A Structural Survey of Poly-Functional Dithiocarbamate Ligands and the Aggregation Patterns They Sustain
Abstract
1. Introduction
2. Methods
3. Results
3.1. Coordination Chemistry of a Molybdenum Poly-Dithiocarbamate Complex
3.2. Coordination Chemistry of Ruthenium Poly-Dithiocarbamate Complexes
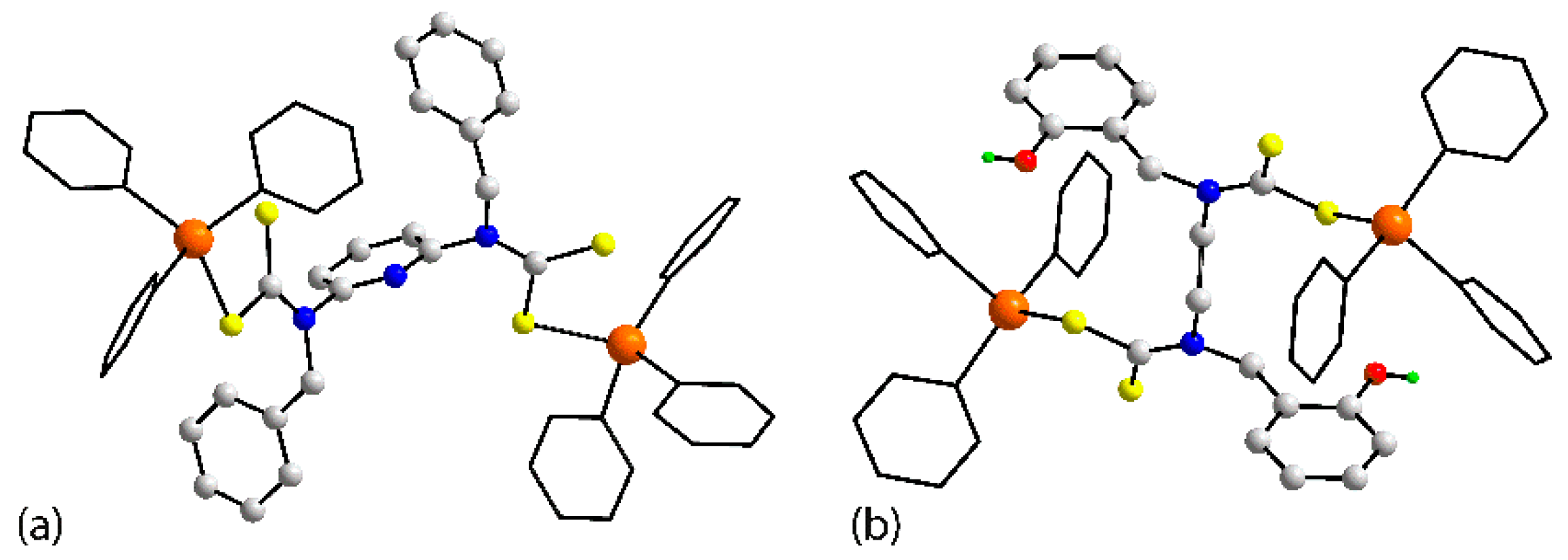
3.3. Coordination Chemistry of Nickel-Triad Poly-Dithiocarbamate Complexes
3.4. Coordination Chemistry of Copper and Gold Poly-Dithiocarbamate Compounds
3.5. Coordination Chemistry of Zinc-Triad Poly-Dithiocarbamate Compounds
3.6. Coordination Chemistry of Organotin Poly-Dithiocarbamate Compounds
3.7. Coordination Chemistry of Lanthanide Poly-Dithiocarbamate Complexes
4. Conclusions
Funding
Institutional Review Board Statement
Informed Consent Statement
Data Availability Statement
Conflicts of Interest
References
- Hogarth, G. Transition metal dithiocarbamates: 1978–2003. In Progress in Inorganic Chemistry; Karlin, K.D., Ed.; John Wiley & Sons: Hoboken, NJ, USA, 2005; Volume 53, pp. 71–561. [Google Scholar] [CrossRef]
- Debus, H. Ueber die Verbindungen der Sulfocarbaminsäure. Justus Liebigs Ann. Chem. 1850, 73, 26–34. [Google Scholar] [CrossRef]
- Delépine, M. Metallic salts of dithiocarbamic acids; preparation of isothiocyanates in the aliphatic series. Compt. Rend. 1907, 144, 1125–1127. [Google Scholar]
- Coucouvanis, D. The chemistry of the dithioacid and 1,1-dithiolate complexes. In Progress in Inorganic Chemistry; Lippard, S.J., Ed.; John Wiley & Sons: Hoboken, NJ, USA, 1970; Volume 11, pp. 234–371. [Google Scholar] [CrossRef]
- Eisenberg, R. Structural systematics of 1,1- and 1,2-dithiolato chelates. In Progress in Inorganic Chemistry; Lippard, S.J., Ed.; John Wiley & Sons: Hoboken, NJ, USA, 1970; Volume 12, pp. 295–369. [Google Scholar] [CrossRef]
- Coucouvanis, D. The chemistry of the dithioacid and 1,1-dithiolate complexes, 1968–1977. In Progress in Inorganic Chemistry; Lippard, S.J., Ed.; John Wiley & Sons: Hoboken, NJ, USA, 1979; Volume 26, pp. 301–469. [Google Scholar] [CrossRef]
- Heard, P.J. Main group dithiocarbamate complexes. In Progress in Inorganic Chemistry; Karlin, K.D., Ed.; John Wiley & Sons: Hoboken, NJ, USA, 2005; Volume 53, pp. 1–69. [Google Scholar] [CrossRef]
- Lee, S.M.; Heard, P.J.; Tiekink, E.R.T. Molecular and supramolecular chemistry of mono- and di-selenium analogues of metal dithiocarbamates. Coord. Chem. Rev. 2018, 375, 410–423. [Google Scholar] [CrossRef]
- Cox, M.J.; Tiekink, E.R.T. The diverse coordination patterns in the structures of zinc, cadmium and mercury bis(1,1-dithiolates). Rev. Inorg. Chem. 1997, 17, 1–23. [Google Scholar] [CrossRef]
- Tiekink, E.R.T. Molecular architecture and supramolecular association in the zinc-triad 1,1-dithiolates. Steric control as a design element in crystal engineering? CrystEngComm 2003, 5, 101–113. [Google Scholar] [CrossRef]
- Tiekink, E.R.T. Aggregation patterns in the crystal structures of organometallic Group XV 1,1-dithiolates: The influence of the Lewis acidity of the central atom, metal- and ligand-bound steric bulk, and coordination potential of the 1,1-dithiolate ligands upon supramolecular architecture. CrystEngComm 2006, 8, 104–118. [Google Scholar] [CrossRef]
- Tiekink, E.R.T.; Zukerman-Schpector, J. Stereochemical activity of lone pairs of electrons and supramolecular aggregation patterns based on secondary interactions involving tellurium in its 1,1-dithiolate structures. Coord. Chem. Rev. 2010, 254, 46–76. [Google Scholar] [CrossRef]
- Tiekink, E.R.T. Exploring the topological landscape exhibited by binary zinc-triad 1,1-dithiolates. Crystals 2018, 8, 292. [Google Scholar] [CrossRef]
- Tiekink, E.R.T. Perplexing coordination behaviour of potentially bridging bipyridyl-type ligands in the coordination chemistry of zinc and cadmium 1,1-dithiolate compounds. Crystals 2018, 8, 18. [Google Scholar] [CrossRef]
