Effects of Whey Peptides on the Quality of Pork Ball Preprepared Dishes during Repeated Freezing–Thawing
Abstract
1. Introduction
2. Materials and Methods
2.1. Chemicals and Materials
2.2. Preparation of Pork Balls
2.3. Determination of Total Antioxidant Capacity
2.4. Determination of Pork Ball Color
2.5. Determination of Pork Ball Coliforms
2.6. Determination of Total Colonies
2.7. Determination of Texture Characteristics
2.8. Sensory Evaluation
2.9. Statistical Analysis
3. Results and Discussion
3.1. Effect of FI on the Antioxidant Activity of Freezing–Thawing Pork Balls
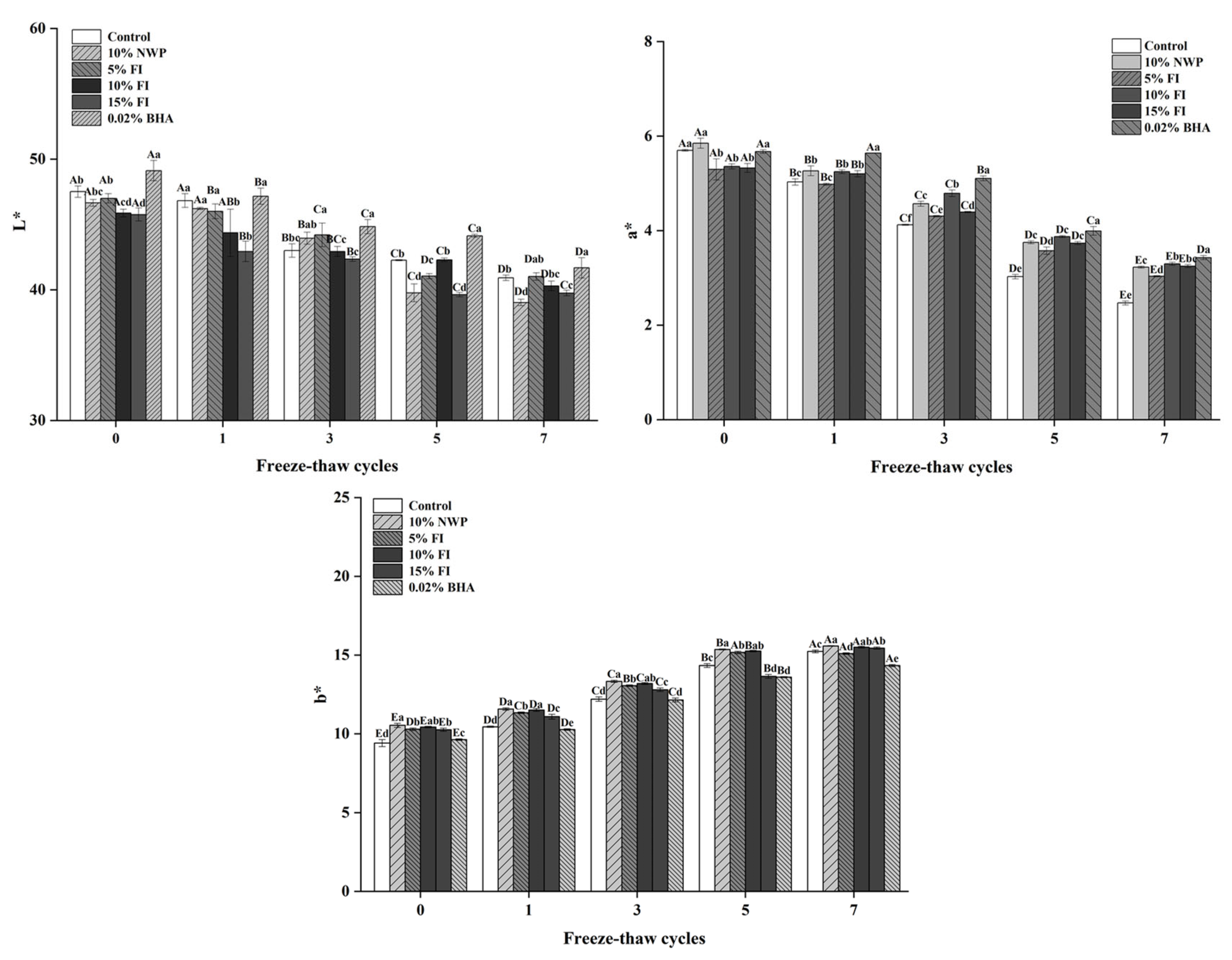
3.2. Effects of FI on the Color of Pork Balls
3.3. Effects of FI on the Microbial Activity of Freezing–Thawing Pork Balls
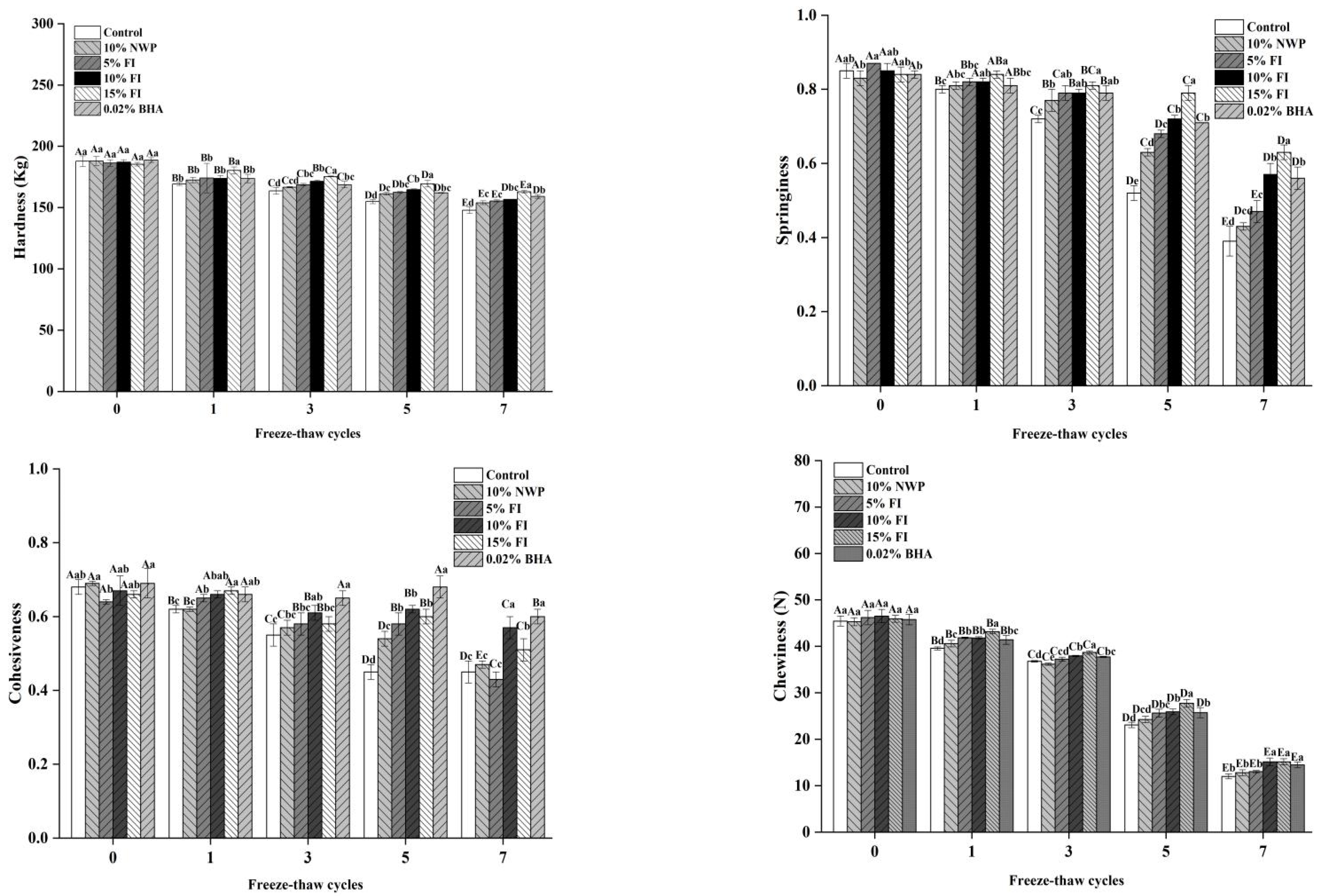
3.4. Effect of FI on the Texture Characteristics of Freezing–Thawing Pork Balls
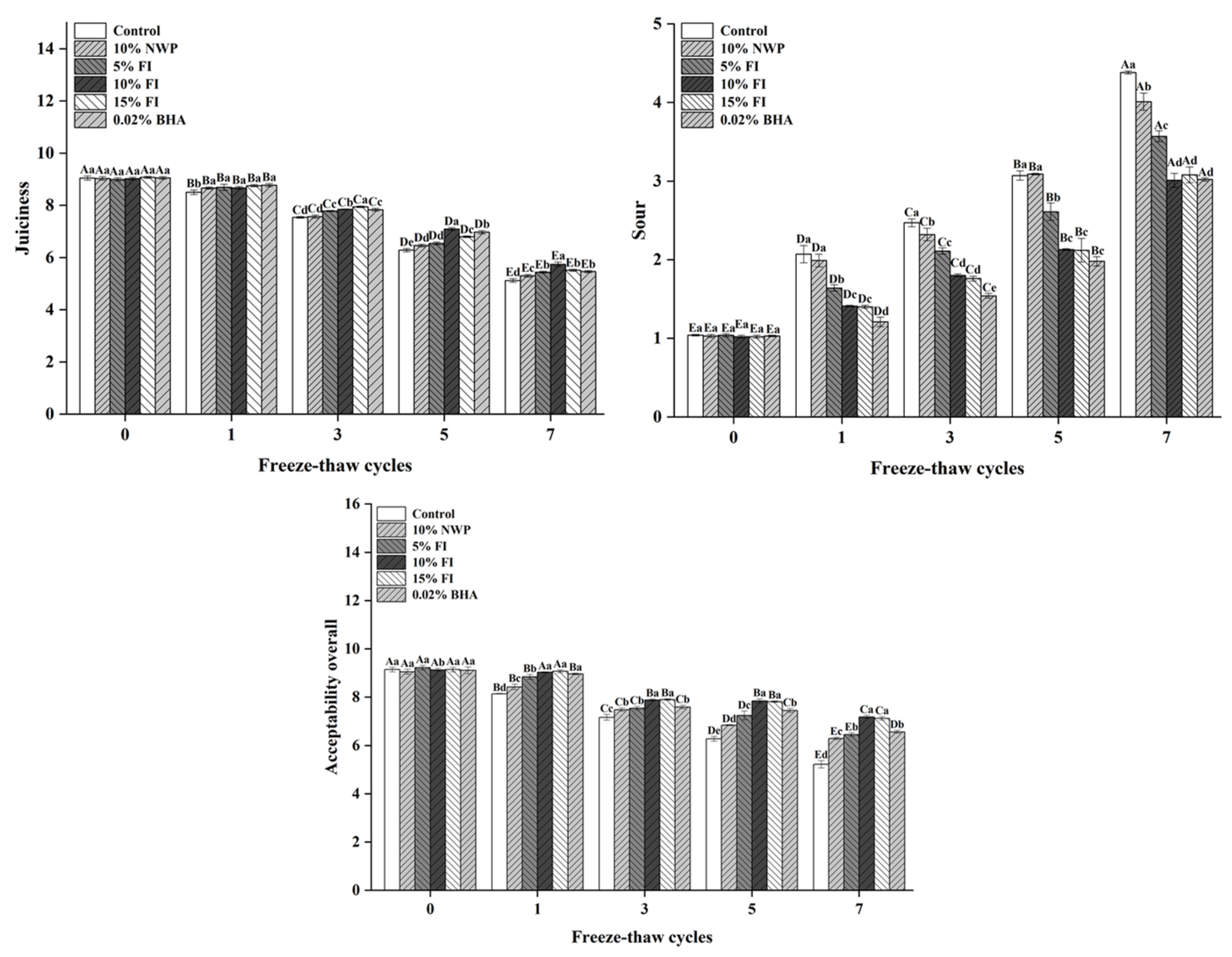
3.5. Effect of FI on the Sensory Characteristics of Freezing–Thawing Pork Balls
4. Conclusions
Author Contributions
Funding
Data Availability Statement
Conflicts of Interest
References
- Zhu, T.-W.; Zhang, X.; Li, B.; Wu, H. Effect of interesterified blend-based fast-frozen special fat on the physical properties and microstructure of frozen dough. Food Chem. 2019, 272, 76–83. [Google Scholar] [CrossRef] [PubMed]
- Du, X.; Chang, P.; Tian, J.; Kong, B.; Sun, F.; Xia, X. Effect of ice structuring protein on the quality, thermal stability and oxidation of mirror carp (Cyprinus carpio L.) induced by freeze-thaw cycles. LWT Food Sci. Technol. 2020, 124, 109140. [Google Scholar] [CrossRef]
- Ali, S.; Zhang, W.; Rajput, N.; Khan, M.A.; Li, C.-B.; Zhou, G.-H. Effect of multiple freeze–thaw cycles on the quality of chicken breast meat. Food Chem. 2015, 173, 808–814. [Google Scholar] [CrossRef] [PubMed]
- Li, F.; Wang, B.; Kong, B.; Shi, S.; Xia, X. Decreased gelling properties of protein in mirror carp (Cyprinus carpio) are due to protein aggregation and structure deterioration when subjected to freeze-thaw cycles. Food Hydrocoll. 2019, 97, 105223. [Google Scholar] [CrossRef]
