Next Article in Journal
A Hybrid Improved SAC-IA with a KD-ICP Algorithm for Local Point Cloud Alignment Optimization
Next Article in Special Issue
Model of the Effects of Femtosecond Laser Pulse Energy on the Effective Z-Position of the Resulting Cut after Laser-Induced Optical Breakdown
Previous Article in Journal
Demonstration of a Low-SWaP Terminal for Ground-to-Air Single-Mode Fiber Coupled Laser Links
Previous Article in Special Issue
A Comprehensive Study on Elasticity and Viscosity in Biomechanics and Optical Properties of the Living Human Cornea
 
 
Font Type:
Arial Georgia Verdana
Font Size:
Aa Aa Aa
Line Spacing:
Column Width:
Background:
Article

Repeatability of Subjective Refraction in Different Age Groups

Ocupharm Research Group, Department of Optometry and Vision, Faculty of Optics and Optometry, Complutense University of Madrid, C/Arcos de Jalón 118, 28037 Madrid, Spain
*
Author to whom correspondence should be addressed.
Photonics 2024, 11(7), 634; https://doi.org/10.3390/photonics11070634
Submission received: 30 May 2024 / Revised: 20 June 2024 / Accepted: 26 June 2024 / Published: 2 July 2024
(This article belongs to the Special Issue Visual Optics)

Abstract

Background: The purpose of this study was to assess the inter-examiner repeatability of subjective refraction across diverse age cohorts, an aspect not previously investigated. Methods: A cross-sectional, randomized study enrolled 86 participants (mean age: 37.0 ± 18.0 years), distributed into three groups: youth, non-presbyopic adults, and presbyopic adults. Each participant underwent three subjective refractions by three different optometrists on separate days. Repeatability analysis encompassed all refractive variables (M, J0, and J45). Results: There were no significant differences between optometrists in all refractive variables for either the overall sample or across age groups (p ≥ 0.05). Additionally, no correlation was found between participants’ age and the mean difference in refractive variables across optometrists (p ≥ 0.05). The 95% confidence interval of repeatability (r) for the total sample was ±0.70 D for M, ±0.29 for J0, and ±0.21 D for J45. Conclusions: Based on these findings and previous research, it is suggested to establish 95% limits of agreement of ±0.75 D for M, and between ±0.25 D and ±0.50 D for both J0 and J45 when validating new refraction systems compared to subjective refraction as the gold standard, regardless of the age of the subjects evaluated.

1. Introduction

The measurement of subjective refraction is arguably the most important and frequently performed procedure in clinical optometric practice. It is considered the gold standard method for determining refractive errors of the eye, as it accounts for both the optical aspects of vision and its neurophysiological processing [1]. Objective refraction, whether by retinoscopy or autorefraction, serves as an initial reference point from which subjective refraction begins. Due to technological advancements in optics and automation, new systems for measuring ocular refraction are continually being introduced to the market. These systems, which employ a wide variety of optical principles and commercial formats, include autorefractors and new instruments for automated subjective refraction [2,3,4,5].
With the emergence of these new refraction systems, clinical validation of their efficacy is necessary. It is achieved by evaluating their degree of agreement (accuracy and precision) with subjective refraction performed by an optometrist, which is considered the gold standard method [6,7,8]. The accuracy or bias of a refraction system is determined by the mean difference compared to subjective refraction. Precision, typically expressed through the 95% limits of agreement (95% LoA), represents a measure of the variability of the mean differences between the two refraction methods (subjective refraction and the one being evaluated) [9].
The scientific literature generally reports that the different commercially available instruments exhibit high accuracy compared to subjective refraction, but their precision tends to show more variability depending on the methodology used in each study, especially for the spherical equivalent [2,3,4,5,6,7,8]. The results of some authors originally suggested that, for an instrument to be considered precise, the 95% LoA for the spherical equivalent should be ±0.50 D or lower [10,11]. However, this assertion is not fully supported by scientific evidence. When considering inter-examiner repeatability of subjective refraction as a reference for establishing these expected 95% LoA, blinded studies support that 95% LoA of ±0.75 D for the spherical equivalent are more realistic than ±0.50 D [12,13].
In this context, the aim of the current study was to evaluate the inter-examiner repeatability of subjective refraction performed by three different optometrists across various age groups (youth, non-presbyopic adults, and presbyopic adults). The results of this study would help establish reference precision values when validating new refraction systems compared with subjective refraction. Additionally, the study aims to determine if inter-examiner repeatability depends on the age of the subjects evaluated, a novel aspect that has not been previously studied.

