Manipulation of Energy Flow with X-Type Vortex
Abstract
1. Introduction
2. Materials and Methods
3. Results and Discussions
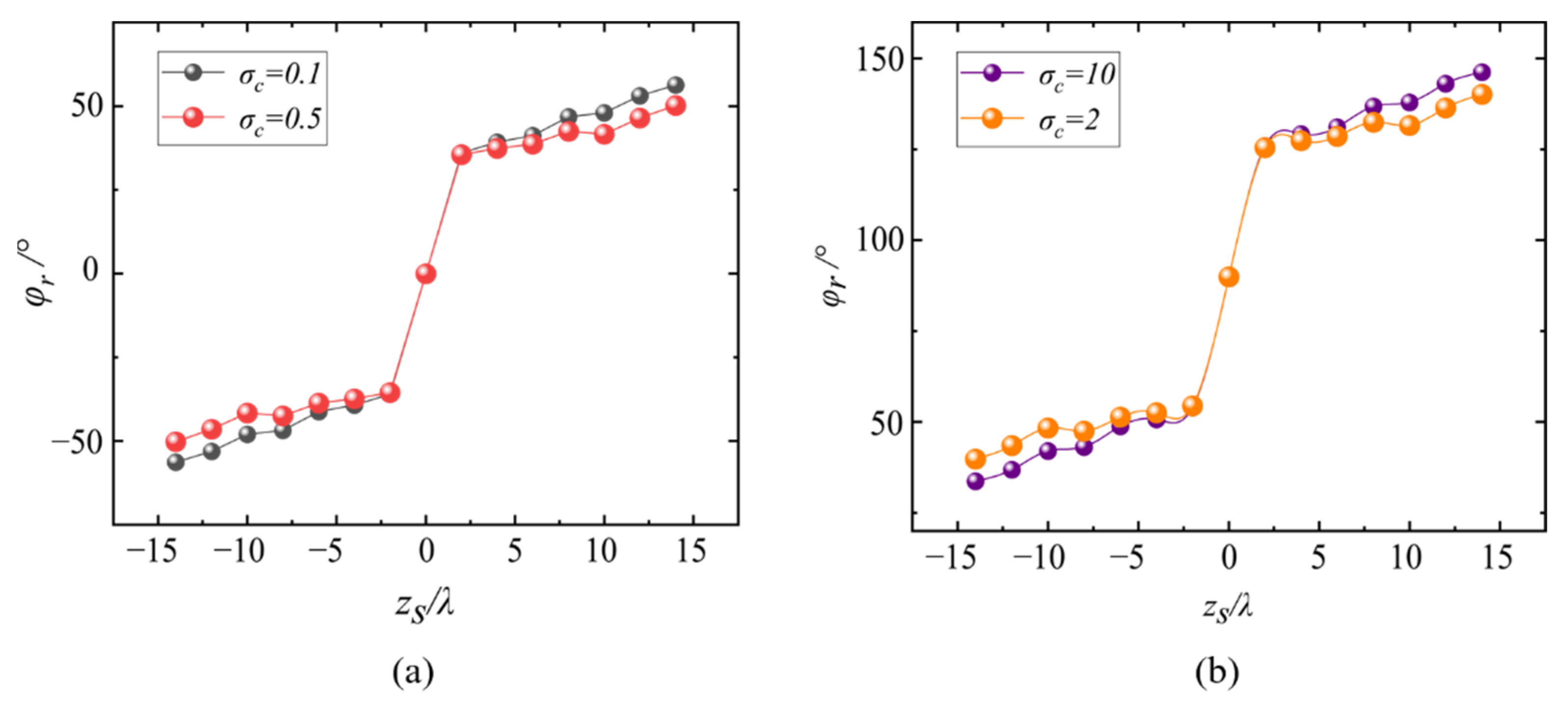
3.1. Longitudinal Energy Flow along the Propagation Direction
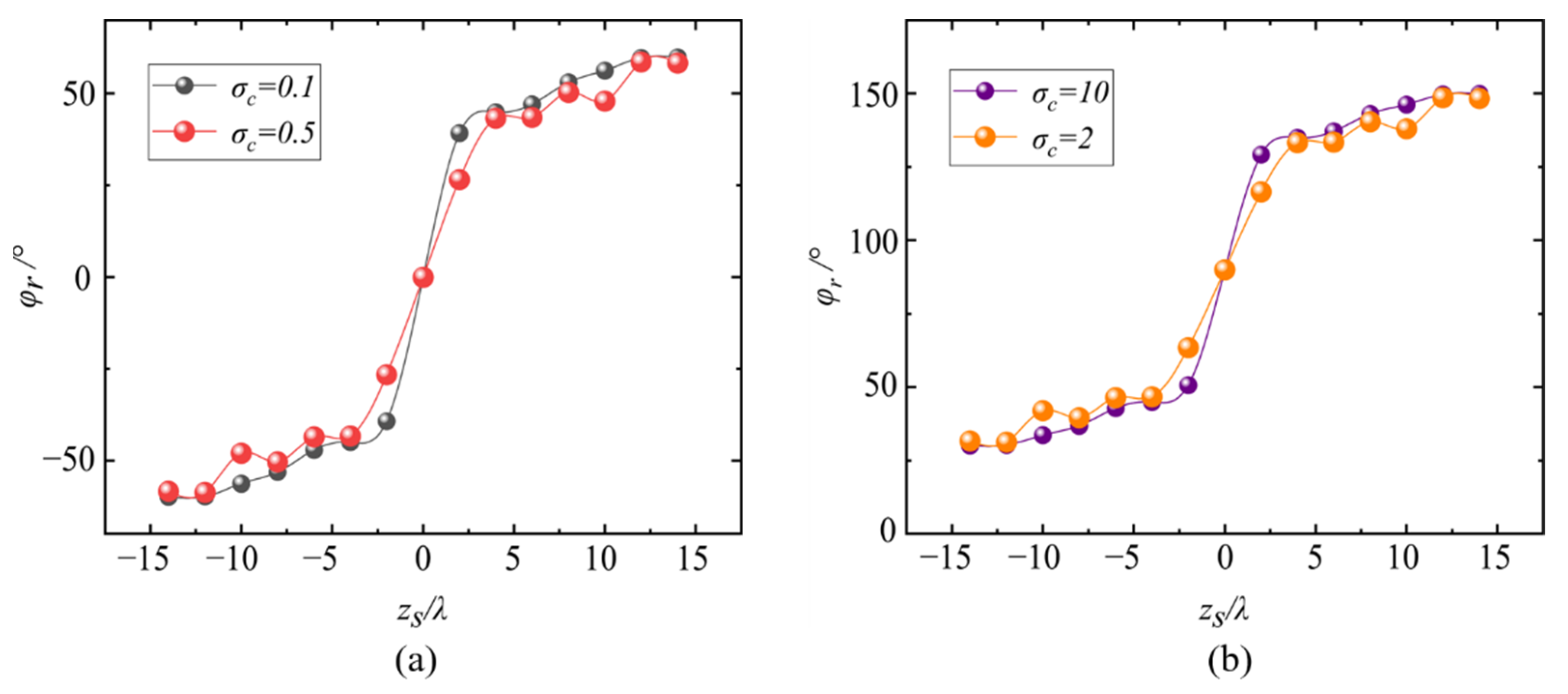
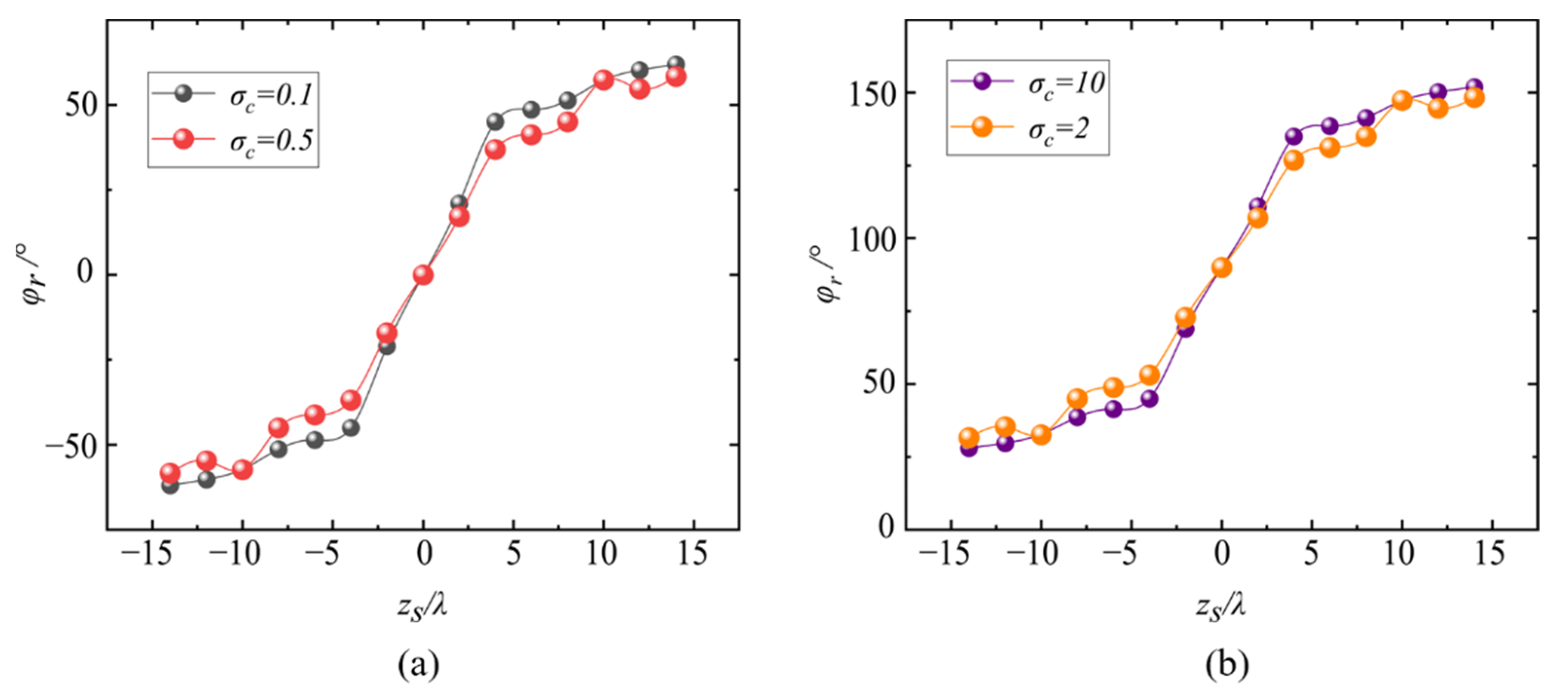
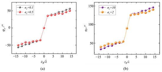
3.2. Transverse Energy Flow along the Propagation Direction
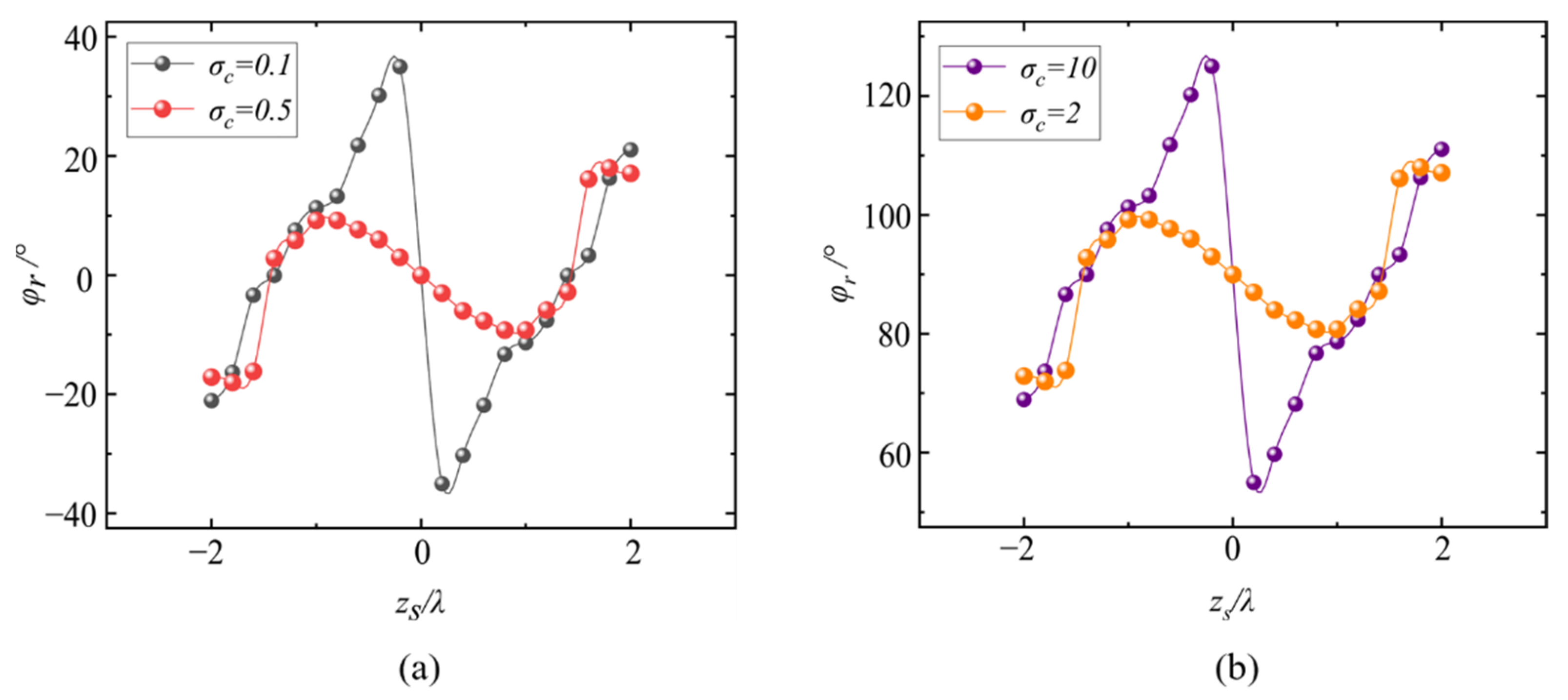
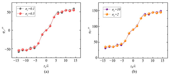
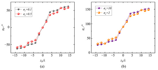
3.3. Transverse Energy Flow in the Focal Plane
4. Conclusions
Author Contributions
Funding
Institutional Review Board Statement
Informed Consent Statement
Data Availability Statement
Conflicts of Interest
References
- Ignatowskii, V.S. Diffraction by lens of arbitrary aperture. Trans. Opt. 1919, 1, 1–36. [Google Scholar] [CrossRef]
- Richards, B.; Wolf, E. Electromagnetic diffraction in optical systems, II. Structure of the image field in an aplanatic system. Proc. R. Soc. Lond. A 1959, 253, 358–379. [Google Scholar] [CrossRef]
- Berry, M.V. Optical currents. J. Opt. A Pure Appl. Opt. 2009, 11, 094001. [Google Scholar] [CrossRef]
- Bekshaev, A.; Bliokh, K.Y.; Soskin, M. Internal flows and energy circulation in light beams. J. Opt. 2011, 13, 053001. [Google Scholar] [CrossRef]
- Angelsky, O.V.; Bekshaev, A.Y.; Maksimyak, P.P.; Maksimyak, A.P.; Hanson, S.G.; Zenkova, C.Y. Orbital rotation without orbital angular momentum: Mechanical action of the spin part of the internal energy flow in light beams. Opt. Express 2012, 20, 3563. [Google Scholar] [CrossRef] [PubMed]