- Ghasempour, H.; Wang, K.-Y.; Powell, J.A.; Karizi, F.Z.; Lv, X.-L.; Morsali, A.; Zhou, H.-C. Metal–organic frameworks based on multicarboxylate linkers. Coord. Chem. Rev. 2021, 426, 213542. [Google Scholar] [CrossRef]
- Ko, M.; Mendecki, L.; Mirica, K.A. Conductive two-dimensional metal-organic frameworks as multifunctional materials. Chem. Commun. 2018, 54, 7873–7891. [Google Scholar] [CrossRef] [PubMed]
- Cave, D.; Gascon, J.-M.; Bond, A.D.; Teat, S.J.; Wood, P.T. Layered metal organosulfides: Hydrothermal synthesis, structure and magnetic behaviour of the spin-canted magnet Co(1,2-(O2C)(S)C6H4). Chem. Commun. 2002, 1050–1051. [Google Scholar] [CrossRef] [PubMed]
- Kusamoto, T.; Nishihara, H. Zero-, one- and two-dimensional bis(dithiolato) metal complexes with unique physical and chemical properties. Coord. Chem. Rev. 2019, 380, 419–439. [Google Scholar] [CrossRef]
- Zeng, Q.; Wang, L.; Huang, Y.; Zheng, S.-L.; He, Y.; He, J.; Liao, W.-M.; Xu, G.; Zeller, M.; Xu, Z. An air-stable anionic two-dimensional semiconducting metal-thiolate network and its exfoliation into ultrathin few-layer nanosheets. Chem. Commun. 2020, 56, 3645–3648. [Google Scholar] [CrossRef]
- Liebing, P.; Witzorke, J.; Oehler, F.; Schmeide, M. Dithiocarbamatocarboxylate (DTCC) ligands—Building blocks for hard/soft-heterobimetallic coordination polymers. Inorg. Chem. 2020, 59, 2825–2832. [Google Scholar] [CrossRef]
- Gong, M.; Yang, J.; Li, Y.; Gu, J. Glutathione-responsive nanoscale MOFs for effective intracellular delivery of the anticancer drug 6-mercaptopurine. Chem. Commun. 2020, 56, 6448–6451. [Google Scholar] [CrossRef]
- Xian, W.-R.; He, Y.; Diao, Y.; Wong, Y.-L.; Zhou, H.-Q.; Zheng, S.-L.; Liao, W.-M.; Xu, Z.; He, J. A bumper crop of boiling-water-stable metal–organic frameworks from controlled linker sulfuration. Inorg. Chem. 2020, 59, 7097–7102. [Google Scholar] [CrossRef]
- Li, D.; Li, C.; Zhang, L.; Li, H.; Zhu, L.; Yang, D.; Fang, Q.; Qiu, S.; Yao, X. Metal-free thiophene-sulfur covalent organic frameworks: Precise and controllable synthesis of catalytic active sites for oxygen reduction. J. Am. Chem. Soc. 2020, 142, 8104–8108. [Google Scholar] [CrossRef]
- Hsieh, J.; Chen, J.-Y.; Li, H.-Y.; Liu, H.-K.; Tu, H.-L.; Wang, C.-M. A thio-functionalized zinc phosphite with a large-channel framework and enhanced removal ability of mercury ion from aqueous solutions. Dalton Trans. 2020, 49, 11085–11089. [Google Scholar] [CrossRef]
- Taylor, R.; Wood, P.A. A million crystal structures: The whole is greater than the sum of its parts. Chem. Rev. 2019, 119, 9427–9477. [Google Scholar] [CrossRef]
- Bruno, I.J.; Cole, J.C.; Edgington, P.R.; Kessler, M.; Macrae, C.F.; McCabe, P.; Pearson, J.; Taylor, R. New software for searching the Cambridge Structural Database and visualizing crystal structures. Acta Crystallogr. Sect. B Struct. Sci. Cryst. Eng. Mater. 2002, 58, 389–397. [Google Scholar] [CrossRef] [PubMed]
- Spek, A.L. checkCIF validation ALERTS: What they mean and how to respond. Acta Crystallogr. Sect. E Crystallogr. Commun. 2020, 76, 1–11. [Google Scholar] [CrossRef] [PubMed]
- Brandenburg, K.; Berndt, M. DIAMOND, Version 3.2k; GbR: Bonn, Germany, 2006. [Google Scholar]
- Unoura, K.; Abiko, Y.; Yamazaki, A.; Kato, Y.; Coomber, D.C.; Fallon, G.D.; Nakahara, K.; Bond, A.M. Synthesis, structure, and redox behaviour of a novel cis-dioxomolybdenum(VI) dinuclear complex with a quadradentate dithiocarbamate. Inorg. Chim. Acta 2002, 333, 41–50. [Google Scholar] [CrossRef]
- Wilton-Ely, J.D.E.T.; Solanki, D.; Hogarth, G. Multifunctional dithiocarbamates as ligands towards the rational synthesis of polymetallic arrays: An example based on a piperizine-derived dithiocarbamate ligand. Eur. J. Inorg. Chem. 2005, 20, 4027–4030. [Google Scholar] [CrossRef]
- Kovács, I.; Lebuis, A.-M.; Shaver, A. Ruthenium-assisted insertion of isothiocyanates into the silicon-sulfur bond: A comparative study on the reactivity of the S-Si and S-H Bonds in CpRu(PPh3)2SX (X = H, SiiPr3) complexes. Organometallics 2001, 20, 35–41. [Google Scholar] [CrossRef]
