Statistical Analysis of Single-Order Diffraction Grating with Quasi-Random Structures
Abstract
1. Introduction
2. Principles
3. Results and Discussion
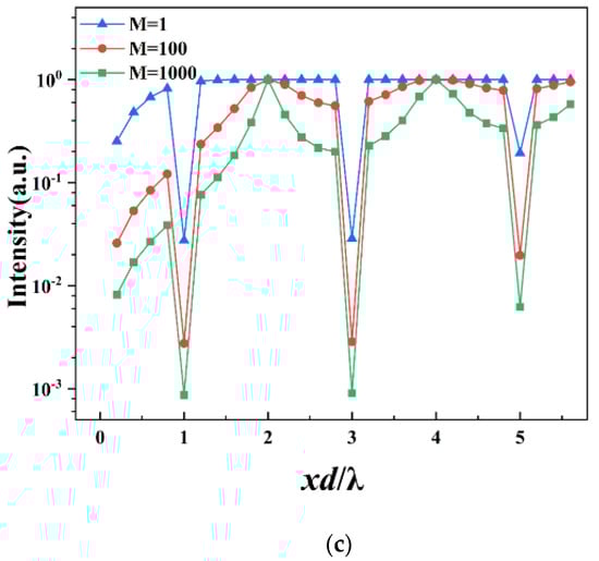
3.1. Quasi-Random Rectangular Distribution
3.2. Quasi-Random Sinusoidal Distribution
4. Conclusions
Author Contributions
Funding
Institutional Review Board Statement
Informed Consent Statement
Data Availability Statement
Conflicts of Interest
References
- Sokolov, A.; Eggenstein, F.; Erko, A.; Follath, R.; Künstner, S.; Mast, M.; Schmidt, J.; Senf, F.; Siewert, F.; Zeschke, T.; et al. An XUV optics beamline at BESSY II. In Advances in Metrology for X-Ray and EUV Optics V; SPIE: Bellingham, WA, USA, 2014; Volume 9206, pp. 138–150. [Google Scholar]
- Martínez-Criado, G.; Tucoulou, R.; Cloetens, P.; Bleuet, P.; Bohic, S.; Cauzid, J.; Kieffer, I.; Kosior, E.; Labouré, S.; Petitgirard, S.; et al. Status of the hard X-ray microprobe beamline ID22 of the European Synchrotron Radiation Facility. J. Synchrotron Radiat. 2012, 19, 10–18. [Google Scholar] [CrossRef] [PubMed]
- Raabe, J.; Tzvetkov, G.; Flechsig, U.; Böge, M.; Jaggi, A.; Sarafimov, B.; Vernooij, M.G.C.; Huthwelker, T.; Ade, H.; Kilcoyne, D.; et al. PolLux: A new facility for soft x-ray Spectromicroscopy at the Swiss Light Source. Rev. Sci. Instrum. 2008, 79, 113704. [Google Scholar] [CrossRef] [PubMed]
- Frommherz, U.; Raabe, J.; Watts, B.; Stefani, R.; Ellenberger, U. Higher Order Suppressor (HOS) for the PolLux Microspectroscope Beamline at the Swiss Light Source SLS. In AIP Conference Proceedings; American Institute of Physics: College Park, MD, USA, 2010; p. 1234. [Google Scholar]
- Born, M.; Wolf, E. Principles of Optics; Pergamon: London, UK, 1980; p. 411. [Google Scholar]
- Belkhou, R.; Stanescu, S.; Swaraj, S.; Besson, A.; Ledoux, M.; Hajlaoui, M.; Dalle, D. HERMES: A soft X-ray beamline dedicated to X-ray microscopy. J. Synchrotron Radiat. 2015, 22, 968–979. [Google Scholar] [CrossRef] [PubMed]
- Johnson, M.; Bodi, A.; Schulz, L.; Gerber, T. Vacuum ultraviolet beamline at the Swiss Light Source for chemical dynamics studies. In Nuclear Instruments and Methods in Physics Research Section A: Accelerators, Spectrometers, Detectors and Associated Equipment; Elsevier: Amsterdam, The Netherlands, 2009; Volume 610, pp. 597–603. [Google Scholar]
- Wei, L.; Chen, Y.; Wang, S.; Fan, Q.; Zhang, Q.; Qian, F.; Shen, Z.; Zhang, Z.; Hua, Y.; Zhu, X.; et al. Suppression of higher diffraction orders in the extreme ultraviolet range by a reflective quasi-random square nano-pillar array. Rev. Sci. Instrum. 2018, 89, 093110. [Google Scholar] [CrossRef] [PubMed]
- Attwood, D. Soft X-ray and Extreme Ultraviolet Radiation:Principles and Applications; Cambridge University Press: Cambridge, MA, USA, 1999; p. 55. [Google Scholar]