- Otte, E.; Asché, E.; Denz, C. Shaping optical spin flow topologies by the translation of tailored orbital phase flow. J Opt. 2019, 21, 064001. [Google Scholar] [CrossRef]
- Schouten, H.F.; Visser, T.D.; Lenstra, D. Optical vortices near sub-wavelength structures. J. Opt. B Quantum Semiclassical Opt. 2004, 6, S404. [Google Scholar] [CrossRef][Green Version]
- Gbur, G.J. Singular Optics; Chemical Rubber Company: Boca Raton, FL, USA, 2017. [Google Scholar]
- Friese, M.E.J.; Enger, J.; Rubinsztein-Dunlop, H.; Heckenberg, N. Optical angular-momentum transfer to trapped absorbing particles. Phys. Rev. A 1996, 54, 1593. [Google Scholar] [CrossRef]
- Tkachenko, G.; Brasselet, E. Optofluidic sorting of material chirality by chiral light. Nat. Commun. 2014, 5, 1–7. [Google Scholar] [CrossRef]
- Gao, D.; Novitsky, A.; Zhang, T.; Cheong, F.C.; Gao, L.; Lim, C.T. Unveiling the correlation between non-diffracting tractor beam and its singularity in Poynting vector. Laser Photonics Rev. 2015, 9, 75–82. [Google Scholar] [CrossRef]
- Kotlyar, V.V.; Stafeev, S.S.; Nalimov, A.G. Energy backflow in the focus of a light beam with phase or polarization singularity. Phys. Rev. A 2019, 99, 033840. [Google Scholar] [CrossRef]
- Stafeev, S.S.; Kotlyar, V.V.; Nalimov, A.G.; Kozlova, E.S. The non-vortex inverse propagation of energy in a tightly focused high-order cylindrical vector beam. IEEE Photon. J. 2019, 11, 1–10. [Google Scholar] [CrossRef]