- Xia, X.; Kong, B.; Xiong, Y.; Ren, Y. Decreased gelling and emulsifying properties of myofibrillar protein from repeatedly frozen-thawed porcine longissimus muscle are due to protein denaturation and susceptibility to aggregation. Meat Sci. 2010, 85, 481–486. [Google Scholar] [CrossRef] [PubMed]
- Leygonie, C.; Britz, T.J.; Hoffman, L.C. Impact of freezing and thawing on the quality of meat: Review. Meat Sci. 2012, 91, 93–98. [Google Scholar] [CrossRef] [PubMed]
- Barraza, F.A.A.; León, R.A.Q.; Álvarez, P.X.L. Kinetics of protein and textural changes in Atlantic salmon under frozen storage. Food Chem. 2015, 182, 120–127. [Google Scholar] [CrossRef] [PubMed]
- Wang, B.; Du, X.; Kong, B.; Liu, Q.; Li, F.; Pan, N.; Xia, X.; Zhang, D. Effect of ultrasound thawing, vacuum thawing, and microwave thawing on gelling properties of protein from porcine longissimus dorsi. Ultrason. Sonochem. 2020, 64, 104860. [Google Scholar] [CrossRef]
- Zhang, M.; Li, F.; Diao, X.; Kong, B.; Xia, X. Moisture migration, microstructure damage and protein structure changes in porcine longissimus muscle as influenced by multiple freeze-thaw cycles. Meat Sci. 2017, 133, 10–18. [Google Scholar] [CrossRef]
- Kong, B.; Peng, X.; Xiong, Y.L.; Zhao, X. Protection of lung fibroblast MRC-5 cells against hydrogen peroxide-induced oxidative damage by 0.1–2.8kDa antioxidative peptides isolated from whey protein hydrolysate. Food Chem. 2012, 135, 540–547. [Google Scholar] [CrossRef]
- Ha, H.-K.; Rankin, S.; Lee, M.-R.; Lee, W.-J. Development and Characterization of Whey Protein-Based Nano-Delivery Systems: A Review. Molecules 2019, 24, 3254. [Google Scholar] [CrossRef]
- Kong, L.; Liu, C.; Tang, H.; Yu, P.; Wen, R.; Peng, X.; Xu, X.; Yu, X. Hygroscopicity and antioxidant activity of whey protein hydrolysate and its ability to improve the water holding capacity of pork patties during freeze−thaw cycles. LWT Food Sci. Technol. 2023, 182, 114784. [Google Scholar] [CrossRef]
