Effect of Yeast Fermentation on the Physicochemical Properties and Bioactivities of Polysaccharides of Dendrobium officinale
Abstract
1. Introduction
2. Materials and Methods
2.1. Materials and Reagents
2.2. Preparation and Purification of Polysaccharides
2.3. Determination of Monosaccharide Composition and Molecular Weight (Mw)
2.4. Antioxidant Activities Assay
2.4.1. DPPH Scavenging Activity
2.4.2. ABTS Scavenging Activity
2.4.3. Hydroxyl Radical Scavenging
2.5. Immune Activity Assay
2.5.1. Cell Culture
2.5.2. Cell Proliferation and Cytotoxicity Assay
2.5.3. Determination of NO and Cytokine Content
2.6. Statistical Analysis
3. Results and Discussion
3.1. Polysaccharide Extraction
3.2. Purification and Physicochemical Property Analysis of Polysaccharides
3.3. Antioxidant Activity
3.4. Anti-Inflammatory Activity
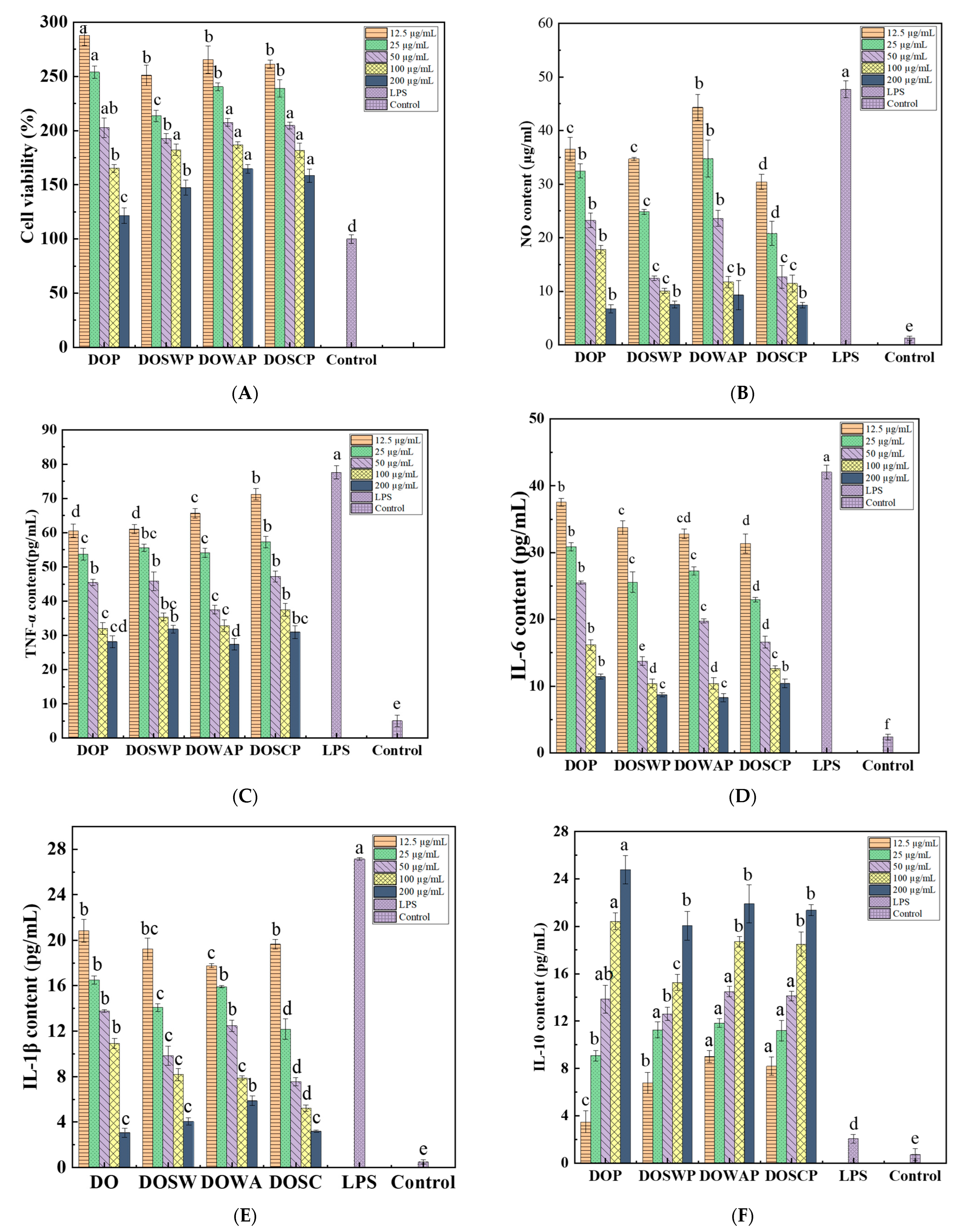
3.4.1. Cell proliferation and Cytotoxicity Assessment
3.4.2. Effect of Polysaccharides on the Content of NO and Cytokines
4. Conclusions
Supplementary Materials
Author Contributions
Funding
Data Availability Statement
Conflicts of Interest
References
- Chen, W.H.; Wu, J.J.; Li, X.F.; Lu, J.M.; Wu, W.; Sun, Y.Q.; Zhu, B.; Qin, L.P. Isolation, structural properties, bioactivities of polysaccharides from Dendrobium officinale Kimura et. Migo: A review. Int. J. Biol. Macromol. 2021, 184, 1000–1013. [Google Scholar] [CrossRef] [PubMed]
- Yue, H.; Zeng, H.; Ding, K. A review of isolation methods, structure features and bioactivities of polysaccharides from Dendrobium species. Chin. J. Nat. Med. 2020, 18, 1–27. [Google Scholar] [CrossRef] [PubMed]
- Sun, C.B.; Zhang, N.; Xu, G.P.; Jiang, P.; Huang, S.P.; Zhao, Q.; He, Y.F. Anti-tumor and immunomodulation activity of polysaccharides from Dendrobium officinale in S180 tumor-bearing mice. J. Funct. Foods. 2022, 94, 105105. [Google Scholar] [CrossRef]
- Huang, K.W.; Li, Y.R.; Tao, S.C.; Wei, G.; Huang, Y.C.; Chen, D.F.; Wu, C.F. Purification, Characterization and Biological Activity of Polysaccharides from Dendrobium officinale. Molecules 2016, 21, 701. [Google Scholar] [CrossRef] [PubMed]
- Xu, Y.; Zhang, X.; Yan, X.H.; Zhang, J.L.; Wang, L.Y.; Xue, H.; Jiang, G.C.; Ma, X.T.; Liu, X.J. Characterization, hypolipidemic and antioxidant activities of degraded polysaccharides from Ganoderma lucidum. Int. J. Biol. Macromol. 2019, 135, 706–716. [Google Scholar] [CrossRef]