2. Materials and Methods

2.1. Study Design

A cross-sectional, randomized study was conducted in accordance with good clinical practice guidelines, institutional review board regulations, and the Declaration of Helsinki. The study protocol was approved by the research ethics committee of Hospital Clínico San Carlos (protocol code 18/485_R_P; Madrid, Spain). All procedures were carried out at the University Clinic of Optometry at the Complutense University of Madrid. Participants were included in the study voluntarily after providing written informed consent, which explained all the procedures involved.
Each participant underwent three subjective refractions performed by three different optometrists. These refractions were conducted on three separate days, in a random order, within a maximum period of two weeks based on participant availability. To prevent bias, the optometrists were blinded to the results obtained by the others.

2.2. Participants

Eighty-six participants (37.0 ± 18.0 years) out of a total of one hundred and nine evaluated were included in the study. One eye from each participant was randomly selected (by coin toss) for statistical analysis. The 86 participants were further divided into three different age groups (youth, non-presbyopic adults, and presbyopic adults), whose demographic characteristics are detailed in Table 1.
Inclusion criteria were age between 8 and 69 years, a spherical equivalent of ±10.00 D, and understanding and signing the informed consent (by legal guardians in the case of participants under 18 years). Exclusion criteria were a clinical history of amblyopia, strabismus, or other visual dysfunction affecting binocularity; the presence of any ocular disease, surgery or trauma; and the use of systemic or ocular drugs that could affect vergence or accommodation.

2.3. Subjective Refraction Procedure

The subjective refractions were conducted by three different optometrists, each with more than 10 years of experience. All the refractions were performed in the same laboratory under photopic conditions, using a trial frame and a VX22 digital screen (Visionix; Chartres, France). The optometrists began all the refractions with retinoscopy. Starting from the retinoscopy value as a reference, the maximum positive (or minimum negative) sphere to achieve maximum visual acuity was determined using the fogging technique. Next, the cylinder was adjusted using the astigmatism chart numbered from 1 to 12 (clockwise, in steps of 30°), followed by the ±0.50 D Jackson cross-cylinder to obtain the final axis and cylinder. Finally, the maximum positive sphere was adjusted again. The right eye was evaluated first, followed by the left eye. Once the procedure was completed for both eyes, binocular balance was performed by prism dissociation, and the maximum positive sphere to achieve maximum visual acuity was adjusted binocularly.

2.4. Refractive Variables Analysis

The refractive results were analyzed in terms of spherical equivalent (M) and both vertical and oblique cylindrical components (J0 and J45), according to the method proposed by Thibos et al. [14]:
M = (sphere + cylinder)/2
J0 = −(cylinder/2) × cos (2 × axis)
J45 = −(cylinder/2) × sin (2 × axis)
where enantiomorphism associated with J45 was corrected by changing the sign for the left eye.

2.5. Visual Acuity Measurement

Corrected distance visual acuity (CDVA) was measured monocularly after completing the refraction procedure with a trial frame, using the high-contrast (100%) Early Treatment Diabetic Retinopathy Study (ETDRS) test on the VX22 digital screen.

2.6. Statistical Analysis

Sample size calculation was performed with the statistical software Granmo 7.12 (Institut Municipal d’Investigació Mèdica; Barcelona, Spain), considering the spherical equivalent (M) as the main variable. An alpha risk of 0.05 and a beta risk of 0.2 in a two-sided test were established. Sixteen participants per group were necessary to recognize as statistically significant a minimum difference of 0.25 D between optometrists, which represents the minimum difference that can be measured in the clinic. The common standard deviation was assumed to be 0.35 D based on a pilot study performed on the first 10 participants in the study, these data being consistent with those already published in the scientific literature as a reference [12,13].
Statistical analysis was performed using SPSS Statistics 23 (IBM; Chicago, IL, USA). The inter-examiner repeatability analysis considered the following variables: repeatability (Sr) and its 95% confidence interval (r), the mean difference between optometrists (bias) and its 95% limits of agreement (95% LoA), as well as the intraclass correlation coefficient (ICC). Sr is mathematically defined as the square root of the mean square within-subject standard deviation. r is mathematically defined as 2.77 × Sr and represents the limit value within which 95% of differences between optometrists should lie [15]. The ICC represents the degree of agreement between the three repeated measurements by the optometrists and was calculated using a one-way random effects model for single measurements according to the McGraw and Wong convention [16].
Bland–Altman analyses were conducted to assess the agreement (bias and precision) between the different optometrists. In this analysis, precision (95% LoA) was mathematically defined as 1.96 × the standard deviation of the mean difference between two optometrists (bias). Additionally, the Spearman correlation coefficient between the age of participants and the mean difference between optometrists was calculated.
For regression analysis, the normality of the distributions was assessed using the Shapiro–Wilk test, which indicated non-normality for all analyzed variables. Consequently, the Friedman test was selected for repeated measures multiple comparisons between the three optometrists, while Tukey’s range test was applied for pairwise comparisons between optometrists. A statistical significance level of 95% (p < 0.05) was established for all tests.
It should be noted that the 95% confidence interval for repeatability (r), considered the main variable, represents the mean of the three 95% LoA obtained from the differences between “optometrist 1 vs. optometrist 2”, “optometrist 2 vs. optometrist 3”, and “optometrist 1 vs. optometrist 3”.