- Khonina, S.N.; Ustinov, A.V. Increased reverse energy flux area when focusing a linearly polarized annular beam with binary. Opt. Lett. 2019, 44, 2008–2011. [Google Scholar] [CrossRef]
- Wang, H.; Hao, J.; Zhang, B.; Han, C.; Zhao, C.; Shen, Z.; Xu, J.; Ding, J. Donut-like photonic nanojet with reverse energy flow. Chin. Opt. Lett. 2021, 19, 102602. [Google Scholar] [CrossRef]
- Zhou, J.; Ma, H.; Zhang, Y.; Zhang, S.; Min, C.; Yuan, X. Energy flow inversion in an intensity-invariant focusing field. Opt. Lett. 2022, 47, 1494–1497. [Google Scholar] [CrossRef] [PubMed]
- Man, Z.; Bai, Z.; Zhang, S.; Li, X.; Li, J.; Ge, X.; Zhang, Y.; Fu, S. Redistributing the energy flow of a tightly focused radially polarized optical field by designing phase masks. Opt. Lett. 2018, 26, 23935. [Google Scholar] [CrossRef]
- Gong, L.; Wang, X.; Zhu, Z.; Lai, S.; Feng, H.; Wang, J.; Gu, B. Transversal energy flow of tightly focused off-axis circular polarized vortex beams. Appl. Opt. 2022, 61, 5076–5082. [Google Scholar] [CrossRef]
- Gao, X.; Pan, Y.; Zhang, G.; Zhao, M.; Ren, Z.; Tu, C.; Li, Y.; Wang, H. Redistributing the energy flow of tightly focused ellipticity-variant vector optical fields. Photonics Res. 2017, 5, 640–648. [Google Scholar] [CrossRef]
- Man, Z.; Li, X.; Zhang, S.; Bai, Z.; Lyu, Y.; Li, J.; Ge, X.; Sun, Y.; Fu, S. Manipulation of the transverse energy flow of azimuthally polarized beam in tight focusing system. Opt. Commun. 2019, 431, 174–180. [Google Scholar] [CrossRef]
