Abstract
The control of hard roof conditions in underground coal mining is critical for ensuring mining safety and efficiency. Hard roof control remains a critical challenge in underground mining, particularly affecting mining safety and efficiency. Traditional support theories often show limitations in addressing the complex interactions between bolt spacing patterns and geological variability. This study focuses on the No. 10904 working face of Jingu Mine, where three distinct roof types are present: Type I (thick limestone roof, TLR, ≥1.2 m), Type II (moderate limestone roof, MLR, 0.5–1.2 m), and Type III (composite mudstone–limestone roof, CLR). Through FLAC3D numerical simulation and field validation, the mechanisms of bolt support under hard roof conditions were systematically investigated, and the optimization of bolt support parameters, including spacing, length, and pre-tension force, was conducted. The results indicate that: (1) when the ratio between lateral and row spacing approaches unity, reducing lateral spacing while increasing row spacing enhances support effectiveness, achieving 2 mm less roof subsidence with the 1.0 m × 1.5 m configuration compared to the 1.4 m × 0.8 m arrangement, despite a 21% reduction in bolt density; (2) an optimal rib bolt length of 1.8 m was determined, with support effectiveness diminishing beyond 2.0 m, and 1.5 m-long bolts reducing rib convergence by 15% compared to unsupported conditions; and (3) when the anchoring length exceeds 60% of the total bolt length, further increases in bolt length have minimal impact on deformation control under TLR, MLR, and CLR conditions. Field implementation of the optimized support scheme confirmed its effectiveness, with borehole television inspection showing no separation or fracturing within the monitored depth of 4 m in the roof strata. These findings provide practical guidelines for support design in similar geological settings, particularly for shallow-buried roadways with hard roof conditions.
1. Introduction
Underground coal mining is a critical component of global energy production, with coal contributing over 60% of primary energy consumption in many countries [1]. The presence of hard roof conditions, particularly in coal seams overlain by thick limestone or sandstone strata, presents significant challenges for mining safety and efficiency [2]. These challenges are especially prominent in China, where approximately one-third of coal reserves feature hard roof conditions characterized by high compressive strength and elastic modulus [3].
The significance of this research is underscored by China’s extensive underground mining operations, which require approximately 12,000 km of new roadway excavation annually [4,5,6]. Despite continuous improvements in mining technology and safety measures, roof-related incidents still account for 26.4% of total coal mine accidents and 24.4% of casualties in recent years, representing the most frequent and severe type of mining accidents [7].
Previous studies have made significant contributions to understanding hard roof behavior and control methods. Hao et al. [8] investigated the application of presplitting blasting technology in hard roof control, demonstrating its effectiveness in preventing large-area roof collapses. Guo et al. [9] conducted comprehensive research on support working resistance and roof support technology in thick seam fully mechanized mining faces under hard roof conditions. However, traditional support theories have shown limitations in addressing the complex challenges presented by hard roof conditions, particularly in optimizing bolt support parameters [10,11].
Hard roof control remains a critical challenge in underground mining, particularly affecting mining safety and efficiency. While previous studies have made significant contributions to understanding hard roof behavior and control methods, they primarily focused on support intensity and individual parameter optimization. Traditional support theories often show limitations in addressing the complex interactions between bolt spacing patterns and geological variability. Limited attention has been paid to the combined effects of bolt spacing patterns and their optimization under different roof conditions. This research gap necessitates a systematic investigation into the relationship between bolt arrangement patterns and support effectiveness, particularly in the context of varying geological conditions.
This study focuses on the No. 10904 working face of Jingu Mine, where the optimization of bolt support parameters plays a crucial role in controlling roof deformation. The geological conditions present three distinct roof types: Type I (thick limestone roof, TLR, ≥ 1.2 m), Type II (moderate limestone roof, MLR, 0.5–1.2 m), and Type III (composite mudstone–limestone roof, CLR). Through an integrated approach combining FLAC3D numerical modeling with field investigations, we systematically analyzed the influence of bolt support parameters on roadway stability under these different roof conditions. The numerical models incorporate detailed mechanical parameters obtained through laboratory testing of core samples, with comprehensive consideration of varying geological conditions and support configurations.
The research objectives are to: (1) investigate the mechanism of bolt support under hard roof conditions; (2) optimize bolt spacing and length parameters for different roof classifications; and (3) develop practical guidelines for support design in similar geological settings. The most significant finding of this research is that under the same support density, reducing the transverse spacing while increasing the longitudinal spacing of rock bolts can significantly enhance support effectiveness and reduce maximum roof subsidence. This innovative approach challenges the conventional equal-spacing support patterns and provides a new perspective for optimizing hard roof support systems.
This article is structured as follows: Section 2 introduces the geological and engineering background of No. 10904 working face at Jingu Mine; Section 3 examines the relationship between abutment support parameters and roadway deformation; Section 4 analyzes support effectiveness and optimization under three roof conditions; Section 5 presents industrial applications and validation; Section 6 summarizes key findings and provides recommendations.
2. Site Conditions and Engineering Background
2.1. Geological Setting
This study focuses on the No. 10904 working face of Jingu Mine, situated in a mountainous terrain characterized by ridges and valleys. The working face extracts coal from seams No. 9 and No. 10, with the transportation roadway located in the northern section of the first mining area. The roadway, extending 2573 m, is bounded by unmined resources to the east, the No. 10904 working face to the west, the mining boundary to the north, and track decline, belt decline, and return air decline to the south, as illustrated in Figure 1.
Figure 1.
Characteristics of the 10904 working face.
