Generation of Second-Order Sideband through Nonlinear Magnetostrictive Interaction
Abstract
1. Introduction
2. Physical Setup and Dynamical Equation
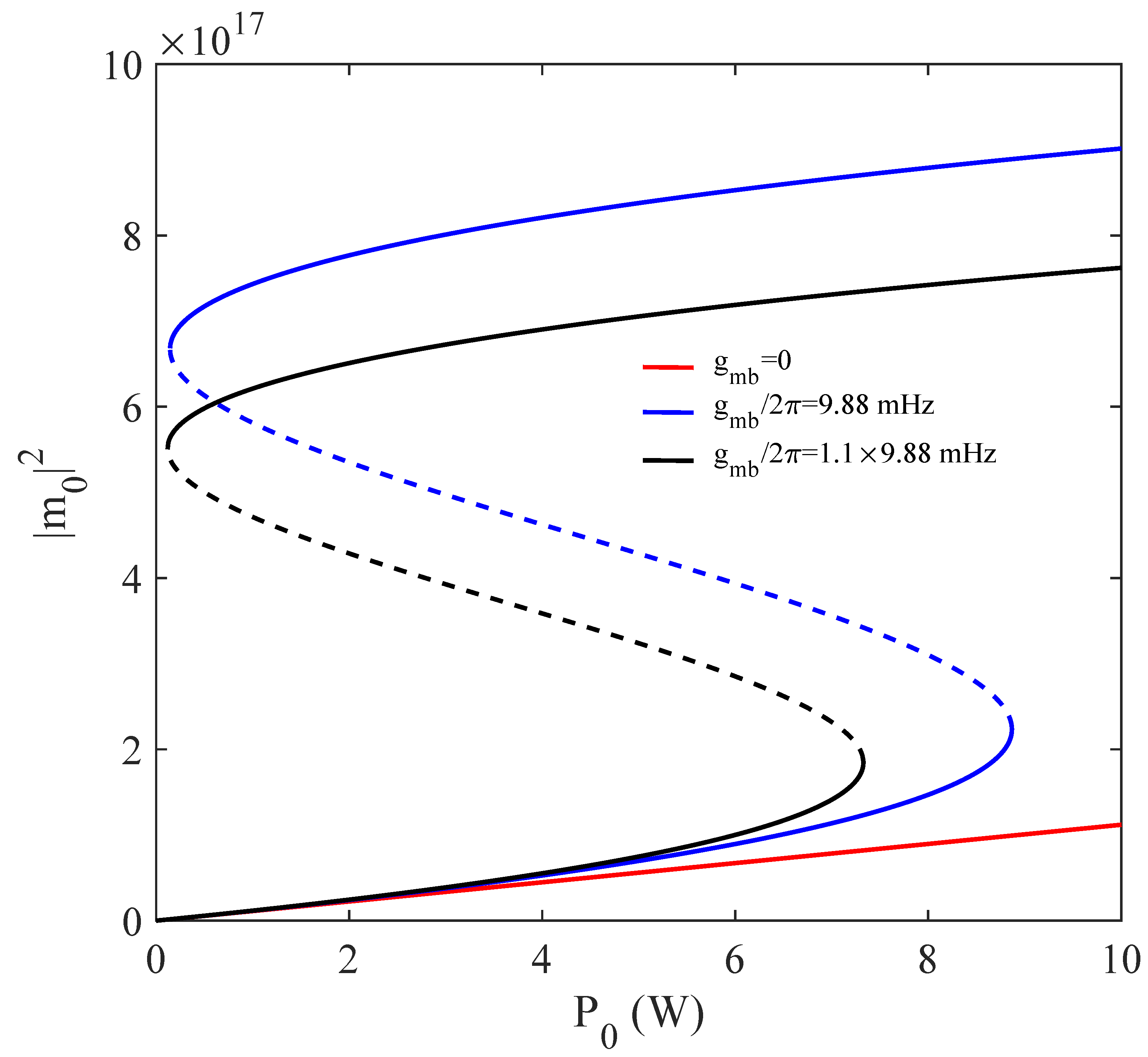
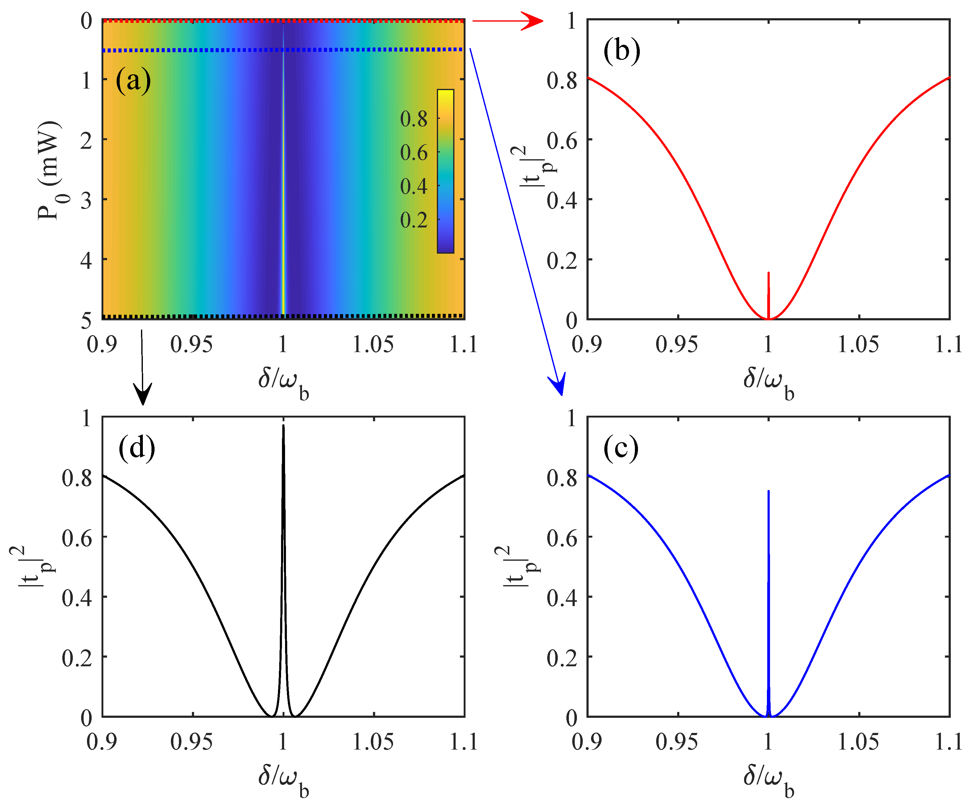
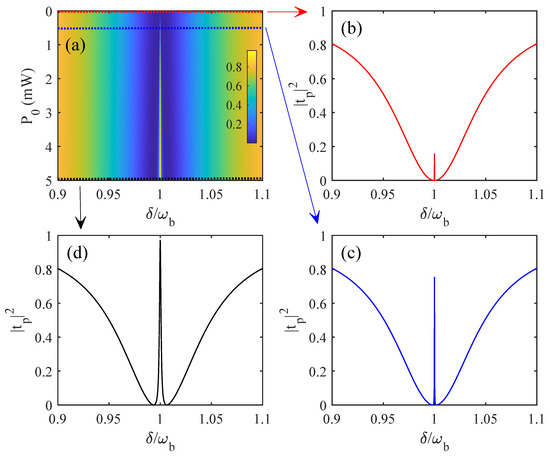
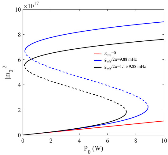
3. Results and Discussion
4. Conclusions
Author Contributions
Funding
Institutional Review Board Statement
Informed Consent Statement
Data Availability Statement
Conflicts of Interest
References
- Chumak, A.V.; Vasyuchka, V.I.; Serga, A.A.; Hillebrands, B. Magnon spintronics. Nat. Phys. 2015, 11, 453–461. [Google Scholar] [CrossRef]
- Soykal, O.O.; Flatte, M.E. Strong field interactions between a nanomagnet and a photonic cavity. Phys. Rev. Lett. 2010, 104, 077202. [Google Scholar] [CrossRef]
- Tabuchi, Y.; Ishino, S.; Ishikawa, T.; Yamazaki, R.; Usami, K.; Nakamura, Y. Hybridizing ferromagnetic magnons and microwave photons in the quantum limit. Phys. Rev. Lett. 2014, 113, 083603. [Google Scholar] [CrossRef]
- Zhang, X.; Zou, C.-L.; Jiang, L.; Tang, H.X. Strongly coupled magnons and cavity microwave photons. Phys. Rev. Lett. 2014, 113, 156401. [Google Scholar] [CrossRef] [PubMed]
- Bai, L.; Harder, M.; Chen, Y.P.; Fan, X.; Xiao, J.Q.; Hu, C.-M. Spin pumping in electrodynamically coupled magnon-photon systems. Phys. Rev. Lett. 2015, 114, 227201. [Google Scholar] [CrossRef]
- Wang, Y.-P.; Zhang, G.-Q.; Zhang, D.; Li, T.-F.; Hu, C.-M.; You, J.Q. Bistability of cavity magnon-polaritons. Phys. Rev. Lett. 2018, 120, 057202. [Google Scholar] [CrossRef] [PubMed]
- Zhang, D.; Wang, X.-M.; Li, T.-F.; Luo, X.-Q.; Wu, W.; Nori, F.; You, J.Q. Cavity quantum electrodynamics with ferromagnetic magnons in a small yttrium-iron-garnet sphere. NPJ Quantum Inf. 2015, 1, 15014. [Google Scholar] [CrossRef]
- Zhang, X.; Zou, C.-L.; Zhu, N.; Marquardt, F.; Jiang, L.; Tang, H.X. Magnon dark modes and gradient memory. Nat. Commun. 2015, 6, 8914. [Google Scholar] [CrossRef] [PubMed]