- Ji, L.; Jie, Z.J.; Ying, X.; Yue, Q.; Zhou, Y.F.; Sun, L. Structural characterization of alkali-soluble polysaccharides from Panax ginseng C. A. Meyer. Roy Soc. Open Sci. 2018, 5, 171644. [Google Scholar] [CrossRef]
- Sun, Y.Y.; Sun, H.Q.; Pan, L.C.; Jia, Y.Q.; Liu, C.Y.; Wang, H.X.; Liu, X.C.; Zhu, Z.Y.; Si, C.L. Preparation, structure and alpha-glucosidase inhibitory of oligosaccharides by enzymatic hydrolysis from Annona squamosa polysaccharide. Ind. Crop. Prod. 2022, 177, 114468. [Google Scholar] [CrossRef]
- Wang, X.L.; Zhou, X.; Wang, K.; Cao, X.Y. Structural characterisation and bioactivity of polysaccharides isolated from fermented Dendrobium officinale. J. Sci. Food Agric. 2022, 102, 280–290. [Google Scholar] [CrossRef]
- Ai, Z.Y.; You, Y.; Li, W.C.; Fan, J.J.; Wang, Y.H.; Huang, J.; Wang, Y.; Wang, Y.H.; Liu, J.S. Enhanced uronic acid content, antioxidant, and anti-inflammatory activities of polysaccharides from ginseng fermented by Saccharomyces cerevisiae GIW-1. J. Food Process. Pres. 2020, 44, e14885. [Google Scholar] [CrossRef]
- Chen, Q.Y.; Wang, R.F.; Wang, Y.; An, X.P.; Liu, N.; Song, M.; Yang, Y.P.; Yin, N.; Qi, J.W. Characterization and antioxidant activity of wheat bran polysaccharides modified by Saccharomyces cerevisiae and Bacillus subtilis fermentation. J. Cereal Sci. 2021, 97, 103157. [Google Scholar] [CrossRef]
- Xing, L.; Miao, Y.L.; Li, N.; Jiang, L.; Chen, J.Y. Molecular structure features and lactic acid fermentation behaviors of water- and alkali-soluble polysaccharides from Dendrobium officinale. J. Food Sci. Technol. Mys. 2021, 58, 532–540. [Google Scholar] [CrossRef] [PubMed]
- Chen, F.H.; Zhou, Y.H.; Wu, G.B. Rheological characterization of pectic polysaccharides from okra wine pomace. Food Sci. 2020, 41, 64–73. [Google Scholar]
- Wang, C.X.; Tang, J.D.; Qiu, S.Y. Profiling of Fungal Diversity and Fermentative Yeasts in Traditional Chinese Xiaoqu. Front. Microbiol. 2020, 11, 2103. [Google Scholar] [CrossRef] [PubMed]
- Chen, H.; Shi, X.; Zhang, L.; Yao, L.; Cen, L.; Li, L.; Lv, Y.; Wei, C. Ultrasonic Extraction Process of Polysaccharides from Dendrobium nobile Lindl.: Optimization, Physicochemical Properties and Anti-Inflammatory Activity. Foods 2022, 11, 2957. [Google Scholar] [CrossRef] [PubMed]
- Dubois, M.; Gilles, K.A.; Hamilton, J.K.; Rebers, P.A.; Smith, F.J.A.C. Colorimetric Method for Determination of Sugars and Related Substances. Anal. Chem. 1956, 28, 350–356. [Google Scholar] [CrossRef]
