Numerical Investigation on the Mechanism of Double-Volute Balancing Radial Hydraulic Force on the Centrifugal Pump
Abstract
1. Introduction
2. Materials and Methods
2.1. Pump Specifications
2.2. Experimental Measurements
2.3. CFD Methodology
3. Results and Discussions
3.1. Pump Performance
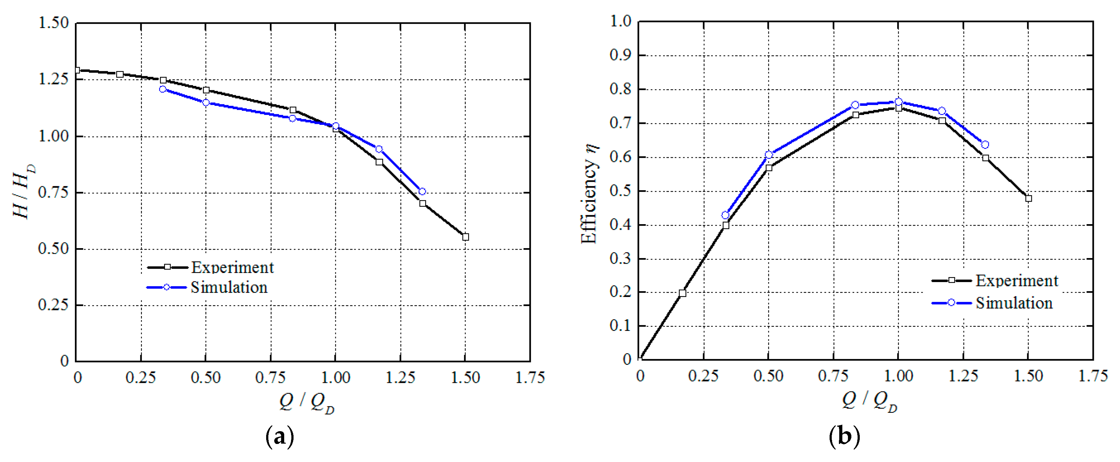
3.1.1. Comparison of Test Performance Characteristics
3.1.2. Comparison of Radial Hydraulic Forces on Pumps
3.2. Steady-State Pressure Field
3.3. Transient Pressure Variations
4. Conclusions
Author Contributions
Funding
Conflicts of Interest
References
- Lobanoff, V.S.; Ross, R.R. Centrifugal Pumps: Design & Application; Gulf Publishing Company: Houston, TX, USA, 1992. [Google Scholar]
- Xiao, R.F.; Lü, T.F.; Wang, F.J. Influence of rib structure in double-volute centrifugal pumps on the impeller radial force. Trans. Chin. Soc. Agric. Mach. 2011, 42, 85–88. [Google Scholar]
- Spence, R.; Amaral-Teixeira, J. A CFD parametric study of geometrical variations on the pressure pulsations and performance characteristics of a centrifugal pump. Comput. Fluids 2009, 38, 1243–1257. [Google Scholar] [CrossRef]
- Wang, Y.; Zhang, X.; Li, Y.B. Off design flow field analysis and radial force prediction of centrifugal pump. Drain. Irrig. Mach. 2008, 26, 18–22. [Google Scholar]
- Zhang, M.; Tsukamoto, H. Unsteady hydrodynamic forces due to rotor-stator interaction on a diffuser pump with identical number of vanes on the impeller and diffuser. J. Fluids Eng. 2005, 127, 743–751. [Google Scholar] [CrossRef]
- Agostinelli, A.; Nobles, D.; Mockridge, C.R. An experimental investigation of radial thrust in centrifugal pumps. ASME J. Eng. Power 1960, 82, 120–125. [Google Scholar] [CrossRef]
- Biheller, H.J. Radial forces on the impeller of centrifugal pumps with volute, semivolute, and fully concentric casings. ASME J. Eng. Power 1965, 87, 319–323. [Google Scholar] [CrossRef]
- Guelich, J.; Jud, W.; Hughes, S.F. Review of parameters influencing hydraulic forces on centrifugal impellers. Proc. Inst. Mech. Eng. Part A 1987, 201, 163–174. [Google Scholar] [CrossRef]
- Baun, D.O.; Flack, R.D. A plexiglas research pump with calibrated magnetic bearing/load cells for radial and axial hydraulic force measurements. ASME J. Fluids Eng. 1999, 121, 126–132. [Google Scholar] [CrossRef]
- Daniel, O.B.; Ronald, D.F. Effects of volute design and number of impeller blades on lateral impeller forces and hydraulic performance. Int. J. Rotating Mach. 2003, 9, 145–152. [Google Scholar]
- Asuaje, M.; Bakir, F.; Kouidri, S.; Kenyery, F.; Rey, R. Numerical modelization of the flow in centrifugal pump: Volute influence in velocity and pressure fields. Int. J. Rotating Mach. 2005, 2005, 244–255. [Google Scholar] [CrossRef]
- Kang, C.; Li, Y.X. The effect of twin volutes on the flow and radial hydraulic force production in a submersible centrifugal pump. J. Power Energy 2015, 229, 221–237. [Google Scholar] [CrossRef]
- Khalifa, A.E.; Al-Qutub, A.M.; Ben-Mansour, R. Study of pressure fluctuations and induced vibration at bladepassing frequencies of a double volute pump. Arabian J. Sci. Eng. 2011, 36, 1333–1345. [Google Scholar] [CrossRef]
- Gonzalez, J.; Fernandez, J.; Blanco, E.; Santolaria, C. Numerical simulation of the dynamic effects due to impeller-volute interaction in a centrifugal pump. J. Fluids Eng. 2002, 124, 348–355. [Google Scholar] [CrossRef]