- Osada, A.; Hisatomi, R.; Noguchi, A.; Tabuchi, Y.; Yamazaki, R.; Usami, K.; Sadgrove, M.; Yalla, R.; Nomura, M.; Nakamura, Y. Cavity Optomagnonics with Spin-Orbit Coupled Photons. Phys. Rev. Lett. 2016, 116, 223601. [Google Scholar] [CrossRef] [PubMed]
- Kusminskiy, S.V.; Tang, H.X.; Marquardt, F. Coupled spin-light dynamics in cavity optomagnonics. Phys. Rev. A 2016, 94, 033821. [Google Scholar] [CrossRef]
- Zhang, X.; Zhu, N.; Zou, C.-L.; Tang, H.X. Optomagnonic Whispering Gallery Microresonators. Phys. Rev. Lett. 2016, 117, 123605. [Google Scholar] [CrossRef]
- Sharma, S.; Rameshti, B.Z.; Blanter, Y.M.; Bauer, G.E.W. Optimal mode matching in cavity optomagnonics. Phys. Rev. B 2019, 99, 214423. [Google Scholar] [CrossRef]
- Xu, Y.-J.; Song, J. Nonreciprocal magnon laser. Opt. Lett. 2021, 46, 5276–5279. [Google Scholar] [CrossRef]
- Liu, Z.-X.; Li, Y.-Q. Optomagnonic frequency combs. Photon. Res. 2022, 10, 2786–2793. [Google Scholar] [CrossRef]
- Fan, Z.; Zuo, X.; Qian, H.; Li, J. Proposal for optomagnonic teleportation and entanglement swapping. Photonics 2023, 10, 739. [Google Scholar] [CrossRef]
- Tabuchi, Y.; Ishino, S.; Noguchi, A.; Ishikawa, T.; Yamazaki, R.; Usami, K.; Nakamura, Y. Coherent coupling between a ferromagnetic magnon and a superconducting qubit. Science 2015, 349, 405. [Google Scholar] [CrossRef] [PubMed]
- Lachance-Quirion, D.; Tabuchi, Y.; Ishino, S.; Noguchi, A.; Ishikawa, T.; Yamazaki, R.; Nakamura, Y. Resolving quanta of collective spin excitations in a millimeter-sized ferromagnet. Sci. Adv. 2017, 3, e1603150. [Google Scholar] [CrossRef] [PubMed]
- Liu, Z.-X.; Xiong, H.; Wu, Y. Magnon blockade in a hybrid ferromagnet-superconductor quantum system. Phys. Rev. B 2019, 100, 134421. [Google Scholar] [CrossRef]
- Spencer, E.G.; LeCraw, R.C. Magnetoacoustic resonance in yttrium iron garnet. Phys. Rev. Lett. 1958, 1, 241–243. [Google Scholar] [CrossRef]
- Zhang, X.; Zou, C.-L.; Jiang, L.; Tang, H.X. Cavity magnomechanics. Sci. Adv. 2016, 2, 1501286. [Google Scholar] [CrossRef]