The coal seams demonstrate stable characteristics, with thickness varying between 2.46 m and 3.00 m (average 2.845 m), though some thickness variations occur near fault zones. A distinctive parting layer (0.93–1.36 m thick, average 1.11 m) separates seams No. 9 and No. 10. The detailed stratigraphic column is presented in Figure 2. Table 1 comprehensively summarizes the occurrence characteristics of the coal strata, including coal thickness, dip angle (0°30′–8°30′, average 4°30′), hardness (f = 2–2.5; parting f = 3–5), and other critical parameters such as gas emission rate (0.54 m3/min), dust explosibility, spontaneous combustion potential (Class II), and in situ temperature range (17.1 °C–21.9 °C).
Figure 2.
Coal seam column chart.
Table 1.
Occurrence characteristics of coal strata.
Rock mechanics testing was conducted on core samples obtained from both roof and floor strata to quantitatively assess the surrounding rock strength parameters. Cylindrical specimens (50 mm diameter) were prepared for uniaxial compression tests and direct shear tests, with heights of 100 mm, 25 mm, and 50 mm, respectively. Table 2 presents the comprehensive mechanical properties of different rock types, revealing significant variations: K2 limestone exhibited high compressive strength (93.26–99.36 MPa) and elastic modulus (29.7–30.1 GPa), while mudstone showed considerably lower values (compressive strength: 19.31–22.61 MPa; elastic modulus: 11.9–15.1 GPa). Sandy mudstone displayed intermediate properties with a compressive strength of 51.6 MPa and elastic modulus of 20.6 GPa.
Table 2.
Rock mechanics performance test results.
Field investigations of the No. 10904 heading face and roadway revealed a regular rectangular cross-section (4500 mm × 3000 mm after support installation). While approximately 90% of the roof along the strike direction maintained good integrity, as shown in Figure 3a,b. The roadway, initially driven upward at a 4° angle, transitions to downward driving after passing the decline entries, following the top of the No. 9 coal seam. In certain sections, a mudstone layer forms a false roof above the No. 9 coal seam, creating interbedding with the immediate limestone roof that significantly compromises roof integrity. This condition is illustrated in Figure 3c, which shows the mudstone exposure during excavation, and Figure 3d, which demonstrates the reinforced support section where secondary support was required due to roof deterioration.
Figure 3.
The condition of roof.
2.2. Support System
The support system design for the roadway encompasses two primary configurations: standard support and reinforced cable bolt support. The standard support system utilizes MSGLW-335/M20-18 × 1800 mm high-strength rock bolts, arranged in a systematic pattern with row spacing of 1400 × 1400 mm in the roof and 1200 × 1400 mm in the ribs. The installation angles are precisely controlled: corner roof bolts are installed at 25–30° outward, while central roof bolts are installed vertically. Rib bolts are oriented at ±20° for upper and lower positions, respectively, as illustrated in Figure 4.
Figure 4.
General support section of roadway.
Each bolt assembly includes a 250 N·m torque nut, spherical seat, and friction-reducing plastic washer. The bearing plates are differentiated by location: dish-shaped plates of 140 × 140 × 8 mm for the roof and 120 × 100 × 8 mm for the ribs. The anchoring system employs a combination of one CK2335 and one Z2350 resin cartridge per bolt, with pre-tension torque exceeding 250 N·m.
Surface support consists of H-steel strips installed perpendicular to the roadway axis (4700 mm length for roof, 3000 mm for ribs, with 200 mm overlap), complemented by steel mesh reinforcement. The roof utilizes two 2500 × 1500 × 4 mm steel mesh sheets, while each rib is protected by a single 3000 × 1500 × 4 mm sheet. The mesh features 100 × 100 mm apertures, secured by steel strips and connected with No. 14 wire at 200 mm intervals, maintaining overlaps of 100 mm between rows and 200 mm within rows.
For areas requiring additional support, a supplementary cable bolt system is implemented following a “2020” pattern, where cable bolts are installed in alternating rows at 2.0 × 2.8 m spacing intervals. These Φ22 × 6200 mm SKP22-1/1860 high-strength, low-relaxation steel strands are installed perpendicular to the roof, as shown in Figure 5. Each cable bolt installation incorporates one CK2335 and two Z2350 resin cartridges, sequentially installed with ultra-fast setting resin followed by medium-setting resin. The system maintains initial tension exceeding 150 kN, utilizing 250 × 250 × 12 mm square bearing plates equipped with universal spherical seats.
Figure 5.
Reinforced support section of roadway.
2.3. Characteristics and Challenges
The geological and structural characteristics of the No. 10904 working face present favorable conditions for roadway stability control. The immediate roof strata exhibit high structural integrity with a rock firmness coefficient exceeding 6. Despite its stratified nature, the roof maintains an average thickness of approximately 8 m, facilitating effective roof control through relatively straightforward bolt-mesh support systems. The No. 9 + 10 coal seam, characterized by a rock firmness coefficient of 2–2.5, represents moderately hard coal, which is generally amenable to conventional support methods.
The working face features three parallel roadways with uniform rectangular cross-sections (4500 mm width × 3000 mm height, net cross-sectional area: 13.5 m2). These moderate-sized openings, combined with the gentle seam inclination (ranging from 0.5° to 8.5°, averaging 4.5°), create favorable conditions for ground control. However, the varying burial depth (150–280 m) across the working face, while generally classified as shallow, presents specific challenges. The presence of multiple geological structures, including faults and collapse columns, necessitates a differentiated approach to support design. This variability in geological conditions demands the implementation of diverse support schemes with carefully calibrated parameters to address location-specific requirements effectively.
