± 0.0002 Ee | <0.01 | ** | ** |
| 25 | 0.0286 ± 0.0002 Ad | 0.0856 ± 0.0001 Ad | 0.0277 ± 0.0001 Ad | 0.0768 ± 0.0028 Bd | 0.0267 ± 0.0001 Ac | 0.0847 ± 0.0014 Ac | 0.0232 ± 0.0002 Bc | 0.0687 ± 0.0002 Cd | 0.0216 ± 0.0005 Bd | 0.0635 ± 0.0002 Dd | ||||
| 50 | 0.0300 ± 0.0001 Ac | 0.0921 ± 0.0001 Ac | 0.0291 ± 0.0001 Ac | 0.0882 ± 0.0015 ABc | 0.0274 ± 0.0001 Bb | 0.0859 ± 0.0004 ABc | 0.0267 ± 0.0001 Bb | 0.0749 ± 0.0006 ABc | 0.0236 ± 0.0003 Cc | 0.0712 ± 0.0015 Bc | ||||
| 75 | 0.0326 ± 0.0001 Ab | 0.0993 ± 0.0001 Ab | 0.0324 ± 0.0001 Ab | 0.0928 ± 0.0018 Bb | 0.0277 ± 0.0002 Bb | 0.0907 ± 0.0001 Cb | 0.0269 ± 0.0001 Bb | 0.0877 ± 0.0002 Db | 0.0251 ± 0.0002 Cb | 0.0785 ± 0.0001 Eb | ||||
| 100 | 0.0391 ± 0.0001 Aa | 0.1113 ± 0.0001 Aa | 0.0389 ± 0.0001 Aa | 0.1035 ± 0.0001 Ba | 0.0365 ± 0.0001 Ba | 0.0991 ± 0.0001 Ca | 0.0343 ± 0.0002 Ca | 0.0939 ± 0.001 Da | 0.0281 ± 0.0003 Da | 0.0871 ± 0.0008 Ea | ||||
| Phe | 0 | 0.0047 ± 0.0001 Ac | 0.0329 ± 0.0001 Ae | 0.0047 ± 0.0001 Ac | 0.0308 ± 0.0002 Be | 0.0045 ± 0.0001 Ac | 0.0297 ± 0.0002 Be | 0.0041 ± 0.0003 ABc | 0.0278 ± 0.0002 Cd | 0.0035 ± 0.0001 Bc | 0.0230 ± 0.0001 De | <0.01 | ** | ** |
| 25 | 0.0049 ± 0.0001 Ac | 0.0349 ± 0.0001 Ad | 0.0047 ± 0.0001 Ac | 0.0342 ± 0.0001 Ad | 0.0045 ± 0.0001 Ac | 0.0341 ± 0.0001 Ad | 0.0044 ± 0.0003 Abc | 0.0279 ± 0.0001 Bd | 0.0037 ± 0.0001 Bc | 0.0247 ± 0.0005 Cd | ||||
| 50 | 0.0054 ± 0.0001 Ab | 0.0380 ± 0.0001 Ac | 0.0050 ± 0.0001 Bb | 0.0370 ± 0.0001 Ac | 0.0047 ± 0.0001 BCb | 0.0354 ± 0.0001 Bc | 0.0045 ± 0.0001 CDbc | 0.0317 ± 0.0001 Cc | 0.0042 ± 0.0001 Db | 0.0289 ± 0.0001 Dc | ||||
| 75 | 0.0057 ± 0.0001 Aa | 0.0433 ± 0.0002 Ab | 0.0051 ± 0.0001 Bab | 0.0400 ± 0.0002 Bb | 0.0049 ± 0.0001 Bb | 0.0366 ± 0.0001 Cb | 0.0047 ± 0.0001 BCab | 0.0337 ± 0.0001 Db | 0.0043 ± 0.0002 Cb | 0.0321 ± 0.0004 Eb | ||||
| 100 | 0.0058 ± 0.0001 Aa | 0.0480 ± 0.0001 Aa | 0.0052 ± 0.0001 Ba | 0.0448 ± 0.0001 Ba | 0.0052 ± 0.0001 Ba | 0.0412 ± 0.0002 Ca | 0.0050 ± 0.0001 Ba | 0.0350 ± 0.0001 Da | 0.0049 ± 0.0002 Ba | 0.0335 ± 0.0001 Ea | ||||
| Lys | 0 | 0.0006 ± 0.0001 Ac | 0.0718 ± 0.0001 Ae | 0.0005 ± 0.0002 Ad | 0.0715 ± 0.0004 Ae | 0.0006 ± 0.0001 Ac | 0.0652 ± 0.0001 Be | 0.0004 ± 0.0001 Ad | 0.0638 ± 0.0001 Ce | 0.0004 ± 0.0001 Ac | 0.0505 ± 0.0001 De | <0.01 | ** | ** |
| 25 | 0.0007 ± 0.0001 Ac | 0.0773 ± 0.0001 Ad | 0.0007 ± 0.0001 Acd | 0.0750 ± 0.0002 Bd | 0.0006 ± 0.0001 Ac | 0.0730 ± 0.001 Cd | 0.0005 ± 0.0001 Ad | 0.0702 ± 0.0002 Dd | 0.0005 ± 0.0001 Abc | 0.0601 ± 0.0002 Ed | ||||
