Two-Point Resolution of a Defocused Imaging System Based on Spatially Coherent Illumination
Abstract
1. Introduction
2. Materials and Methods
2.1. Coherent Optical Response of Single-Lens Defocused Imaging System to Two-Slit Object
- Free-space paraxial propagation of the field traveling a distance from the object, with o being the distance between the focus plane and the lens and the axial offset of the object relative to the focus plane position.
- Phase and amplitude contributions of the propagation through a thin lens of focal length , with representing the extent of the lens aperture opening accounting for the Gaussian apodization.
- Free-space paraxial propagation from the lens to the detector plane over the distance o.
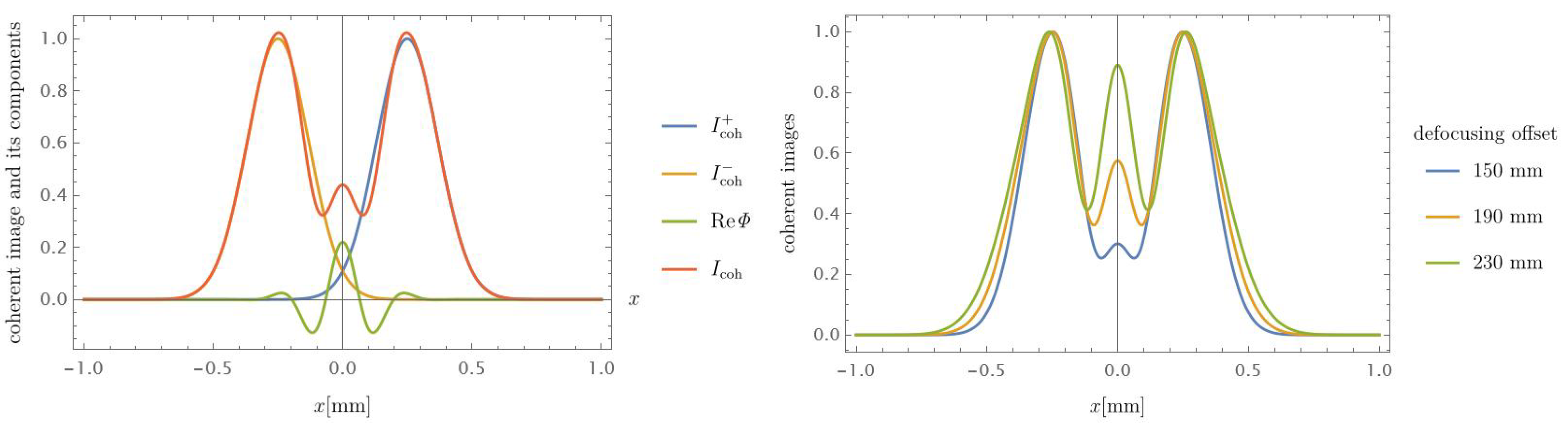
- The first two terms correspond to the coherent images of the two slits considered separately. The second approximate equality stems from the fact that the width of the images has a very weak dependence on the transverse displacement on the optical axis so that, in paraxial conditions (), it can be neglected. In this case, the image corresponds exactly to the image of a slit on the optical axis (the case treated in [38]), displaced by a quantity .
- The last term, corresponding to the interference between the two slits, is even in the spatial coordinate x and can be thought of as three separate factors. The first factor does not depend on x and regulates the amplitude of the interference term; it is increasingly less relevant as the distance between the slits is increased. The second term is a Gaussian envelope, whose width does not depend on the slit distance but only on the width. The last contribution is an oscillating term, whose spatial period depends on all parameters into play.