- Li, J.; Zhu, S.-Y. Entangling two magnon modes via magnetostrictive interaction. New J. Phys. 2019, 21, 085001. [Google Scholar] [CrossRef]
- Xu, G.-T.; Zhang, M.; Wang, Z.-Y.; Wang, Y.; Liu, Y.-X.; Shen, Z.; Guo, G.-C.; Dong, C.-H. Ringing spectroscopy in the magnomechanical system. Fundam. Res. 2023, 3, 45–49. [Google Scholar] [CrossRef]
- Li, J.; Gröblacher, S. Entangling the vibrational modes of two massive ferromagnetic spheres using cavity magnomechanics. Quantum Sci. Technol. 2021, 6, 024005. [Google Scholar] [CrossRef]
- Potts, C.A.; Varga, E.; Bittencourt, V.A.S.V.; Kusminskiy, S.V.; Davis, J.P. Dynamical backaction magnomechanics. Phys. Rev. X 2021, 11, 031053. [Google Scholar] [CrossRef]
- Li, J.; Zhu, S.-Y.; Agarwal, G.S. Magnon-photon-phonon entanglement in cavity magnomechanics. Phys. Rev. Lett. 2018, 121, 203601. [Google Scholar] [CrossRef] [PubMed]
- Yu, M.; Shen, H.; Li, J. Magnetostrictively induced stationary entanglement between two microwave fields. Phys. Rev. Lett. 2020, 124, 213604. [Google Scholar] [CrossRef]
- Fan, Z.-Y.; Qiu, L.; Gröblacher, S.; Li, J. Microwave-optics entanglement via cavity optomagnomechanics. arXiv 2022, arXiv:2208.10703. [Google Scholar]
- Shen, R.-C.; Li, J.; Fan, Z.-Y.; Wang, Y.-P.; You, J.Q. Mechanical bistability in Kerr-modified cavity magnomechanics. Phys. Rev. Lett. 2022, 129, 123601. [Google Scholar] [CrossRef]
- Xu, Y.; Liu, J.-Y.; Liu, W.; Xiao, Y.-F. Nonreciprocal phonon laser in a spinning microwave magnomechanical system. Phys. Rev. A 2021, 103, 053501. [Google Scholar] [CrossRef]
- Yang, Z.-B.; Liu, J.-S.; Zhu, A.-D.; Liu, H.-Y.; Yang, R.-C. Nonreciprocal transmission and nonreciprocal entanglement in a spinning microwave magnomechanical system. Ann. Phys. 2020, 532, 2000196. [Google Scholar] [CrossRef]
- Kong, C.; Liu, J.; Xiong, H. Nonreciprocal microwave transmission under the joint mechanism of phase modulation and magnon Kerr nonlinearity effect. Front. Phys. 2023, 18, 12501. [Google Scholar] [CrossRef]
