Abstract
As deep oil and gas resources and Carbon Capture and Storage (CCS) are developed, enhancing drilling efficiency in hard rock formations has emerged as a critical technology in oil and gas extraction. The advancement of ultrasonic, high-frequency vibration rock-breaking technology significantly facilitates efficient rock crushing. When subjected to ultrasonic high-frequency vibrations, the rock’s response is a crucial issue in implementing ultrasonic vibration rock crushing technology. This study employed numerical simulation and theoretical deduction methods, utilizing a multi-physics approach that couples solid mechanics with pressure acoustics. It integrated information on common influencing parameters of ultrasonic generators and reservoir rock properties to establish model parameters, analyze simulation results, and perform theoretical deductions. The research investigated the response patterns of different-sized rock samples under high-frequency ultrasound vibration excitation across various frequencies, amplitudes, and confining pressure conditions. Through the development of a three-dimensional model and the application of principles from solid mechanics and elastoplasticity, the study derived equations that describe the resonance frequencies of rock blocks under confining pressure as functions of relevant rock parameters. The findings indicate that ultrasonic vibrations can effectively induce rock displacement. Under excitation frequency sources, the rock exhibits a natural frequency correlated with the rock sample size. When the excitation frequency approximates the natural frequency, the rock resonates. At this point, the rock’s surface displacement is maximal. The rock undergoes tensile stress, leading to stress concentration that facilitates rock damage and fragmentation. Increasing the excitation amplitude enhances rock crushing, as it amplifies the maximum surface displacement under the same frequency excitation. Confining pressure exerts an inhibitory effect on the rock’s vibration response, but it does not alter the resonance frequency of the rock sample, a fact verified by both numerical simulation and theoretical results. Based on the research findings in this paper, it can help to optimize the parameters of ultrasonic vibration rock breaking in field application to achieve the best rock-breaking effect.
1. Introduction
With shallow oil and gas resources becoming scarce and the increasing necessity to address global warming through Carbon Capture and Storage (CCS) projects, the development of deep and ultra-deep drilling technologies has become particularly crucial [1]. As well, as depth increases, rock hardness and abrasiveness also increase, while drillability decreases. This significantly impacts the drilling efficiency of deep hard formations and substantially raises the costs of exploration and development [2]. The advancement of efficient deep well drilling and rock fracturing technology has become pivotal in oil and gas extraction. The pursuit of novel and efficient hard rock fracturing methods, enhanced drilling efficiency, and reduced drilling costs has become a focal point for scholars globally [3].
Mechanical drilling remains the most common method in this field because of its advanced technological status and fewer environmental issues [4]. Ultrasonic waves, defined as sound waves with frequencies exceeding 20 kHz, exhibit high frequency, short wavelength, long propagation distance, and focused directionality. Additionally, they possess strong penetrating capabilities and have found applications in various related fields [5]. The advancement of ultrasonic high-frequency vibration rock fracturing technology can effectively facilitate efficient rock crushing [6]. Understanding the response of rocks to ultrasonic high-frequency vibrations is crucial for advancing ultrasonic vibration rock fracturing technology, necessitating a comprehensive study.
Rock is a complex porous material characterized by an intricate internal structure. The natural frequency characteristics of rock and its influencing factors are currently understood to be related to its stiffness and mass. Numerous experimental studies on the measurement of rock natural frequency have been conducted by both domestic and international scholars. The primary measurement methods currently include the percussion method, sweep frequency method, and theoretical derivation method. Bibinur S. Akhymbayeva et al. [7] employed the percussion method to test the natural frequency of artificial cores made of quartz sand and aluminum sulfate, confirming that the crack propagation speed in the rock is fastest when the vibration frequency of the drill bit approaches the rock’s natural frequency. Yan et al. [8] utilized the ANSYS 2023 R1 finite element software to establish a natural frequency model of fractured rock and investigated the steady-state response characteristics of rock under high-frequency harmonic vibration excitation. The results indicated that the natural frequency of rock increases with the rise in elastic modulus. Ji et al. [9] analyzed that the vibration displacement curve of rock follows a cosine function and fluctuates around the equilibrium position; the greater the mass of the rock medium, the smaller the vibration displacement of its internal particles. When the vibration frequency applied by the indenter to the rock approaches the natural frequency of the rock medium itself, the vibration displacement of its internal particles exhibits a large peak.
