Abstract
The projection-based embedded discrete fracture model (pEDFM) and its counterpart, the embedded discrete fracture model (EDFM), have become standard tools for the depiction of the fractures in reservoir simulations. Despite their widespread use, there are still some unclear areas in modeling the complex processes of mass and heat transfer within fractured reservoirs, particularly in both single-phase and multiphase flow scenarios. Our research introduces a numerical methodology for simulating the mass and heat transfer in fractured reservoirs which is developed by extending the framework of the pEDFM and EDFM. To gauge the effectiveness of these models, we devised two cases which were designed to evaluate the adaptability of the pEDFM and EDFM in scenarios involving an ultra-low permeability fracture or a high permeability fracture under single-phase and multiphase conditions. By using local grid refinement (LGR) as a reference, the results of the pEDFM were in reasonably good agreement with the LGR in terms of pressure, temperature, and saturation distributions. This comparison suggests that the pEDFM has a significant advantage in depicting the mass and heat transfer at the matrix–fracture interface compared to the EDFM. Furthermore, a comprehensive analysis of the flow trajectories in both the pEDFM and EDFM provided a reasonable explanation for their differences. Furthermore, the numerical applications involving the heat extraction of Enhanced Geothermal Systems (EGSs) and the water flooding in fractured reservoirs illustrate the adaptability of the pEDFM in the numerical simulation for complex geological conditions. The insights and conclusions obtained in this paper can enhance our understanding of the distinctions between the pEDFM and EDFM, aiding in the selection of the most suitable method for characterizing the fractures in numerical simulations.
1. Introduction
With unconventional oil and gas research becoming a hot topic [,,,], researchers have not only focused on oil and gas resources, but some scholars have also begun to pay attention to the development of geothermal energy. As the global pursuit of geological energy resources intensifies, deep energy reservoirs, including deep-fractured oil and gas deposits and enhanced geothermal systems (EGSs), are becoming important components of the energy industry investment portfolio [,]. In order to utilize these underground energy resources, substantial volumes of low-temperature fluids are injected into high-temperature fractured reservoirs. In this context, fractures act as the principal channels for fluid movement and are critical in the exchange of mass and heat [,]. Thus, the precise simulation of the mass and heat transfer between the matrix and fractures, or the accurate representation of the fractures themselves, is essential for the numerical modeling of deep energy resource development.
The double continuum model, which includes the dual porosity, dual permeability, and multiple interacting continua models, is a classical and traditional approach for modeling the exchange of the mass and heat between the matrix and fractures [,]. This method divides the reservoir into two distinct systems: the matrix, which is responsible for storage, and the fracture network which serves as the main pathway for fluid flow. The transfer of the mass and heat between these two systems is governed by the pressure and temperature gradients, as well as the physical structure of the matrix rock. Numerous studies have been conducted using this approach. For instance, Benato and Taron [] applied the dual porosity numerical simulator, TFReact, to simulate the Desert Peak EGS project to examine the evolution mechanism of fracture permeability. Wang et al. [] used a dual porosity model to simulate the mass and heat transfer processes in an EGS and concluded that the fracture permeability is significantly more sensitive to the injection temperature and thermal expansion compared to the matrix. Pan et al. [] used a multiple interacting continua model to assess the potential of sCO2 as a working fluid for heat extraction, revealing a 160% enhancement in efficiency over water-based systems. Despite its high computational efficiency, the double continuum model can only provide an implicit characterization of fractures and lacks the precision to depict the fracture geometry accurately [].
Another method for calculating the exchange of the mass and heat between the matrix and fractures is the discrete fracture model (DFM). This model employs a dimensionality reduction treatment strategy to explicitly characterize fractures [,]. The DFM is capable of precisely simulating the transfer of the mass or heat between the matrix and fractures, taking into account the specific geometry of the fractures, and it offers a higher accuracy compared to the double continuum model. Researchers have extensively utilized the DFM to simulate the mass and heat transfer in fractured reservoirs. Based on the DFM, Aliyu and Archer [] investigated the performance of an EGS with a multi-fractured system and a three-dimensional THM model, focusing on how the varying numbers and spacings of fractures influence the production temperature and recovery rates. Zhang et al. (2022) [] examined the impact of fractal-like tree fractures and found a positive correlation between the key fracture parameters and heat extraction efficiency. Gudala et al. (2022) [] conducted an analysis on the heat extraction in the PUGA geothermal reservoir, experimenting with various hydraulic fracture configurations and well layouts to assess their performance. Despite the DFM’s ability to accurately depict the fracture geometry, it requires extensive grid refinement near the fractures and often requires unstructured grids to capture the complexity of the fractures, which can significantly increase the computation time [,].
