Abstract
In this work, the InGaAs/InAlAs multi-gain-stage APD model is established. The gain and the noise performance of multi-gain-stage APDs are analyzed based on DSMT. By studying the influence of different doping concentrations of the dropping layer and the charge layer on the gain and noise characteristics of the device, the photocurrent, dark current, noise, and gain characteristics of the device are analyzed, and the device structure is optimized. The results show that the maximum gain of the three-gain-stage APD is 416, and the noise factor is 3.5 when the gain is 100. The five-gain-stage APD has a maximum gain of 450 and a noise factor of 4.5 when the gain is 100. The maximum gain of the 10-gain-stage APD can reach more than 850, and the noise factor reaches 6.5 when the gain is 100.
1. Introduction
The InGaAs avalanche photodiode (APD) plays a very important role in short-wave detection [1]. Compared with other single-photon detectors in the SWIR range (such as the photomultiplier tube), the InGaAs single-photon avalanche diode has significant advantages such as high performance, high reliability, high sensitivity, and high photoelectric gain [2,3], enabling it to detect extremely low-intensity light or even single photons, and providing superior photoelectric detection performance. Both InGaAs and APDs have attracted considerable attention [4,5]. However, in linear mode, the traditional single-stage multiplication APD cannot reduce excess noise while increasing the gain. That is, with the increase in device gain, the randomness of impact ionization is also higher, resulting in greater excess noise. In order to further improve the performance of APDs, the structure of the multiplication region is usually adjusted in combination with Impact Ionization Engineering (I2E) [6,7,8] to make the impact ionization process more concentrated in the multiplication region and reduce the randomness of impact ionization. However, when reducing the excess noise, the gain of the device will be decreased due to the reduction in the impact ionization region. The multiplication cascade can compensate for the disadvantage of gain reduction, so as to construct a 10-gain-stage multiplication APD, and realize the simultaneous optimization of gain and excess noise.
In 1990, B. E. A. Saleh and Majeed M. Haya et al. established and developed the Dead Space Multiplication Theory (DSMT) [9]. Thereafter, based on this non-local impact ionization theory, AFRL and OptoGration (acquired by Luminar in 2021) [10] first manufactured and tested a three-gain-stage multiplication APD combined with I2E in 2007, which demonstrated a significant reduction in the excess noise factor. In 2012, X Bai [11] et al. reported the research results of a five-gain-stage APD, which showed a slight gain of more than 100 before the breakdown of the device. When the gain was 15, the excess noise factor was about 4. In 2013, Voxtel (which was acquired by Allegro MicroSystems in 2020), the University of New Mexico and Marquette University jointly carried out the engineering research on a linear-mode InGaAs/InAlAs superlattice cascade multiplication APD [12]. The device structure of the 10-gain-stage APD [13,14] was designed, and its typical gain could reach 5–1000. When the gain was 100, the excess noise factor was about 5, and when the gain was 1000, the excess noise factor was close to 50. In 2016, M.X.AI [15] established a new multiplication excess noise model of carriers. The structure of the two-gain-stage APD was studied. When the gain was 16, the noise factor reached 4. In 2019, Y Tang [16] modulated the structural parameters and obtained a 10-gain cascade multiplication APD. When the gain was 90, the noise factor was 10. In 2024, Sun T. et al. [17] optimized the three-gain-stage APD, and the maximum gain of the optimized three-gain-stage device was 150. When the gain was 90, the excess noise coefficient was about 3.1.
In this work, the effect of the dropping layer on the inhibition of carrier impact ionization is studied by changing the doping concentration of the 3-gain-stage, 5-gain-stage, and 10-gain-stage dropping layers. Then, the maximum gain of the device is further increased by adjusting the doping concentration of the charge layer, and the electric field and noise characteristics of multi-gain APDs are analyzed.
2. Theory and Device Structure
2.1. DSMT
The expression of the dead space is shown below. ε(x) is the electric field at the x position, Eie(x) and Eih(x) are the shock ionization threshold energies of electrons and holes at the x position, de(x) and dh(x) are the dead regions of electrons and holes at the x position, and q is the electron charge.