3. Abutment Support and Roadway Deformation
The stability control of roadway surrounding rock has been a critical issue in underground mining [12]. Previous studies typically treated the roof and sidewalls as a single integrated system [13,14,15], but due to the unique geological conditions of Jingu Coal Mine (with weak sidewall strength and high roof strength), this research will separately investigate the impact of sidewall and roof support on roadway deformation. This section will briefly discuss the influence of different sidewall support parameters on roadway convergence.
3.1. Research Framework
This study adopts an integrated research methodology to investigate and optimize bolt support parameters under different roof conditions at the No. 10904 working face of Jingu Mine. The research framework combines numerical simulation, field investigation, and theoretical analysis to systematically address the complex interactions between bolt support and varying geological conditions.
The methodology begins with comprehensive geological investigation and classification of roof conditions into three distinct types: thick limestone roof (TLR), moderate limestone roof (MLR), and composite mudstone–limestone roof (CLR). Core samples from each roof type undergo laboratory testing to determine their mechanical properties, providing essential parameters for subsequent numerical modeling.
A three-dimensional numerical model is developed using FLAC3D software to simulate the response of different roof types to various bolt support configurations. The model incorporates detailed geological characteristics and in situ stress conditions obtained from field measurements. Through parametric studies, the influence of bolt spacing patterns on roof stability is systematically analyzed, with particular attention to the combined effects of transverse and longitudinal spacing variations.
The optimization of support parameters is achieved through iterative analysis of numerical results and field observations. This process considers both the mechanical interaction between bolts and surrounding strata and the practical constraints of field implementation. The effectiveness of different support configurations is evaluated based on multiple criteria, including roof subsidence, bolt stress distribution, and surrounding rock deformation.
Field validation forms an integral part of the methodology, where the optimized support parameters are implemented and monitored. Continuous measurement of roof deformation and support performance provides feedback for further refinement of the support design. This iterative process ensures the practical applicability of the research findings while validating the theoretical and numerical analyses.
The subsequent sections present detailed analyses following this framework, examining the numerical modeling results, parameter optimization process, and field validation outcomes. This comprehensive approach enables the development of practical guidelines for bolt support design in similar geological settings while advancing the understanding of hard roof control mechanisms.
3.2. Numerical Model Setup
To investigate the influence of abutment support on roadway convergence, a numerical model was established based on the geological conditions of the 10904 transportation roadway, which features a 1.2 m-thick limestone immediate roof, as illustrated in Figure 6. The model dimensions are 27.5 m in length, 23.2 m in height, and 33 m in depth. The roadway cross-section is 3 m in height and 4.5 m in width, with 11.5 m boundary zones on all sides to eliminate boundary effects. The mechanical parameters of different rock strata used in the model are listed in Table 3.
Figure 6.
Numerical calculation model of abutment support.
Table 3.
Abutment model parameters.
3.3. Effect of Abutment Bolt Spacing
To investigate the influence of rib bolt density and arrangement patterns on roadway convergence and roof subsidence, multiple support configurations were analyzed using 1.8 m-long bolts with 60 kN pre-tension force. The following arrangements were evaluated:
Pattern 1: Two bolts per row at 1.2 m row spacing, anchored in coal seam;
Pattern 2: Three bolts per row at 1.2 m row spacing, with 1 m lateral spacing;
Pattern 3: Two bolts per row at 1.5 m row spacing, anchored in coal seam;
Pattern 4: Two bolts per row at 1.5 m row spacing, anchored in coal seam;
Pattern 5: Single bolt per row at 1.5 m row spacing in staggered arrangement.
Numerical simulations were conducted based on the parameters derived from the No. 10904 transportation roadway of Jingu Mine. The simulation results for rib convergence and roof subsidence under different bolt arrangements are presented in Figure 7 and Figure 8, respectively. Analysis of the displacement contours reveals that modifications in bolt spacing and arrangement patterns produced relatively minor changes in displacement distribution characteristics compared to variations in bolt length.
Figure 7.
Deformation of abutment with different distribution of bolts.
Figure 8.
Deformation of roof with different distribution of bolts.
The relationship between bolt spacing patterns and roadway deformation was systematically analyzed by extracting maximum sidewall convergence and roof subsidence values under different configurations as shown in Figure 9.
Figure 9.
The relation between roadway deformation and bolt spacing.
The analysis reveals that sidewall bolting exhibits a limited coupled effect on roof stability compared to deep soft rock roadways, primarily influencing sidewall deformation while having minimal impact on roof subsidence. Quantitative results demonstrate that variations in bolt spacing patterns significantly affect sidewall deformation (12–14% increase) but have relatively minor influence on roof subsidence (6–7% variation). Among the tested configurations, Pattern 3 demonstrated optimal performance in controlling roadway deformation, particularly in limiting sidewall convergence.
3.4. Effect of Abutment Bolt Length
To optimize bolt length parameters, a comparative analysis was conducted examining four different bolt lengths (1.6 m, 1.8 m, 2.0 m, and 2.4 m). The simulation model maintained consistent parameters across all scenarios, including row spacing (0.8 m), bolt quantity (three per row), and pre-tension force (60 kN), as illustrated in Figure 10.
Figure 10.
Bolt distribution of abutment bolt.