- Zhong, F.; Liu, J.; Ma, J.; Shoemaker, C.F. Preparation of hypocholesterol peptides from soy protein and their hypocholesterolemic effect in mice. Food Res. Int. 2007, 40, 661–667. [Google Scholar] [CrossRef]
- Renjuan, L.; Xiuli, Z.; Liping, S.; Yongliang, Z. Identification, in silico screening, and molecular docking of novel ACE inhibitory peptides isolated from the edible symbiot Boletus griseus-Hypomyces chrysospermus. LWT Food Sci. Technol. 2022, 169, 114008. [Google Scholar] [CrossRef]
- Peña-Ramos, E.A.; Xiong, Y.L. Antioxidative Activity of Whey Protein Hydrolysates in a Liposomal System. J. Dairy Sci. 2001, 84, 2577–2583. [Google Scholar] [CrossRef] [PubMed]
- Zhang, X.; Gao, H.; Wang, C.; Qayum, A.; Mu, Z.; Gao, Z.; Jiang, Z. Characterization and comparison of the structure and antioxidant activity of glycosylated whey peptides from two pathways. Food Chem. 2018, 257, 279–288. [Google Scholar] [CrossRef]
- Liu, C.; Kong, L.; Yu, P.; Wen, R.; Yu, X.; Xu, X.; Peng, X. Whey Protein Hydrolysates Improved the Oxidative Stability and Water-Holding Capacity of Pork Patties by Reducing Protein Aggregation during Repeated Freeze–Thaw Cycles. Foods 2022, 11, 2133. [Google Scholar] [CrossRef] [PubMed]
- Peña-Ramos, E.A.; Xiong, Y.L. Whey and soy protein hydrolysates inhibit lipid oxidation in cooked pork patties. Meat Sci. 2003, 64, 259–263. [Google Scholar] [CrossRef] [PubMed]
- Vavrusova, M.; Pindstrup, H.; Johansen, L.B.; Andersen, M.L.; Andersen, H.J.; Skibsted, L.H. Characterisation of a whey protein hydrolysate as antioxidant. Int. Dairy J. 2015, 47, 86–93. [Google Scholar] [CrossRef]
- Peng, X.; Liu, C.; Wang, B.; Kong, L.; Wen, R.; Zhang, H.; Yu, X.; Bai, Y.; Jang, A. Hygroscopic properties of whey protein hydrolysates and their effects on water retention in pork patties during repeated freeze–thaw cycles. LWT Food Sci. Technol. 2023, 184, 114984. [Google Scholar] [CrossRef]
- Serpen, A.; Gökmen, V.; Fogliano, V. Total antioxidant capacities of raw and cooked meats. Meat Sci. 2012, 90, 60–65. [Google Scholar] [CrossRef] [PubMed]