The expression of the impact ionization distance probability density function is shown below. h(ξ|x) is the probability density function for the electrons and holes at the x position to move to a certain position and have impact ionization at a certain position. Impact ionization occurs only when the motion distance is greater than the dead space of the carrier at the x position. α(lx) and β(lx) are the impact ionization rates at location of electrons and holes that come from location x without initial energy, respectively.
The recursive equations are shown below. Z(x) represents the random number of all electrons and holes produced by the x position and its own electrons. Y(x) represents the random number of children of all electrons and holes produced by the x position and its own holes. Suppose the multiplication layer ranges from 0 to W. According to the literature [18], the random gain from only one electron injection is [Z(0) + Y(0)]/2, Y(0) = 1, and the random gain is [Z(0) + 1]/2.
In the above formulas, z(x), z2(x), y(x), and y2(x) have initial values of z(0) = 1, z2(0) = 1, y(w) = 1, and y2(w) = 1 at the boundary. After the stable solution of the recurrence equation is obtained, the average gain and excess noise can be calculated.
2.2. Device Structure
As is shown in Figure 1, we built the structure of the detector’s layers with Silvaco TCAD software version 5.38.0.R. The device is mainly composed of three separate regions: the absorption layer, the charge layer, and the multiplication layer, with some additional layers used to achieve a smoother band. The structure was originally proposed by Hayat et al. to enhance the gain of the SAGCM (Separated Absorption, Grading, Charge, and Multiplication region) APD in linear mode and reduce excess noise. Based on this, the structure was improved and optimized in this work, where M is the gain series.
Figure 1.
Diagram of the 10-gain-stage APD device structure.
The band gap of InAlGaAs is larger than that of InGaAs but smaller than that of InAlAs. Because the ionization threshold energy decreases with the decrease in band gap [19], when electrons enter the narrow band gap from the wide band gap, the ionization threshold decreases, making electrons more prone to impact ionization.
The ionization threshold energies of electrons and holes are shown in Table 1 [17], where Eie is the threshold energy of electrons and Eih is the threshold energy of holes.
Table 1.
Threshold energies of ionization in different materials.
3. Results and Discussion
3.1. Dropping Layer
3.1.1. Three-Gain-Stage Structure
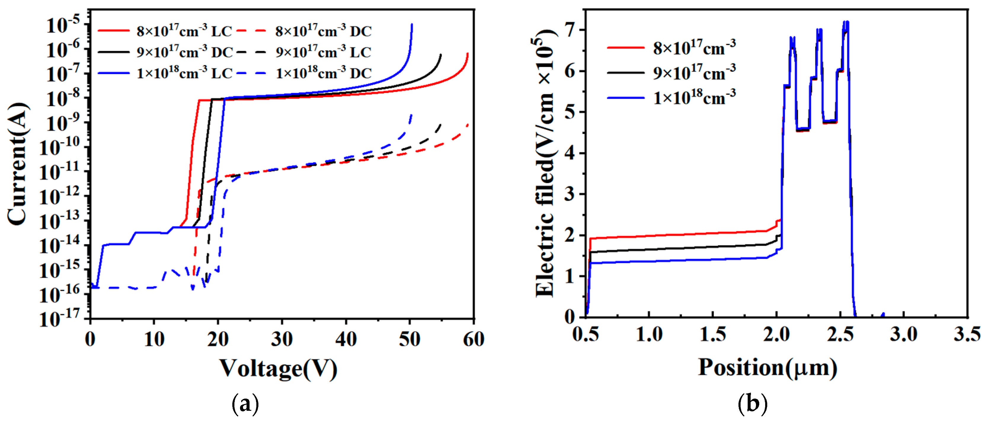
As can be seen from Figure 2, as the doping concentration of the dropping layer decreases, the electric field in the absorption region decreases, and the voltage is more concentrated in the depletion multiplication region with lower doping concentrations, making the device break down more easily; that is, the breakdown voltage drops. At the same time, because the electric field in the absorption region decreases, but the electric field adjustment ability of the charge layer to the absorption region and the multiplication region remains unchanged, the electric field of the first-stage collision ionization layer decreases accordingly. However, the effect of the low-doping-concentration dropping layer on electron cooling is smaller than that of the high-doping-concentration dropping layer. Therefore, in the electric field of the second electronic relaxation layer, the electric field of 7 × 1017 cm−3 with the lowest doping concentration is larger, and the electric field of the third collision ionization layer is increased. It can be seen that the drop in doping concentration of the dropping layer causes an increase in the post-stage electric field and a decrease in the pre-stage electric field, which further increases the electric field gap between the doubling regions. According to DSMT calculation, when the doping concentration is 1 × 1018 cm−3, the gain can reach 416, and the noise factor is 7.5. When the gain is 100, the noise factor is 3.5.