The simulation results, presented in Figure 11 and Figure 12, demonstrate the relationship between bolt length and roadway deformation, specifically analyzing rib convergence (x-direction displacement) and roof subsidence (z-direction displacement). The consolidated data from these simulations, summarized in Figure 13, reveal that bolt length variations have a more pronounced effect on rib convergence compared to roof deformation. The deformation reduction rate remained relatively constant as bolt length increased from unsupported conditions to 2.0 m, beyond which (2.0 m to 2.4 m) the rate of improvement diminished significantly. Notably, implementing 1.5 m-long bolts reduced rib convergence by 15% compared to unsupported conditions.
Figure 11.
Deformation of abutment with different length of bolts.
Figure 12.
Deformation of roof with different length of bolts.
Figure 13.
The relation between roadway convergence and bolt length.
Based on the comprehensive analysis of site-specific conditions at the No. 10904 transportation roadway of Jingu Mine—characterized by shallow burial depth, low ground stress, relatively high strength of coal seam and roof strata, and minimal overall deformation—an optimal bolt length of 1.8 m was selected. This determination was made by identifying the length range that provided the maximum effectiveness in controlling roadway convergence while considering the practical constraints and diminishing returns observed at greater lengths.
4. Roof Support and Roof Subsidence
In underground mining engineering, roadway roof stability control under varying geological conditions presents significant challenges. This section investigates the influence of bolt support parameters on roadway deformation under three typical roof conditions in the No. 10904 working face, designated as Type I (thick limestone roof, TLR, ≥1.2 m), Type II (moderate limestone roof, MLR, 0.5–1.2 m), and Type III (composite mudstone–limestone roof, CLR). Through numerical simulation, we analyzed the optimization of bolt spacing and length parameters for these roof classifications.
4.1. Model Development and Parameters
Based on the geological conditions at the No. 10904 working face, we established numerical models using FLAC3D for the three roof conditions.
For the Model of TLR condition, its establishment process and detailed parameters are described in Section 3.1, and this model corresponds to the majority of the 10904 working face area.
For the Model of MLR condition, the stratigraphy from top to bottom consists of 5.7 m limestone, 2.2 m mudstone, 0.8 m limestone, 1 m coal, 1 m mudstone, 1 m coal, and 7 m sandy mudstone, as shown in Figure 14.
Figure 14.
Numerical model for weakened roof condition.
For the model of CLR condition, the stratigraphy comprises 5.7 m limestone, 1 m mudstone, 1.5 m deteriorated limestone, 0.5 m deteriorated mudstone, 1 m coal, 1 m mudstone, 1 m coal, and 7 m sandy mudstone, as illustrated in Figure 15.
Figure 15.
Numerical model for broken roof condition.
The mechanical parameters for different rock layers were determined through laboratory tests and field investigations. The deterioration of rock strength due to interlayer effects and water erosion was estimated based on relevant literature [16,17].
In this study, the Mohr-Coulomb constitutive model was adopted to simulate the mechanical behavior of the surrounding rock mass. This elastic-perfectly plastic model is defined by six physical parameters: unit weight (γ), uniaxial compressive strength (UCS), cohesion (c), internal friction angle (φ), elastic modulus (E), and Poisson’s ratio (ν). These parameters were obtained through laboratory tests and are listed in Table 4. The model follows linear elastic behavior before yield, governed by Hooke’s law with elastic modulus and Poisson’s ratio. After yielding, the plastic flow is determined by the non-associated flow rule, where the plastic deformation is controlled by cohesion and internal friction angle. The initial stress state was established considering the unit weight and overburden depth, with horizontal stresses calculated using the lateral pressure coefficient. Table 4 presents the detailed parameters.
Table 4.
Roof model parameters.
4.2. Effect of Roof Bolt Spacing
To optimize roof bolt density and arrangement patterns, a comprehensive numerical analysis was conducted using 1.8 m-long bolts with 60 kN pre-tension force. Six different spacing configurations were investigated: 1.4 m × 0.8 m, 1.4 m × 1.2 m, 1.4 m × 1.5 m, 1.0 m × 0.8 m, 1.0 m × 1.2 m, and 1.0 m × 1.5 m (lateral spacing × row spacing). The resulting roof subsidence under these configurations are illustrated in Figure 16, Figure 17 and Figure 18.

Figure 16.
Roof subsidence under different bolt spacing in TLR condition.
Figure 17.
Roof subsidence under different bolt spacing in MLR condition.
Figure 18.
Roof subsidence under different bolt spacing in CLR condition.
While the displacement contour patterns showed similar morphological characteristics across different spacing arrangements, a detailed analysis of maximum roof subsidence was performed to evaluate support effectiveness under hard roof conditions. The relationship between bolt spacing patterns and maximum roof subsidence is presented in Figure 19.
Figure 19.
The relationship of Bolt distribution and maximum subsidence.
Analysis of the yielding states under different roof bolt configurations revealed a quasi-linear relationship between row spacing and maximum roof deformation when maintaining constant lateral spacing. However, a significant finding emerged: configurations with identical bolt density exhibited varying performance levels. For instance, the 1.4 m × 1.2 m arrangement resulted in greater roof subsidence compared to the 1.0 m × 1.5 m configuration, despite equivalent bolt density. Similarly, the 1.0 m × 1.2 m arrangement demonstrated superior performance over the 1.4 m × 0.8 m configuration, despite lower bolt density.