- Waki, I.; Hirai, Y.; Momose, A.; Hayakawa, K. Higher-harmonics suppressor for soft x rays. Rev. Sci. Instrum. 1989, 60, 2072–2075. [Google Scholar] [CrossRef]
- Toto-Arellano, N.I.; Rodriguez-Zurita, G.; Meneses-Fabian, C.; Vazquez-Castillo, J.F. Phase shifts in the Fourier spectra of phase gratings and phase grids: An application for one-shot phase-shifting interferometry. Opt. Express 2008, 16, 19330–19341. [Google Scholar] [CrossRef] [PubMed]
- Cao, L.F.; Förster, E.; Fuhrmann, A.; Wang, C.K.; Kuang, L.Y.; Liu, S.Y.; Ding, Y.K. Single order x-ray diffraction with binary sinusoidal transmission grating. Appl. Phys. Lett. 2007, 90, 53501. [Google Scholar] [CrossRef]
- Zang, H.; Miao, Z.; Liang, E.; Li, Y.; Fan, Q.; Wei, L.; Zhou, W.; Cao, L. Single-focus phase singularity generated by spiral zone plate with quasi-random distributed quantum dots. J Phys.D 2022, 55, 284003. [Google Scholar] [CrossRef]
- Zang, H.; Miao, Z.; Wang, M.; Fan, Q.; Wei, L.; Wang, C.; Zhou, W.; Hua, Y.; Cao, L.; Xue, X. Generation of single-focus phase singularity by the annulus-quadrangle-element coded binary square spiral zone plates. Sci. China Phys. Mech. Astron. 2022, 65, 7. [Google Scholar] [CrossRef]
- Liu, Y.; Zhu, X.; Gao, Y.; Zhang, W.; Cao, L.J.S.R. Quasi suppression of higher- order diffractions with inclined rectangular apertures gratings. Sci. Rep. 2015, 5, 16502. [Google Scholar] [CrossRef] [PubMed]
- Fan, Q.; Liu, Y.; Wang, C.; Yang, Z.; Cao, L. Single-order diffraction grating designed by trapezoidal transmission function. Opt. Lett. 2015, 40, 2657–2660. [Google Scholar] [CrossRef] [PubMed]
- Zhang, Q.Q.; Wei, L.; Yang, Z.H.; Qian, F.; Fan, Q.P.; Zhang, B.; Gu, Y.Q.; Cao, L.F. Single order soft X-ray diffraction with quasi-random radius pinhole array spectroscopic photon sieves. Chin. Phys. B 2014, 4, 044215. [Google Scholar] [CrossRef]
- Xie, C.; Zhu, X.; Li, H.; Shi, L.; Wang, Y. Feasibility study of hard-x-ray nanofocusing above 20 keV using compound photon sieves. Opt. Lett. 2010, 35, 4048–4050. [Google Scholar] [CrossRef] [PubMed]
- Xie, C.; Zhu, X.; Li, H.; Shi, L.; Hua, Y.; Liu, M. Toward two-dimensional nanometer resolution hard X-ray differential-interference-contrast imaging using modified photon sieves. Opt. Lett. 2012, 37, 749–751. [Google Scholar] [CrossRef] [PubMed]
- Wang, C.; Kuang, L.; Wang, Z.; Liu, S.; Ding, Y.; Cao, L.; Foerster, E.; Wang, D.; Xie, C.; Ye, T. Characterization of the diffraction properties of quantum-dot-array diffraction grating. Rev. Sci. Instrum. 2007, 78, 053503. [Google Scholar] [CrossRef] [PubMed]
- Wilson, D.W.; Maker, P.D.; Muller, R.E.; Mouroulis, P.; Backlund, J. Recent advances in blazed grating fabrication by electron-beam lithography. In Proceedings of the Current Developments in Lens Design and Optical Engineering IV, San Diego, CA, USA, 3–4 August 2003. [Google Scholar]