Figure 2.
The light current (LC), dark current (DC), gain (G) (a), and electric field (b) at different dropping layer doping concentrations of the 3-gain-stage APD.
3.1.2. Five-Gain-Stage Structure
As shown in Figure 3, the pattern of change for the five-gain-stage APD is the same as that of the three-gain-stage APD. The increase in doping concentration of the dropping layer increases the electric field of the absorbing layer, decreases the through-voltage, and increases the breakdown voltage. In the multiplication region, the first and second electric fields increase, and the latter three electric fields decrease. The first-order electron relaxation layer increases, and the electric field of the subsequent fourth-order electron relaxation layer decreases, and the decreasing amplitude increases step by step. This is also because when the doping concentration of the electron cooling layer is too high, the effect of electron cooling is enhanced, resulting in the electric field of the electron relaxation layer decreasing step by step. When the doping concentration is 7 × 1017 cm−3, the electric fields of the front and rear stages are about the same. When the doping concentration continues to increase, the electric field of the latter stage shows a downward trend. If the front-stage electric field is too low and the rear-stage electric field is too high, it indicates that there is an early breakdown phenomenon; that is, the device has not been ionized by avalanche collision. On the contrary, it means that the device is prone to breakdown but there is no response. At this point, we choose the doping concentration of 7 × 1017 cm−3 as the optimal result. And the gain also reaches about 450, the corresponding noise factor is 7.1, and when the gain is 100, the noise factor is about 4.5.
Figure 3.
The light current (LC), dark current (DC), gain (G) (a), and electric field (b) at different dropping layer doping concentrations of the 5-gain-stage APD.
3.1.3. Ten-Gain-Stage Structure
In the 10-gain-stage electric field diagram, when the doping concentrations are 8 × 1017 cm−3 and 9 × 1017 cm−3, the electric field values of the front and back stages differ greatly, which occurs easily after the device breaks down with no response. If the doping concentration continues to increase, it will only cause a larger electric field gap, so the electric field diagram in the case of 1 × 1018 cm−3 is not considered here. As shown in Figure 4, when the doping concentration is 7 × 1017 cm−3, the maximum gain can reach 715, and when the gain is 100, the noise factor is 5. If the doping concentration of the dropping layer is gradually reduced to 6.8 × 1017 cm−3, 6.6 × 1017 cm−3, etc., it causes the electric field of the absorption layer to continue to decrease, resulting in photogenerated electrons being unable to obtain enough speed to cross the grading region from the absorption region of the narrow band gap to the wide band gap charge region, resulting in the loss of photogenerated carriers.
Figure 4.
The light current (LC), dark current (DC), gain (G) (a), and electric field (b) at different dropping layer doping concentrations of the 10-gain-stage APD.