- Bradford, M.M. A rapid and sensitive method for the quantitation of microgram quantities of protein utilizing the principle of protein-dye binding. Anal. Biochem. 1976, 72, 248–254. [Google Scholar] [CrossRef] [PubMed]
- Wei, C.Y.; Zhang, Y.; He, L.; Cheng, J.W.; Li, J.H.; Tao, W.Y.; Mao, G.Z.; Zhang, H.; Linhardt, R.J.; Ye, X.Q.; et al. Structural characterization and anti-proliferative activities of partially degraded polysaccharides from peach gum. Carbohydr. Polym. 2019, 203, 193–202. [Google Scholar] [CrossRef] [PubMed]
- Chen, S.; Qin, L.; Xie, L.; Yu, Q.; Chen, Y.; Chen, T.; Lu, H.; Xie, J. Physicochemical characterization, rheological and antioxidant properties of three alkali-extracted polysaccharides from mung bean skin. Food Hydrocolloid. 2022, 132, 107867. [Google Scholar] [CrossRef]
- Zhang, Z.H.; Fan, S.T.; Huang, D.F.; Yu, Q.; Liu, X.Z.; Li, C.; Wang, S.; Xiong, T.; Nie, S.P.; Xie, M.Y. Effect of Lactobacillus plantarum NCU116 Fermentation on Asparagus officinalis Polysaccharide: Characterization, Antioxidative, and Immunoregulatory Activities. J. Agric. Food Chem. 2018, 66, 10703–10711. [Google Scholar] [CrossRef]
- He, L.A.; Yan, X.T.; Liang, J.; Li, S.J.; He, H.R.; Xiong, Q.P.; Lai, X.P.; Hou, S.Z.; Huang, S. Comparison of different extraction methods for polysaccharides from Dendrobium officinale stem. Carbohydr. Polym. 2018, 198, 101–108. [Google Scholar] [CrossRef]
- Tian, W.N.; Dai, L.W.; Lu, S.M.; Luo, Z.F.; Qiu, Z.Y.; Li, J.J.; Li, P.; Du, B. Effect of Bacillus sp. DU-106 fermentation on Dendrobium officinale Chock for polysaccharide: Structure and immunoregulatory activities. Int. J. Biol. Macromol. 2019, 135, 1034–1042. [Google Scholar] [CrossRef] [PubMed]
- Wang, L.X.; Li, C.Y.; Hu, C.; Gong, P.S.; Zhao, S.H. Purification and Structural Characterization of Dendrobium officinale Polysaccharides and Its Activities. Chem. Biodivers. 2021, 18, e2001023. [Google Scholar] [CrossRef] [PubMed]
- Yu, W.X.; Ren, Z.Y.; Zhang, X.F.; Xing, S.P.; Tao, S.C.; Liu, C.X.; Wei, G.; Yuan, Y.; Lei, Z.X. Structural Characterization of Polysaccharides from Dendrobium officinale and Their Effects on Apoptosis of HeLa Cell Line. Molecules 2018, 23, 2484. [Google Scholar] [CrossRef] [PubMed]
- Cai, L.L.; Zou, S.S.; Liang, D.P.; Luan, L.B. Structural characterization, antioxidant and hepatoprotective activities of polysaccharides from Sophorae tonkinensis Radix. Carbohydr. Polym. 2018, 184, 354–365. [Google Scholar] [CrossRef]