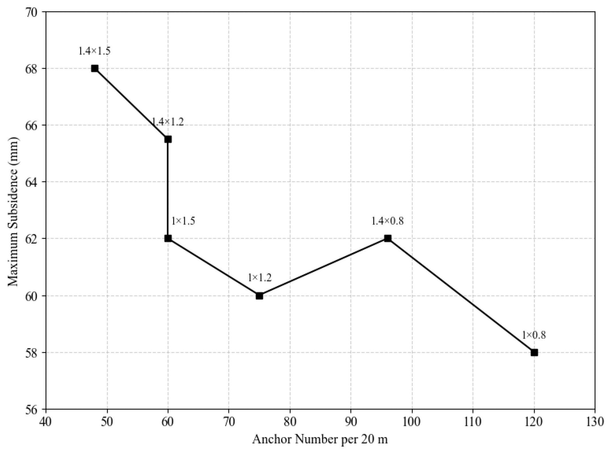
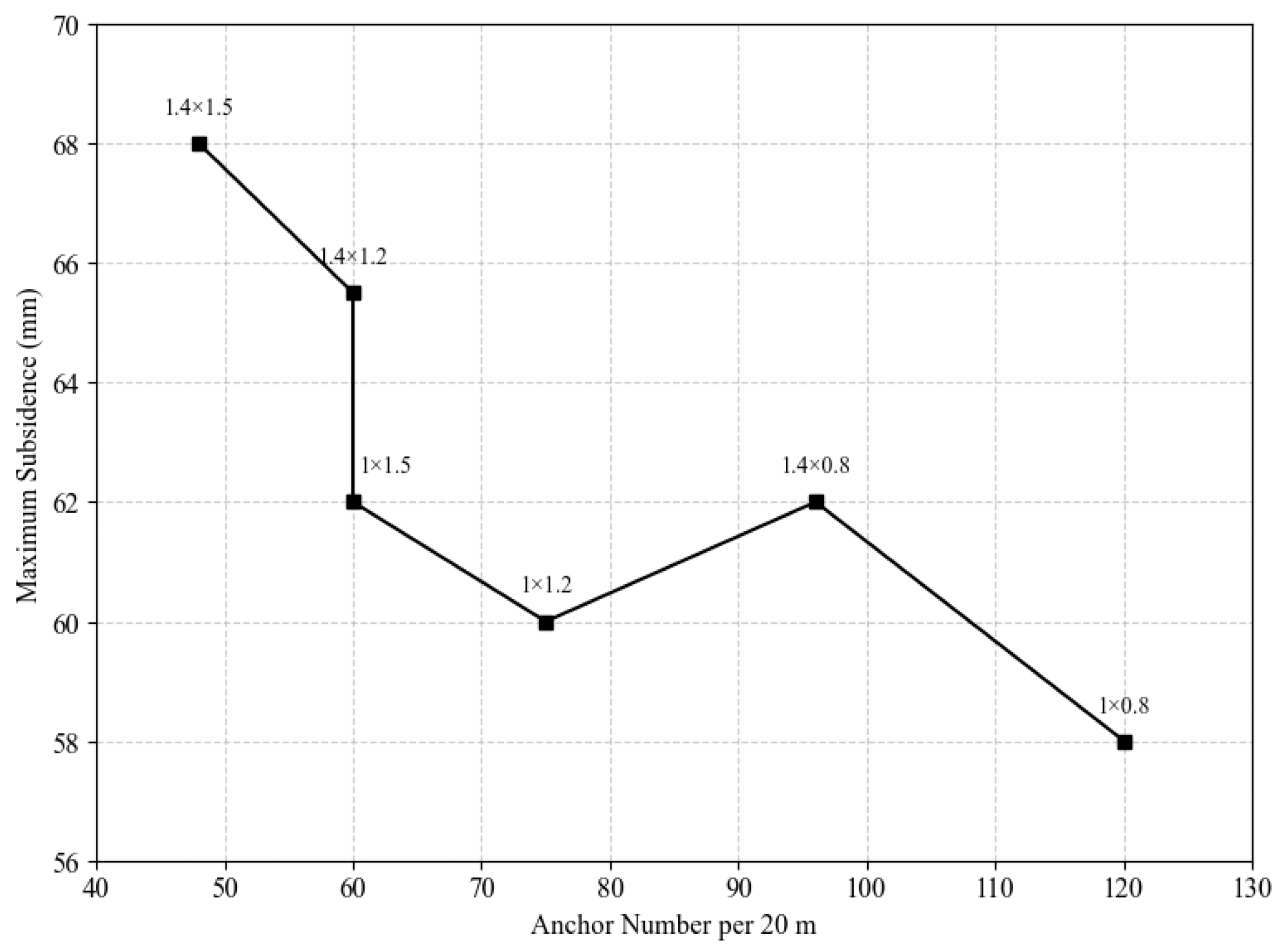
Further investigation of fractured roof sections, where deformation was most pronounced, yielded additional insights. The maximum roof subsidence values for different spacing arrangements, in ascending order, were: 1.0 m × 0.8 m < 1.0 m × 1.2 m < 1.0 m × 1.5 m ≈ 1.4 m × 0.8 m < 1.4 m × 1.2 m < 1.4 m × 1.5 m. To quantitatively assess the relationship between bolt arrangement, support density, and roof subsidence, bolt quantities per 20 m of roadway were calculated (120, 75, 60, 96, 60, and 48 bolts, respectively), with results summarized in Figure 20.
Figure 20.
The relationship of maximum subsidence and bolt number per 20 m.
The analysis revealed that maximum roof subsidence varied between 58 mm and 68 mm across different configurations. While a general inverse relationship between bolt density and roof subsidence was observed, notable exceptions emerged. The 1.0 m × 1.5 m configuration achieved 3.5 mm less subsidence compared to the 1.4 m × 1.2 m arrangement despite identical bolt density. Moreover, the 1.0 m × 1.5 m configuration demonstrated superior performance with 2 mm less subsidence than the 1.4 m × 0.8 m arrangement, despite a 21% reduction in bolt density.