- Pan, Y.; Gao, X.; Zhang, G.; Li, Y.; Tu, C.; Wang, H. Spin angular momentum density and transverse energy flow of tightly focused kaleidoscope-structured vector optical fields. APL Photonics 2019, 4, 096102. [Google Scholar] [CrossRef]
- Kotlyar, V.V.; Stafeev, S.S.; Kovalev, A.A. Reverse and toroidal flux of light fields with both phase and polarization higher-order singularities in the sharp focus area. Opt. Express 2019, 27, 16689–16702. [Google Scholar] [CrossRef] [PubMed]
- Wang, S.; Cao, H.; Sun, J.; Qin, F.; Cao, Y.; Li, X. Subwavelength generation of orientation-unlimited energy flow in 4π microscopy. Opt. Express 2022, 30, 138–145. [Google Scholar] [CrossRef] [PubMed]
- Soskin, M.S.; Vasnetsov, M.V. Singular Optics Progress in Optics; Wolf, E., Ed.; Elsevier: Amsterdam, The Netherlands, 2001; Volume 42, pp. 219–276. [Google Scholar]
- Shen, Y.; Wang, X.; Xie, Z.; Min, C.; Fu, X.; Liu, Q.; Gong, M.; Yuan, X. Optical vortices 30 years on: OAM manipulation from topological charge to multiple singularities. Light Sci. Appl. 2019, 8, 1–29. [Google Scholar] [CrossRef]
- Liu, X.; Sun, C.; Deng, D. Propagation properties and radiation force of circular Airy Gaussian vortex beams in strongly nonlocal nonlinear medium. Chin. Phys. B 2021, 30, 024202. [Google Scholar] [CrossRef]
- Polimeno, P.; Magazzu, A.; Iati, M.; Patti, F.; Saija, R.; Boschi, C.; Donato, M.; Gucciardi, P.; Jones, P.; Volpe, G.; et al. Optical tweezers and their applications. J. Quant. Spectrosc. Radiat. Transf. 2018, 218, 131–150. [Google Scholar] [CrossRef]