Currently, scholars have verified through numerous experiments that vibration can effectively enhance rock-crushing efficiency. Wiercigroch et al. [10,11] proposed resonance acceleration drilling (REDD) technology and designed corresponding equipment. The axial vibration of the drill bit induces the formation of rock to reach a resonant state. This technology has a significant acceleration effect on hard rock. Hadi Haghgouei et al. [12] conducted experiments to apply varying vibrational loads to Green Onyx rock samples, finding that vibrations lead to fatigue damage in the rocks. They also developed a predictive damage curve for the rocks based on their findings. Li Siqi et al. [3,13,14] examined the mechanical model of rock medium impact vibration and, based on contact mechanics theory, established the rock fracturing model of the conical indenter and the spherical indenter under dynamic and static loads during loading and unloading stages. They utilized a numerical simulation to investigate the characteristics of rock crack propagation in rock fractured by the blunt indenter under static load and simple harmonic vibration. Li Wei et al. [2] analyzed rock vibration under impact load using the renormalization method and conducted studies on rock response mechanisms and rock fracturing tests under high-frequency vibration drilling tool impact. It was found that when the high-frequency vibration frequency of the drill bit approximates the natural frequency of the rock, the rock’s vibration amplitude and speed are maximized, indicating resonance. It is concluded that high-frequency vibration impact can reduce the rock’s resistance to drilling and enhance rock fracturing efficiency. Lin et al. [15] established linear and nonlinear numerical models with vibrational amplitude as the main control parameter, describing the dynamic processes of rock fragmentation under vibrational impact. Zhao et al. [16] utilized finite element methods to construct practical heterogeneous rock models, analyzing the crack propagation patterns over different periods and proposing a threshold for ultrasound vibration time, providing theoretical guidance for experiments, and measuring the porosity and strength of rock samples after vibration using nuclear magnetic resonance and uniaxial compressive strength tests. The study analyzed the influence of vibration duration on rock damage. Li Feng et al. [17] investigated coal-rock composite materials including fine sandstone, medium sandstone, coal, coarse sandstone, and mudstone. They utilized single-point and multi-point excitation methods to test the time-history vibration curves of rock-coal and rock-rock interfaces under impact loads, preliminarily revealing the vibration response characteristics of coal-rock interfaces under impact loads. Tang QiongQiong et al. [18] employed a novel flat-joint model (FJM) combined with ultra-high-frequency load boundary conditions to simulate the damage process of hard rock under ultrasound vibration loads. Using the Discrete Element Method (DEM), they analyzed the evolution of the full strain field, crack directions, and crack distribution, revealing the fragmentation mechanism of rocks under ultrasound vibration. The study suggested that rocks undergo tensile stress and deform and fracture in a heterogeneous manner under ultrasound vibration. Zhang Lei et al. [19] employed particle flow numerical simulation software to replicate the boundary conditions of actual ultrasonic vibration rock fracturing experiments. They constructed rock models using a parallel bond model and analyzed the deformation, damage, fracture, and energy evolution of hard rocks under vibration loads. Ma Bailong et al. [20] investigated the mechanical behavior of rock joints under normal vibrational loads. They found that the damage level of rock joints increases nonlinearly with the increase of vibration frequency and amplitude. They used the Discrete Element Method (DEM) to elucidate the vibration-induced damage mechanism of rock joints.
From the above introduction, it is evident that most scholars currently simplify rocks into vibration systems, analyzing their response mechanisms and vibration behaviors through vibration theory. Experimentally, by applying vibration to rocks, the strain on the rock surface and changes in rock mechanical parameters are examined and their changing characteristics are analyzed. However, most current studies do not consider the conditions under confining pressure, and the vibration frequency used is relatively low, which cannot provide theoretical guidance for the ultrasonic high-frequency vibration rock fracturing process. Therefore, this study employed numerical simulation and theoretical deduction methods, utilizing a multi-physics approach that couples solid mechanics with pressure acoustics. The research investigated the response patterns of different-sized rock samples under high-frequency ultrasound vibration excitation across various frequencies, amplitudes, and confining pressure conditions. Through the development of a three-dimensional model and the application of principles from solid mechanics and elastoplasticity, the study derived equations that describe the resonance frequencies of rock blocks under confining pressure as functions of relevant rock parameters.