These findings lead to a crucial conclusion: when the ratio between lateral and row spacing approaches unity, optimizing the configuration by reducing lateral spacing while increasing row spacing can enhance support effectiveness and reduce maximum roof subsidence, even with equivalent or lower bolt density. This optimization principle challenges conventional symmetric spacing approaches and suggests that asymmetric patterns may achieve superior support performance under certain geological conditions.
4.3. Effect of Roof Bolt Length
Analysis shows that when the anchoring length exceeds 60% of the total bolt length, increasing bolt length has minimal impact on deformation control under TLR, MLR, and CLR conditions. In TLR and MLR conditions (Figure 21 and Figure 22), increasing bolt length from 1.6 m to 2.4 m results in less than 1 mm difference in maximum roof deformation (18–19 mm for TLR, 22–23 mm for MLR). Under CLR conditions (Figure 23), the deformation varies slightly more (65–66 mm) but remains limited. These findings suggest that once the 60% anchoring length criterion is met, optimizing other support parameters is more effective than further increasing bolt length.
Figure 21.
Roof deformation under different length in TLR condition.
Figure 22.
Roof deformation under different length in MLR condition.
Figure 23.
Roof deformation under different length in CLR condition.
5. Industrial Application
Considering the stratified roof structure with interbedded mudstone and limestone in the 2500 m-long transportation and return airways of 10904 working face at Jingu Mine, a comprehensive support strategy was developed. The strategy integrated differentiated support patterns with advanced anchoring optimization techniques, including pre-tension force control, material coupling, and full-length anchoring.
The original support scheme achieved good results under CLR and MLR conditions but appeared to have excessive support intensity under TLR conditions. Drawing from the findings in Section 3 and Section 4 and field investigations, additional support scheme was proposed.
5.1. Support Scheme and Parameters
The support system specifications are as follows:
Rock bolts: MSGLW-335/M20-18 high-strength bolts were installed with specific installation angles (25–30° outward for corner roof bolts, vertical for middle roof bolts, and ±20° for rib bolts). The system includes 250 N·m torque nuts, ball seats with plastic washers, and dish-shaped bearing plates (140 × 140 × 8 mm for roof, 120 × 100 × 8 mm for ribs). Each bolt utilizes one CK2335 and one Z2350 resin cartridge, with pre-tension torque exceeding 250 N·m.
Cable bolts: SKP22-1/1860 high-strength low-relaxation steel strands (Φ22 × 6200 mm) were installed vertically into the roadway roof. The system comprises OVM22 high-strength locks, one CK2335 and two Z2350 resin cartridges per cable, 250 × 250 × 12 mm square bearing plates, and universal ball seats. Initial tension force exceeds 150 kN.
Steel mesh: 4 mm steel mesh (2500 × 1500 mm for roof, 3000 × 1500 mm for ribs) with 100 × 100 mm grid spacing was installed with steel bands and No. 14 wire ties at 200 mm intervals. Mesh overlap was maintained at 100 mm between rows and 200 mm within rows.
The TLR section is located in the regular segment of the transportation roadway in the 10904 working face of Jingu Mine, characterized by stable geological structures. The support design specifications are detailed as follows:
The roof support system implements a “442-442” arrangement pattern for rock bolts and cable bolts. Specifically, rock bolts are installed with four units per row, each measuring 1.8 m in length, with row spacing of 1.4 m and column spacing of 1.5 m. Cable bolts are configured with two units per row, each extending 6.6 m in length, with row spacing of 2.0 m and column spacing of 1.5 m. The full-section bolt layout is illustrated in Figure 24 (cross-sectional view) and Figure 25 (bottom view).
Figure 24.
The profile of bolts distribution at hard roof.
Figure 25.
The bottom view of bolts distribution at hard roof.
The abutment support system primarily targets the coal seam, utilizing single rock bolts arranged in alternating positions between adjacent rows. This configuration is reinforced with horizontal ladder beams and mesh support.
5.2. Numerical Simulation
The feasibility of the proposed support scheme was evaluated through numerical simulation using FLAC3D, as illustrated in Figure 26 Following excavation and computation, displacement and stress cloud diagrams were extracted at the central position along the roadway axis, as shown in Figure 27.
Figure 26.
Simulation of support scheme at hard roof.
Figure 27.
Effect of support scheme in CLR condition.
Analysis of the simulation results reveals several key findings. The vertical tensile stress in the roof and floor reached approximately 0.057 MPa post-excavation and support installation, with a transition from tensile to compressive stress occurring at approximately 3 m above the roof (Figure 27a). Horizontal tensile stress of approximately 0.49 MPa was observed in the roadway ribs, with stress transition from tension to compression occurring at approximately two-thirds of the roadway span from the ribs (Figure 27b). Maximum roof subsidence and rib convergence were recorded at approximately 22 mm and 36 mm, respectively (Figure 27c,d).
Despite the relatively low support density, the support system demonstrated satisfactory performance, attributed to the shallow burial depth and the presence of a limestone immediate roof. This geological configuration, combined with appropriate mesh implementation, enables effective support even with reduced bolt density.
5.3. Borehole Television Inspection
Borehole television inspection represents an advanced approach in roof detection technology and serves as the optimal method for identifying rock interfaces and classifications [18,19,20]. Two observation points were established along the 10904 transportation roadway using the YTJ20 borehole television system. Boreholes #1 and #2 were located at 1200 m and 1250 m from the inclined shaft.