- Willner, A.E.; Huang, H.; Yan, Y.; Ren, Y.; Ahmed, N.; Xie, G.; Bao, C.; Li, L.; Cao, Y.; Zhao, Z.; et al. Optical communications using orbital angular momentum beams. Adv. Opt. Photon. 2015, 7, 66–106. [Google Scholar] [CrossRef]
- Tamburini, F.; Anzolin, G.; Umbriaco, G.; Bianchini, A.; Barbieri, C. Overcoming the Rayleigh criterion limit with optical vortices. Phys. Rev. Lett. 2006, 97, 163903. [Google Scholar] [CrossRef]
- D’ambrosio, V.; Spagnolo, N.; Re, L.D.; Slussarenko, S.; Li, Y.; Kwek, L.C.; Marrucci, L.; Walborn, S.P.; Aolita, L.; Sciarrino, F. Photonic polarization gears for ultra-sensitive angular measurements. Nat. Commun. 2013, 4, 1–8. [Google Scholar] [CrossRef]
- Zhou, Z.; Zhu, L. STED microscopy based on axially symmetric polarized vortex beams. Chin. Phys. B 2016, 25, 030701. [Google Scholar] [CrossRef]
- Freund, I.; Shvartsman, N.; Freilikher, V. Optical dislocation networks in highly random media. Opt. Commun. 1993, 101, 247–264. [Google Scholar] [CrossRef]
- Roux, F.S. Coupling of noncanonical optical vortices. J. Opt. Soc. Am. B 2004, 21, 664–670. [Google Scholar] [CrossRef]
- Maji, S.; Brundavanam, M.M. Controlled noncanonical vortices from higher-order fractional screw dislocations. Opt. Lett. 2017, 42, 2322–2325. [Google Scholar] [CrossRef] [PubMed]
- Yin, C.; Kan, X.; Dai, H.; Shan, M.; Han, Q.; Cao, Z. Propagation dynamics of off-axis noncanonical vortices in a collimated Gaussian beam. Chin. Phys. B 2019, 28, 034205. [Google Scholar] [CrossRef]
- Pang, X.; Xiao, W.; Zhang, H.; Feng, C.; Zhao, X.Y. X-type vortex and its effect on beam shaping. J. Opt. 2021, 23, 125604. [Google Scholar] [CrossRef]