2. Numerical Simulation Calculation Model and Parameter Setting
2.1. Problem Statement and Simulation Approach
In this numerical simulation study, the COMSOL Multiphysics software’s Pressure Acoustics and Solid Mechanics modules were utilized for computational simulations. Coupling between these modules was achieved using the Acoustic-Structure Interaction interface. The simulation involved modeling ultrasonic vibration sources through variations in vertical displacement, which excite vibration responses in cubic rock samples. The study aimed to analyze the effects of factors such as ultrasonic vibration frequency, amplitude, confining pressure on the rock, size of rock samples, and physical properties of the rock on the response characteristics under ultrasonic vibration excitation. Analysis was based on changes in surface stress and maximum displacement of the rocks during simulation.
In this paper, unless otherwise specified, the numerical simulation calculations for rock properties use the parameters listed in the following Table 1. All other parameters are set according to the default settings of the software.
Table 1.
The values of rock sample physical properties set in the numerical simulation calculations.
The fundamental steps of the numerical simulation are as follows:
(1) Based on the physical test model, a three-dimensional model was established using the geometric modeling functionality of COMSOL.
(2) The mechanical parameters of the rock material, obtained from the physical test, are input into the solution domain. The acoustic wave excitation source parameters, acoustic field boundary settings, mesh size, and calculation time step are then defined.
(3) Transient calculations are performed in the time domain. Upon completion, the data are extracted and analyzed to determine the rock response under ultrasonic vibration.
2.2. Geometric Configurations
Regular tetrahedral solid units are used to model and simulate rock blocks. To expedite the calculations, the rock is assumed to be homogeneous. The ultrasonic vibration head is circular with a diameter of 0.06 m. Figure 1 presents a schematic diagram of the model.
Figure 1.
Model diagram.
To enhance the accuracy of the calculations, the following assumptions are made:
(1) The rock has a regular shape and is free of defects or internal cracks.
(2) Given the small amplitude of ultrasonic vibration, the inertia of the rock is neglected.
(3) The displacement of the lower surface of the rock remains constant in all directions.
(4) It is assumed that the loading device is in slight contact with the upper surface of the rock initially and that changes in the rock’s physical properties due to frictional heat at the contact surface are not considered during vibration.
2.3. Boundary Conditions
As illustrated in Figure 2, a static load is applied to the vibrating head positioned above the rock block. The vibrating head is in surface contact with the rock. A confining pressure P is applied to the four lateral surfaces of the rock block, and the bottom is fixed.
Figure 2.
Schematic diagram of boundary condition setting.
2.4. Grid Division and Time Step Determination
A reasonable selection of unit size is crucial for the accuracy and reliability of calculation results. The grid size is determined using the following formula:
where fmax is the maximum frequency of the excitation ultrasonic wave. Take the grid size when the maximum frequency 60 kHz excitation source is used in the numerical simulation calculation of this paper. According to the estimation, the maximum size is 8.5 mm.
The time step of numerical simulation significantly impacts the convergence of calculations. Generally, a smaller time step results in higher calculation accuracy. However, an excessively small time step requires substantial computer memory and severely affects the calculation efficiency of the entire numerical simulation. Notably, all models in this paper are three-dimensional. A reasonable mesh size can greatly enhance calculation speed. The time step can be defined by the sampling frequency. Based on existing laboratory equipment, the time step can be set to approximately T/50.
To ensure the accuracy of numerical simulation results, the rock is meshed using an unstructured grid. At the contact point between the vibrator head and the rock, a fine grid is employed, and the control equation is discretized using the finite volume method. To achieve satisfactory accuracy and better convergence, all calculations are performed on an HP-T7000 workstation (1 TB hard disk, 8 GB RAM, and 3.6 GHz CPU).
2.5. Selection of Ultrasonic Vibration Source
Select the sinusoidal wave as the sound field excitation source to simulate the shape of ultrasonic vibration, and its expression is:
x(t) = A0 sin2π ft
Figure 3 presents the waveform change image of the sound field excitation source x(t) when A0 = 4 × 10−6 m and f = 20 kHz.