3.1.4. Comparison of Structures Under Different Gain Levels
The simulation results of 3-gain-stage, 5-gain-stage, and 10-gain-stage APDs show the following points: (1) The larger the multiplication series, the larger the field strength difference between the front and rear stages caused by the same concentration difference. (2) Under the same conditions, as the gain stage increases, the through-voltage also increases. This is because, with an increase in the gain stage, the thickness of the multiplication layer becomes larger, making it more difficult for the device to fully deplete the absorption region. That is, under the same conditions, it is more difficult for the device to progress step by step, which is the same as the rule of a single-stage APD [13]. (3) From the 3-gain stage, the 5-gain stage, to the 10-gain stage, the difference in through-voltage caused by the same concentration difference becomes larger. In the three-gain-stage APD, the doping concentration increases from 7 × 1017 cm−3 to 1 × 1018 cm−3, and the through-voltage decreases by 4 V. In a five-gain-stage APD, the same doping concentration change results in a 15 V reduction in the breakdown voltage. In a 10-gain-stage APD, the same doping concentration change results in a 50 V reduction in the breakdown voltage. This is because, although the change in the concentration of the dropping layer remains the same, the doping concentration of each stage increases with the increase in the gain stage, resulting in a larger increase in the total doping amount. Consequently, the change in the through-voltage also increases step by step.
3.2. Charge Layer
The charge layer is essential for regulating the electric field of the device [20]. In the next step, the gain noise performance is further studied by adjusting the doping concentration of the charge region. Figure 5 shows the electric field and current distribution of devices with different charge layer doping concentrations at the same charge layer thickness of 25 nm for three-gain-stage and five-gain-stage APDs. As is shown in the electric field diagram, the electric field strength of the absorption region is greater than 1.0 × 105 V/cm to ensure that the photogenerated electrons have enough speed to cross the transition region from the absorption region of the narrow band gap to the charge region of the wide band gap, reducing the loss of photogenerated electrons. It can also ensure that there is enough electric field in the multiplication region to ionize the carrier by collision. Furthermore, with the increase in the concentration of the charge layer, the space charge region is more easily extended to the absorption layer, so the electric field intensity of the absorption layer decreases. Because the bias voltage at both ends of the device is unchanged, the integration of the electric field strength with the length is unchanged, so the electric field strength of the corresponding multiplication layer increases, and the impact ionization rate of the carrier increases. The device is more prone to complete breakdown; that is, the avalanche breakdown voltage drops, which is consistent across the 3-gain-stage, 5-gain-stage, and 10-gain-stage structures.

Figure 5.
The light current (LC), dark current (DC) (a,c), and electric field (b,d) diagrams of 3-gain-stage and 5-gain-stage APDs at different charge layer doping concentrations.