- Knight, E.R.; Cowley, A.R.; Hogarth, G.; Wilton-Ely, J.D.E.T. Bifunctional dithiocarbamates: A bridge between coordination chemistry and nanoscale materials. Dalton Trans. 2009, 607–609. [Google Scholar] [CrossRef]
- Knight, E.R.; Leung, N.H.; Lin, Y.H.; Cowley, A.R.; Watkin, D.J.; Thompson, A.L.; Hogarth, G.; Wilton-Ely, J.D.E.T. Multimetallic arrays: Symmetrical bi-, tri- and tetrametallic complexes based on the group 10 metals and the functionalisation of gold nanoparticles with nickel-phosphine surface units. Dalton Trans. 2009, 3688–3697. [Google Scholar] [CrossRef]
- Oliver, K.; White, A.J.P.; Hogarth, G.; Wilton-Ely, J.D.E.T. Multimetallic complexes of group 10 and 11 metals based on polydentate dithiocarbamate ligands. Dalton Trans. 2011, 40, 5852–5864. [Google Scholar] [CrossRef]
- Beer, P.D.; Berry, N.G.; Cowley, A.R.; Hayes, E.J.; Oates, E.C.; Wong, W.W.H. Metal-directed self-assembly of bimetallic dithiocarbamate transition metal cryptands and their binding capabilities. Chem. Commun. 2003, 2408–2409. [Google Scholar] [CrossRef]
- Beer, P.D.; Cheetham, A.G.; Drew, M.G.B.; Fox, O.D.; Hayes, E.J.; Rolls, T.D. Pyrrole-based metallo-macrocycles and cryptands. Dalton Trans. 2003, 603–611. [Google Scholar] [CrossRef]
- Jantan, K.A.; Kwok, C.Y.; Chan, K.W.; Marchio, L.; White, A.J.P.; Deplano, P.; Serpe, A.; Wilton-Ely, J.D.E.T. From recovered metal waste to high-performance palladium catalysts. Green Chem. 2017, 19, 5846–5853. [Google Scholar] [CrossRef]
- Torres-Huerta, A.; Höpfl, H.; Tlahuext, H.; Hernández-Ahuactzi, I.F.; Sánchez, M.; Reyes-Martínez, R.; Morales-Morales, D. Dinuclear macrocyclic palladium dithiocarbamates derived from the homologous series of aliphatic 1,x-diamines (x = 4–10). Eur. J. Inorg. Chem. 2013, 2013, 61–69. [Google Scholar] [CrossRef]
- Webber, P.R.A.; Drew, M.G.B.; Hibbert, R.; Beer, P.D. Transition metal-directed self-assembly of calix[4]arene based dithiocarbamate ligands. Dalton Trans. 2004, 1127–1135. [Google Scholar] [CrossRef] [PubMed]
- Kumar, A.; Mayer-Figge, H.; Sheldrick, W.S.; Singh, N. Synthesis, structure, conductivity, and calculated nonlinear optical properties of two novel bis(triphenylphosphane)copper(I) dithiocarbamates. Eur. J. Inorg. Chem. 2009, 2009, 2720–2725. [Google Scholar] [CrossRef]
- Huang, T.-H.; Yang, H.; Zhu, S.-L.; Zhao, B.; Yang, Y. Synthesis, structures and fluorescent properties of metal complexes based on polyphosphine ligands. J. Mol. Struct. 2017, 1127, 138–144. [Google Scholar] [CrossRef]
- Beer, P.D.; Berry, N.; Drew, M.G.B.; Fox, O.D.; Padilla-Tosta, M.E.; Patell, S. Self-assembled dithiocarbamate-copper(II) macrocycles for electrochemical anion recognition. Chem. Commun. 2001, 199–200. [Google Scholar] [CrossRef]
- Cookson, J.; Evans, E.A.L.; Maher, J.P.; Serpell, C.J.; Paul, R.L.; Cowley, A.R.; Drew, M.G.B.; Beer, P.D. Metal-directed assembly of large dinuclear copper(II) dithiocarbamate macrocyclic complexes. Inorg. Chim. Acta 2010, 363, 1195–1203. [Google Scholar] [CrossRef]
- Padilla-Tosta, M.E.; Fox, O.D.; Drew, M.G.B.; Beer, P.D. Self-assembly of a mixed-valence copper(II)/copper(III) dithiocarbamate catenane. Angew. Chem., Int. Ed. 2001, 40, 4235–4239. [Google Scholar] [CrossRef]
- Fox, O.D.; Drew, M.G.B.; Beer, P.D. Resorcarene-based nanoarchitectures: Metal-directed assembly of a molecular loop and tetrahedron. Angew. Chem. Int. Ed. 2000, 39, 136–140. [Google Scholar] [CrossRef]
- Guzei, I.A.; Spencer, L.C.; Lillywhite, S.; Darkwa, J. (μ-Piperazine-1,4-dicarbodithioato-κ4S1,S1′:S4,S4′)bis[bis(triphenylphosphane-κP)gold(I)] chloroform disolvate. Acta Crystallogr. Sect. E Crystallogr. Commun. 2011, 67, m1629–m1630. [Google Scholar] [CrossRef]