- Wang, X.; Huang, K.-W.; Xiong, H. Nonreciprocal sideband responses in a spinning microwave magnomechanical system. Opt. Express 2023, 31, 5492–5506. [Google Scholar] [CrossRef]
- Li, J.; Wang, Y.-P.; You, J.Q.; Zhu, S.-Y. Squeezing microwaves by magnetostriction. Natl. Sci. Rev. 2023, 10, nwac247. [Google Scholar] [CrossRef]
- Xiong, H. Magnonic frequency combs based on the resonantly enhanced magnetostrictive effect. Fundam. Res. 2023, 3, 8–14. [Google Scholar] [CrossRef]
- Liu, Z.-X.; Peng, J.; Xiong, H. Generation of magnonic frequency combs via a two-tone microwave drive. Phys. Rev. A 2023, 107, 053708. [Google Scholar] [CrossRef]
- Xu, G.-T.; Zhang, M.; Wang, Y.; Shen, Z.; Guo, G.-C.; Dong, C.-H. Magnonic frequency comb in the magnomechanical resonator. arXiv 2023, arXiv:2306.07985. [Google Scholar]
- Zhao, J.; Liu, Y.; Wu, L.; Duan, C.-K.; Liu, Y.-X.; Du, J. Observation of anti-PT-symmetry phase transition in the magnon-cavity-magnon coupled system. Phys. Rev. Appl. 2020, 13, 014053. [Google Scholar] [CrossRef]
- Wang, B.; Liu, Z.-X.; Kong, C.; Xiong, H.; Wu, Y. Magnon-induced transparency and amplification in PT-symmetric cavity-magnon system. Opt. Express 2018, 26, 20248–20257. [Google Scholar] [CrossRef] [PubMed]
- Wang, B.; Jia, X.; Lu, X.-H.; Xiong, H. PT-symmetric magnon laser in cavity optomagnonics. Phys. Rev. A 2022, 105, 053705. [Google Scholar] [CrossRef]
- Zhang, G.-Q.; Chen, Z.; Xu, D.; Shammah, N.; Liao, M.; Li, T.-F.; Tong, L.; Zhu, S.-Y.; Nori, F.; You, J.Q. Exceptional point and cross-relaxation effect in a hybrid quantum system. PRX Quantum 2021, 2, 020307. [Google Scholar] [CrossRef]
- Wang, M.; Zhang, D.; Li, X.H.; Wu, Y.Y.; Sun, Z.Y. Magnon chaos in PT-symmetric cavity magnomechanics. IEEE Photon. J. 2019, 11, 5300108. [Google Scholar] [CrossRef]
- Huai, S.-N.; Liu, Y.-L.; Zhang, J.; Yang, L.; Liu, Y.-X. Enhanced sideband responses in a PT-symmetric-like cavity magnomechanical system. Phys. Rev. A 2019, 99, 043803. [Google Scholar] [CrossRef]