2.2. Naive Coherent-Regime Analogous of the Two-Point Resolution
3. Results: True Coherent-Regime Analogous of the Two-Point Resolution
4. Discussion
Author Contributions
Funding
Data Availability Statement
Conflicts of Interest
Abbreviations
| NA | Numerical aperture |
| DOF | Depth of field |
| CoC | Circle of confusion |
| CHI | Correlation Hyperspectral Imaging |
| CPI | Correlation plenoptic imaging |
| PSF | Point-spread function |
Appendix A
References
- Garrison, J.; Chiao, R. Quantum Optics; Oxford University Press: Oxford, UK, 2008. [Google Scholar]
- Walls, D.; Milburn, G. Quantum Optics, 2nd ed.; Springer: Berlin/Heidelberg, Germany, 2008. [Google Scholar]
- Brida, G.; Genovese, M.; Ruo Berchera, I. Experimental realization of sub-shot-noise quantum imaging. Nat. Photonics 2010, 4, 227–230. [Google Scholar] [CrossRef]
- Samantaray, N.; Ruo Berchera, I.; Meda, A.; Genovese, M. Realization of the first sub-shot-noise wide field microscope. Light. Sci. Appl. 2017, 7, e17005. [Google Scholar] [CrossRef]
- Boto, A.N.; Kok, P.; Abrams, D.S.; Braunstein, S.L.; Williams, C.P.; Dowling, J.P. Quantum Interferometric Optical Lithography: Exploiting Entanglement to Beat the Diffraction Limit. Phys. Rev. Lett. 2000, 85, 2733–2736. [Google Scholar] [CrossRef]
- Dowling, J.P. Quantum optical metrology–the lowdown on high-N00N states. Contemp. Phys. 2008, 49, 125–143. [Google Scholar] [CrossRef]
- D’Angelo, M.; Chekhova, M.V.; Shih, Y. Two-Photon Diffraction and Quantum Lithography. Phys. Rev. Lett. 2001, 87, 013602. [Google Scholar] [CrossRef]
- Giovannetti, V.; Lloyd, S.; Maccone, L. Advances in quantum metrology and imaging. Nat. Photonics 2009, 5, 222–229. [Google Scholar] [CrossRef]
- Moreau, P.A.; Toninelli, E.; Gregory, T.; Padgett, M.J. Imaging with quantum states of light. Nat. Rev. Phys. 2019, 1, 367–380. [Google Scholar] [CrossRef]
- Schwartz, O.; Levitt, J.M.; Tenne, R.; Itzhakov, S.; Deutsch, Z.; Oron, D. Superresolution microscopy with quantum emitters. Nano Lett. 2013, 13, 5832–5836. [Google Scholar] [CrossRef]
- Ono, T.; Okamoto, R.; Takeuchi, S. An entanglement-enhanced microscope. Nat. Commun. 2013, 4, 2426. [Google Scholar] [CrossRef]
- Ekert, A.; Macchiavello, C. Direct characterization of quantum dynamics. Phys. Rev. Lett. 2002, 88, 217901. [Google Scholar] [CrossRef]
- Clark, A.S.; Chekhova, M.; Matthews, J.C.; Rarity, J.G.; Oulton, R.F. Special Topic: Quantum sensing with correlated light sources. Appl. Phys. Lett. 2021, 118, 060401. [Google Scholar] [CrossRef]
- Treps, N.; Laurent, C. Quantum imaging with squeezed light. J. Opt. Soc. Am. B 2013, 30, 29–37. [Google Scholar]
- Vahlbruch, H.; Mehmet, M.; Danzmann, K.; Schnabel, R. Detection of 15 dB squeezed states of light and their application for the absolute calibration of photoelectric quantum efficiency. Phys. Rev. Lett. 2016, 117, 110801. [Google Scholar] [CrossRef]
- Treps, N.; Andersen, U.L.; Buchler, B.C.; Lam, P.K.; Maître, A.; Bachor, H.A.; Fabre, C. Quantum noise in multi-pixel light beams: Spatial squeezing and applications in high-resolution and quantum imaging. Phys. Rev. Lett. 2002, 88, 203601. [Google Scholar] [CrossRef] [PubMed]
- Polino, E.; Valeri, M.; Spagnolo, N.; Sciarrino, F. Photonic quantum metrology. AVS Quantum Sci. 2020, 2, 024703. [Google Scholar] [CrossRef]
- Pittman, T.B.; Shih, Y.H.; Strekalov, D.V.; Sergienko, A.V. Optical imaging by means of two-photon quantum entanglement. Phys. Rev. A 1995, 52, R3429–R3432. [Google Scholar] [CrossRef] [PubMed]