3. Results

Table 2 summarizes the measured values for all variables by the three optometrists and their intersession repeatability outcomes. The results of the intraclass correlation analysis are presented in Table 3, while mean differences between optometrists and their statistical comparisons are outlined in Table 4.
Regarding the refractive variables (M, J0, and J45), there were no statistically significant differences between the optometrists for either the total sample or across different age groups (p ≥ 0.05). Nevertheless, it is notable that the repeatability of the spherical equivalent (M) was slightly better in presbyopic adults (r = 0.64 D) compared to non-presbyopic adults (r = 0.74 D) and youth (r = 0.73 D). Additionally, the repeatability of the oblique component of astigmatism (J45) was better in youth (r = 0.12 D) compared to both non-presbyopic adults (r = 0.20 D) and presbyopic adults (r = 0.25 D). Yet, these findings were not consistent with the intraclass correlation analysis, which indicated a lower ICC for J45 in the youth group (ICC = 0.384) compared to non-presbyopic adults (ICC = 0.913) and presbyopic adults (ICC = 0.889).
The variable that showed statistically significant differences between optometrists was corrected distance visual acuity (CDVA). Specifically, the repeated measures analysis using the Friedman test revealed significant differences for the total sample (p < 0.001) and both adult groups, non-presbyopes (p < 0.001) and presbyopes (p = 0.043). The pairwise comparison with Tukey’s range test indicated that, for non-presbyopic adults, these differences were primarily associated with measurements from optometrists 1 and 3, which exhibited a bias ±95% LoA of −0.05 ± 0.16 logMAR (p = 0.019). The absence of differences between optometrists in youth (p ≥ 0.05) also translated into higher repeatability in this group (r = 0.12 logMAR) compared to non-presbyopic adults (r = 0.18 logMAR) and presbyopic adults (r = 0.20 logMAR).
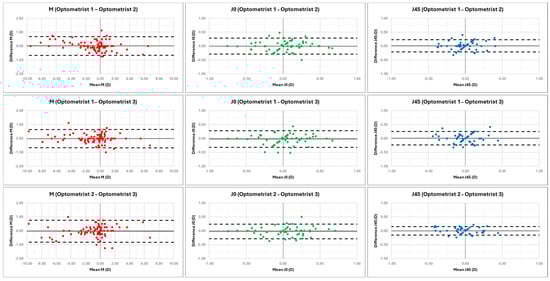
On the other hand, Figure 1 shows the Bland–Altman plots assessing the individual differences between optometrists for the refractive variables (M, J0, and J45) in the total sample. The 95% limits of agreement (95% LoA) for the spherical equivalent (M) were consistent across the comparisons between “optometrist 1 vs. optometrist 2” and “optometrist 1 vs. optometrist 3” (95% LoA = 0.66 D for both). However, the 95% LoA was relatively higher between “optometrist 2 vs. optometrist 3” (95% LoA = 0.79 D). The mean of these three 95% LoA values represents the 95% confidence interval (r) of the repeatability, as summarized in Table 2 (r = 0.70 D). Conversely, the 95% LoA of the cylindrical components (J0 and J45) between “optometrist 2 vs. optometrist 3” were lower than those between “optometrist 1 vs. optometrist 2” and “optometrist 1 vs. optometrist 3”.
Finally, Figure 2 presents the scatter plots and the linear correlations between the age of participants and the mean difference between the different optometrists for the refractive variables (M, J0, and J45). The analysis of Spearman’s correlation coefficients did not show any statistically significant correlation between these parameters (p ≥ 0.05).

