Olive Oil Dregs as a Novel Source of Natural Antioxidants: Extraction Optimization towards a Sustainable Process
Abstract
1. Introduction
2. Materials and Methods
2.1. Chemical
2.2. Olive Oil Dregs
2.3. Extractions of Antioxidants from OOD
2.4. Total Phenolic Content
2.5. Identification and Quantification of Hydroxytyrosol by Reverse Phase High-Performance Liquid Chromatography
2.6. Antioxidant Activity
2.6.1. DPPH Assay
2.6.2. Superoxide Scavenging Assay
2.6.3. Ferric Reducing Antioxidant Power
2.7. Preparation of Sunflower Oil Samples and Determination of K232 and K270 Values
2.8. Statistical Analysis
3. Results and Discussion
3.1. Selection of OOD with the Highest Polyphenol and Hydroxytyrosol Contents
3.2. Optimization of the Extraction Method
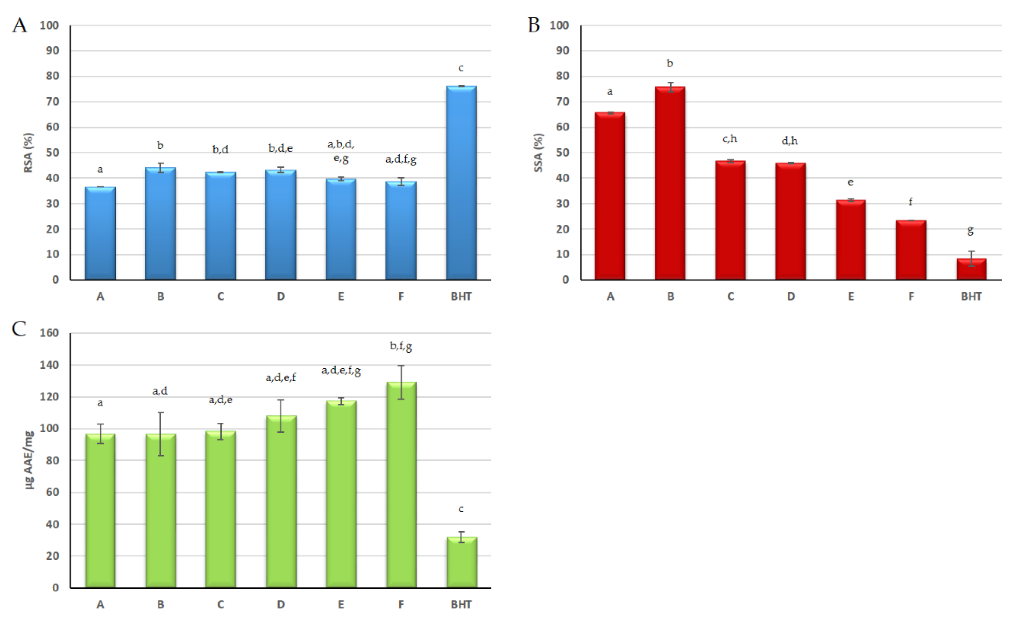
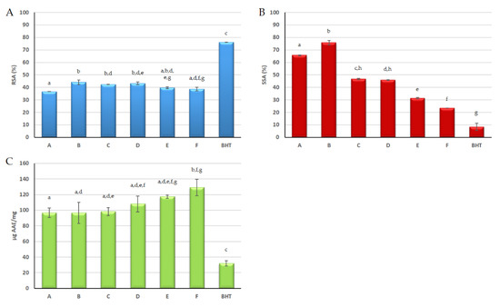
3.3. Antioxidant Activity of OOD Extracts
3.4. Protection Effect of OOD Extracts on Accelerated Oxidation of Sunflower Oil
4. Conclusions
Author Contributions
Funding
Data Availability Statement
Acknowledgments
Conflicts of Interest
References
- Mellinas, C.; Ramos, M.; Jiménez, A.; Garrigós, M.C. Recent Trends in the Use of Pectin from Agro-Waste Residues as a Natural-Based Biopolymer for Food Packaging Applications. Materials 2020, 13, 673. [Google Scholar] [CrossRef]
- Squillaci, G.; Apone, F.; Sena, L.M.; Carola, A.; Tito, A.; Bimonte, M.; De Lucia, A.; Colucci, G.; La Cara, F.; Morana, A. Chestnut (Castanea sativa Mill.) industrial wastes as a valued bioresource for the production of active ingredients. Process Biochem. 2018, 64, 228–236. [Google Scholar] [CrossRef]
- FAOSTAT, Food and Agriculture Organization of the United States. Available online: http://www.fao.org/faostat/en/#data (accessed on 11 May 2021).