- Spector, S.; Jacobsen, C.; Tennant, D. Process optimization for production of sub-20 nm soft X-ray zone plates. J. Vac. Sci. Technol. B 1997, 15, 2872–2876. [Google Scholar] [CrossRef]
- Martins, E.R.; Li, J.; Liu, Y.; Depauw, V.; Chen, Z.; Zhou, J.; Krauss, T.F. Deterministic quasi-random nanostructures for photon control. Nat. Commun. 2013, 4, 2665. [Google Scholar] [CrossRef] [PubMed]
- Li, H.; Shi, L.; Wei, L.; Xie, C.; Cao, L. Higher-order diffraction suppression of free-standing quasiperiodic nanohole arrays in the x-ray region. Appl. Phys. Lett. 2017, 110, 041104. [Google Scholar] [CrossRef]
- Wei, L.; Qian, F.; Yang, Z.; Zhang, Q.; Chen, Y.; Wu, Y.; Fan, Q.; Cao, L. Diffraction properties of quasi-random pinhole arrays: Suppression of higher orders and background fluctuations. J. Mod. Opt. 2017, 64, 2420–2427. [Google Scholar] [CrossRef]
- Gao, Y.; Zhou, W.; Wei, L.; Cao, L.; Zhu, X.; Zhao, Z.; Gu, Y.; Zhang, B.; Xie, C. Diagnosis of the soft X-ray spectrum emitted by laser-plasmas using a spectroscopic photon sieve. Laser Part. 2012, 30, 313–317. [Google Scholar] [CrossRef]







Disclaimer/Publisher’s Note: The statements, opinions and data contained in all publications are solely those of the individual author(s) and contributor(s) and not of MDPI and/or the editor(s). MDPI and/or the editor(s) disclaim responsibility for any injury to people or property resulting from any ideas, methods, instructions or products referred to in the content. |
© 2023 by the authors. Licensee MDPI, Basel, Switzerland. This article is an open access article distributed under the terms and conditions of the Creative Commons Attribution (CC BY) license (https://creativecommons.org/licenses/by/4.0/).
Share and Cite
Zang, H.; Cui, Z.; Wei, L.; Liu, H.; Fan, Q.; He, Y.; Sun, B.; Chen, J.; Cao, L. Statistical Analysis of Single-Order Diffraction Grating with Quasi-Random Structures. Photonics 2023, 10, 303. https://doi.org/10.3390/photonics10030303
Zang H, Cui Z, Wei L, Liu H, Fan Q, He Y, Sun B, Chen J, Cao L. Statistical Analysis of Single-Order Diffraction Grating with Quasi-Random Structures. Photonics. 2023; 10(3):303. https://doi.org/10.3390/photonics10030303
Chicago/Turabian StyleZang, Huaping, Zhihao Cui, Lai Wei, Hongjie Liu, Quanping Fan, Yangfan He, Bin Sun, Jihui Chen, and Leifeng Cao. 2023. "Statistical Analysis of Single-Order Diffraction Grating with Quasi-Random Structures" Photonics 10, no. 3: 303. https://doi.org/10.3390/photonics10030303
APA StyleZang, H., Cui, Z., Wei, L., Liu, H., Fan, Q., He, Y., Sun, B., Chen, J., & Cao, L. (2023). Statistical Analysis of Single-Order Diffraction Grating with Quasi-Random Structures. Photonics, 10(3), 303. https://doi.org/10.3390/photonics10030303