- Chen, H.Y.; Zeng, J.S.; Wang, B.; Cheng, Z.; Xu, J.; Gao, W.H.; Chen, K.F. Structural characterization and antioxidant activities of Bletilla striata polysaccharide extracted by different methods. Carbohydr. Polym. 2021, 266, 118149. [Google Scholar] [CrossRef]
- Sun, Y.Q.; Huo, J.X.; Zhong, S.; Zhu, J.X.; Li, Y.G.; Li, X.J. Chemical structure and anti-inflammatory activity of a branched polysaccharide isolated from Phellinus baumii. Carbohydr. Polym. 2021, 268, 118214. [Google Scholar] [CrossRef]
- Zhong, C.F.; Tian, W.N.; Chen, H.Z.; Yang, Y.Y.; Xu, Y.A.; Chen, Y.L.; Chen, P.; Zhu, S.Y.; Li, P.; Du, B. Structural characterization and immunoregulatory activity of polysaccharides from Dendrobium officinale leaves. J. Food Biochem. 2022, 46, e14023. [Google Scholar] [CrossRef]
- Zeng, M.H.; Kong, Q.T.; Liu, F.; Chen, J.; Sang, H. The Anticancer Activity of Lycium barbarum Polysaccharide by Inhibiting Autophagy in Human Skin Squamous Cell Carcinoma Cells In Vitro and In Vivo. Int. J. Polym. Sci. 2019, 2019, 5065920. [Google Scholar] [CrossRef]
- Liu, Y.; Ye, Y.; Hu, X.; Wang, J. Structural characterization and anti-inflammatory activity of a polysaccharide from the lignified okra. Carbohydr. Polym. 2021, 265, 118081. [Google Scholar] [CrossRef]
- Sun, Y.; Liu, Z.; Song, S.; Zhu, B.; Zhao, L.; Jiang, J.; Liu, N.; Wang, J.; Chen, X. Anti-inflammatory activity and structural identification of a sulfated polysaccharide CLGP4 from Caulerpa lentillifera. Int. J. Biol. Macromol. 2020, 146, 931–938. [Google Scholar] [CrossRef]
- Jiang, F.; Ding, Y.Y.; Tian, Y.; Yang, R.X.; Quan, M.L.; Tong, Z.Y.; Zhang, X.L.; Luo, D.; Chi, Z.; Liu, C.U. Hydrolyzed low-molecular-weight polysaccharide from Enteromorpha prolifera exhibits high anti-inflammatory activity and promotes wound healing. Biomater. Adv. 2022, 133, 112637. [Google Scholar] [CrossRef] [PubMed]
- Wang, X.F.; Wang, S.Y.; Li, Y.L.; Wang, F.; Yang, X.J.; Yao, J.H. Sulfated Astragalus polysaccharide can regulate the inflammatory reaction induced by LPS in Caco2 cells. Int. J. Biol. Macromol. 2013, 60, 248–252. [Google Scholar] [CrossRef] [PubMed]
- Jin, M.Y.; Li, M.Y.; Huang, R.M.; Wu, X.Y.; Sun, Y.M.; Xu, Z.L. Structural features and anti-inflammatory properties of pectic polysaccharides: A review. Trends Food Sci. Technol. 2021, 107, 284–298. [Google Scholar] [CrossRef]



| Samples | Extraction Method | Yeast |
|---|---|---|
| DOSCP | fermentation | Sc |
| DOWAP | fermentation | Wa |
| DOSWP | fermentation | Sc+Wa |
| DOP | Hot water | - |
| Samples | Yield (%) | Samples | Yield (%) |