- Khdair, A.; Abu-Rumman, G. Sustainable Environmental Management and Valorization Options for Olive Mill Byproducts in the Middle East and North Africa (MENA) Region. Processes 2020, 8, 671. [Google Scholar] [CrossRef]
- Bulotta, S.; Celano, M.; Lepore, S.M.; Montalcini, T.; Pujia, A.; Russo, D. Beneficial effects of the olive oil phenolic components oleuropein and hydroxytyrosol: Focus on protection against cardiovascular and metabolic diseases. J. Transl. Med. 2014, 12, 219. [Google Scholar] [CrossRef] [PubMed]
- Sciubba, F.; Chronopoulou, L.; Pizzichini, D.; Lionetti, V.; Fontana, C.; Aromolo, R.; Socciarelli, S.; Gambelli, L.; Bartolacci, B.; Finotti, E.; et al. Olive Mill Wastes: A Source of Bioactive Molecules for Plant Growth and Protection against Pathogens. Biology 2020, 9, 450. [Google Scholar] [CrossRef] [PubMed]
- Niaounakis, M.; Halvadakis, C.P. Olive Processing Waste Management Literature Review and Patent Survey, 2nd ed.; Waste Management Series; Elsevier: Amsterdam, The Netherlands, 2006; Volume 5, pp. 23–64. [Google Scholar]
- Elkacmi, R.; Bennajah, M. Advanced oxidation technologies for the treatment and detoxification of olive mill wastewater: A general review. J. Water Reuse Desal. 2019, 9, 463–505. [Google Scholar] [CrossRef]
- Belaqziz, M.; Tan, S.P.; El-Abbassi, A.; Kiai, H.; Hafidi, A.; O’Donovan, O.; McLoughlin, P. Assessment of the antioxidant and antibacterial activities of different olive processing wastewaters. PLoS ONE 2017, 12, e0182622. [Google Scholar] [CrossRef]
- Thanos, D.; Maragkaki, A.; Venieri, D. Enhanced Biogas Production in Pilot Digesters Treating a Mixture of Olive Mill Wastewater and Agro-industrial or Agro-livestock By-Products in Greece. Waste Biomass Valor. 2021, 12, 135–143. [Google Scholar] [CrossRef]
- Vitali Čepo, D.; Radić, K.; Jurmanović, S.; Jug, M.; Grdić Rajković, M.; Pedisić, S.; Moslavac, T.; Albahari, P. Valorization of Olive Pomace-Based Nutraceuticals as Antioxidants in Chemical, Food, and Biological Models. Molecules 2018, 23, 2070. [Google Scholar] [CrossRef]
- García Martín, J.F.; Cuevas, M.; Feng, C.H.; Mateos, P.A.; García, M.T.; Sánchez, S. Energetic Valorisation of Olive Biomass: Olive-Tree Pruning, Olive Stones and Pomaces. Processes 2020, 8, 511. [Google Scholar] [CrossRef]
- Talhaoui, N.; Taamalli, A.; Gómez-Caravaca, A.M.; Fernández-Gutiérrez, A.; Segura-Carretero, A. Phenolic compounds in olive leaves: Analytical determination, biotic and abiotic influence, and health benefits. Food Res. Int. 2015, 77, 92–108. [Google Scholar] [CrossRef]
- Masella, P.; Guerrini, L.; Parenti, A. The spent cake from olive oil filtration as biomass feedstock. Agric. Eng. Int. CIGR J. 2015, 14, 156–160. [Google Scholar]
- Lozano-Sánchez, J.; Castro-Puyana, M.; Mendiola, J.A.; Segura-Carretero, A.; Cifuentes, A.; Ibáñez, E. Recovering Bioactive Compounds from Olive Oil Filter Cake by Advanced Extraction Techniques. Int. J. Mol. Sci. 2014, 15, 16270–16283. [Google Scholar] [CrossRef] [PubMed]