Figure 3.
Waveform image of the acoustic field excitation source x(t) variation.
3. Results and Discussion
3.1. Simulation Model Verification
To ensure the accuracy of modeling and the reliability of numerical simulation, it is essential to compare the simulation results with existing experimental data. This comparison confirms both the modeling accuracy and simulation reliability. The numerical simulation parameters are set according to the data from the experiment conducted by Song et al. [21]. The rock block is a cube measuring 100 mm × 100 mm. The fixed load is 4 kN, the vibration of the vibrating head follows a sine waveform with an amplitude of 4 × 10−6 m, and the vibration frequency ranges between 50 and 1000 Hz. There is no confining pressure, and the physical properties of the rock are listed in Table 2.
Table 2.
The error values between numerical simulation and experiments.
Figure 4 presents a comparison between the numerical simulation results and the experimental values reported in the literature. Figure 4 indicates that the simulation results are generally higher than the experimental values, although the overall trend of the simulation results aligns with the experimental data.
Figure 4.
Comparison between numerical simulation and experiment.
To accurately evaluate the model’s effectiveness, the average error (Avg. error) and standard deviation (RMS) are used to characterize the discrepancy between the numerical simulation values and the experimental values. The formulas are shown in Equations (3) and (4), where ΔXEXP represents the empirical calculation or experimental data, and ΔXSIM represents the numerical simulation value. The average error indicates the difference between the predicted and calculated results, while the standard deviation reflects the stability of these errors. The average error (Avg. error) and standard deviation (RMS) are defined by the following formulas:
Table 2 shows the error values between the experimental values and the simulation values at different frequencies. The error values meet the accuracy requirements of the experiment, thus verifying that the constructed model and numerical simulation method are accurate and reliable.
3.2. Calibration and Analysis of Rock Natural Frequency
The frequency sweep function in the acoustic module of the finite element software is utilized to analyze rocks of various sizes and physical parameters. This process determines their natural frequencies and examines the relationship between these frequencies, rock density, and elastic modulus.
Figure 5 depicts the relationship between the natural frequency of rocks of various sizes and their density. It shows that the natural frequency of rocks gradually decreases as rock density increases, indicating a negative correlation. Figure 5 illustrates that the density and elastic modulus of the rock significantly impact its natural frequency.
Figure 5.
Relationship between natural frequency and rock density of different sizes.
Figure 6 illustrates the relationship between the elastic modulus of rock and rock samples of varying sizes. Figure 6 demonstrates that the natural frequency of rock gradually increases with the elastic modulus, indicating a positive correlation.
Figure 6.
Relationship between natural frequencies of rocks of different sizes and rock elastic modulus.
Additionally, the figure indicates that under identical rock conditions, the natural frequencies of rock samples vary with size, decreasing as the rock sample size increases.
3.3. Effect of Vibration Frequency
Under the conditions of 20–60 kHz, a fixed load of 4 kN was applied to regular tetrahedral rock sample models with side lengths of 60, 80, and 100 mm. With an amplitude of 20 μm, after 20 cycles, the maximum surface displacement data of different rock sample models were obtained as the frequency varied.
As shown in Figure 7, the maximum surface displacement of all rock blocks exhibits a trend of initially increasing and then decreasing with increasing frequency. The excitation frequency at which each rock sample experiences maximum surface deformation decreases with the increasing size of the rock block. Specifically, the 60 mm edge length sample shows its maximum surface displacement around 50 kHz, the 80 mm edge length sample between 40 and 50 kHz, and the 100 mm edge length sample between 30 and 40 kHz. The curve for the 80 mm edge length rock block’s maximum surface deformation with varying excitation frequency appears symmetric, whereas the others do not show this symmetry, possibly due to limited testing frequencies.
Figure 7.
Relationship between excitation frequency and maximum displacement of rock specimens of different sizes.
From the curves, it can be observed that the maximum displacement for each rock block occurs near its natural frequency. This indicates that when the vibration frequency approaches the natural frequency of the rock sample, resonance occurs, resulting in maximum surface displacement and the greatest vibrational response of the rock.