The inspection of Borehole #1 (as shown in Figure 28) revealed:
- A smooth and intact borehole wall from 0 to 2.4 m, with minor folding between 1.3 and 1.5 m;
- Rough and prominently folded surface from 2.4 to 3.0 m, indicating a transition from limestone to mudstone;
- Smooth wall characteristics similar to the 0–2.4 m section from 3.0 to 3.8 m, with notable biological deposits between 3.0 and 3.3 m.
Figure 28.
Peep view of roof at 1200 m of roadway.
The inspection of Borehole #2 (as shown in Figure 29) revealed:
- Smooth borehole walls from 0 to 1.4 m, with localized rough surfaces and biological deposits;
- Variable wall conditions from 1.4 to 2.4 m, suggesting interbedded mudstone and limestone;
- Rough and folded surfaces from 2.4 to 3.2 m, characteristic of mudstone;
- Light-colored but rough walls with biological deposits from 3.2 to 4.0 m, indicating water-affected limestone.
Figure 29.
Peep view of roof at 1250 m of roadway.
These observations confirm the effectiveness of the support system, with no evidence of separation or fracturing within the monitored depth of 4 m in the roof strata.
6. Conclusions and Discussion
This study investigated the surrounding rock control of the No. 10904 transportation roadway at Jingu Mine through FLAC3D numerical simulation and field validation. The research revealed several key findings regarding the optimization of bolt support parameters and their effects on roadway stability. The numerical analysis demonstrated that when the ratio between lateral and row spacing approaches unity, reducing lateral spacing while increasing row spacing can enhance support effectiveness and reduce maximum roof subsidence, even with lower bolt density. For instance, the 1.0 m × 1.5 m configuration achieved superior performance with 2 mm less subsidence than the 1.4 m × 0.8 m arrangement despite a 21% reduction in bolt density.
For rib support, an optimal bolt length of 1.8 m was determined based on the mine’s shallow burial depth, low ground stress, and relatively high strength of coal seam and roof strata. The effectiveness of increasing bolt length diminished beyond 2.0 m, with 1.5 m-long bolts reducing rib convergence by 15% compared to unsupported conditions.
Regarding roof support, the research revealed that when the anchoring length exceeds 60% of the total bolt length, further increases in bolt length have minimal impact on deformation control under various roof conditions (TLR, MLR, and CLR). Field implementation and validation through borehole television inspection confirmed the effectiveness of these optimized support parameters, with no evidence of separation or fracturing within the monitored depth of 4 m in the roof strata. These findings provide practical guidelines for support design in similar geological settings, particularly for shallow-buried roadways with hard roof conditions.
While this study provides valuable insights into the optimization of bolt support parameters, further research is needed to deepen the understanding of the underlying mechanisms and expand the applicability of the findings. Future work could focus on the following aspects:
Mechanics-Based Analysis: Employ advanced mechanical analysis methods to theoretically validate the findings of this study. This includes exploring the interaction between bolt arrangement parameters and the surrounding rock environment to establish a more comprehensive theoretical framework.
Artificial Intelligence-Assisted Numerical Solutions: Given the complexity of solving problems with intricate boundary conditions, future studies could leverage artificial intelligence tools, such as Physics-Informed Neural Networks (PINNs), to improve the efficiency and accuracy of numerical solutions.
Fuzzy Logic-Based Image Preprocessing: Explore fuzzy logic-based tools to address uncertainties in image data [21], which could enhance the accuracy and efficiency of image-based analyses, such as borehole inspections or deformation monitoring.
Author Contributions
Conceptualization, C.W. and X.Z.; methodology, C.W., W.X. and J.W.; software, not applicable; validation, L.L.; formal analysis, C.W. and L.L.; investigation, J.W. and L.L.; resources, not applicable; data curation, not applicable; writing—original draft preparation, C.W.; writing—review and editing, X.Z. and W.X.; visualization, not applicable; supervision, not applicable; project administration, not applicable; funding acquisition, X.Z. All authors have read and agreed to the published version of the manuscript.
Funding
This work was supported by the National Natural Science Foundation of China (Grant No. 51574226), the Guizhou Provincial Education Department’s “Hundred Schools, Thousands of Enterprises Science and Technology Research List” Project (No. [2024]013), and Qiankehezhongyindi (No. [2024]039).
Data Availability Statement
The data that support the findings of this study are available from the corresponding author on reasonable request.
Conflicts of Interest
The authors declare no conflicts of interest.