- Shih, Y. Quantum imaging. IEEE J. Sel. Top. Quantum Electron. 2007, 13, 1016–1030. [Google Scholar] [CrossRef]
- Chen, X.; Liu, J.; Luo, K.H.; Wu, L.A.; Zhai, G.J. High-visibility and high-resolution pseudothermal ghost imaging with small laser beam sources. Opt. Express 2010, 18, 10579–10586. [Google Scholar]
- Fu, Y.; Zhang, L.; Chen, X. A review of ghost imaging and its advancements: Innovation and applications. Adv. Phys. X 2018, 3, 1481262. [Google Scholar]
- Valencia, A.; Scarcelli, G.; D’Angelo, M.; Shih, Y. Two-Photon Imaging with Thermal Light. Phys. Rev. Lett. 2005, 94, 063601. [Google Scholar] [CrossRef] [PubMed]
- Padgett, M.; Boyd, R.W. An Introduction to Ghost Imaging: Quantum and Classical. Philos. Trans. R. Soc. A Math. Phys. Eng. Sci. 2017, 375, 20160233. [Google Scholar] [CrossRef] [PubMed]
- Shapiro, J.; Boyd, R. The physics of ghost imaging. Quantum Inf. Process. 2012, 11, 949–993. [Google Scholar] [CrossRef]
- Paniate, A.; Massaro, G.; Avella, A.; Meda, A.; Pepe, F.V.; Genovese, M.; D’Angelo, M.; Ruo-Berchera, I. Light-field ghost imaging. Phys. Rev. Appl. 2024, 21, 024032. [Google Scholar] [CrossRef]
- Gatti, A.; Brambilla, E.; Bache, M.; Lugiato, L. Correlated imaging, quantum and classical. Phys. Rev. A 2004, 70, 013802. [Google Scholar] [CrossRef]
- Brida, G.; Chekhova, M.; Fornaro, G.; Genovese, M.; Lopaeva, E.; Berchera, I.R. Systematic analysis of signal-to-noise ratio in bipartite ghost imaging with classical and quantum light. Phys. Rev. A 2011, 83, 063807. [Google Scholar] [CrossRef]
- Bennink, R.S.; Bentley, S.J.; Boyd, R.W. “Two-photon” coincidence imaging with a classical source. Phys. Rev. Lett. 2002, 89, 113601. [Google Scholar] [CrossRef] [PubMed]
- Ferri, F.; Magatti, D.; Lugiato, L.; Gatti, A. Differential ghost imaging. Phys. Rev. Lett. 2010, 104, 253603. [Google Scholar] [CrossRef]
- D’Angelo, M.; Pepe, F.V.; Garuccio, A.; Scarcelli, G. Correlation Plenoptic Imaging. Phys. Rev. Lett. 2016, 116, 223602. [Google Scholar] [CrossRef]
- Massaro, G.; Giannella, D.; Scagliola, A.; Di Lena, F.; Scarcelli, G.; Garuccio, A.; Pepe, F.V.; D’Angelo, M. Light-field microscopy with correlated beams for high-resolution volumetric imaging. Sci. Rep. 2022, 12, 16823. [Google Scholar] [CrossRef] [PubMed]
- Massaro, G.; Mos, P.; Vasiukov, S.; Di Lena, F.; Scattarella, F.; Pepe, F.V.; Ulku, A.; Giannella, D.; Charbon, E.; Bruschini, C.; et al. Correlated-photon imaging at 10 volumetric images per second. Sci. Rep. 2023, 13, 12813. [Google Scholar] [CrossRef]
- Giannella, D.; Massaro, G.; Stoklasa, B.; D’Angelo, M.; Pepe, F.V. Light-field imaging from position-momentum correlations. Phys. Lett. A 2024, 494, 129298. [Google Scholar] [CrossRef]
- Massaro, G. Assessing the 3D resolution of refocused correlation plenoptic images using a general-purpose image quality estimator. Eur. Phys. J. Plus 2024, 139, 727. [Google Scholar] [CrossRef]
- Saleh, B.E.A.; Teich, M.C. Statistical Optics. In Fundamentals of Photonics; John Wiley & Sons, Ltd.: Hoboken, NJ, USA, 1991; Chapter 10; pp. 342–383. [Google Scholar] [CrossRef]
- Massaro, G. Analytical form of the refocused images from correlation plenoptic imaging. Opt. Express 2024, 32, 35755–35770. [Google Scholar] [CrossRef]
- Stokseth, P.A. Properties of a Defocused Optical System. J. Opt. Soc. Am. 1969, 59, 1314–1321. [Google Scholar] [CrossRef]
- Massaro, G.; Barile, B.; Scarcelli, G.; Pepe, F.V.; Nicchia, G.P.; D’Angelo, M. Direct 3D Imaging through Spatial Coherence of Light. Laser Photonics Rev. 2024, 18, 2301155. [Google Scholar] [CrossRef]