- Visioli, F.; Bellomo, G.; Galli, C. Free radical-scavenging properties of olive oil polyphenols. Biochem. Biophys. Res. Commun. 1998, 247, 60–64. [Google Scholar] [CrossRef] [PubMed]
- Hodgson, J.M.; Croft, K.D. Dietary flavonoids: Effects on endothelial function and blood pressure. J. Sci. Food Agric. 2006, 86, 2492–2498. [Google Scholar] [CrossRef]
- Hubbard, G.P.; Wolram, S.; de Vos, R.; Bovy, A.; Gibbins, J.M.; Lovegrove, J.A. Ingestion of onion soup high in quercetin inhibits platelet aggregation and essential components of the collagen-stimulated platelet activation pathway in man: A pilot study. Br. J. Nutr. 2006, 96, 482–488. [Google Scholar] [CrossRef] [PubMed]
- Bhullar, K.S.; Rupasinghe, H.P. Polyphenols: Multipotent therapeutic agents in neurodegenerative diseases. Oxidative Med. Cell. Longev. 2013, 2013, 891748. [Google Scholar] [CrossRef]
- Chin, K.Y.; Ima-Nirwana, S. Olives and Bone: A Green Osteoporosis Prevention Option. Int. J. Environ. Res. Public. Health 2016, 13, 755. [Google Scholar] [CrossRef]
- Lucarini, M.; Pedulli, G.F.; Guerra, M. A critical evaluation of the factors determining the effect of intramolecular hydrogen bonding on the O-H bond dissociation enthalpy of catechol and of flavonoid antioxidants. Chem. Eur. J. 2004, 10, 933–939. [Google Scholar] [CrossRef]
- Del Monaco, G.; Officioso, A.; D’Angelo, S.; La Cara, F.; Ionata, E.; Marcolongo, L.; Squillaci, G.; Maurelli, L.; Morana, A. Characterization of extra virgin olive oils produced with typical Italian varieties by their phenolic profile. Food Chem. 2015, 184, 220–228. [Google Scholar] [CrossRef]
- Singleton, V.L.; Rossi, J.A., Jr. Colorimetry of total phenolics with phosphomolybdic-phosphotungstic acid reagents. Am. J. Enol. Viticult. 1965, 16, 144–158. [Google Scholar]
- Squillaci, G.; Zannella, C.; Carbone, V.; Minasi, P.; Folliero, V.; Stelitano, D.; La Cara, F.; Galdiero, M.; Franci, G.; Morana, A. Grape Canes from Typical Cultivars of Campania (Southern Italy) as a Source of High-Value Bioactive Compounds: Phenolic Profile, Antioxidant and Antimicrobial Activities. Molecules 2021, 26, 2746. [Google Scholar] [CrossRef]
- Li, X.A. Improved Pyrogallol Autoxidation Method: A Reliable and Cheap Superoxide-Scavenging Assay Suitable for All Antioxidants. J. Agric. Food Chem. 2012, 60, 6418–6424. [Google Scholar] [CrossRef]
- Fernández-Agulló, A.; Freire, M.S.; Antorrena, G.; Pereira, J.A.; Gonzàlez-Alvarez, J. Effect of the extraction technique and operational conditions on the recovery of bioactive compounds from chestnut (Castanea sativa) bur and shell. Separ. Sci. Technol. 2014, 49, 267–277. [Google Scholar] [CrossRef]