- Yang, M.; Min, S.M.; Wang, F.J. Numerical simulation of pressure fluctuation and radial force in a double volute pump. Trans. Chin. Soc. Agric. Mach. 2009, 40, 83–88. [Google Scholar]
- Gonzalez, J.; Parrondo, J.; Santolaria, C.; Blanco, E. Steady and unsteady radial forces for a centrifugal pump with impeller to tongue gap variation. Trans. ASME 2006, 128, 454–462. [Google Scholar] [CrossRef]
- Liu, J.R.; Fu, D.P.; He, X.K. Optimization design of double-volute splitter in ES250-370 double-suction pump. Trans. Chin. Soc. Agric. Mach. 2014, 45, 96–100. [Google Scholar]
- Liu, J.R.; Xu, Y.G.; Su, Q.Q.; Wang, D.M. Analysis of radical force in centrifugal pump with single and double volute based on FLUENT. Drain. Irrig. Mach. 2009, 27, 83–86. [Google Scholar]
- Guan, X.F. Modern Pumps Theory and Design; China Astronautic Publishing House: Beijing, China, 2011. [Google Scholar]
- Johann, F.G. Centrifugal Pumps; Springer: Berlin/Heidelberg, Germany, 2014. [Google Scholar]
- ISO. ISO 9906 Rotordynamic Pumps—Hydraulic Performance Acceptance Tests—Grades 1 and 2; International Standardization Organization: Geneva, Switzerland, 1999. [Google Scholar]
- Menter, F.R. Review of the shear-stress transport turbulence model experience from an industrial perspective. Int. J. Comput. Fluid 2009, 23, 305–316. [Google Scholar] [CrossRef]

























| impeller inlet diameter, d1/m | 0.065 |
| impeller outlet diameter, d2/m | 0.13 |
| impeller outlet width, b/m | 0.0095 |
| base volute diameter, d3/m | 0.14 |
| outlet flange diameter, d4/m | 0.05 |
| Cross-section | 1 | 2 | 3 |
| single-volute | ![]() | ![]() | ![]() |
| double-volute | ![]() | ![]() | ![]() |
| Cross-section | 4 | 5 | 6 |
| single-volute | ![]() | ![]() | ![]() |
| double-volute | ![]() | ![]() | ![]() |
| Cross-section | 7 | 8 | 9 |
| single-volute | ![]() | ![]() | ![]() |
| double-volute | ![]() | ![]() | ![]() |
| Performance Characteristics | Pump Head | Flow Rate | Pump Efficiency |
|---|---|---|---|
| Uncertainty (%) | ±0.82 | ±1.18 | ±1.26 |
| Location | Boundary Condition | Option |
|---|---|---|
| Inlet duct | Inlet | Velocity |
| Outlet duct | Outlet | Mass flow rate |
| Solid surfaces | Wall | No slip wall |
© 2019 by the authors. Licensee MDPI, Basel, Switzerland. This article is an open access article distributed under the terms and conditions of the Creative Commons Attribution (CC BY) license (http://creativecommons.org/licenses/by/4.0/).
Share and Cite
Yuan, Y.; Yuan, S.; Tang, L. Numerical Investigation on the Mechanism of Double-Volute Balancing Radial Hydraulic Force on the Centrifugal Pump. Processes 2019, 7, 689. https://doi.org/10.3390/pr7100689
Yuan Y, Yuan S, Tang L. Numerical Investigation on the Mechanism of Double-Volute Balancing Radial Hydraulic Force on the Centrifugal Pump. Processes. 2019; 7(10):689. https://doi.org/10.3390/pr7100689
Chicago/Turabian StyleYuan, Ye, Shouqi Yuan, and Lingdi Tang. 2019. "Numerical Investigation on the Mechanism of Double-Volute Balancing Radial Hydraulic Force on the Centrifugal Pump" Processes 7, no. 10: 689. https://doi.org/10.3390/pr7100689
APA StyleYuan, Y., Yuan, S., & Tang, L. (2019). Numerical Investigation on the Mechanism of Double-Volute Balancing Radial Hydraulic Force on the Centrifugal Pump. Processes, 7(10), 689. https://doi.org/10.3390/pr7100689



