- Lu, T.-X.; Zhang, H.; Zhang, Q.; Jing, H. Exceptional-point-engineered cavity magnomechanics. Phys. Rev. A 2021, 103, 063708. [Google Scholar] [CrossRef]
- Holstein, T.; Primakoff, H. Field dependence of the intrinsic domain magnetization of a ferromagnet. Phys. Rev. 1940, 58, 1098. [Google Scholar] [CrossRef]
- Aspelmeyer, M.; Kippenberg, T.J.; Marquardt, F. Cavity optomechanics. Rev. Mod. Phys. 2014, 86, 1391. [Google Scholar] [CrossRef]
- Xiong, H.; Wu, Y. Fundamentals and applications of optomechanically induced transparency. Appl. Phys. Rev. 2018, 5, 031305. [Google Scholar] [CrossRef]
- Gardiner, C.W.; Zoller, P. Quantum Noise; Springer: Berlin, Germany, 2000. [Google Scholar]
- Walls, D.F.; Milburn, G.J. Quantum Optics; Springer: Berlin, Germany, 1994. [Google Scholar]
- Wang, B.; Lu, X.-H.; Jia, X.; Xiong, H. Coherent stimulated amplification of the skyrmion breathing. Chaos Solitons Fractals 2023, 171, 113484. [Google Scholar] [CrossRef]
- Xiong, H.; Si, L.-G.; Zheng, A.-S.; Yang, X.; Wu, Y. Higher-order sidebands in optomechanically induced transparency. Phys. Rev. A 2012, 86, 013815. [Google Scholar] [CrossRef]
- Ruzicka, B.A.; Werake, L.K.; Xu, G.; Khurgin, J.B.; Sherman, E.Y.; Wu, J.Z.; Zhao, H. Second-harmonic generation induced by electric currents in GaAs. Phys. Rev. Lett. 2012, 108, 077403. [Google Scholar] [CrossRef]
- Velotta, R.; Hay, N.; Mason, M.B.; Castillejo, M.; Marangos, J.P. High-order harmonic generation in laser-aligned molecules. Phys. Rev. A 2002, 65, 053805. [Google Scholar]
- Chen, H.-J. Multiple-Fano-resonance-induced fast and slow light in the hybrid nanomechanical-resonator system. Phys. Rev. A 2021, 104, 013708. [Google Scholar] [CrossRef]
- Chen, H.-J. The fast–slow light transitions induced by Fano resonance in multiple nanomechanical resonators. Opt. Laser Technol. 2023, 161, 109242. [Google Scholar] [CrossRef]