- Lozano-Sánchez, J.; Giambanelli, E.; Quirantes-Piné, R.; Cerretani, L.; Bendini, A.; Segura-Carretero, A.; Fernández-Gutiérrez, A. Wastes generated during the storage of extra virgin olive oil as a natural source of phenolic compounds. J. Agric. Food Chem. 2011, 59, 11491–11500. [Google Scholar] [CrossRef]
- Gullòn, P.; Gullòn, B.; Astray, G.; Carpena, M.; Fraga-Corral, M.; Prieto, M.A.; Simal-Gandara, J. Valorization of by-products from olive oil industry and added-value applications for innovative functional foods. Food Res. Int. 2020, 137, 109683. [Google Scholar] [CrossRef]
- Vergara-Salinas, J.R.; Pérez-Jiménez, J.; Torres, J.L.; Agosin, E.; Pérez-Correa, J.R. Effects of Temperature and Time on Polyphenolic Content and Antioxidant Activity in the Pressurized Hot Water Extraction of Deodorized Thyme (Thymus vulgaris). J. Agric. Food Chem. 2012, 60, 10920–10929. [Google Scholar] [CrossRef]
- Mba, O.I.; Kwofie, E.M.; Ngadi, M. Kinetic modelling of polyphenol degradation during common beans soaking and cooking. Heliyon 2019, 5, e01613. [Google Scholar] [CrossRef]
- Squillaci, G.; Giorio, L.A.; Cacciola, N.A.; La Cara, F.; Morana, A. Effect of temperature and time on the phenolic extraction from grape canes. In Wastes-Solutions, Treatments and Opportunities III; Vilarinho, C., Castro, F., Conçalves, M., Fernando, A.L., Eds.; Taylor & Francis Group: Abingdon, UK, 2020; pp. 34–40. [Google Scholar] [CrossRef]
- Lafka, T.I.; Lazou, A.E.; Sinanoglou, V.J.; Lazos, E.S. Phenolic and antioxidant potential of olive oil mill wastes. Food Chem. 2011, 125, 92–98. [Google Scholar] [CrossRef]
- Ünlü, A.E. Green and Non-conventional Extraction of Bioactive Compounds from Olive Leaves: Screening of Novel Natural Deep Eutectic Solvents and Investigation of Process Parameters. Waste Biomass Valor. 2021, 1–18. [Google Scholar] [CrossRef]
- Chanioti, S.; Tzia, C. Extraction of phenolic compounds from olive pomace by using natural deep eutectic solvents and innovative extraction techniques. Innov. Food Sci. Emerg. Technol. 2018, 48, 228–239. [Google Scholar] [CrossRef]
- Cioffi, G.; Pesca, M.S.; De Caprariis, P.; Braca, A.; Severino, L.; De Tommasi, N. Phenolic compounds in olive oil and olive pomace from Cilento (Campania, Italy) and their antioxidant activity. Food Chem. 2010, 121, 105–111. [Google Scholar] [CrossRef]
- Szerlauth, A.; Muráth, S.; Viski, S.; Szilagyi, I. Radical scavenging activity of plant extracts from improved processing. Heliyon 2019, 5, e02763. [Google Scholar] [CrossRef]
- Do Nascimento, L.D.; de Moraes, A.A.B.; da Costa, K.S.; Pereira Galúcio, J.M.; Taube, P.S.; Costa, C.M.L.; Neves Cruz, J.; de Aguiar Andrade, E.H.; de Faria, L.J.G. Bioactive Natural Compounds and Antioxidant Activity of Essential Oils from Spice Plants: New Findings and Potential Applications. Biomolecules 2020, 10, 988. [Google Scholar] [CrossRef]
- Thorat, I. Antioxidants, Their Properties, Uses in Food Products and Their Legal Implications. Int. J. Food Stud. 2013, 2, 81–104. [Google Scholar] [CrossRef]