- Knight, E.R.; Leung, N.H.; Thompson, A.L.; Hogarth, G.; Wilton-Ely, J.D.E.T. Multimetallic arrays: Bi-, tri-, tetra-, and hexametallic complexes based on gold(I) and gold(III) and the surface functionalization of gold nanoparticles with transition metals. Inorg. Chem. 2009, 48, 3866–3874. [Google Scholar] [CrossRef] [PubMed]
- Yu, S.-Y.; Sun, Q.-F.; Lee, T.K.-M.; Cheng, E.C.-C.; Li, Y.-Z.; Yam, V.W.-W. Au36 crown: A macrocyclization directed by metal-metal bonding interactions. Angew. Chem., Int. Ed. 2008, 47, 4551–4554. [Google Scholar] [CrossRef]
- Jiang, X.-F.; Hau, F.K.-W.; Sun, Q.-F.; Yu, S.-Y.; Yam, V.W.-W. From {AuI···AuI}-coupled cages to the cage-built 2-D {AuI···AuI} arrays: AuI···AuI bonding interaction driven self-assembly and their AgI sensing and photo-switchable behavior. J. Am. Chem. Soc. 2014, 136, 10921–10929. [Google Scholar] [CrossRef] [PubMed]
- Sun, Q.-F.; Lee, T.K.-M.; Li, P.-Z.; Yao, L.-Y.; Huang, J.-J.; Huang, J.; Yu, S.-Y.; Li, Y.-Z.; Cheng, E.C.-C.; Yam, V.W.-W. Self-assembly of a neutral luminescent Au12 cluster with D2 symmetry. Chem. Commun. 2008, 5514–5516. [Google Scholar] [CrossRef] [PubMed]
- Wang, Y.-Q.; Jiang, X.-F.; Li, H.; Yu, S.-Y. Self-assembly of a Au16 ring via metal–metal bonding interactions. Chem. Asian J. 2015, 10, 1146–1149. [Google Scholar] [CrossRef] [PubMed]
- Yu, S.-Y.; Zhang, Z.-X.; Cheng, E.C.-C.; Li, Y.-Z.; Yam, V.W.-W.; Huang, H.-P.; Zhang, R. A Chiral luminescent Au16 ring self-assembled from achiral components. J. Am. Chem. Soc. 2005, 127, 17994–17995. [Google Scholar] [CrossRef] [PubMed]
- Wong, W.W.H.; Curiel, D.; Lai, S.-W.; Drew, M.G.B.; Beer, P.D. Ditopic redox-active polyferrocenyl zinc(II) dithiocarbamate macrocyclic receptors: Synthesis, coordination and electrochemical recognition properties. Dalton Trans. 2005, 774–781. [Google Scholar] [CrossRef] [PubMed]
- Lai, S.-W.; Drew, M.G.B.; Beer, P.D. Metal-directed assembly of polyferrocenyl transition metal dithiocarbamate macrocyclic molecular boxes. J. Organomet. Chem. 2001, 637–639, 89–93. [Google Scholar] [CrossRef]
- Wong, W.W.H.; Curiel, D.; Cowley, A.R.; Beer, P.D. Dinuclear zinc(II) dithiocarbamate macrocycles: Ditopic receptors for a variety of guest molecules. Dalton Trans. 2005, 359–364. [Google Scholar] [CrossRef]
- Fox, O.D.; Drew, M.G.B.; Wilkinson, E.J.S.; Beer, P.D. Cadmium- and zinc-directed assembly of nano-sized, resorcarene-based host architectures which strongly bind C60. Chem. Commun. 2000, 391–392. [Google Scholar] [CrossRef]
- Lefton, J.B.; Kyle, B.; Pekar, K.B.; Runčevski, T. The crystal structure of Zineb, seventy-five years later. Cryst. Growth Des. 2020, 20, 851–857. [Google Scholar] [CrossRef]
- Singh, N.; Kumar, A.; Prasad, R.; Molloy, K.C.; Mahon, M.F. Syntheses, crystal, photoluminescence and electrochemical investigation of some new phenylmercury(II) dithiocarbamate complexes involving ferrocene. Dalton Trans. 2010, 39, 2667–2675. [Google Scholar] [CrossRef] [PubMed]
- Yadav, M.K.; Rajput, G.; Gupta, A.N.; Kumar, V.; Drew, M.G.B.; Singh, N. Exploring the coordinative behaviour and molecular architecture of new PhHg(II)/Hg(II) dithiocarbamate complexes. Inorg. Chim. Acta 2014, 421, 210–217. [Google Scholar] [CrossRef]
- Guzmán-Percástegui, E.; Zakharov, L.N.; Alvarado-Rodríguez, J.G.; Carnes, M.E.; Johnson, D.W. Synthesis of a self-assembled Hg(II)-dithiocarbamate metallomacrocycle. Cryst. Growth Des. 2014, 14, 2087–2091. [Google Scholar] [CrossRef]
- Santacruz-Juárez, E.; Cruz-Huerta, J.; Hernández-Ahuactzi, I.F.; Reyes-Martínez, R.; Tlahuext, H.; Morales-Rojas, H.; Höpfl, H. 24- and 26-membered macrocyclic diorganotin(IV) bis-dithiocarbamate complexes with N,N′-disubstituted 1,3- and 1,4-bis(aminomethyl)benzene and 1,1′-bis(aminomethyl)ferrocene as spacer groups. Inorg. Chem. 2008, 47, 9804–9812. [Google Scholar] [CrossRef]
- Rojas-León, I.; Guerrero-Alvarez, J.A.; Hernández-Paredes, J.; Höpfl, H. Solvent-solvent and solvent-solute interactions in a 3D chloroform clathrate with diorganotin macrocycles in the nano-sized pores. Chem. Commun. 2012, 48, 401–403. [Google Scholar] [CrossRef] [PubMed]