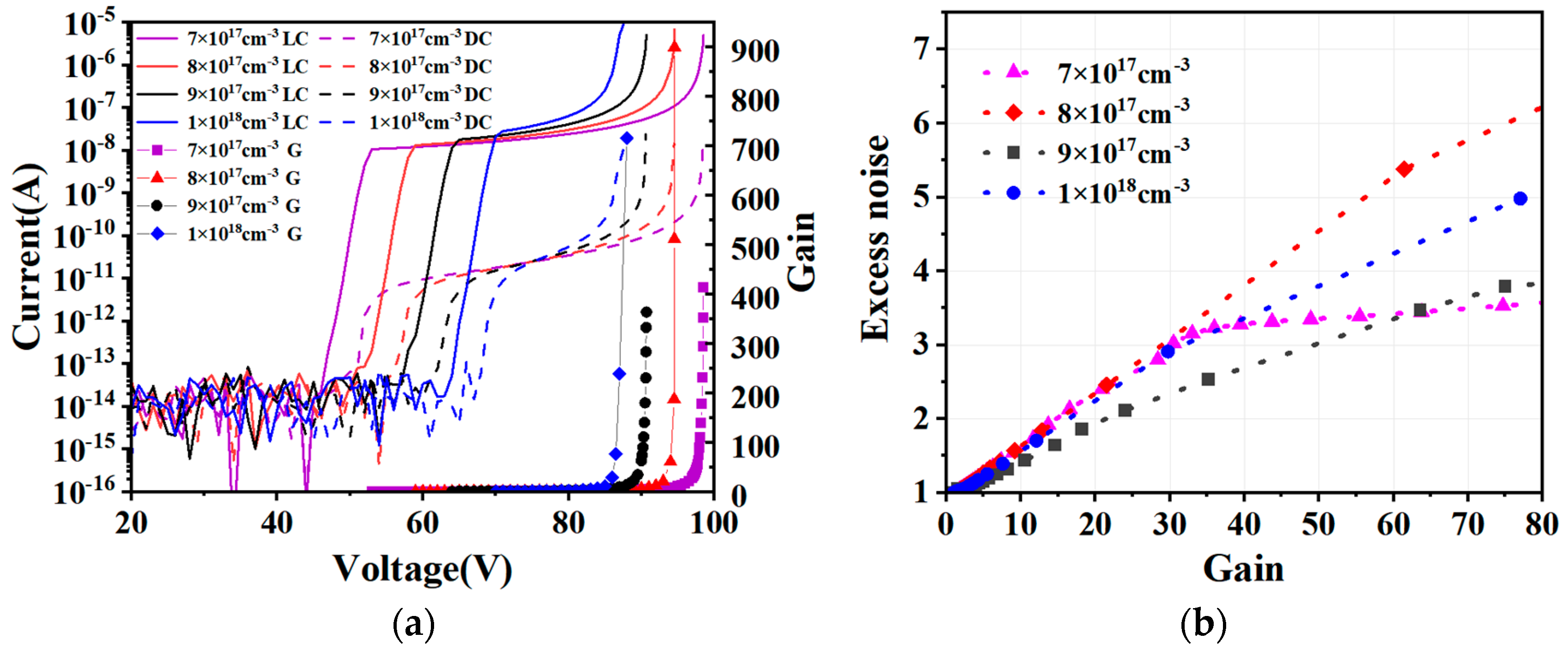
For the 10-gain-stage APD, the dropping layer doping concentration of 7 × 1017 cm−3 is selected as the most effective one in this work. On this basis, the gain and noise properties of charge layer doping concentrations of 7 × 1017 cm−3, 8 × 1017 cm−3, 9 × 1017 cm−3, and 1 × 1018 cm−3 are simulated. It can be seen from Figure 6 that with the increase in charge layer doping concentration, the device’s through-voltage increases, the breakdown voltage decreases, and the working area decreases. It can be seen from the noise and gain figure that when the doping concentration is 7 × 1017 cm−3, it has better noise characteristics at high gain. At this point, the maximum gain can reach more than 850, and when the gain is 100, the noise factor is about 6.5.
Figure 6.
The light current (LC), dark current (DC), gain (G) (a), and gain–noise relationship (b) at different charge layer doping concentrations of the 10-gain-stage APD.
3.3. Analysis of Electric Field and Noise Characteristics of Different Gain Stages
As shown in Figure 7, starting from the three-gain-stage APD, with the increase in the cascade gain stage, the electric field intensity in the absorption region decreases step by step, and the maximum electric field intensity in the multiplication region also decreases. This is because, with the increase in the cascade series, the total thickness of the multiplication region increases, and the maximum electric field intensity that can be achieved in the multiplication region and the absorption region decreases from grade 3 to grade 10. From the three-gain stage to the five-gain stage, the excess noise decreases significantly, because there are more regions in the multiplication region where collision ionization can occur, and the increase in the cascade gain stage makes up for the gain loss caused by the lower ionization coefficient of single-stage collision. Moreover, the uncertainty and randomness of collision ionization will be reduced due to the greater concentration and probability of collision ionization occurring at each stage. Then, the excess noise will be reduced. However, when the gain stage is increased to 10, the noise increases, which is consistent with the findings reported in the literature [16]; that is, from the 10-gain stage to the 5-gain stage and then to the 3-gain stage, excess noise first decreases and then increases as the width of the multiplication layer decreases.
Figure 7.
The electric field (a) and (b) gain–noise relationship of APD with different gain stages.
4. Conclusions
In summary, a multi-gain-stage APD structure is designed in this work, which achieves good gain and noise performance at the 3-gain stage, 5-gain stage, and 10-gain stage by modifying the doping concentration of the charge layer and the dropping layer appropriately. For the 10-gain-stage APD, the maximum gain can reach more than 850, and the noise factor reaches 6.5 when the gain is 100. The calculated results are generally consistent with the experimental results in Reference 13. In addition, we compared this work with the experimental results and simulation results from References [11,13,16], and found that the gain noise performance reported in this work is better than that in the references.