4. Discussion

To the best of our knowledge, this was the first study to evaluate the repeatability of subjective refraction based on the age of the participants. From a clinical perspective, the results of this study would provide a reference for the differences that can be expected as normal between the refractive prescriptions performed by different optometrists. The interest in evaluating different age groups arises from the fact that the accommodation process, which diminishes with age, can lead to spasms and fluctuations of the ciliary muscle. Both spasms and fluctuations are sources of error in refraction procedures, primarily resulting in overestimation of myopia or underestimation of hyperopia [17]. On the other hand, it is established that the difference found in subjective refraction between optometrists is the one that should be tolerated when comparing the automated refraction obtained by new instruments appearing on the market with that obtained by an optometrist through the subjective procedure as the gold standard. In this regard, no significant differences were found among the three optometrists across the different age groups for the different refractive variables analyzed (M, J0, and J45). However, some disparities were noted regarding the 95% limits of agreement (95% LoA), which are discussed below.
For the spherical equivalent (M), the 95% confidence interval for repeatability (r), which represents the mean of the three 95% LoA obtained from the differences between optometrists, was slightly better in presbyopic adults compared to youth and non-presbyopic adults (see Table 2). This could be due to the fact that both youth and non-presbyopic adults retain accommodative function, which has been shown to be a source of error in refraction procedures [18]. Nevertheless, the idea that the loss of accommodation leads to better inter-examiner repeatability of M should not be generalized, as the comparison between optometrists 1 and 3 showed contradictory results, with the 95% LoA for youth and presbyopic adults being similar (see Table 4). Furthermore, the lack of correlation between participants’ age and the differences in M between optometrists supports the notion that repeatability of M does not depend on age (see Figure 2), nor on the type of refractive error, as evidenced by the Bland–Altman plots (see Figure 1).
As mentioned earlier, no studies were found in the scientific literature analyzing the influence of the age of the subjects on the repeatability of subjective refraction. There are, however, a couple of blinded studies from the 1990s that analyzed the inter-examiner repeatability of M between two optometrists in a general population. Zadnik et al. [12] reported 95% LoA of ±0.63 D for a total of 40 non-presbyopic adults, which are slightly better than the values of the current study for the same age group (r = 0.74 D). Bullimore et al. [13] analyzed 86 subjects aged 11 to 60 years and found 95% LoA of ±0.78 D, worse than those found in the total sample of our study (r = 0.70 D). Based on the results from these authors and the current study, it could be inferred that the 95% LoA for M expected between optometrists would be around ±0.75 D, regardless of age, rather than the ±0.50 D previously proposed by older studies without a masking protocol [10,11]. Therefore, if ±0.75 D is the expected 95% LoA between optometrists, this value could also be established as a reference when validating new refraction systems compared with subjective refraction as the gold standard.
Other authors also investigated the repeatability of M measured by a single optometrist across different sessions. In non-presbyopic adults, Rosenfield and Chu [19] found 95% LoA of ±0.27 D when evaluating 12 subjects in 5 different sessions, while Raasch et al. [20] reported values of ±0.51 D after measuring 40 subjects in 2 sessions. These studies demonstrated that the repeatability of M measured by a single optometrist (intra-examiner) would be better than that between different optometrists (inter-examiner). Nevertheless, it should be noted that intra-examiner measurements present some biases that would make using their 95% LoA as a reference for validating new refraction systems questionable. Among these biases is the inability to mask the results from the examiner, as well as the fact that repeatability could improve with an increasing number of measurement sessions, as hypothesized from the results of the two aforementioned studies [19,20].
Concerning astigmatism, the 95% confidence interval values (r) for J0 and J45 seemed to indicate better repeatability in both youth and non-presbyopic adults compared to presbyopic adults (see Table 2). However, there is a significant limitation in analyzing these results segmented by age groups, as the sample had relatively low astigmatism values (the average cylinder was −0.38 ± 0.42 D, with a maximum value of −1.50 D). For example, in the smallest group, which was the youth, only 7 out of 17 participants were prescribed at least −0.25 D of cylinder by any of the three optometrists, which would also explain the anomalous ICC values described in this group for J45 (see Table 3). Thus, the analysis of repeatability based on age could be limited to the lack of correlation between participants’ age and the differences in J0 and J45 between optometrists (see Figure 2), as was the case with M.
If the total sample of this study is considered, it can be observed that the 95% LoA for J0 and J45 are close to ±0.25 D, being slightly worse for J0 (±0.29 D) compared to J45 (±0.21 D). In the only study that previously measured the inter-examiner repeatability of J0 and J45, Bullimore et al. [13] reported 95% LoA of ±0.38 D and ±0.31 D for J0 and J45, respectively. Although the number of participants and their ages were similar to those in our study, it should be noted that the astigmatism values were higher in their study, with cylinders reaching up to -4.00 D. Regarding the 95% LoA for J0 and J45 that would be expected to validate a new refraction system compared to subjective refraction, the inter-examiner repeatability results from both studies could suggest acceptable values between ±0.25 D and ±0.50 D. On the other hand, the only study that evaluated the intra-examiner repeatability of J0 and J45, conducted by Raasch et al. [20], found values of ±0.23 D and ±0.16 D for the 95% LoA of J0 and J45, respectively.
In relation to the corrected distance visual acuity (CDVA), although it was a secondary variable in this study, significant differences were observed among the optometrists, with variations of up to half a line of visual acuity (0.05 logMAR) between optometrists 1 and 3 for non-presbyopic adults (see Table 4). The repeatability results of the current study were worse than those originally published in the scientific literature in the latter half of the twentieth century using the ETDRS test [21]. Nevertheless, it should be noted that we measured visual acuity using a VX22 digital screen (Visionix; Chartres, France), with the inter-examiner repeatability results reported for the first time.
It is now necessary to point out the shortcomings of this study. One of the main limitations was the disparity in the sample sizes of the age groups, with fewer participants in the youth group compared to both adult groups. This limitation especially hindered the analysis of the repeatability of cylindrical components (J0 and J45) based on age. A larger overall sample would have also allowed for the analysis of a wider variety of refractive errors, thus the expected values for the 95% LoA proposed here are subject to future revision. Another limitation of the cohorts was the disparity in the gender of the participants, with a higher number of women than men and unequal percentages in each of the age groups analyzed. However, there seems to be no consensus in the scientific literature regarding whether accommodative function, the main factor affecting the measurement of refraction, or the prevalence of presbyopia differs between genders [22,23]. Furthermore, it should be noted that the refraction was performed by three different optometrists using a similar protocol, despite the minor variations that may arise with each patient due to the subjective nature of the procedure. This implies that the study does not reflect the repeatability that many other subjective procedures used in clinical practice may exhibit based on the individual preference of each optometrist [1]. Lastly, it remains unknown how the use of cycloplegic agents would affect the repeatability of subjective refraction [18], even though their use is not widespread globally due to limitations in some countries regarding the prescription rights of optometrists, as is the case in Spain, where the study was conducted.