- Reyes-Martínez, R.; Mejia-Huicochea, R.; Guerrero-Alvarez, J.A.; Höpfl, H.; Tlahuext, H. Synthesis, heteronuclear NMR and X-ray crystallographic studies of two dinuclear diorganotin(IV) dithiocarbamate macrocycles. ARKIVOC 2008, 19–30. [Google Scholar] [CrossRef]
- Selvaganapathi, P.; Thirumaran, S.; Ciattini, S. Synthesis, spectra, crystal structures and anticancer studies of 26-membered macrocyclic dibutyltin(IV) dithiocarbamate complexes: Single-source precursors for tin sulfide nanoparticles. Appl. Organomet. Chem. 2019, 33, e5089. [Google Scholar] [CrossRef]
- Jung, O.S.; Sohn, Y.S.; Ibers, J.A. Synthesis and properties of some ethylenebis(dithiocarbamate) diorganotin(IV) complexes. The structure of [(tert-Bu)2Sn(ebdtc)]2.4THF [tetra-tert-butylbis(ethylenebis(dithiocarbamato)ditin.tetrakis(tetrahydrofuran)]. Inorg. Chem. 1986, 25, 2273–2275. [Google Scholar] [CrossRef]
- Yu, Y.; Yang, H.; Wei, Z.-W.; Tang, L.-F. Synthesis, structure, and fungicidal activity of organotin dithiocarbamates derived from pyridinamines and aryl diamines. Heteroat. Chem. 2014, 25, 274–281. [Google Scholar] [CrossRef]
- Celis, N.A.; Villamil-Ramos, R.; Höpfl, H.; Hernández-Ahuactzi, I.F.; Sánchez, M.; Zamudio-Rivera, L.S.; Barba, V. Dinuclear monomeric and macrocyclic organotin dithiocarbamates derived from 1,10-diaza-18-crown-6 and 4,4′-trimethylenedipiperidine. Eur. J. Inorg. Chem. 2013, 2013, 2912–2922. [Google Scholar] [CrossRef]
- Tlahuext, H.; Reyes-Martínez, R.; Vargas-Pineda, G.; López-Cardoso, M.; Höpfl, H. Molecular structures and supramolecular association of chlorodiorganotin(IV) complexes with bis- and tris-dithiocarbamate ligand. J. Organomet. Chem. 2011, 696, 693–701. [Google Scholar] [CrossRef]
- Santacruz-Juárez, E.; Cruz-Huerta, J.; Torres-Huerta, A.; Hernández-Cruz, M.G.; Barba, V.; Tlahuext, H.; Höpfl, H. Stabilization of [(nBu2SnCl)(μ-Cl)2(ClSnnBu2)] within the solid-state structure of a chlorodi-n-butyltin(IV) dithiocarbamate. J. Organomet. Chem. 2014, 770, 121–129. [Google Scholar] [CrossRef]
- Ali, S.; Zia-ur-Rehman; Muneeb-ur-Rehman; Khan, I.; Shah, S.N.A.; Ali, R.F.; Shah, A.; Badshah, A.; Akbar, K.; Bélanger-Gariepy, F. New homobimetallic organotin(IV) dithiocarbamates as potent antileishmanial agents. J. Coord. Chem. 2014, 67, 3414–3430. [Google Scholar] [CrossRef]
- Rodríguez-Uribe, N.A.; Claudio-Catalán, M.Á.; Medrano, F.; Pina Luis, G.; Tlahuext, H.; Godoy-Alcántar, C. Anion interaction with homoditopic chlorodiorganotin(IV) dithiocarbamate complexes derived from a naphthalene diimide. A pathway to obtain metallamacrocycles. Polyhedron 2020, 186, 114615. [Google Scholar] [CrossRef]
- Fuentes-Martínez, J.P.; Toledo-Martínez, I.; Román-Bravo, P.; García y García, P.; Godoy-Alcántar, C.; López-Cardoso, M.; Morales-Rojas, H. Diorganotin(IV) dithiocarbamate complexes as chromogenic sensors of anion binding. Polyhedron 2009, 28, 3953–3966. [Google Scholar] [CrossRef]
- Tian, L.; Zheng, X.; Zheng, X.; Sun, Y.; Yan, D.; Tu, L. Synthesis, structure and cytotoxic activity of binuclear phenyltin(IV) complexes with N,N′-bis(2-hydroxybenzyl)-1,2-ethanebis(dithiocarbamate) ligand. Appl. Organomet. Chem. 2011, 25, 785–790. [Google Scholar] [CrossRef]
- Rojas-León, I.; Alnasr, H.; Jurkschat, K.; Vasquez-Ríos, M.G.; Gómez-Jaimes, G.; Höpfl, H.; Hernández-Ahuactzí, I.F.; Santillan, R. Formation of metal-based 21- and 22-membered macrocycles from dinuclear organotin tectons and ditopic organic ligands carrying carboxylate or dithiocarbamate groups. Organometallics 2019, 38, 2443–2460. [Google Scholar] [CrossRef]
- Cotero-Villegas, A.M.; Pérez-Redondo, M.d.C.; López-Cardoso, M.; Toscano, A.; Cea-Olivares, R. Organotin(IV) azepane dithiocarbamates: Synthesis and characterization of the first organotin(IV) complexes with seven-membered cyclic dithiocarbamates. Phosphorus, Sulfur, Silicon Relat. Elem. 2020, 195, 498–506. [Google Scholar] [CrossRef]