At present, as a new type of device, there are still many gaps in the research of multi-gain-stage APDs, and the existing research results show that the noise is still large when the device has high gain. In future work, the performance optimization of the device will become more and more difficult with the increasing multiplication series. This work can provide structural optimization ideas for the optimization direction of the multiplication layer and the charge layer, and we will continue to conduct research on the development of higher series.
Author Contributions
Conceptualization, X.G.; methodology, M.D.; software, P.L.; validation, L.H. and T.S.; formal analysis, M.D.; investigation, M.D.; resources, G.L.; data curation, M.D.; writing—original draft preparation, M.D.; writing—review and editing, M.D. and T.S.; funding acquisition, G.L. All authors have read and agreed to the published version of the manuscript.
Funding
This research was funded by the National Key Research and Development Program of China, grant number No. 2021YFB3601201.
Institutional Review Board Statement
Not applicable.
Informed Consent Statement
Informed consent was obtained from all subjects involved in the study.
Data Availability Statement
Data are contained within the article.
Conflicts of Interest
The authors declare no conflicts of interest.
References
- Cao, S.; Zhao, Y.; Feng, S.; Zuo, Y.; Zhang, L.; Cheng, B.; Li, C. Theoretical analysis of InGaAs/InAlAs single-photon avalanche photodiodes. Nanoscale Res. Lett. 2019, 14, 3. [Google Scholar] [CrossRef] [PubMed]
- Zeng, Q.Y.; Wang, W.J.; Hu, W.D.; Li, N.; Lu, W. Numerical analysis of multiplication layer on dark current for InGaAs/InP single photon avalanche diodes. Opt. Quantum Electron. 2014, 46, 1203–1208. [Google Scholar] [CrossRef]
- Cova, S.; Ghioni, M.; Lacaita, A.; Samori, C.; Zappa, F. Avalanche photodiodes and quenching circuits for single-photon detection. Appl. Opt. 1996, 35, 1956–1976. [Google Scholar] [CrossRef] [PubMed]
- Hadfield, R.H. Single-photon detectors for optical quantum information applications. Nat. Photonics 2009, 3, 696–705. [Google Scholar] [CrossRef]
- Zhang, J.; Itzler, M.A.; Zbinden, H.; Pan, J.-W. Advances in InGaAs/InP single-photon detector systems for quantum communication. Light. Sci. Appl. 2015, 4, e286. [Google Scholar] [CrossRef]
- Li, X.; Hao, X.; Song, H.Z.; Xie, X.M.; Zhao, Y.L.; Shi, Y.L.; Yuan, L.; Pan, X.; Dai, Q.; Qin, W.Z.; et al. Multi-gain stage avalanche photodiode based on InGaAs/InAlAs superlattice. In Proceedings of the Sixth Conference on Frontiers in Optical Imaging and Technology: Novel Detector Technologies, Nanjing, China, 30 April 2024; SPIE: Bellingham, WA, USA, 2024; Volume 13154, pp. 109–119. [Google Scholar]
- Sun, W.; Zheng, X.; Lu, Z.; Campbell, J.C. Monte carlo simulation of InAlAs/InAlGaAs tandem avalanche photodiodes. IEEE J. Quantum Electron. 2012, 48, 528–532. [Google Scholar] [CrossRef]
- Liu, G.; Chen, W.; Liu, L.; Jin, P.; Tian, Y.; Yang, J. A theory study of the multiplication characteristics of InP/InGaAs avalanche photodiodes with double multiplication layers and double charge layers. Opt. Commun. 2016, 374, 114–118. [Google Scholar] [CrossRef]
- Saleh, B.; Hayat, M.; Teich, M. Effect of dead space on the excess noise factor and time response of avalanche photodiodes. IEEE Trans. Electron Devices 1990, 37, 1976–1984. [Google Scholar] [CrossRef]