To analyze the effect of frequency on rock blocks, samples of different sizes and frequencies were examined, and the maximum surface stress was analyzed. The results are presented in the table below.
Table 3 presents the surface stress cloud diagrams for rock samples of varying sizes and frequencies. Each cloud diagram indicates that the surface stress on the rock sample is tensile. As the frequency increases, the stress continues to concentrate in the middle of the rock block, forming a stress concentration effect near the natural frequency of the rock block. At this point, the deformation of the rock block is also the greatest. As the frequency continues to increase, the stress begins to disperse, leading to a decrease in the deformation of the rock block.
Table 3.
The surface stress variation diagrams of rock samples of different sizes under vibration at different frequencies.
Therefore, the figure shows that when high-frequency ultrasonic vibration acts on the rock block, the tensile stress causes deformation. Resonance occurs near the natural frequency of the rock sample, resulting in stress concentration in the center. At this point, the deformation of the rock block is the greatest.
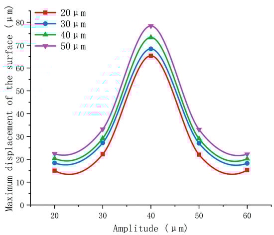
3.4. Effect of Amplitude
Amplitude is a crucial indicator for measuring ultrasonic vibration. It represents the magnitude of the ultrasonic vibration input energy. The vibration frequency is set to f0 = 20−60 kHz, with an increment of 10 kHz. The amplitude is set to 20–50 μm, with an increment of 10 μm. The static load is 4 kN, and the excitation duration is set to 20 cycles.
Based on Figure 8, it is evident that the maximum displacement of the rock surface varies under different excitation amplitudes. Under identical conditions, the curves depicting the relationship between excitation frequency and the maximum displacement of the rock surface exhibit symmetry around the extremum points. With increasing amplitude, these curves initially rise and then decline. In Figure 6, the extremum point of the rock model occurs around 40 kHz. As mentioned earlier, this extremum frequency point is close to the natural frequency of the rock model. When the excitation vibration frequency approaches the natural frequency of the rock block, resonance occurs, resulting in the maximum displacement of the rock surface. As the excitation frequency gradually moves away from the natural frequency of the rock, the resonance phenomenon weakens, and the maximum displacement of the rock surface decreases continuously.
Figure 8.
Relationship between amplitude and maximum displacement of rock surface at different excitation frequencies.
3.5. Effect of Confining Pressure
A 20 kHz vibration frequency was applied to a regular tetrahedral rock block model with a side length of 80 mm. A static load of 4 kN was applied. Confining pressures, as illustrated in Figure 9, were applied on the four sides. The confining pressures ranged from 20 to 50 MPa, with an increment of 5 MPa and an amplitude of 20 μm.
Figure 9.
Relationship between excitation frequency and maximum displacement of rock surface under different confining pressures.
Figure 9 illustrates the relationship between the maximum surface displacement of the rock and the excitation frequency under different constraints of the rock model. The curves depicting the maximum surface displacement of the rock under three different confining pressures indicate that, when the rock model is subjected to a fixed confining pressure, the excitation frequency corresponding to the maximum surface displacement of the rock remains constant at approximately 30 kHz, which is the natural frequency of the rock sample. The curve is not symmetrical around this frequency. When the excitation frequency is below the natural frequency of the rock sample model, the displacement response amplitude increases rapidly with increasing excitation frequency. When the excitation frequency exceeds the natural frequency of the rock sample model, the maximum surface displacement of the rock decreases slowly with increasing excitation frequency. Because the confining pressure inhibits the vibration response of the rock to some extent, under the same frequency excitation, the maximum surface displacement of the rock sample model decreases as the confining pressure increases.
3.6. Theoretical Analysis of Rock Response
As shown in Figure 10, a three-axis coordinate system XYZ is established, with the sides of the cubic rock block parallel to the coordinate axes. The confining pressure is applied to the surfaces corresponding to the X-axis and Z-axis, while the vibration is applied to the upper surface along the Y-axis and the lower surface is fixed.
Figure 10.
Schematic diagram of theoretical analysis coordinate system.
Take the X-axis direction as an example.