- Alonzo, C.A.; Rodrigo, P.J.; Glückstad, J. Helico-conical optical beams: A product of helical and conical phase fronts. Opt. Express 2005, 13, 1749–1760. [Google Scholar] [CrossRef] [PubMed]
- Zhang, Y.; Li, P.; Liu, S.; Han, L.; Cheng, H.; Zhao, J. Manipulating spin-dependent splitting of vector abruptly autofocusing beam by encoding cosine-azimuthal variant phases. Opt. Express 2016, 24, 28409–28418. [Google Scholar] [CrossRef] [PubMed]
- Ji, W.; Lee, C.H.; Chen, P.; Hu, W.; Ming, Y.; Zhang, L.; Lin, T.H.; Chigrinov, V.; Lu, Y.Q. Meta-q-plate for complex beam shaping. Sci. Rep. 2016, 6, 25528. [Google Scholar] [CrossRef] [PubMed]
- Pang, X.; Visser, T.D.; Wolf, E. Phase anomaly and phase singularities of the field in the focal region of high-numerical aperture systems. Opt. Commun. 2011, 284, 5517–5522. [Google Scholar] [CrossRef]
- Zhang, J.; Pang, X.; Ding, J. Wavefront spacing and Gouy phase in strongly focused fields: The role of polarization. J. Opt. Soc. Am. A 2017, 34, 1132–1138. [Google Scholar] [CrossRef]
- Padgett, M.J.; Allen, L. The Poynting vector in Laguerre-Gaussian laser modes. Opt. Commun. 1995, 121, 36–40. [Google Scholar] [CrossRef]
- Qiu, S.; Ren, Y.; Liu, T.; Liu, Z.; Wang, C.; Ding, Y.; Sha, Q.; Wu, H. Directly observing the skew angle of a Poynting vector in an OAM carrying beam via angular diffraction. Opt. Lett. 2021, 46, 3484–3487. [Google Scholar] [CrossRef] [PubMed]