- Farhadi, K.; Esmaeilzadeh, F.; Hatami, M.; Forough, M.; Molaie, R. Determination of phenolic compounds content and antioxidant activity in skin, pulp, seed, cane and leaf of five native grape cultivars in West Azerbaijan province, Iran. Food Chem. 2016, 199, 847–855. [Google Scholar] [CrossRef]
- Visioli, F.; Poli, A.; Galli, C. Antioxidant and other biological activities of phenols from olives and olive oil. Med. Res. Rev. 2002, 22, 65–75. [Google Scholar] [CrossRef]
- Orak, H.H.; Isbilir, S.S.; Yagar, H. Determination of Antioxidant Properties of Lyophilized Olive Leaf Water Extracts Obtained from 21 Different Cultivars. Food Sci. Biotechnol. 2012, 21, 1065–1074. [Google Scholar] [CrossRef]
- Leouifoudi, I.; Harnafi, H.; Zyad, A. Olive Mill Waste Extracts: Polyphenols Content, Antioxidant, and Antimicrobial Activities. Adv. Pharmacol. Sci. 2015, 2015, 714138. [Google Scholar] [CrossRef]
- Del Mar Contreras, M.; Gómez-Cruz, I.; Romero, I.; Castro, E. Olive Pomace-Derived Biomasses Fractionation through a Two-Step Extraction Based on the Use of Ultrasounds: Chemical Characteristics. Foods 2021, 10, 111. [Google Scholar] [CrossRef]
- Guzmána, E.; Baeten, V.; Fernández Pierna, J.A.; García-Mesa, J.A. Analytical Methods Evaluation of the overall quality of olive oil using fluorescence spectroscopy. Food Chem. 2015, 173, 927–934. [Google Scholar] [CrossRef]
- Zhao, A.; Yang, X.; Yang, X.; Wang, W.; Tao, H. GC-MS analysis of essential oil from root of Angelica dahurica cv. Qibaizhi. China J. Chin. Mater. Med. 2011, 36, 603–607. [Google Scholar]
- Souidi, K.; Lkrik, A.; Joly, N.; Martin, P. Effect of polyphenols extracted from (Olea europaea L.) solid residues and leaves on the oxidative stability of a commercial olive oil. Biointerface Res. Appl. Chem. 2017, 7, 1963–1968. [Google Scholar]
- Günal, D.; Turan, S. Effects of olive wastewater and pomace extracts, lecithin, and ascorbyl palmitate on the oxidative stability of refined sunflower oil. J. Food Process Preserv. 2018, 42, e13705. [Google Scholar] [CrossRef]


| Extract | TPC (mg GAE/g OOD) | HT (µg/g OOD) |
|---|---|---|
| Basso | 6.487 ± 0.249 a | 482.828 ± 38.539 c |
| Dell’Orto | 1.915 ± 0.104 b | 206.276 ± 7.411 d |
| EVO Campania | 6.801 ± 0.159 a | 519.865 ± 9.082 c |
| Extraction Method | TPC (mg GAE/g OOD) | TPC Gap from Method 1 (%) | HT (µg/g OOD) | HT Gap from Method 1 (%) |
|---|---|---|---|---|
| Method 1 (acidified methanol) | 4.818 ± 0.059 a | - | 507.547 ± 17.910 a | - |
| Modified Method 1 (acidified water) | 2.895 ± 0.085 b,i | −39.9 | 352.605 ± 15.670 b,f | −30.5 |
| Method 2 | 2.855 ± 0.097 c,i | −40.7 | 321.126 ± 56.933 c,f,g | −36.7 |
| Method 3 | ||||
| A (37 °C—30 min) | 3.824 ± 0.030 d,j | −20.6 | 383.298 ± 24.796 d,f,g,h | −24.5 |
| B (37 °C—60 min) | 3.444 ± 0.038 e,j | −28.5 | 363.834 ± 6.348 e,f,g,h,i | −28.8 |