- Andritsos, N.D.; Mataragas, M.; Mavrou, E.; Stamatiou, A.; Drosinos, E.H. The microbiological condition of minced pork prepared at retail stores in Athens, Greece. Meat Sci. 2012, 91, 486–489. [Google Scholar] [CrossRef] [PubMed]
- Li, N.; Yang, X.; Lin, D. Development of bacterial cellulose nanofibers/konjac glucomannan-based intelligent films loaded with curcumin for the fresh-keeping and freshness monitoring of fresh beef. Food Packag. Shelf Life 2022, 34, 100989. [Google Scholar] [CrossRef]
- Cui, B.; Mao, Y.; Liang, H.; Li, Y.; Li, J.; Ye, S.; Chen, W.; Li, B. Properties of soybean protein isolate/curdlan based emulsion gel for fat analogue: Comparison with pork backfat. Int. J. Biol. Macromol. 2022, 206, 481–488. [Google Scholar] [CrossRef] [PubMed]
- Pan, N.; Dong, C.; Du, X.; Kong, B.; Sun, J.; Xia, X. Effect of freeze-thaw cycles on the quality of quick-frozen pork patty with different fat content by consumer assessment and instrument-based detection. Meat Sci. 2021, 172, 108313. [Google Scholar] [CrossRef] [PubMed]
- Macho-González, A.; Garcimartín, A.; López-Oliva, M.E.; Bastida, S.; Benedí, J.; Ros, G.; Nieto, G.; Sánchez-Muniz, F.J. Can Meat and Meat-Products Induce Oxidative Stress? Antioxidants 2020, 9, 638. [Google Scholar] [CrossRef] [PubMed]
- Lahmar, A.; Akcan, T.; Chekir-Ghedira, L.; Estévez, M. Molecular interactions and redox effects of carvacrol and thymol on myofibrillar proteins using a non-destructive and solvent-free methodological approach. Food Res. Int. 2018, 106, 1042–1048. [Google Scholar] [CrossRef]
- Jiménez-Colmenero, F.; Ventanas, J.; Toldrá, F. Nutritional composition of dry-cured ham and its role in a healthy diet. Meat Sci. 2010, 84, 585–593. [Google Scholar] [CrossRef]
- Hui, T.; Fang, Z.; Ma, Q.; Hamid, N.; Li, Y. Effect of cold atmospheric plasma-assisted curing process on the color, odor, volatile composition, and heterocyclic amines in beef meat roasted by charcoal and superheated steam. Meat Sci. 2023, 196, 109046. [Google Scholar] [CrossRef]