References
- Bradshaw, M.J. Global energy dilemmas: A geographical perspective. Geogr. J. 2010, 176, 275–290. [Google Scholar] [CrossRef]
- Zhu, Z.; Wu, Y.; Liang, Z. Mining-Induced Stress and Ground Pressure Behavior Characteristics in Mining a Thick Coal Seam With Hard Roofs. Front. Earth Sci. 2022, 10, 843191. [Google Scholar] [CrossRef]
- Yang, S.; Wang, J.; Li, X.; Ning, J.; Qiu, P. In situ investigations into mining-induced hard main roof fracture in longwall mining: A case study. Eng. Fail. Anal. 2019, 106, 104188. [Google Scholar] [CrossRef]
- Kang, H.; Xie, H.; Ren, S.; Chen, P.; Jiao, X.; Zheng, D.; Zhang, Y.; Chen, Q.; Qin, R. Development Strategy of China’s Coal Industry under the Reconstruction of Global Industrial Chain and Energy Supply Chain. Chin. J. Eng. Sci. 2022, 24, 26. [Google Scholar] [CrossRef]
- Ma, P.; Qian, D.; Zhang, N.; Shimada, H.; Pan, D.; Huang, K. Application of Bolter Miner Rapid Excavation Technology in Deep Underground Roadway in Inner Mongolia: A Case Study. Sustainability 2020, 12, 2588. [Google Scholar] [CrossRef]
- Xie, Z.; Zhang, N.; Qian, D.; Han, C.; An, Y.; Wang, Y. Rapid Excavation and Stability Control of Deep Roadways for an Underground Coal Mine with High Production in Inner Mongolia. Sustainability 2018, 10, 1160. [Google Scholar] [CrossRef]
- Liu, J.; Li, C.; Shi, Y.; Zhang, Y. Stability Analysis and Fracture Patterns of Hard Main Roof in Longwall Top Coal Caving with Large Mining Height. Shock Vib. 2021, 2021, 9930221. [Google Scholar] [CrossRef]
- Hao, X.; Han, G.; Liu, H.; Xie, J.; Shao, Y.; Zhang, Y.; Cao, J.; Zhao, Q. Research Anti-Impact Mechanism of Roof Presplitting Blasting in Deep Composite Thick and Hard Key Strata. Shock Vib. 2024, 2024, 1400224. [Google Scholar] [CrossRef]
- Guo, W.; Wang, H.; Dong, G.; Li, L.; Huang, Y. A Case Study of Effective Support Working Resistance and Roof Support Technology in Thick Seam Fully-Mechanized Face Mining with Hard Roof Conditions. Sustainability 2017, 9, 935. [Google Scholar] [CrossRef]
- Rajwa, S.; Janoszek, T.; Prusek, S. Model tests of the effect of active roof support on the working stability of a longwall. Comput. Geotech. 2020, 118, 103302. [Google Scholar] [CrossRef]
- Zhang, J.; Zhang, Y.; Du, W.; Wang, H.; Serati, M. An analytical approach to estimate the mechanical state of roof strata in underground longwall mining. Geomech. Eng. 2021, 27, 55–62. [Google Scholar] [CrossRef]
- Ju, M.; Wang, D.; Shi, J.; Li, J.; Yao, Q.; Li, X. Physical and numerical investigations of bedding adhesion strength on stratified rock roof fracture with longwall coal mining. Geomech. Geophys. Geo-Energy Geo-Resour. 2021, 7, 24. [Google Scholar] [CrossRef]
- Ning, J.; Wang, J.; Jiang, L.; Jiang, N.; Liu, X.; Jiang, J. Fracture analysis of double-layer hard and thick roof and the controlling effect on strata behavior: A case study. Eng. Fail. Anal. 2017, 81, 117–134. [Google Scholar] [CrossRef]
- Xu, T.; Yang, T.; Chen, C.; Liu, H.; Yu, Q. Mining induced strata movement and roof behavior in underground coal mine. Geomech. Geophys. Geo-Energy Geo-Resour. 2015, 1, 79–89. [Google Scholar] [CrossRef]
- Zhao, T.; Liu, C.; Yetilmezsoy, K.; Zhang, B.; Zhang, S. Fractural structure of thick hard roof stratum using long beam theory and numerical modeling. Environ. Earth Sci. 2017, 76, 751. [Google Scholar] [CrossRef]
- Bai, Q.-S.; Tu, S.-H.; Zhang, C.; Zhu, D. Discrete element modeling of progressive failure in a wide coal roadway from water-rich roofs. Int. J. Coal Geol. 2016, 167, 215–229. [Google Scholar] [CrossRef]
- Bai, Q.-S.; Tu, S.-H. Failure analysis of a large span longwall drift under water-rich roofs and its control techniques. Eng. Fail. Anal. 2016, 67, 15–32. [Google Scholar] [CrossRef]
- Liu, C.; Zheng, X.; Arif, A.; Xu, M. Measurement and analysis of penetration rate and vibration on a roof bolter for identification rock interface of roadway roof. Energy Sources Part A Recovery Util. Environ. Eff. 2020, 42, 2751–2763. [Google Scholar] [CrossRef]
- Liu, C.; Zhan, Q.; Yang, L.; Zheng, X.; Li, P.; Shahani, N.M. Recognition of interface and category of roadway roof strata based on drilling parameters. J. Pet. Sci. Eng. 2021, 204, 108724. [Google Scholar] [CrossRef]
- Wang, Y.H.; Tham, L.G.; Cheung, Y.K. Beams and plates on elastic foundations: A review. Prog. Struct. Eng. Mater. 2005, 7, 174–182. [Google Scholar] [CrossRef]
- He, Z.; Gómez, D.M.; Peña, P.F.; Hueso A de la, E.; Lu, X.; Moreno, J.M.A. Battery parameter identification for unmanned aerial vehicles with hybrid power system. Integr. Comput.-Aided Eng. 2024, 31, 341–362. [Google Scholar] [CrossRef]
Disclaimer/Publisher’s Note: The statements, opinions and data contained in all publications are solely those of the individual author(s) and contributor(s) and not of MDPI and/or the editor(s). MDPI and/or the editor(s) disclaim responsibility for any injury to people or property resulting from any ideas, methods, instructions or products referred to in the content. |
© 2025 by the authors. Licensee MDPI, Basel, Switzerland. This article is an open access article distributed under the terms and conditions of the Creative Commons Attribution (CC BY) license (https://creativecommons.org/licenses/by/4.0/).