- Massaro, G.; D’Angelo, M. Characterization of Defocused Coherent Imaging Systems with Periodic Objects. Sensors 2024, 24, 6885. [Google Scholar] [CrossRef] [PubMed]
- Massaro, G.; Scala, G.; D’Angelo, M.; Pepe, F.V. Comparative analysis of signal-to-noise ratio in correlation plenoptic imaging architectures. Eur. Phys. J. Plus 2022, 137, 1123. [Google Scholar] [CrossRef]
- Erkmen, B.I.; Shapiro, J.H. Signal-to-noise ratio of Gaussian-state ghost imaging. Phys. Rev. A At. Mol. Opt. Phys. 2009, 79, 023833. [Google Scholar] [CrossRef]
- Erkmen, B.I.; Shapiro, J.H. Ghost imaging: From quantum to classical to computational. Adv. Opt. Photonics 2010, 2, 405–450. [Google Scholar] [CrossRef]
- Lugiato, L.; Gatti, A.; Brambilla, E. Quantum imaging. arXiv 2002, arXiv:quant-ph/0203046. [Google Scholar] [CrossRef]
- O’Sullivan, M.N.; Chan, K.W.C.; Boyd, R.W. Comparison of the signal-to-noise characteristics of quantum versus thermal ghost imaging. Phys. Rev. A At. Mol. Opt. Phys. 2010, 82, 053803. [Google Scholar] [CrossRef]
- Favaro, P.; Mennucci, A.; Soatto, S. Observing shape from defocused images. Int. J. Comput. Vis. 2003, 52, 25–43. [Google Scholar] [CrossRef]
- Wu, G.; Masia, B.; Jarabo, A.; Zhang, Y.; Wang, L.; Dai, Q.; Chai, T.; Liu, Y. Light field image processing: An overview. IEEE J. Sel. Top. Signal Process. 2017, 11, 926–954. [Google Scholar] [CrossRef]
- Ihrke, I.; Restrepo, J.; Mignard-Debise, L. Principles of Light Field Imaging: Briefly revisiting 25 years of research. IEEE Signal Process. Mag. 2016, 33, 59–69. [Google Scholar] [CrossRef]
- Georgiev, T.; Lumsdaine, A. The multifocus plenoptic camera. In Digital Photography VIII; Battiato, S., Rodricks, B.G., Sampat, N., Imai, F.H., Xiao, F., Eds.; Society of Photo-Optical Instrumentation Engineers (SPIE) Conference Series; SPIE: Bellingham, WA, USA, 2012; Volume 8299, p. 829908. [Google Scholar] [CrossRef]
- Massaro, G.; Pepe, F.V.; D’Angelo, M. Correlation Hyperspectral Imaging. Phys. Rev. Lett. 2024, 133, 183802. [Google Scholar] [CrossRef] [PubMed]
- Ralston, T.S.; Marks, D.L.; Carney, P.S.; Boppart, S.A. Interferometric synthetic aperture microscopy. Nat. Phys. 2007, 3, 129–134. [Google Scholar] [CrossRef]
- Tian, L.; Wang, J.; Waller, L. 3D differential phase-contrast microscopy with computational illumination using an LED array. Opt. Lett. 2014, 39, 1326–1329. [Google Scholar] [CrossRef]
- Tian, L.; Waller, L. 3D intensity and phase imaging from light field measurements in an LED array microscope. Optica 2015, 2, 104–111. [Google Scholar] [CrossRef]
- Gabor, D. Microscopy by reconstructed wave-fronts. Proc. R. Soc. A 1949, 197, 454–487. [Google Scholar] [CrossRef]
- Ferraro, P.; Wax, A.; Zalevsky, Z. Coherent Light Microscopy: Imaging and Quantitative Phase Analysis; Springer: Berlin/Heidelberg, Germany, 2011. [Google Scholar] [CrossRef]
- Osten, W.; Faridian, A.; Gao, P.; Körner, K.; Naik, D.; Pedrini, G.; Singh, A.K.; Takeda, M.; Wilke, M. Recent advances in digital holography. Appl. Opt. 2014, 53, G44–G63. [Google Scholar] [CrossRef]
- Zheng, G.; Horstmeyer, R.; Yang, C. Wide-field, high-resolution Fourier ptychographic microscopy. Nat. Photonics 2013, 7, 739–745. [Google Scholar] [CrossRef] [PubMed]
- Rodenburg, J.; Maiden, A. Ptychography. In Springer Handbook of Microscopy; Springer International Publishing: Berlin/Heidelberg, Germany, 2019; pp. 819–904. [Google Scholar] [CrossRef]
- Zheng, G.; Shen, C.; Jiang, S.; Song, P.; Yang, C. Concept, implementations and applications of Fourier ptychography. Nat. Rev. Phys. 2021, 3, 207–223. [Google Scholar] [CrossRef]