- Giri, A.; Osako, K.; Okamoto, A.; Ohshima, T. Olfactometric characterization of aroma active compounds in fermented fish paste in comparison with fish sauce, fermented soy paste and sauce products. Food Res. Int. 2010, 43, 1027–1040. [Google Scholar] [CrossRef]
- Shang, X.; Yan, X.; Li, Q.; Liu, Z.; Teng, A. Effect of Multiple Freeze-Thaw Cycles on Myoglobin and Lipid Oxidations of Grass Carp (Ctenopharyngodon idella) Surimi with Different Pork Back Fat Content. Food Sci. Anim. Resour. 2020, 40, 969–979. [Google Scholar] [CrossRef] [PubMed]
- Liu, X.; Xiong, G.; Wang, X.; Shi, L.; Jiao, C.; Wu, W.; Li, X.; Wang, J.; Qiao, Y.; Liao, L.; et al. Quality changes of prepared weever (Micropterus salmoides) by base trehalose solution during repeated freeze-thaw cycles. Food Process. Preserv. 2019, 43, e14117. [Google Scholar] [CrossRef]
- Wachirasiri, K.; Wanlapa, S.; Uttapap, D.; Puttanlek, C.; Rungsardthong, V. Effects of Multiple Freeze–Thaw Cycles on Biochemical and Physical Quality Changes of White Shrimp (Penaeus vannamei) Treated with Lysine and Sodium Bicarbonate. Food Sci. 2019, 84, 1784–1790. [Google Scholar] [CrossRef] [PubMed]
- Ateba, C.N.; Mochaiwa, B. Use of invA Gene Specific PCR Analysis for the Detection of Virulent Salmonella Species in Beef Products in the North West Province, South Africa. Food Nutr. Res. 2014, 2, 294–300. [Google Scholar] [CrossRef][Green Version]
- Tominaga, T. Rapid detection of coliform bacteria using a lateral flow test strip assay. J. Microbiol. Methods 2019, 160, 29–35. [Google Scholar] [CrossRef] [PubMed]
- Lan, J.; Yang, S.; Wang, Y.; Guo, N.; Liu, X.; Zhu, K.; Gong, P.; Lv, S. Evaluation of Microbial Contamination in Cold Dishes and Prevalence of Foodborne Pathogens in Jilin Province. J. Food Prot. 2022, 85, 728–734. [Google Scholar] [CrossRef] [PubMed]
- Mohammed, H.H.H.; He, L.; Nawaz, A.; Jin, G.; Huang, X.; Ma, M.; Abdegadir, W.S.; Elgasim, E.A.; Khalifa, I. Effect of frozen and refrozen storage of beef and chicken meats on inoculated microorganisms and meat quality. Meat Sci. 2021, 175, 108453. [Google Scholar] [CrossRef] [PubMed]