- Yin, H.-D.; Wang, C.-H.; Xing, Q.-J. Synthesis and molecular structure of binuclear organotin complex bridged by piperazinylbidithiocarbamate anion. Jiegou Huaxue 2004, 23, 490–493. [Google Scholar]
- Yin, H.; Wang, C. Bis[tri(o-chlorobenzyl)tin(IV)] piperazinylbisdithiocarbamate. Appl. Organomet. Chem. 2004, 18, 145–146. [Google Scholar] [CrossRef]
- Tian, L.; Shang, Z.; Yu, Q.; Li, D.; Yang, G. Bis[tris(2-methyl-2-phenylpropyl)tin]-piperazinyldithiocarbamate. Appl. Organomet. Chem. 2004, 18, 253–254. [Google Scholar] [CrossRef]
- Poplaukhin, P.; Tiekink, E.R.T. (μ-Piperazine-1,4-dicarbodithioato-κ4S,S′:S″,S‴)bis[triphenyltin(IV)] dichloromethane solvate. Acta Crystallogr. Sect. E Crystallogr. Commun. 2008, 64, m1177. [Google Scholar] [CrossRef] [PubMed]
- Yin, H.-D.; Ma, C.-L.; Wang, Y.; Fang, H.-X.; Shao, J.-X. Synthesis and crystal structure of binuclear organotin(IV) complexes [Ph3Sn(CH3OH)O2CC6H4CO2(CH3OH)SnPh3]·2CH3OH and [Ph3SnS2CN(CH2CH2)2NCS2SnPh3]·2CH3OH. Huaxue Xuebao 2002, 60, 897–903. [Google Scholar]
- Yin, H.; Deng, B.; Ma, C. Spectroscopic properties and crystal structure of bis[triphenyltin(IV)] piperazine bis(dithiocarbamate). Fenxi Ceshi Xuebao 2004, 23, 23–26. [Google Scholar]
- Reyes-Martínez, R.; García y García, P.; López-Cardoso, M.; Höpfl, H.; Tlahuext, H. Self-assembly of diphenyltin(IV) and tris-dithiocarbamate ligands to racemic trinuclear cavitands and capsules. Dalton Trans. 2008, 6624–6627. [Google Scholar] [CrossRef]
- Wang, S.; Xu, J.; Wang, J.; Wang, K.-Y.; Dang, S.; Song, S.; Liu, D.; Wang, C. Luminescence of samarium(III) bis-dithiocarbamate frameworks: Codoped lanthanide emitters that cover visible and near-infrared domains. J. Mater. Chem. C 2017, 5, 6620–6628. [Google Scholar] [CrossRef]
- Xu, J.; Liu, T.; Han, X.; Wang, S.; Liu, D.; Wang, C. Construction of a porous three dimensional rare earth metal–sulfur-ligand open framework. Chem. Commun. 2015, 51, 15819–15822. [Google Scholar] [CrossRef]
- Schmidbaur, H. Supramolecular chemistry. Going for gold. Nature 2001, 413, 31–33. [Google Scholar] [CrossRef]
- Schmidbaur, H.; Schier, A. A briefing on aurophilicity. Chem. Soc. Rev. 2008, 37, 1931–1951. [Google Scholar] [CrossRef]
- Tiekink, E.R.T. Supramolecular assembly of molecular gold(I) compounds: An evaluation of the competition and complementarity between aurophilic (Au· · ·Au) and conventional hydrogen bonding interactions. Coord. Chem. Rev. 2014, 275, 130–153. [Google Scholar] [CrossRef]
- Cox, M.J.; Tiekink, E.R.T. Structural features of zinc(II) bis(O-alkyldithiocarbonate) and zinc(II) bis(N,N-dialkyldithiocarbamate) compounds. Z. Kristallogr. 1999, 214, 184–190. [Google Scholar] [CrossRef]
- Guardiola, F.A.; Cuesta, A.; Meseguer, J.; Esteban, M.A. Risks of using antifouling biocides in aquaculture. Int. J. Mol. Sci. 2012, 13, 1541–1560. [Google Scholar] [CrossRef] [PubMed]
- Jotani, M.M.; Tan, Y.S.; Tiekink, E.R.T. Bis[bis(N-2-hydroxyethyl,N-isopropyldithiocarbamato)mercury(II)]2: Crystal structure and Hirshfeld surface analysis. Z. Kristallogr. Cryst. Mater. 2016, 231, 403–413. [Google Scholar] [CrossRef]
- Tiekink, E.R.T. Tin dithiocarbamates: Applications and structures. Appl. Organomet. Chem. 2008, 22, 533–550. [Google Scholar] [CrossRef]
- Haezam, F.N.; Awang, N.; Kamaludin, N.F.; Jotani, M.M.; Tiekink, E.R.T. (N,N-Diallyldithiocarbamato-κ2S,S′)triphenyltin(IV) and bis(N,N-diallyldithiocarbamato-κ2S,S′)diphenyltin(IV): Crystal structure, Hirshfeld surface analysis and computational study. Acta Crystallogr., Sect. E: Crystallogr. Commun. 2020, 76, 167–176. [Google Scholar] [CrossRef]
- Tiekink, E.R.T.; Hall, V.J.; Buntine, M.A. An examination of the influence of crystal structure on molecular structure. The crystal and molecular structures of some diorganotinchloro-(N,N-dialkyl-dithiocarbamate)s, R2Sn(S2CNR′2)Cl, R = Me, tBu, Ph, Cy; R′2 = (Et)2, (Et, Cy) and (Cy)2: A comparison between solid state and theoretical structures. Z. Kristallogr. 1999, 214, 124–134. [Google Scholar] [CrossRef]