- Horstmeyer, R.; Ou, X.; Zheng, G.; Willems, P.; Yang, C. Digital pathology with Fourier ptychography. Comput. Med. Imaging Graph. 2015, 42, 38–43. [Google Scholar] [CrossRef] [PubMed]
- Patra, D.; Gregor, I.; Enderlein, J.; Sauer, M. Defocused imaging of quantum-dot angular distribution of radiation. Appl. Phys. Lett. 2005, 87, 101103. [Google Scholar] [CrossRef]
- Patra, D.; Gregor, I.; Enderlein, J. Image Analysis of Defocused Single-Molecule Images for Three-Dimensional Molecule Orientation Studies. J. Phys. Chem. A 2004, 108, 6836–6841. [Google Scholar] [CrossRef]
- di Francia, G.T. Resolving Power and Information. J. Opt. Soc. Am. 1955, 45, 497–501. [Google Scholar] [CrossRef]
- Scattarella, F.; Massaro, G.; Stoklasa, B.; D’Angelo, M.; Pepe, F.V. Periodic patterns for resolution limit characterization of correlation plenoptic imaging. Eur. Phys. J. Plus 2023, 138, 710. [Google Scholar] [CrossRef]
- Wani, P.; Usmani, K.; Javidi, B. Generalization of the two-point-source resolution criterion in the presence of noise. Opt. Lett. 2023, 48, 4009–4012. [Google Scholar] [CrossRef] [PubMed]
- Diffraction and Interference in Image Formation. In Fundamentals of Light Microscopy and Electronic Imaging; John Wiley & Sons, Ltd.: Hoboken, NJ, USA, 2012; Chapter 5; pp. 79–101. [CrossRef]
- Tan, W.; Huang, X.; Jiang, T.; Nan, S.; Fu, Q.; Zou, X.; Bai, Y.; Fu, X. Critical resolution in ghost imaging system with pseudo-thermal light. Results Phys. 2022, 32, 105104. [Google Scholar] [CrossRef]
- Goodman, J.W. Introduction to Fourier Optics, 3rd ed.; Goodman, J.W., Ed.; Roberts & Co.: Englewood, CO, USA, 2005. [Google Scholar]
- Aert, S.V.; Dyck, D.V.; den Dekker, A.J. Resolution of coherent and incoherent imaging systems reconsidered— Classical criteria and a statistical alternative. Opt. Express 2006, 14, 3830–3839. [Google Scholar] [CrossRef]


Disclaimer/Publisher’s Note: The statements, opinions and data contained in all publications are solely those of the individual author(s) and contributor(s) and not of MDPI and/or the editor(s). MDPI and/or the editor(s) disclaim responsibility for any injury to people or property resulting from any ideas, methods, instructions or products referred to in the content. |
© 2024 by the authors. Licensee MDPI, Basel, Switzerland. This article is an open access article distributed under the terms and conditions of the Creative Commons Attribution (CC BY) license (https://creativecommons.org/licenses/by/4.0/).
Share and Cite
Massaro, G.; de Gioia, S.; Brunetti, A.; Pepe, F.V.; D’Angelo, M. Two-Point Resolution of a Defocused Imaging System Based on Spatially Coherent Illumination. Photonics 2024, 11, 1203. https://doi.org/10.3390/photonics11121203
Massaro G, de Gioia S, Brunetti A, Pepe FV, D’Angelo M. Two-Point Resolution of a Defocused Imaging System Based on Spatially Coherent Illumination. Photonics. 2024; 11(12):1203. https://doi.org/10.3390/photonics11121203
Chicago/Turabian StyleMassaro, Gianlorenzo, Sergio de Gioia, Adalberto Brunetti, Francesco V. Pepe, and Milena D’Angelo. 2024. "Two-Point Resolution of a Defocused Imaging System Based on Spatially Coherent Illumination" Photonics 11, no. 12: 1203. https://doi.org/10.3390/photonics11121203
APA StyleMassaro, G., de Gioia, S., Brunetti, A., Pepe, F. V., & D’Angelo, M. (2024). Two-Point Resolution of a Defocused Imaging System Based on Spatially Coherent Illumination. Photonics, 11(12), 1203. https://doi.org/10.3390/photonics11121203