- Costa, K.A.D.; Moura, R.; Millezi, A.F. Antimicrobial and antibiofilm activity of Cymbopogon flexuosus essential oil microemulsions. Rev. Ceres 2019, 66, 372–379. [Google Scholar] [CrossRef]
- Chen, X.; Liu, H.; Li, X.; Wei, Y.; Li, J. Effect of ultrasonic-assisted immersion freezing and quick-freezing on quality of sea bass during frozen storage. LWT Food Sci. Technol. 2022, 154, 112737. [Google Scholar] [CrossRef]
- Kashyap, P.; Kumar, S. Ice structuring protein extract of Hordeum vulgare var. dolma grain reduces drip loss and loss of soluble vitamin content in peas during frozen storage. Cryobiology 2022, 104, 1–7. [Google Scholar] [CrossRef]
- Wang, B.; Li, F.; Pan, N.; Kong, B.; Xia, X. Effect of ice structuring protein on the quality of quick-frozen patties subjected to multiple freeze-thaw cycles. Meat Sci. 2021, 172, 108335. [Google Scholar] [CrossRef] [PubMed]
- Nikoo, M.; Benjakul, S. Potential application of seafood-derived peptides as bifunctional ingredients, antioxidant cryoprotectant: A review. J. Funct. Foods 2015, 19, 753–764. [Google Scholar] [CrossRef]
- Huang, L.; Kong, B.; Zhao, J.; Liu, Q.; Diao, X. Contributions of Fat Content and Oxidation to the Changes in Physicochemical and Sensory Attributes of Pork Dumpling Filler during Frozen Storage. J. Agric. Food Chem. 2014, 62, 6390–6399. [Google Scholar] [CrossRef]
- Choi, Y.-S.; Kim, H.-W.; Hwang, K.-E.; Song, D.-H.; Jeong, T.-J.; Kim, Y.-B.; Jeon, K.-H.; Kim, C.-J. Effects of fat levels and rice bran fiber on the chemical, textural, and sensory properties of frankfurters. Food Sci. Biotechnol. 2015, 24, 489–495. [Google Scholar] [CrossRef]
- Medić, H.; Kušec, I.D.; Pleadin, J.; Kozačinski, L.; Njari, B.; Hengl, B.; Kušec, G. The impact of frozen storage duration on physical, chemical and microbiological properties of pork. Meat Sci. 2018, 140, 119–127. [Google Scholar] [CrossRef] [PubMed]