According to Hooke’s law, the force of confining pressure is
Simultaneous Equations (1)–(9) can be obtained
The Y-axis behavior is analogous to the X-axis, and thus its derivation is omitted here.
From the formula, it is evident that the stiffness of the rock block is solely related to the elastic modulus E and the side length L. To explore the factors influencing the resonance frequency under confining pressure, the following equations are established for the X-axis and Z-axis directions based on the principles of elastic-plastic mechanics: The confining pressure along the X-axis and Z-axis directions is considered a rigid constraint, preventing deformation of the rock block in these directions, thus:
It can be seen from the formula that the stiffness of the rock block is only related to the elastic modulus E and the side length L.
To explore the factors influencing the resonance frequency under confining pressure, the following equations are established for the X-axis and Z-axis directions based on the principles of elastic-plastic mechanics.
The confining pressure along the X-axis and Z-axis directions is considered a rigid constraint, preventing deformation of the rock block in these directions, thus:
The stress-strain equation is as follows:
From the formula, it is evident that the resonant frequency of the rock is solely related to its size, mass, and Poisson’s ratio. When the size and density of the rock are fixed, the resonant frequency is only dependent on Poisson’s ratio. Poisson’s ratio is an intrinsic property of the rock and is unaffected by external conditions. Therefore, the resonant frequency of the rock is solely dependent on its intrinsic properties and is unaffected by external conditions, such as confining pressure and excitation frequency. This conclusion aligns with the findings from the numerical simulation results discussed earlier.
4. Conclusions
This paper investigates the response of rock to ultrasonic high-frequency vibration excitation through numerical simulation and theoretical analysis. Ultrasonic high-frequency vibration is simulated using a sine wave excitation source, and the variation in the rock’s natural frequency is analyzed. By analyzing the displacement changes on the rock surface, the response patterns of the rock under varying frequencies and amplitudes are summarized. The factors influencing the rock’s resonance frequency under high-frequency vibration excitation are deduced theoretically, leading to the following conclusions:
(1) The natural frequency of rock is an intrinsic property. It is negatively correlated with rock density and positively correlated with the elastic modulus. Furthermore, the natural frequency decreases as the size of the rock sample increases.
(2) The maximum surface displacement of the rock block initially increases and then decreases with the rise in excitation frequency, reaching its peak near the rock block’s natural frequency.
(3) Under high-frequency excitation, the rock surface undergoes deformation due to tensile stress. When the excitation frequency approaches the natural frequency of the rock sample, resonance occurs, leading to stress concentration in the center of the rock block.
(4) The maximum vibration displacement of the rock initially increases and then decreases with increasing amplitude. Resonance occurs when the excitation frequency is near the natural frequency of 40 kHz, resulting in the largest surface displacement of the rock model.
(5) When rock is subjected to confining pressure, its maximum surface vibration displacement decreases as confining pressure increases. The maximum displacement still occurs near the natural frequency, or resonance frequency, which remains unaffected by changes in confining pressure.
In the practical application of ultrasonic rock fracturing, achieving optimal rock-breaking effects relies heavily on selecting appropriate operational parameters. Based on the research findings in this paper, parameter selection should carefully consider the dimensions of the drilling borehole, the physical properties of reservoir rocks, and the output parameters of the ultrasonic generator. These parameters include frequency, amplitude, vibration mode, and the type of vibration head.
Currently, ultrasonic rock fracturing remains primarily in the theoretical research stage. However, with the development and application of high-power ultrasonic generation equipment and compatible drilling tools, the practical application of ultrasonic vibration rock fracturing technology under optimal parameters can significantly enhance the speed of drilling for deep and ultra-deep wells. This advancement will contribute to accelerating the exploration and development of oil and gas resources, as well as advancing CCS (Carbon Capture and Storage) projects.
Author Contributions
Conceptualization, M.W.; software, L.X.; investigation, W.L.; resources, J.F.; data curation, H.W.; writing—original draft preparation, M.W. and L.X.; writing—review and editing, W.L. All authors have read and agreed to the published version of the manuscript.
Funding
This work is supported by the National Key Research and Development Program of China (“Novel Drilling Technology Combining Ultra-high Pressure Jet and Percussion for ROP Improvement in deep geothermal drilling”, grant no. 2021YFE0111400).