5. Conclusions

This study found no significant differences among optometrists for the measured refractive variables (M, J0, and J45) and no link between the repeatability of these measurements and participants’ age. Furthermore, based on the results of the current study and previous research, it is suggested to establish 95% LoA of ±0.75 D for M, and between ±0.25 D and ±0.50 D for both J0 and J45 when validating new refraction systems against subjective refraction as the gold standard, regardless of the age of the subjects evaluated.

Supplementary Materials

The following supporting information can be downloaded at: https://www.mdpi.com/article/10.3390/photonics11070634/s1.

Author Contributions

Conceptualization, G.C.; methodology, G.C. and C.C.-T.; investigation, C.C.-T., L.B. and M.S.; resources, G.C.; writing—original draft preparation, C.C.-T.; writing—review and editing, L.B., M.S. and G.C.; supervision, G.C.; project administration, G.C. All authors have read and agreed to the published version of the manuscript.

Funding

This research received no external funding.

Institutional Review Board Statement

The good clinical practice guidelines, the institutional review board regulations, and the Declaration of Helsinki were followed. The study protocol was approved by the research ethics committee of Hospital Clínico San Carlos (protocol code 18/458_R_P; Madrid, Spain). Date of ethical approval: 19 October 2018.

Informed Consent Statement

Informed consent was obtained from all subjects involved in the study.

Data Availability Statement

The original contributions presented in the study are included in the Supplementary Material; further inquiries can be directed to the corresponding author.

Conflicts of Interest

The authors declare no conflicts of interest.