| C (83 °C—30 min) | 4.576 ± 0.311 a,k | −5.0 | 409.950 ± 21.908 a,f,g,h,i,j | −19.2 |
| D (83 °C—60 min) | 4.588 ± 0.034 f,k | −4.8 | 428.510 ± 5.829 a,f,g,h,i,j,k | −15.6 |
| E (121 °C—30 min) | 6.954 ± 0.017 g | +44.3 | 538.137 ± 10.986 a,k,l | +6.0 |
| F (121 °C—60 min) | 9.122 ± 0.104 h | +89.3 | 541.330 ± 64.087 a,k,l | +6.6 |
| K232 | K270 | |||||||
|---|---|---|---|---|---|---|---|---|
| Extract | 0 | 2 Weeks | 3 Weeks | 4 Weeks | 0 | 2 Weeks | 3 Weeks | 4 Weeks |
| Blank | 2.87 ± 0.00 | 6.51 ± 0.03 a | 7.72 ± 0.08 a | 7.98 ± 0.06 a | 1.10 ± 0.00 | 1.68 ± 0.02 a | 1.82 ± 0.01 a | 2.15 ± 0.01 a |
| A | 4.75 ± 0.16 b | 5.35 ± 0.07 b | 6.23 ± 0.01 b | 1.02 ± 0.01 b | 1.17 ± 0.03 b | 1.62 ± 0.00 b | ||
| B | 4.49 ± 0.03 c | 4.94 ± 0.18 c | 5.89 ± 0.03 c | 0.96 ± 0.01 c | 1.10 ± 0.02 c | 1.83 ± 0.01 c | ||
| C | 4.58 ± 0.16 d | 5.07 ± 0.01 d | 5.69 ± 0.06 d | 1.11 ± 0.01 d | 1.48 ± 0.01 d | 1.62 ± 0.01 d | ||
| D | 4.79 ± 0.04 e | 5.11 ± 0.18 e | 6.24 ± 0.03 e | 1.12 ± 0.01 e | 1.28 ± 0.01 e | 1.84 ± 0.01 e | ||
| E | 5.18 ± 0.05 f | 5.28 ± 0.23 f | 5.66 ± 0.03 f | 1.15 ± 0.13 f | 1.26 ± 0.01 f | 1.43 ± 0.01 f | ||
| F | 5.02 ± 0.04 g | 6.2 ± 0.13 g | 7.86 ± 0.08 a | 1.32 ± 0.01 g | 1.95 ± 0.00 g | 1.90 ± 0.01 g | ||
| BHT | 5.96 ± 0.02 h | 6.34 ± 0.04 h | 7.43 ± 0.03 g | 1.57 ± 0.03 a | 1.72 ± 0.01 h | 1.74 ± 0.05 h | ||
Publisher’s Note: MDPI stays neutral with regard to jurisdictional claims in published maps and institutional affiliations. |
© 2021 by the authors. Licensee MDPI, Basel, Switzerland. This article is an open access article distributed under the terms and conditions of the Creative Commons Attribution (CC BY) license (https://creativecommons.org/licenses/by/4.0/).
Share and Cite
Squillaci, G.; Marchetti, A.; Petillo, O.; Bosetti, M.; La Cara, F.; Peluso, G.; Morana, A. Olive Oil Dregs as a Novel Source of Natural Antioxidants: Extraction Optimization towards a Sustainable Process. Processes 2021, 9, 1064. https://doi.org/10.3390/pr9061064
Squillaci G, Marchetti A, Petillo O, Bosetti M, La Cara F, Peluso G, Morana A. Olive Oil Dregs as a Novel Source of Natural Antioxidants: Extraction Optimization towards a Sustainable Process. Processes. 2021; 9(6):1064. https://doi.org/10.3390/pr9061064
Chicago/Turabian StyleSquillaci, Giuseppe, Alice Marchetti, Orsolina Petillo, Michela Bosetti, Francesco La Cara, Gianfranco Peluso, and Alessandra Morana. 2021. "Olive Oil Dregs as a Novel Source of Natural Antioxidants: Extraction Optimization towards a Sustainable Process" Processes 9, no. 6: 1064. https://doi.org/10.3390/pr9061064
APA StyleSquillaci, G., Marchetti, A., Petillo, O., Bosetti, M., La Cara, F., Peluso, G., & Morana, A. (2021). Olive Oil Dregs as a Novel Source of Natural Antioxidants: Extraction Optimization towards a Sustainable Process. Processes, 9(6), 1064. https://doi.org/10.3390/pr9061064