Data Availability Statement
Data are contained within the article.
Conflicts of Interest
Authors Minsheng Wang, Lingchao Xuan and Heng Wang were employed by Sinopec Research Institute of Petroleum Engineering Co. Ltd. The remaining authors declare that the research was conducted in the absence of any commercial or financial relationships that could be construed as a potential conflict of interest.
Nomenclature
| utt | structural acceleration |
| n | surface normal |
| pt | total acoustic pressure |
| ρc | Density (kg/m3) |
| qd | source vector |
| FA | load force by the structure (N) |
| L | Maximum mesh size of model elements (m) |
| V | Ultrasonic wave propagation speed (m/s) |
| fmax | Maximum frequency of ultrasonic excitation (Hz) |
| x(t) | Fluctuation displacement (m) |
| A0 | Vibration amplitude (m) |
| f | Vibration frequency (m) |
| T | Vibration time (s) |
| F | Force applied to the rock surface (N) |
| K | Modulus of elasticity, dimensionless number |
| Δx | X-direction deformation (m) |
| E | Elastic modulus (Pa) |
| σ | Stress (Pa) |
| ε | Strain dimensionless number |
| s | Rock sample model side area (m2) |
| σx | Stress in X direction (Pa) |
| σy | Strain force in Y direction (Pa) |
| μ | Poisson’s ratio dimensionless number |
| L | Side length of rock (m) |
| m | Rock system mass (kg) |
| C | is the damping coefficient (Ns/m) |
| f0 | Natural frequency of rock (Hz) |
References
- Mahjour, S.K.; Faroughi, S.A. Risks and Uncertainties in Carbon Capture, Transport, and Storage Projects: A Comprehensive Review. Gas Sci. Eng. 2023, 119, 205117. [Google Scholar] [CrossRef]
- Mazurek, M.; Gimmi, T.; Zwahlen, C.; Aschwanden, L.; Gaucher, E.C.; Kiczka, M.; Rufer, D.; Wersin, P.; Fernandes, M.M.; Glaus, M.A.; et al. Swiss Deep Drilling Campaign 2019–2022: Geological Overview and Rock Properties with Focus on Porosity and Pore-Space Architecture. Appl. Geochem. 2023, 159, 105839. [Google Scholar] [CrossRef]
- Liu, H.; Cui, S.; Meng, Y.; Li, Z.; Yu, X.; Sun, H.; Zhou, Y.; Luo, Y. Rock Mechanics and Wellbore Stability of Deep Shale during Drilling and Completion Processes. J. Pet. Sci. Eng. 2021, 205, 108882. [Google Scholar] [CrossRef]
- Zhao, Y.; Dai, S. Challenges of Rock Drilling and Opportunities from Bio-Boring. Biogeotechnics 2023, 1, 100009. [Google Scholar] [CrossRef]
- Wang, H.; Huang, H.; Bi, W.; Ji, G.; Zhou, B.; Zhuo, L. Deep and Ultra-Deep Oil and Gas Well Drilling Technologies: Progress and Prospect. Nat. Gas Ind. B 2022, 9, 141–157. [Google Scholar] [CrossRef]
- Feng, J.; Yan, T.; Cao, Y.; Sun, S. Ultrasonic-Assisted Rock-Breaking Technology and Oil and Gas Drilling Applications: A Review. Energies 2022, 15, 8394. [Google Scholar] [CrossRef]
- Akhymbayeva, B.S.; Akhymbayev, D.G.; Nauryzbayeva, D.K.; Mauletbekova, B.K. The Process of Crack Propagation during Rotary Percussion Drilling of Hard Rocks. Period. Eng. Nat. Sci. 2021, 9, 392–416. [Google Scholar] [CrossRef]
- Yan, L. Study on vibration characteristics of fractured rock and finite element analysis. J. Yangtze Univ. Sci. Ed. 2019, 16, 104–108. [Google Scholar] [CrossRef]
- Ji, G.; Wang, H.; Liu, L.; Li, S.; Sun, L.; Chen, Z. The Micro Vibration Equation of Rock and Its Analysis in Flat Indenter Basing on the Principle of Least Action. Adv. Pet. Explor. Dev. 2018, 16, 44–48. [Google Scholar]