References

  1. Elliott, D.B. What is the appropriate gold standard test for refractive error? Ophthalmic Physiol. Opt 2017, 37, 115–117. [Google Scholar] [CrossRef]
  2. Otero, C.; Aldaba, M.; Pujol, J. Clinical evaluation of an automated subjective refraction method implemented in a computer-controlled motorized phoropter. J. Optom. 2019, 12, 74–83. [Google Scholar] [CrossRef]
  3. Padhy, D.; Bharadwaj, S.R.; Nayak, S.; Rath, S.; Das, T. Does the Accuracy and Repeatability of Refractive Error Estimates Depend on the Measurement Principle of Autorefractors? Transl. Vis. Sci. Technol. 2021, 10, 2. [Google Scholar] [CrossRef]
  4. Carracedo, G.; Carpena-Torres, C.; Serramito, M.; Batres-Valderas, L.; Gonzalez-Bergaz, A. Comparison Between Aberrometry-Based Binocular Refraction and Subjective Refraction. Transl. Vis. Sci. Technol. 2018, 7, 11. [Google Scholar] [CrossRef]
  5. Hernández, C.S.; Gil, A.; Casares, I.; Poderoso, J.; Wehse, A.; Dave, S.R.; Lim, D.; Sánchez-Montañés, M.; Lage, E. Prediction of manifest refraction using machine learning ensemble models on wavefront aberrometry data. J. Optom. 2022, 15 (Suppl. S1), S22–S31. [Google Scholar] [CrossRef]
  6. Venkataraman, A.P.; Brautaset, R.; Domínguez-Vicent, A. Effect of six different autorefractor designs on the precision and accuracy of refractive error measurement. PLoS ONE 2022, 17, e0278269. [Google Scholar] [CrossRef]
  7. Carracedo, G.; Carpena-Torres, C.; Pastrana, C.; Rodríguez-Lafora, M.; Serramito, M.; Privado-Aroco, A.; Espinosa-Vidal, T.M. Accuracy and precision of automated subjective refraction in young hyperopes under cycloplegia. J. Optom. 2023, 16, 252–260. [Google Scholar] [CrossRef]
  8. Hernández, C.S.; Gil, A.; Zaytouny, A.; Casares, I.; Poderoso, J.; de Lara, A.; Wehse, A.; Dave, S.R.; Lim, D.; Lage, E.; et al. Ametropia detection using a novel, compact wavefront autorefractor. Ophthalmic Physiol. Opt. 2024, 44, 311–320. [Google Scholar] [CrossRef]
  9. Bland, J.M.; Altman, D.G. Measuring agreement in method comparison studies. Stat. Methods Med. Res. 1999, 8, 135–160. [Google Scholar] [CrossRef]
  10. Perrigin, J.; Perrigin, D.; Grosvenor, T. A comparison of clinical refractive data obtained by three examiners. Optom. Vis. Sci. 1982, 59, 515–519. [Google Scholar] [CrossRef]
  11. Goss, D.A.; Grosvenor, T. Reliability of refraction—A literature review. J. Am. Optom. Assoc. 1996, 67, 619–630. [Google Scholar]
  12. Zadnik, K.; Mutti, D.O.; Adams, A.J. The repeatability of measurement of the ocular components. Investig. Ophthalmol. Vis. Sci. 1992, 33, 2325–2333. [Google Scholar]
  13. Bullimore, M.A.; Fusaro, R.E.; Adams, C.W. The repeatability of automated and clinician refraction. Optom. Vis. Sci. 1998, 75, 617–622. [Google Scholar] [CrossRef]
  14. Thibos, L.N.; Wheeler, W.; Horner, D. Power vectors: An application of Fourier analysis to the description and statistical analysis of refractive error. Optom. Vis. Sci. 1997, 74, 367–375. [Google Scholar] [CrossRef]
  15. McAlinden, C.; Khadka, J.; Pesudovs, K. Precision (repeatability and reproducibility) studies and sample-size calculation. J. Cataract. Refract. Surg. 2015, 41, 2598–2604. [Google Scholar] [CrossRef]
  16. McGraw, K.O.; Wong, S.P. Forming interferences about some intraclass correlation coefficients. Psychol. Methods 1996, 1, 30–46. [Google Scholar] [CrossRef]
  17. Wilson, S.; Ctori, I.; Shah, R.; Suttle, C.; Conway, M.L. Systematic review and meta-analysis on the agreement of non-cycloplegic and cycloplegic refraction in children. Ophthalmic Physiol. Opt. 2022, 42, 1276–1288. [Google Scholar] [CrossRef]
  18. Yazdani, N.; Sadeghi, R.; Momeni-Moghaddam, H.; Zarifmahmoudi, L.; Ehsaei, A. Comparison of cyclopentolate versus tropicamide cycloplegia: A systematic review and meta-analysis. J. Optom. 2018, 11, 135–143. [Google Scholar] [CrossRef]
  19. Rosenfield, M.; Chiu, N.N. Repeatability of subjective and objective refraction. Optom. Vis. Sci. 1995, 72, 577–579. [Google Scholar] [CrossRef]
  20. Raasch, T.W.; Schechtman, K.B.; Davis, L.J.; Zadnik, K. Repeatability of subjective refraction in myopic and keratoconic subjects: Results of vector analysis. Ophthalmic Physiol. Opt. 2001, 21, 376–383. [Google Scholar] [CrossRef]
  21. Raasch, T.W.; Bailey, I.L.; Bullimore, M.A. Repeatability of visual acuity measurement. Optom. Vis. Sci. 1998, 75, 342–348. [Google Scholar] [CrossRef] [PubMed]