- Toyoda, K.; Miyamoto, K.; Aoki, N.; Morita, R.; Omatsu, T. Using optical vortex to control the chirality of twisted metal nanostructures. Nano Lett. 2012, 12, 3645–3649. Available online: https://pubs.acs.org/doi/10.1021/nl301347j (accessed on 23 November 2022). [CrossRef] [PubMed]
- Syubaev, S.; Zhizhchenko, A.; Vitrik, O.; Porfirev, A.; Fomchenkov, S.; Khonina, S.; Kudryashov, S.; Kuchmizhak, A. Chirality of laser-printed plasmonic nanoneedles tunable by tailoring spiral-shape pulses. Appl. Surf. Sci. 2019, 470, 526–534. [Google Scholar] [CrossRef]















| Publisher’s Note: MDPI stays neutral with regard to jurisdictional claims in published maps and institutional affiliations. | 
© 2022 by the authors. Licensee MDPI, Basel, Switzerland. This article is an open access article distributed under the terms and conditions of the Creative Commons Attribution (CC BY) license (https://creativecommons.org/licenses/by/4.0/).
Share and Cite
Zhang, H.; Zhang, T.; Zhao, X.; Pang, X. Manipulation of Energy Flow with X-Type Vortex. Photonics 2022, 9, 998. https://doi.org/10.3390/photonics9120998
Zhang H, Zhang T, Zhao X, Pang X. Manipulation of Energy Flow with X-Type Vortex. Photonics. 2022; 9(12):998. https://doi.org/10.3390/photonics9120998
Chicago/Turabian StyleZhang, Han, Tianhu Zhang, Xinying Zhao, and Xiaoyan Pang. 2022. "Manipulation of Energy Flow with X-Type Vortex" Photonics 9, no. 12: 998. https://doi.org/10.3390/photonics9120998
APA StyleZhang, H., Zhang, T., Zhao, X., & Pang, X. (2022). Manipulation of Energy Flow with X-Type Vortex. Photonics, 9(12), 998. https://doi.org/10.3390/photonics9120998
 
        