- Qin, Y.-Y.; Yang, J.-Y.; Lu, H.-B.; Wang, S.-S.; Yang, J.; Yang, X.-C.; Chai, M.; Li, L.; Cao, J.-X. Effect of chitosan film incorporated with tea polyphenol on quality and shelf life of pork meat patties. Int. J. Biol. Macromol. 2013, 61, 312–316. [Google Scholar] [CrossRef]





| Group | Freeze–Thaw Cycles | ||||
|---|---|---|---|---|---|
| 0 | 1 | 3 | 5 | 7 | |
| Control | <3 | <3 | <3 | 3.6 | 7.2 |
| 10% NWP | <3 | <3 | <3 | 3.2 | 5.5 |
| 5% FI | <3 | <3 | <3 | <3 | 3.7 |
| 10% FI | <3 | <3 | <3 | <3 | 3.3 |
| 15% FI | <3 | <3 | <3 | <3 | 3.2 |
| 0.02% BHA | <3 | <3 | <3 | <3 | <3 |
Disclaimer/Publisher’s Note: The statements, opinions and data contained in all publications are solely those of the individual author(s) and contributor(s) and not of MDPI and/or the editor(s). MDPI and/or the editor(s) disclaim responsibility for any injury to people or property resulting from any ideas, methods, instructions or products referred to in the content. |
© 2023 by the authors. Licensee MDPI, Basel, Switzerland. This article is an open access article distributed under the terms and conditions of the Creative Commons Attribution (CC BY) license (https://creativecommons.org/licenses/by/4.0/).
Share and Cite
Zhang, X.; Yu, P.; Yan, J.; Shi, Y.; Feng, J.; Peng, X. Effects of Whey Peptides on the Quality of Pork Ball Preprepared Dishes during Repeated Freezing–Thawing. Foods 2023, 12, 3597. https://doi.org/10.3390/foods12193597
Zhang X, Yu P, Yan J, Shi Y, Feng J, Peng X. Effects of Whey Peptides on the Quality of Pork Ball Preprepared Dishes during Repeated Freezing–Thawing. Foods. 2023; 12(19):3597. https://doi.org/10.3390/foods12193597
Chicago/Turabian StyleZhang, Xiaotong, Pengjuan Yu, Jiayan Yan, Yishuang Shi, Jianhui Feng, and Xinyan Peng. 2023. "Effects of Whey Peptides on the Quality of Pork Ball Preprepared Dishes during Repeated Freezing–Thawing" Foods 12, no. 19: 3597. https://doi.org/10.3390/foods12193597
APA StyleZhang, X., Yu, P., Yan, J., Shi, Y., Feng, J., & Peng, X. (2023). Effects of Whey Peptides on the Quality of Pork Ball Preprepared Dishes during Repeated Freezing–Thawing. Foods, 12(19), 3597. https://doi.org/10.3390/foods12193597