  22. GBD 2019 Blindness and Vision Impairment Collaborators; on behalf of the Vision Loss Expert Group of the Global Burden of Disease Study. Trends in prevalence of blindness and distance and near vision impairment over 30 years: An analysis for the Global Burden of Disease Study. Lancet Glob. Health 2021, 9, e130–e143. [Google Scholar] [CrossRef] [PubMed]
  23. Bourne, R.R.A.; Cicinelli, M.V.; Sedighi, T.; Tapply, I.H.; McCormick, I.; Jonas, J.B.; Congdon, N.G.; Ramke, J.; Naidoo, K.S.; Fricke, T.R.; et al. Effective refractive error coverage in adults aged 50 years and older: Estimates from population-based surveys in 61 countries. Lancet Glob. Health 2022, 10, e1754–e1763. [Google Scholar] [CrossRef] [PubMed]
Figure 1. Bland–Altman plots of the total sample in terms of spherical equivalent (M; (left column, red)), vertical cylindrical component (J0; (middle column, green)), and oblique cylindrical component (J45; (right column, blue)) to assess agreement between the three different optometrists. The middle line represents the mean difference between optometrists (bias). The two dotted lines indicate the 95% limits of agreement (precision), which represent the boundary within which 95% of the differences between optometrists are expected to lie.
Figure 1. Bland–Altman plots of the total sample in terms of spherical equivalent (M; (left column, red)), vertical cylindrical component (J0; (middle column, green)), and oblique cylindrical component (J45; (right column, blue)) to assess agreement between the three different optometrists. The middle line represents the mean difference between optometrists (bias). The two dotted lines indicate the 95% limits of agreement (precision), which represent the boundary within which 95% of the differences between optometrists are expected to lie.
Photonics 11 00634 g001
Figure 2. Scatter plots and linear correlations between the age of participants and the mean difference between the optometrists for spherical equivalent (M) and cylindrical components (J0 and J45). The analysis of Spearman’s correlation coefficients (ρ) did not show any statistically significant correlation between these parameters (p ≥ 0.05).
Figure 2. Scatter plots and linear correlations between the age of participants and the mean difference between the optometrists for spherical equivalent (M) and cylindrical components (J0 and J45). The analysis of Spearman’s correlation coefficients (ρ) did not show any statistically significant correlation between these parameters (p ≥ 0.05).
Photonics 11 00634 g002
Table 1. Demographic characteristics of the participants in the study.
Table 1. Demographic characteristics of the participants in the study.
GroupsSample (n)Mean Age (Years)Age Range (Years)Gender (f/m)
Total8637.0 ± 18.08–6957/29
Youth1712.2 ± 4.08–1810/7
Non-presbyopic adults3831.5 ± 6.922–4328/10
Presbyopic adults3157.3 ± 6.546–6919/12
Table 2. Inter-examiner repeatability in terms of repeatability (Sr) and its 95% confidence interval (r) for spherical equivalent (M), cylindrical vectors (J0 and J45), and corrected distance visual acuity (CDVA).
Table 2. Inter-examiner repeatability in terms of repeatability (Sr) and its 95% confidence interval (r) for spherical equivalent (M), cylindrical vectors (J0 and J45), and corrected distance visual acuity (CDVA).
VariableGroupMean ± SDRepeatability
(Sr)
95% Confidence Interval (r)
Optometrist 1Optometrist 2Optometrist 3
M (D)Total−0.86 ± 2.56−0.88 ± 2.66−0.86 ± 2.620.250.70
Youth−0.27 ± 1.41−0.24 ± 1.58−0.21 ± 1.440.260.73
Non-presbyopes−2.07 ± 2.80−2.19 ± 2.87−2.10 ± 2.870.270.74
Presbyopes0.31 ± 2.080.37 ± 2.130.32 ± 2.140.230.64
J0 (D)Total0.02 ± 0.250.02 ± 0.240.04 ± 0.230.100.29
Youth0.00 ± 0.150.04 ± 0.180.01 ± 0.130.100.28
Non-presbyopes0.07 ± 0.210.08 ± 0.200.12 ± 0.210.090.26
Presbyopes−0.02 ± 0.33−0.05 ± 0.30−0.03 ± 0.280.110.32
J45 (D)Total0.00 ± 0.15−0.01 ± 0.14−0.01 ± 0.150.080.21
Youth0.02 ± 0.060.00 ± 0.06−0.01 ± 0.020.040.12
Non-presbyopes−0.01 ± 0.15−0.01 ± 0.150.00 ± 0.160.070.20
Presbyopes−0.01 ± 0.18−0.02 ± 0.15−0.03 ± 0.180.090.25
CDVA
(logMAR)
Total−0.15 ± 0.09−0.13 ± 0.08−0.12 ± 0.090.060.18
Youth−0.13 ± 0.05−0.10 ± 0.05−0.12 ± 0.070.040.12
Non-presbyopes−0.18 ± 0.09−0.15 ± 0.07−0.13 ± 0.090.060.18
Presbyopes−0.13 ± 0.09−0.11 ± 0.08−0.12 ± 0.110.070.20
The groups of non-presbyopes and presbyopes refer to adult participants.