- Yang, Q.; Yan, R.; Fan, C.; Chen, H.; Liu, F.; Liu, S. A magneto-mechanical strongly coupled model for giant magnetostrictive force sensor. IEEE Trans. Magn. 2007, 43, 1437–1440. [Google Scholar] [CrossRef]
- Kim, Y.Y.; Kwon, Y.E. Review of magnetostrictive patch transducers and applications in ultrasonic nondestructive testing of waveguides. Ultrasonics 2015, 62, 3–19. [Google Scholar] [CrossRef] [PubMed]
- Chen, L.; Zhu, Y.; Ling, J.; Feng, Z. Theoretical modeling and experimental evaluation of a magnetostrictive actuator with radial-nested stacked configuration. Nonlinear Dyn. 2022, 109, 1277–1293. [Google Scholar] [CrossRef]






Disclaimer/Publisher’s Note: The statements, opinions and data contained in all publications are solely those of the individual author(s) and contributor(s) and not of MDPI and/or the editor(s). MDPI and/or the editor(s) disclaim responsibility for any injury to people or property resulting from any ideas, methods, instructions or products referred to in the content. |
© 2023 by the authors. Licensee MDPI, Basel, Switzerland. This article is an open access article distributed under the terms and conditions of the Creative Commons Attribution (CC BY) license (https://creativecommons.org/licenses/by/4.0/).
Share and Cite
Yang, L.; Wang, B.; Xiong, H. Generation of Second-Order Sideband through Nonlinear Magnetostrictive Interaction. Photonics 2023, 10, 886. https://doi.org/10.3390/photonics10080886
Yang L, Wang B, Xiong H. Generation of Second-Order Sideband through Nonlinear Magnetostrictive Interaction. Photonics. 2023; 10(8):886. https://doi.org/10.3390/photonics10080886
Chicago/Turabian StyleYang, Lei, Bao Wang, and Hao Xiong. 2023. "Generation of Second-Order Sideband through Nonlinear Magnetostrictive Interaction" Photonics 10, no. 8: 886. https://doi.org/10.3390/photonics10080886
APA StyleYang, L., Wang, B., & Xiong, H. (2023). Generation of Second-Order Sideband through Nonlinear Magnetostrictive Interaction. Photonics, 10(8), 886. https://doi.org/10.3390/photonics10080886