The embedded discrete fracture model (EDFM) is another effective technique for explicitly characterizing fractures. It treats the fracture network as a sink/source within the matrix grid, allowing it to accurately represent the fracture geometry without requiring extensive grid refinements. Consequently, the EDFM provides greater accuracy than the double continuum model and superior computational efficiency than the DFM. The EDFM was initially proposed by Lee et al. [] for representing a small number of disconnected fractures, and it was later extended by Li and Lee [] to simulate networks of vertical fractures. Further enhancements were made by Moinfar et al. [,] to model three-dimensional fractures, which have popularized the EDFM as a preferred method for fracture characterization. However, the EDFM has its limitations, as noted by Ţene et al. [] and Jiang and Younis []. They addressed these limitations by developing the projection-based embedded discrete fracture model (pEDFM), which introduces an additional connection type and provides a preprocessing algorithm for 2D fractures. Subsequently, Olorode et al. [] expanded this algorithm for 3D fractures.
At their inception, the EDFM and pEDFM focused on the mass transfer between the matrix and fractures. Liu et al. [] utilized the EDFM to simulate the dynamics of the tracer flowback in tight reservoirs, incorporating four complex fracture patterns. The research indicated that the concentration of tracer flowback decreases with increased tracer adsorption and increases with higher fracture conductivity. Hu et al. [] constructed a three-dimensional numerical model with the EDFM to perform transient pressure analyses in shale gas reservoirs, taking into account variables such as such as adsorption, stress sensitivity, and high-velocity non-Darcy flow. Additionally, Liu et al. [] developed a pEDFM-based numerical model to determine the capacity of CO2 geological storage in shale gas reservoirs. A case study on the Albany shale illustrates the model’s efficiency in evaluating the CO2 sequestration potential. Jia et al. [] also developed a full compositional model incorporated the nano-confinement effect through the pEDFM to assess the CO2 sequestration capacity in shale oil reservoirs. The EDFM and pEDFM has, in recent times, been used in numerical simulations of heat transfer. The studies conducted by Shi et al. [] and Cao et al. [] have developed the boundary element method to improve the accuracy of early EDFM solutions, subsequently applying this modified EDFM to simulate the water flooding and heat extraction in EGSs. Sun et al. [] used the EDFM to assess the influence of natural fracture networks on the heat extraction efficiency, which indicated that the fracture permeability and density have a minor influence compared to well placement. HosseiniMehr et al. [] introduced a pEDFM framework for corner-point grid geometries to simulate the hydrothermal processes in fractured reservoirs. The entire solution was based on a fully implicit integration scheme. Similarly, Rao et al. [] applied the pEDFM to simulate the mass and heat transfer for oil–water two-phase flow in fractured reservoirs.
Despite the extensive research above, there is still a lack of detailed studies that analyze, discuss, and explain the adaptability of the pEDFM and EDFM in simulating the mass and heat transfer for fractured reservoirs, both for single-phase and multiphase scenarios. To address this gap, this paper commences by establishing a numerical methodology for simulating the mass and heat transfer in fractured reservoirs based on the framework of the pEDFM and EDFM. Following this, the paper provides a comprehensive analysis, discussion, and explanation through two cases and two numerical applications.
2. Methodology
2.1. Thermal-Hydraulic Coupling Equations
To simplify the problem and derive the fundamental equations, several assumptions are posited:
(1) Water and oil are both considered in the model, with the equations for a single-phase flow derived by simplifying those for water flow. The fluid flow is assumed to adhere to Darcy’s law. (2) Both heat conduction and convection are taken into account, while heat radiation is disregarded. The assumption of local thermal equilibrium is employed. (3) No heat exchange exists between the oil and water phases. (4) There is no assumption of heat or pressure loss within the wellbore. The pressure and temperature at any point within the wellbore are assumed to be uniform.
With these assumptions above, the thermal-hydraulic coupling equations can be written.
Mass conservation equation
Oil phase:
Water phase:
Energy conservation equation
In the above equations, ρ is the density, kg/m3; ϕ is the porosity, dimensionless; s is the saturation, dimensionless; t is the time, s; k is the permeability, m2; kr is the relative permeability for oil or water, dimensionless; μ is the viscosity, Pa∙s; q is the mass transfer item between the matrix/fracture and well, m3/s; Cp is the specific heat capacity, J/(kg∙°C); T is the temperature, °C; λeff is the effective heat conductivity, λeff = (1 − ϕ)λR + ϕ(λwsw + λoso), W/(m∙°C); E is the heat transfer item between the matrix/fracture and well, J/s; subscripts o and w represent the oil and water, respectively; superscripts Adc and Con represent the heat convection and heat conductivity, respectively; subscript R represents the rock matrix; subscript m&f-W represents the mass/heat transfer between the matrix/fracture and well.