- Cui, Y.; Chen, B.; Qian, G. Lanthanide metal-organic frameworks for luminescent sensing and light-emitting applications. Coord. Chem. Rev. 2014, 273–274, 76–86. [Google Scholar] [CrossRef]
Crystal | Formulation | Motif | CSD REFCODE | Ref. |
---|---|---|---|---|
1 | [Mo(=O)2(L1)]2 | 0-D/dimer | OFOZIS | [29] |
2 | [Ru(dppm)2]2(L2), 2(BF4), 3(CHCl3) | 0-D/dimer | QAVHAX | [30] |
3 | [Cp(Ph3P)Ru]2(L3), 1.4(C6H14) | 0-D/dimer | CULLAW | [31] |
4 | [(dppm)2Ru(L2)Pd(PPh3)2], 2(BF4), 3(CH2Cl2), C4H10O | 0-D/dimer | QONVAR | [32] |
5 | [(dppe)Ni]2(L2), 2(PF6) | 0-D/dimer | RUDLIM | [33] |
6 | [(dppf)Ni]2(L2), 2(PF6), 4(CH2Cl2) | 0-D/dimer | RUDLOS | [33] |
7 | [(dppf)Ni]2(L1), 2(PF6), CH2Cl2 | 0-D/dimer | ISEWEJ | [34] |
8 | Ni2(L4)2, CH3CN | 0-D/dimer | ELUFOG | [35] |
9 | Ni2(L5)2, 4(H2O) | 0-D/dimer | QAHFUB | [36] |
10 | [(Ph3P)2Pd]2(L2), 2(PF6), C4H10O | 0-D/dimer | KEKKAP | [37] |
11 | [(Ph3P)2Pd]2(L2), 2(PF6), C4H10O | 0-D/dimer | KEKKET | [37] |
12 | [(Ph3P)2Pd]2(L1), 2(PF6), C4H10O | 0-D/dimer | KEKKIX | [37] |
13 | [(dppf)Pd]2(L1), 2(PF6), CH2Cl2, CH3CH2OH | 0-D/dimer | ISEWIN | [34] |
14 | [(dppf)Pd]2(L2), 2(BF4), 2.6(CH2Cl2) | 0-D/dimer | RUDLEI | [33] |
15 | Pd2(L6)2 | 0-D/dimer | KENYIN | [38] |
16 | Pd2(L6)2, CHCl3 | 0-D/dimer | KENYOT | [38] |
17 | Pd2(L5)2, 2(CH3OH), 2.5(H2O) | 0-D/dimer | QAHGAI | [36] |
18 | Pd2(L7)2, 2(CH3OH) | 0-D/dimer | IXIWAN | [39] |
19 | [(Et3P)2Pt]2(L2), 2(PF6) | 0-D/dimer | RUDLAE | [33] |
20 | [(Ph3P)2Pt]2(L2), 2(PF6) | 0-D/dimer | RUDKUX | [33] |
21 | [(Ph3P)2Cu]2(L2) | 0-D/dimer | XUHYAB | [40] |
22 | [(Ph2PCH2N(Ph)CH2PPh2)Cu]2(L2), 2(C3H7NO) | 0-D/dimer | ASANUF | [41] |
23 | Cu2(L8)2, 2(FeCl4), 2(C6H6) | 0-D/dimer | WOXFAQ | [42] |
24 | Cu2(L9)2, CH2Cl2 | 0-D/dimer | GUTQIW | [43] |
25 | Cu2(L9)2, ReO4 | 0-D/dimer | IDEBIC | [44] |
26 | Cu4(L10)2 | 0-D /tetramer | GUTQES | [43] |
27 | Cu8(L11)4, 7(I3), I, 6(H2O) | 0-D/octamer | CUPLAA | [45] |
28 | (Me3PAu)2(L1) | 0-D/dimer | ISEWUZ | [34] |
29 | (Ph3PAu)2(L1), 2(CH2Cl2), 0.5(CH3CH2OH) | 0-D/dimer | ISEWOT | [34] |
30 | [(Ph3P)2Au]2(L2), 2(CHCl3) | 0-D/dimer | YAFMEZ | [46] |
31 | [(dppf)Au2]2(L2), 2(PF6), 1.75(C4H10O) | 0-D/tetramer | PUCFAV | [47] |
32 | Au6(L12)3, CHCl3 | 0-D/hexamer | EFARUZ | [48] |
33 | Au8(L13)2, unknown solvate | 0-D/octamer | KUNCUT | [49] |
34 | Au8(L13)2, unknown solvate | 0-D/octamer | KUNDAA | [49] |
35 | Au12(L14)6, 3(CHCl3), 7(H2O) | 0-D/12-mer | MOLMEG | [50] |
36 | Au16(L15)4(µ-dppm)8, 8(BF4), 2(C2H3N) | 0-D/16-mer | MUGJUV | [51] |
37 | Au16(L2)4(dppm)2, 8(PF6) | 0-D/16-mer | TEBFEM | [52] |
38 | Au36(L12)18, 10(CHCl3), 26(H2O) | 0-D/36-mer | EFAROT | [48] |
39 | Zn2(L16)2, CH2Cl2, 2(H2O) | 0-D/dimer | FIPYAF | [53] |
40 | Zn2(L12)2, CH3CH2OH, 0.5(H2O) | 0-D/dimer | BAGLIF | [54] |
41 | Zn2(L5)2(pyridine)2, 2(C5H5N) | 0-D/dimer | QAHGEM | [36] |
42 | Zn2(L9)2(N(CH2CH2)3N) | 0-D/dimer | FEDDOI | [55] |
43 | Zn6(L11)3(pyridine)6, 7.5(CH3CH2OH) | 0-D/hexamer | CUPKUT | [44] |
44 | Zn6(L17)3(pyridine)6, 9(CH3CH2OH), 10.5(H2O) | 0-D/hexamer | MAKVUP | [56] |
45 | [Zn(L18)]n | 2-D | FUFFAQ | [57] |
46 | Cd6(L11)3(pyridine)6, 6(CH3CH2OH), 27(H2O) | 0-D/hexamer | MAKVOJ | [56] |
47 | Cd6(L17)3(pyridine)6, 15(CH3CH2OH), 9(H2O) | 0-D/hexamer | MAKVID | [56] |
48 | (PhHg)2(L12), 1.5(EtOEt) | 0-D/dimer | FUPFOM | [58] |
49 | (PhHg)2(L19) | 0-D/dimer | YOMXIJ | [59] |
50 | Hg2(L20)2, 2(C2H2Cl4) | 0-D/dimer | XOHBAZ | [60] |
51 | (Me2Sn)2(L21)2 | 0-D/dimer | BOMCOW | [61] |
52 | (Me2Sn)2(L22)2, 2(C6H6) | 0-D/dimer | BOMBUB | [61] |
53 | (Me2Sn)2(L23)2, 2(CH2Cl2) | 0-D/dimer | BOMCAI | [61] |
54 | (Me2Sn)2(L24)2, 10(CDCl3) | 0-D/dimer | SAPSAF | [62] |
55 | (Me2Sn)2(L25)2, 2(CHCl3) | 0-D/dimer | XONHIS | [63] |
56 | (Me2Sn)2(L26)2, 2(CH2Cl2), 4(C6H6) | 0-D/dimer | BOMCEM | [61] |