| 50 | 0.0013 ± 0.0001 Ab | 0.0812 ± 0.0001 Ac | 0.0010 ± 0.0001 ABbc | 0.0806 ± 0.0001 Ac | 0.0009 ± 0.0001 BCb | 0.0768 ± 0.0001 Bc | 0.0006 ± 0.0001 Cc | 0.0728 ± 0.0001 Cc | 0.0006 ± 0.0001 Cbc | 0.0637 ± 0.0001 Dc | ||||
| 75 | 0.0013 ± 0.0001 Ab | 0.0958 ± 0.0001 Ab | 0.0012 ± 0.0002 Ab | 0.0898 ± 0.0003 Bb | 0.0010 ± 0.0001 ABb | 0.0801 ± 0.0001 Cb | 0.0008 ± 0.0001 Bb | 0.0747 ± 0.0002 Db | 0.0007 ± 0.0001 Bb | 0.0738 ± 0.0001 Db | ||||
| 100 | 0.0019 ± 0.0001 Aa | 0.1056 ± 0.0001 Aa | 0.0019 ± 0.0002 Aa | 0.0983 ± 0.0002 ABa | 0.0015 ± 0.0001 Ba | 0.0985 ± 0.0002 Ba | 0.0012 ± 0.0001 BCa | 0.0960 ± 0.0002 Ba | 0.0010 ± 0.0001 Ca | 0.0787 ± 0.0001 Ca | ||||
| His | 0 | 0.0259 ± 0.0002 Ae | 0.0683 ± 0.0001 Ae | 0.0254 ± 0.0001 Ae | 0.0651 ± 0.0001 Be | 0.0230 ± 0.0001 Bd | 0.0612 ± 0.0003 Ce | 0.0218 ± 0.0001 Be | 0.0551 ± 0.0002 De | 0.0180 ± 0.0007 Cd | 0.0503 ± 0.0002 Ee | <0.01 | ** | ** |
| 25 | 0.0272 ± 0.0001 Ad | 0.0718 ± 0.0001 Ad | 0.0266 ± 0.0001 Ad | 0.0676 ± 0.0001 Bd | 0.0261 ± 0.0002 ABc | 0.0639 ± 0.0001 Cd | 0.0249 ± 0.0001 Bd | 0.0587 ± 0.0002 Dd | 0.0216 ± 0.0001 Cc | 0.0540 ± 0.0004 Ed | ||||
| 50 | 0.0277 ± 0.0001 Ac | 0.0789 ± 0.0001 Ac | 0.0271 ± 0.0001 ABc | 0.0726 ± 0.0007 Bc | 0.0264 ± 0.0001 Bc | 0.0681 ± 0.0002 Cc | 0.0253 ± 0.0001 Cc | 0.0646 ± 0.0004 Dc | 0.0222 ± 0.0001 Dc | 0.0601 ± 0.0004 Ec | ||||
| 75 | 0.0348 ± 0.0002 Ab | 0.0881 ± 0.0002 Ab | 0.0317 ± 0.0001 Bb | 0.0792 ± 0.0001 Bb | 0.0270 ± 0.0001 Cb | 0.0698 ± 0.0001 Cb | 0.0268 ± 0.0001 Cb | 0.0683 ± 0.0002 Db | 0.0250 ± 0.0006 Db | 0.0644 ± 0.0003 Eb | ||||
| 100 | 0.0369 ± 0.0001 Aa | 0.0970 ± 0.0002 Aa | 0.0331 ± 0.0001 Ba | 0.0873 ± 0.0001 Ba | 0.0320 ± 0.0002 BCa | 0.0788 ± 0.0001 Ca | 0.0318 ± 0.0001 Ca | 0.0757 ± 0.0016 Da | 0.0281 ± 0.0001 Da | 0.0724 ± 0.001 Ea | ||||
| Pro | 0 | 0.0245 ± 0.0001 Ae | 0.0280 ± 0.0001 Ad | 0.0214 ± 0.0001 Be | 0.0256 ± 0.0001 Be | 0.0188 ± 0.0001 Cd | 0.0231 ± 0.0001 Cd | 0.0181 ± 0.0002 Ce | 0.0230 ± 0.0001 Ce | 0.0153 ± 0.0001 De | 0.0184 ± 0.0001 De | <0.01 | ** | ** |
| 25 | 0.0262 ± 0.0001 Ad | 0.0287 ± 0.0001 Ad | 0.0223 ± 0.0001 Bd | 0.0268 ± 0.0001 Bd | 0.0220 ± 0.0002 Bc | 0.0268 ± 0.0001 Bc | 0.0192 ± 0.0001 Cd | 0.0253 ± 0.0001 Cd | 0.0170 ± 0.0001 Dd | 0.0220 ± 0.0002 Dd | ||||
| 50 | 0.0270 ± 0.0001 Ac | 0.0323 ± 0.0005 Ac | 0.0269 ± 0.0008 Ac | 0.0307 ± 0.0001 Bc | 0.0225 ± 0.0001 Bc | 0.0303 ± 0.0001 Bb | 0.0211 ± 0.0001 BCc | 0.0281 ± 0.0001 Cc | 0.0195 ± 0.0001 Cc | 0.0235 ± 0.0002 Dc | ||||