Table 3. Intraclass correlation coefficient (ICC) and its 95% confidence interval for spherical equivalent (M), cylindrical vectors (J0 and J45), and corrected distance visual acuity (CDVA).
Table 3. Intraclass correlation coefficient (ICC) and its 95% confidence interval for spherical equivalent (M), cylindrical vectors (J0 and J45), and corrected distance visual acuity (CDVA).
GroupsIntraclass Correlation Coefficient [95% Confidence Interval]
MJ0J45CDVA
Total0.997 [0.995, 0.998]0.930 [0.900, 0.952]0.893 [0.847, 0.927]0.734 [0.619, 0.818]
Youth0.986 [0.976, 0.996]0.811 [0.581, 0.926]0.384 [−0.367, 0.758]0.762 [0.472, 0.906]
Non-presbyopic adults0.997 [0.995, 0.998]0.912 [0.850, 0.951]0.913 [0.852, 0.952]0.703 [0.493, 0.835]
Presbyopic adults0.996 [0.993, 0.998]0.949 [0.907, 0.974]0.889 [0.800, 0.943]0.733 [0.517, 0.862]
Table 4. Mean difference between the optometrists (bias) and its 95% limits of agreement (95% LoA) for spherical equivalent (M), cylindrical vectors (J0 and J45), and corrected distance visual acuity (CDVA).
Table 4. Mean difference between the optometrists (bias) and its 95% limits of agreement (95% LoA) for spherical equivalent (M), cylindrical vectors (J0 and J45), and corrected distance visual acuity (CDVA).
VariableGroup Optometrist 1–Optometrist 2Optometrist 1–Optometrist 3Optometrist 2–Optometrist 3p-Value
M (D)TotalBias ± 95% LoA0.02 ± 0.660.00 ± 0.66−0.02 ± 0.790.866
p-Value0.998>0.9990.998
YouthBias ± 95% LoA−0.03 ± 0.78−0.06 ± 0.57−0.03 ± 0.860.721
p-Value0.9980.9930.998
Non−presbyopesBias ± 95% LoA0.11 ± 0.650.03 ± 0.74−0.09 ± 0.800.281
p-Value0.9830.9990.991
PresbyopesBias ± 95% LoA−0.06 ± 0.57−0.01 ± 0.590.06 ± 0.740.151
p-Value0.992>0.9990.994
J0 (D)TotalBias ± 95% LoA0.00 ± 0.29−0.02 ± 0.31−0.02 ± 0.250.915
p-Value>0.9990.8620.873
YouthBias ± 95% LoA−0.04 ± 0.33−0.01 ± 0.200.03 ± 0.310.531
p-Value0.7560.9890.835
Non−presbyopesBias ± 95% LoA−0.01 ± 0.25−0.05 ± 0.29−0.04 ± 0.240.454
p-Value0.9850.5820.684
PresbyopesBias ± 95% LoA0.03 ± 0.310.01 ± 0.35−0.02 ± 0.270.855
p-Value0.9300.9940.964
J45 (D)TotalBias ± 95% LoA0.01 ± 0.220.01 ± 0.240.00 ± 0.160.868
p-Value0.9550.949>0.999
YouthBias ± 95% LoA0.02 ± 0.140.03 ± 0.120.01 ± 0.120.101
p-Value0.5940.3230.885
Non−presbyopesBias ± 95% LoA−0.01 ± 0.24−0.02 ± 0.24−0.01 ± 0.120.679
p-Value0.9780.9010.971
PresbyopesBias ± 95% LoA0.02 ± 0.250.02 ± 0.290.01 ± 0.200.711
p-Value0.9180.8470.987
CDVA
(logMAR)
TotalBias ± 95% LoA−0.03 ± 0.18−0.03 ± 0.180.00 ± 0.14<0.001 *
p-Value0.0690.0570.996
YouthBias ± 95% LoA−0.03 ± 0.10−0.01 ± 0.120.02 ± 0.100.281
p-Value0.3520.8550.668
Non−presbyopesBias ± 95% LoA−0.03 ± 0.16−0.05 ± 0.16−0.02 ± 0.16<0.001 *
p-Value0.2400.019 β0.498
PresbyopesBias ± 95% LoA−0.03 ± 0.22−0.01 ± 0.220.01 ± 0.140.043 *
p-Value0.5150.8660.825
The groups of non-presbyopes and presbyopes refer to adult participants. The statistical comparison was performed between optometrists. * p < 0.05, Friedman test (multiple comparison). β p < 0.05, Tukey’s range test (pairwise comparison).
Disclaimer/Publisher’s Note: The statements, opinions and data contained in all publications are solely those of the individual author(s) and contributor(s) and not of MDPI and/or the editor(s). MDPI and/or the editor(s) disclaim responsibility for any injury to people or property resulting from any ideas, methods, instructions or products referred to in the content.

Share and Cite

MDPI and ACS Style

Carpena-Torres, C.; Batres, L.; Serramito, M.; Carracedo, G. Repeatability of Subjective Refraction in Different Age Groups. Photonics 2024, 11, 634. https://doi.org/10.3390/photonics11070634

AMA Style

Carpena-Torres C, Batres L, Serramito M, Carracedo G. Repeatability of Subjective Refraction in Different Age Groups. Photonics. 2024; 11(7):634. https://doi.org/10.3390/photonics11070634

Chicago/Turabian Style

Carpena-Torres, Carlos, Laura Batres, María Serramito, and Gonzalo Carracedo. 2024. "Repeatability of Subjective Refraction in Different Age Groups" Photonics 11, no. 7: 634. https://doi.org/10.3390/photonics11070634

APA Style

Carpena-Torres, C., Batres, L., Serramito, M., & Carracedo, G. (2024). Repeatability of Subjective Refraction in Different Age Groups. Photonics, 11(7), 634. https://doi.org/10.3390/photonics11070634

Note that from the first issue of 2016, this journal uses article numbers instead of page numbers. See further details here.

Article Metrics

Back to TopTop