|---|---|---|---|
| DOSCP | 7.26 ± 0.23 c | DOSCPR | 0.78 ± 0.28 e |
| DOWAP | 8.81 ± 0.23 bc | DOWAPR | 0.72 ± 0.06 e |
| DOSWP | 9.41 ± 0.10 b | DOSWPR | 1.79 ± 0.65 d |
| DOP | 26.30 ± 1.83 a | - |
| Samples | MW/kDa | Mannose/% | Glucose/% | Mannose-to-Glucose | Total Sugar (%) | Protein (%) |
|---|---|---|---|---|---|---|
| DOSCP | 25.74 ± 0.21 b | 75.71 ± 1.95 b | 24.29 ± 1.95 b | 3.31 | 92.86 ± 1.97 a | 4.25 ± 2.02 a |
| DOWAP | 15.01 ± 0.53 c | 84.75 ± 0.12 a | 15.25 ± 0.12 c | 5.56 | 93.73 ± 1.96 a | 1.60 ± 0.30 b |
| DOSWP | 17.67 ± 0.34 bc | 70.55 ± 0.63 c | 29.45 ± 0.63 a | 2.40 | 90.30 ± 0.66 a | 4.54 ± 0.19 a |
| DOP | 1268.21 ± 10.23 a | 76.67 ± 0.60 b | 23.33 ± 0.60 b | 3.29 | 92.02 ± 2.52 a | 1.06 ± 1.15 b |
Disclaimer/Publisher’s Note: The statements, opinions and data contained in all publications are solely those of the individual author(s) and contributor(s) and not of MDPI and/or the editor(s). MDPI and/or the editor(s) disclaim responsibility for any injury to people or property resulting from any ideas, methods, instructions or products referred to in the content. |
© 2022 by the authors. Licensee MDPI, Basel, Switzerland. This article is an open access article distributed under the terms and conditions of the Creative Commons Attribution (CC BY) license (https://creativecommons.org/licenses/by/4.0/).
Share and Cite
Chen, H.; Shi, X.; Cen, L.; Zhang, L.; Dai, Y.; Qiu, S.; Zeng, X.; Wei, C. Effect of Yeast Fermentation on the Physicochemical Properties and Bioactivities of Polysaccharides of Dendrobium officinale. Foods 2023, 12, 150. https://doi.org/10.3390/foods12010150
Chen H, Shi X, Cen L, Zhang L, Dai Y, Qiu S, Zeng X, Wei C. Effect of Yeast Fermentation on the Physicochemical Properties and Bioactivities of Polysaccharides of Dendrobium officinale. Foods. 2023; 12(1):150. https://doi.org/10.3390/foods12010150
Chicago/Turabian StyleChen, Hang, Xueqin Shi, Lanyan Cen, Lin Zhang, Yifeng Dai, Shuyi Qiu, Xiangyong Zeng, and Chaoyang Wei. 2023. "Effect of Yeast Fermentation on the Physicochemical Properties and Bioactivities of Polysaccharides of Dendrobium officinale" Foods 12, no. 1: 150. https://doi.org/10.3390/foods12010150
APA StyleChen, H., Shi, X., Cen, L., Zhang, L., Dai, Y., Qiu, S., Zeng, X., & Wei, C. (2023). Effect of Yeast Fermentation on the Physicochemical Properties and Bioactivities of Polysaccharides of Dendrobium officinale. Foods, 12(1), 150. https://doi.org/10.3390/foods12010150