57 | [(nBu)2Sn]2(L25)2, CH2Cl2 | 0-D/dimer | XONHOY | [63] |
58 | [(nBu)2Sn]2(L21)2 | 0-D/dimer | BOMCIQ | [61] |
59 | [(nBu)2Sn]2(L27)2, CH3CN | 0-D/dimer | JOVQET | [64] |
60 | [(nBu)2Sn]2(L28)2 | 0-D/dimer | JOVQIX | [64] |
61 | [(nBu)2Sn]2(L29)2 | 0-D/dimer | JOVQOD | [64] |
62 | [(nBu)2Sn]2(L30)2, 2(CHCl3) | 0-D/dimer | JOVQUJ | [64] |
63 | [(tBu)2Sn]2(L18)2, 4(C4H8O) | 0-D/dimer | DORZIT | [65] |
64 | [(PhCH2)2Sn]2(L31)2, CH2Cl2 | 0-D/dimer | TOHBUP | [66] |
65 | (Ph2Sn)2(L21)2 | 0-D/dimer | BOMCUC | [61] |
66 | (Ph2Sn)2(L32)2, 6(C6H6) | 0-D/dimer | SEWGIM | [67] |
67 | (Me2SnCl)2(L1) | 0-D/dimer | UJAFUH | [68] |
68 | (Me2SnCl)2(L33) | 0-D/dimer | SEWGEI | [67] |
69 | (Me2SnCl)2(L34), 2(CHCl3) | 0-D/dimer | DOSJAY | [69] |
70 | [(nBu)2SnCl]2(L1) | 0-D/dimer | UJAGAO | [68] |
71 | [(nBu)2SnCl]2(L32) | 0-D/dimer | POMPOY | [70] |
72 | [(nBu)2SnCl]2(L34) | 0-D/dimer | DOSJEC | [69] |
73 | [(nBu)2SnCl]2(L35) | 0-D/dimer | PUNDOU | [71] |
74 | (Ph2SnCl)2(L2) | 0-D/dimer | QUJVUN | [72] |
75 | (Ph2SnCl)2(L32) | 0-D/dimer | POMPUE | [70] |
76 | (Ph2SnCl)2(L36) | 0-D/dimer | SANMOL | [73] |
77 | [PhSn(Cl)CH2Si(Me)2C6H4C6H4Si(Me)2CH2Sn(Ph)Cl](L2), 2(C4H8O) | 0-D/dimer | KOKJIG | [74] |
78 | [PhSn(I)CH2Si(Me)2C6H4C6H4Si(Me)2CH2Sn(Ph)I](L2), CH2Cl2 | 0-D/dimer | KOKJAY | [74] |
79 | (Cy3Sn)2(L37)2 | 0-D/dimer | JUMWEW | [75] |
80 | [(PhCH2)3Sn]2(L32) | 0-D/dimer | POMQAL | [70] |
81 | [(2-FC6H4CH2)3Sn]2(L2) | 0-D/dimer | EXEQAZ | [76] |
82 | [(2-ClC6H4CH2)3Sn]2(L2) | 0-D/dimer | EXUSEV | [77] |
83 | [(Me2(Ph)CCH2)3Sn]2(L2) | 0-D/dimer | BESKUG | [78] |
84 | (Ph3Sn)2(L2), CH2Cl2 | 0-D/dimer | POFVAI | [79] |
85 | (Ph3Sn)2(L2), 2(CH3OH) | 0-D/dimer | MOTLUC | [80] |
86 | (Ph3Sn)2(L2), 2(H2O) | 0-D/dimer | NORSAP | [81] |
87 | (Ph3Sn)2(L31) | 0-D/dimer | TOHGEE | [66] |
88 | (Ph3Sn)2(L32) | 0-D/dimer | POMQEP | [70] |
89 | (Ph3Sn)2(L33), 1.5(CHCl3) | 0-D/dimer | YIGHAZ | [67] |
90 | (Ph3Sn)2(L36) | 0-D/dimer | SANMIF | [73] |
91 | (Me2SnCl)3(L38) | 0-D/trimer | UJAGES | [68] |
92 | (Me2SnCl)3(L39) | 0-D/trimer | UJAGIW | [68] |
93 | [(tBu)2SnCl]3(L38), CH3CH2OH | 0-D/trimer | UJAGOC | [68] |
94 | (Ph2SnCl)3(L38) | 0-D/trimer | NOLKUV | [82] |
95 | (Ph2Sn)3(L39)2, 2(CHBr3) | 0-D/trimer | NOLLEG | [82] |
96 | (Ph2Sn)3(L40)2, 2(CHCl3), 3(C6H6) | 0-D/trimer | NOLLAC | [82] |
97 | {(H3O)[Ce(L2)2], 2.5(CH3NO2), 1.5(H2O)}n | 3-D | PAYPEN | [83] |
98 | {(H3O)[Sm(L2)2], 2.5(CH3NO2), 1.5(H2O)}n | 3-D | PAYPIR | [83] |
99 | {(H3O)[Eu(L2)2], 2.5(CH3NO2), 1.5(H2O)}n | 3-D | PAYPOX | [83] |
100 | {(H3O)[Gd(L2)2], 2.5(CH3NO2), 1.5(H2O)}n | 3-D | PAYPUD | [83] |
101 | {(H3O)[Tb(L2)2], 2.5(CH3NO2), 1.5(H2O)}n | 3-D | PAYQAK | [83] |
102 | {(H3O)[Nd(L2)2], 2.5(CH3NO2), 1.5(H2O)}n | 3-D | XUPQUW | [84] |
Publisher’s Note: MDPI stays neutral with regard to jurisdictional claims in published maps and institutional affiliations. |
© 2021 by the authors. Licensee MDPI, Basel, Switzerland. This article is an open access article distributed under the terms and conditions of the Creative Commons Attribution (CC BY) license (http://creativecommons.org/licenses/by/4.0/).
Share and Cite
Lee, S.M.; Tiekink, E.R.T. A Structural Survey of Poly-Functional Dithiocarbamate Ligands and the Aggregation Patterns They Sustain. Inorganics 2021, 9, 7. https://doi.org/10.3390/inorganics9010007
Lee SM, Tiekink ERT. A Structural Survey of Poly-Functional Dithiocarbamate Ligands and the Aggregation Patterns They Sustain. Inorganics. 2021; 9(1):7. https://doi.org/10.3390/inorganics9010007
Chicago/Turabian StyleLee, See Mun, and Edward R. T. Tiekink. 2021. "A Structural Survey of Poly-Functional Dithiocarbamate Ligands and the Aggregation Patterns They Sustain" Inorganics 9, no. 1: 7. https://doi.org/10.3390/inorganics9010007
APA StyleLee, S. M., & Tiekink, E. R. T. (2021). A Structural Survey of Poly-Functional Dithiocarbamate Ligands and the Aggregation Patterns They Sustain. Inorganics, 9(1), 7. https://doi.org/10.3390/inorganics9010007