- Wiercigroch, M.; Wojewoda, J.; Krivtsov, A.M. Dynamics of Ultrasonic Percussive Drilling of Hard Rocks. J. Sound Vib. 2005, 280, 739–757. [Google Scholar] [CrossRef]
- Pavlovskaia, E.; Hendry, D.C.; Wiercigroch, M. Modelling of High Frequency Vibro-Impact Drilling. Int. J. Mech. Sci. 2015, 91, 110–119. [Google Scholar] [CrossRef]
- Haghgouei, H.; Baghbanan, A.; Hashemolhosseini, H.; Jamali, S. Variable Amplitude Fatigue Life Prediction of Rock Samples Under Completely Reversed Loading. Geotech. Geol. Eng. 2021, 39, 1951–1962. [Google Scholar] [CrossRef]
- Li, S.Q.; Yan, T.; Li, W.; Bi, F.Q. Modeling of Vibration Response of Rock by Harmonic Impact. J. Nat. Gas Sci. Eng. 2015, 23, 90–96. [Google Scholar] [CrossRef]
- Li, S.; Chen, Z.; Li, W.; Yan, T.; Bi, F.; Tong, Y. An FE Simulation of the Fracture Characteristics of Blunt Rock Indenter Under Static and Harmonic Dynamic Loadings Using Cohesive Elements. Rock Mech. Rock Eng. 2023, 56, 2935–2947. [Google Scholar] [CrossRef]
- Liao, M.; Liu, Y.; Páez Chávez, J.; Chong, A.S.E.; Wiercigroch, M. Dynamics of Vibro-Impact Drilling with Linear and Nonlinear Rock Models. Int. J. Mech. Sci. 2018, 146–147, 200–210. [Google Scholar] [CrossRef]
- Zhao, Y.; Zhang, C.; Zhang, Z.; Gao, K.; Zhao, D.; Sun, Z.; Lv, X.; Zhou, Y.; Zhai, G. Experimental and Simulation Study on Breaking Rock under Coupled Static Loading and Ultrasonic Vibration. Shock Vib. 2022, 2022, 5536358. [Google Scholar] [CrossRef]
- Li, F.; Wang, G.; Xiang, G.; Tang, J.; Ren, B.; Chen, Z. Vibration Response of the Interfaces in Multi-Layer Combined Coal and Rock Mass under Impact Load. Processes 2023, 11, 306. [Google Scholar] [CrossRef]
- Tang, Q.; Zhao, D.; Zhou, Y.; Zhang, Z. Discrete Element Simulation for Investigating Fragmentation Mechanism of Hard Rock under Ultrasonic Vibration Loading. Energy Sci. Eng. 2020, 8, 3805–3822. [Google Scholar] [CrossRef]
- Zhang, L.; Wang, X.; Niu, Z.; Dai, J. Simulation Analysis of the Influence of Amplitude on Deformation and Fracture Characteristics of Hard Rock under Ultrasonic Vibration Load. Processes 2024, 12, 74. [Google Scholar] [CrossRef]
- Ma, B.; Zhang, K.; Xiao, F.; Jiang, T. Experimental and Numerical Studies on the Shear Mechanical Behavior of Rock Joints under Normal Vibration Loads. Comput. Geotech. 2024, 165, 105892. [Google Scholar] [CrossRef]
- Song, H.; Li, G.; Shi, H.; Huang, Z.; Song, X.; Yang, R. Analysis and Numerical Simulation for Resonant Response of Bottom Hole Rock. Zhendong Yu Chongji J. Vib. Shock 2019, 38, 13–20. [Google Scholar] [CrossRef]
Disclaimer/Publisher’s Note: The statements, opinions and data contained in all publications are solely those of the individual author(s) and contributor(s) and not of MDPI and/or the editor(s). MDPI and/or the editor(s) disclaim responsibility for any injury to people or property resulting from any ideas, methods, instructions or products referred to in the content. |
© 2024 by the authors. Licensee MDPI, Basel, Switzerland. This article is an open access article distributed under the terms and conditions of the Creative Commons Attribution (CC BY) license (https://creativecommons.org/licenses/by/4.0/).