| 75 | 0.0348 ± 0.0001 Ab | 0.0369 ± 0.0002 Ab | 0.0320 ± 0.0001 Bb | 0.0321 ± 0.0001 Bb | 0.0274 ± 0.0001 Cb | 0.0301 ± 0.0001 Cb | 0.0242 ± 0.0002 Db | 0.0294 ± 0.0001 Cb | 0.0225 ± 0.0001 Eb | 0.0293 ± 0.0002 Cb | ||||
| 100 | 0.0447 ± 0.0001 Aa | 0.0416 ± 0.0001 Aa | 0.0403 ± 0.0001 Ba | 0.0408 ± 0.0007 Aa | 0.0369 ± 0.001 Ca | 0.0379 ± 0.0001 Ba | 0.0292 ± 0.0002 Da | 0.0378 ± 0.0001 Ba | 0.0274 ± 0.0005 Ea | 0.0323 ± 0.0001 Ca | ||||
Disclaimer/Publisher’s Note: The statements, opinions and data contained in all publications are solely those of the individual author(s) and contributor(s) and not of MDPI and/or the editor(s). MDPI and/or the editor(s) disclaim responsibility for any injury to people or property resulting from any ideas, methods, instructions or products referred to in the content. |
© 2023 by the authors. Licensee MDPI, Basel, Switzerland. This article is an open access article distributed under the terms and conditions of the Creative Commons Attribution (CC BY) license (https://creativecommons.org/licenses/by/4.0/).
Share and Cite
Liu, M.; Gao, Y.; Shen, R.; Yang, X.; Zhang, L.; Ma, G.; Guo, Z.; Chen, C.; Shi, X.; Ma, X. Preparation of Bovine Hides Gelatin by Ultra-High Pressure Technique and the Effect of Its Replacement Fat on the Quality and In Vitro Digestion of Beef Patties. Foods 2023, 12, 3092. https://doi.org/10.3390/foods12163092
Liu M, Gao Y, Shen R, Yang X, Zhang L, Ma G, Guo Z, Chen C, Shi X, Ma X. Preparation of Bovine Hides Gelatin by Ultra-High Pressure Technique and the Effect of Its Replacement Fat on the Quality and In Vitro Digestion of Beef Patties. Foods. 2023; 12(16):3092. https://doi.org/10.3390/foods12163092
Chicago/Turabian StyleLiu, Mengying, Yanlei Gao, Ruheng Shen, Xue Yang, Li Zhang, Guoyuan Ma, Zhaobin Guo, Cheng Chen, Xixiong Shi, and Xiaotong Ma. 2023. "Preparation of Bovine Hides Gelatin by Ultra-High Pressure Technique and the Effect of Its Replacement Fat on the Quality and In Vitro Digestion of Beef Patties" Foods 12, no. 16: 3092. https://doi.org/10.3390/foods12163092
APA StyleLiu, M., Gao, Y., Shen, R., Yang, X., Zhang, L., Ma, G., Guo, Z., Chen, C., Shi, X., & Ma, X. (2023). Preparation of Bovine Hides Gelatin by Ultra-High Pressure Technique and the Effect of Its Replacement Fat on the Quality and In Vitro Digestion of Beef Patties. Foods, 12(16), 3092. https://doi.org/10.3390/foods12163092