- Clark, W.R.; Vaccaro, K.; Waters, W.D. InAlAs-InGaAs based avalanche photodiodes for next generation eye-safe optical receivers. In Proceedings of the Photonics North 2007, Ottawa, ON, Canada, 30 October 2007; SPIE: Bellingham, WA, USA, 2007; Volume 6796, pp. 770–784. [Google Scholar]
- Bai, X.; Yuan, P.; McDonald, P.; Boisvert, J.; Chang, J.; Sudharsanan, R.; Krainak, M.; Yang, G.; Sun, X.; Lu, W.; et al. Development of low excess noise SWIR APDs. In Proceedings of the Infrared Technology and Applications XXXVIII, Baltimore, MD, USA, 31 May 2012; SPIE: Bellingham, WA, USA, 2012; Volume 8353, pp. 878–884. [Google Scholar]
- Ramirez, D.A.; Hayat, M.M.; Huntington, A.S.; Williams, G. Theory for spatial distribution of impact-ionization events in avalanche photodiodes. In Proceedings of the IEEE Photonics Conference 2012, Burlingame, CA, USA, 23–27 September 2012; IEEE: Piscataway, NJ, USA; Volume 2012, pp. 100–101. [Google Scholar]
- Williams, G.M.; Compton, M.; Ramirez, D.A.; Hayat, M.M.; Huntington, A.S. Multi-gain-stage InGaAs avalanche photodiode with enhanced gain and reduced excess noise. IEEE J. Electron Devices Soc. 2013, 1, 54–65. [Google Scholar] [CrossRef]
- Williams, G.M.; Ramirez, D.A.; Hayat, M.M.; Huntington, A.S. Time resolved gain and excess noise properties of InGaAs/InAlAs avalanche photodiodes with cascaded discrete gain layer multiplication regions. J. Appl. Phys. 2013, 113, 093705. [Google Scholar] [CrossRef]
- Dai, M.; Li, X.; Shi, Z.; Dai, Q.; Song, H.; Tang, Z.; Pu, J. Gain and noise properties of multi-gain-stage superlattice InGaAs avalanche photodiode. Infrared Laser Eng. 2016, 45, 520009. [Google Scholar]
- Tang, Y.; Chen, W.; Huang, X.; Li, B.; Chai, S.; Zhao, K.; Zhang, C.; Gao, X. The Design of multi-gain-stage avalanche photodiodes with low excess noise. J. Infrared Millim. Waves 2019, 38, 439–444. [Google Scholar]
- Sun, T.; Wang, Z.H.; Liu, G.; Yang, X.Y.; Du, M.Q.; Zhou, F.; Lu, P.F. Gain and excess noise properties of 3-gain-stage InGaAs/InAlAs avalanche photodetector. Phys. B Condens. Matter 2024, 683, 415866. [Google Scholar] [CrossRef]
- Hayat, M.M.; Saleh BE, A.; Teich, M.C. Effect of dead space on gain and noise of double-carrier-multiplication avalanche photodiodes. IEEE Trans. Electron Devices 1992, 39, 546–552. [Google Scholar] [CrossRef]
- Tsang, W.T. Semiconductor Photodetector; Electronic Industry Press: Beijing, China; Tsinghua University Press: Beijing, China, 1992; pp. 1–332. [Google Scholar]
- Cao, S.; Zhao, Y.; Rehman, S.U.; Feng, S.; Zuo, Y.; Li, C.; Zhang, L.; Cheng, B.; Wang, Q. Theoretical Studies on InGaAs/InAlAs SAGCM Avalanche Photodiodes. Nanoscale Res. Lett. 2018, 13, 158. [Google Scholar] [CrossRef] [PubMed]
Disclaimer/Publisher’s Note: The statements, opinions and data contained in all publications are solely those of the individual author(s) and contributor(s) and not of MDPI and/or the editor(s). MDPI and/or the editor(s) disclaim responsibility for any injury to people or property resulting from any ideas, methods, instructions or products referred to in the content. |
© 2024 by the authors. Licensee MDPI, Basel, Switzerland. This article is an open access article distributed under the terms and conditions of the Creative Commons Attribution (CC BY) license (https://creativecommons.org/licenses/by/4.0/).