2.2. Discretization
According to the finite volume method [], the thermal-hydraulic coupling equations can be discretized into the following forms. The details are shown in Appendix A.
In the above equations, λ is the phase mobility, m2/(Pa∙s); TIflow is the flowing transmissibility, m3; TIheat is the heat transmissibility, W/°C; Vi is the volume of cell i, m3; subscript ij represents the connection face between grids i and j.
The density at the connection interface is determined through arithmetic averaging, while the mobility, specific heat capacity, and temperature at the interface are based on upstream values. The flowing transmissibility and heat transmissibility govern the mass and heat transfer between the matrix and the fracture, and the source/sink terms manage the mass and heat transfer between the matrix/fracture and the well. The calculation methods for these parameters are outlined below.
2.3. Mass and Heat Transfer Between the Matrix and Fracture
In the framework of this research, the pEDFM and EDFM are utilized to simulate the mass and heat transfer between the matrix and the fracture. This simulation process needs to calculate the flowing transmissibility (TIflow) and heat transmissibility (TIheat) under a range of grid connection types. The EDFM method contains four primary grid connection types:
- (1)
- Adjacent matrix grids (Figure 1a): this type of connection occurs between neighboring cells in the matrix domain.
- (2)
- Adjacent fracture grids within adjacent matrix grids (Figure 1b).
- (3)
- Matrix grids and fracture grid within the same matrix grid (Figure 1c).
- (4)
- Fracture grids within the same matrix grid (Figure 1d).

Figure 1.
Schematic of different grid connection types. (a) Connection between adjacent matrix grids; (b) Connection between adjacent fracture grids in adjacent matrix grids; (c) Connection between the matrix grid and fracture grid inside this matrix grid; (d) Connection between the fracture grids in the same matrix grid; (e) Connection between the fracture grid in the hosting matrix grid and projection matrix grid adjacent to the hosting grid.
Additionally, the pEDFM introduces a fifth connection type, as proposed by Rashid et al. [] and Ren et al. []:
- (5)
- Connection between the fracture grid in the hosting matrix grid and projection matrix grid adjacent to the hosting grid (Figure 1e).
- (1)
- Connection between adjacent matrix grids
The flowing transmissibility between matrix grid i and matrix grid j is determined by the harmonic average of half the flowing transmissibility of each grid, and it is the same for the heat transmissibility.
and:
where ki and kj are the permeability of matrix grids i and j, m2; λeff,i and λeff,j are the effective heat conductivity of matrix grids i and j, W/(m∙°C); Aij is the area of the intersecting surface between matrix grids i and j, m2; di and dj are the distances from the centers of matrix grids i and j to the intersecting surface between two grids, m.
- (2)
- Connection between adjacent fracture grids in adjacent matrix grids
The calculation approach for the connection between adjacent fracture grids within adjacent matrix grids is the same as for the first type of connection. The key difference is that the parameters for the matrix grid are replaced with those of the fracture grids, particularly the area of the intersecting surface between the fracture grids i and j.
where ωf,ij is the fracture width of the surface where two fractures are located, m; lij is the collinear length of the fracture grids, m.
- (3)
- Connection between the matrix grid and fracture grid inside this matrix grid. For this specific connection, the calculation method is based on the same equation as Equation (7), but the half transmissibility must be calculated as follows:
- (4)
- Connection between the fracture grids in the same matrix grid
This connection type applies the same equation as Equation (7), and the calculation method for the half transmissibility between matrix grid i and fracture grid j is as follows:
where Lint is the length of the intersection line between the fracture grids, m; df is the average normal distance from a fracture cell to the intersection line, m.
- (5)
- Connection between the fracture grid in the hosting matrix grid and projection matrix grid adjacent to the hosting grid.
Taking fracture grid f, host matrix grid i, and projection matrix grid j for example
(Figure 1e), we assume that fracture grid f is projected to the projection matrix grid j, and the area of the projection surface of grid j is Apfj []; then, we have:
and:
where df−mj is the distance from the center of the projection matrix grid j to the center of fracture grid f, m.
Since this connection is added, a portion of the cross-sectional area between host matrix grid i and projection matrix grid j is occupied, and the effective exchange area between matrix grids i and j becomes Ai − Apfi. Therefore, a modification needs to be made for the first connection (take matrix grid i for example):
2.4. Mass and Heat Transfer Between the Matrix/Fracture and Well
The calculation of the mass and heat transfer between the matrix/fracture and well in this paper is based on the Peaceman well model [,]. The mass transfer between the matrix/fracture grid and well can be written as:
WIflow is the Peaceman’s well index, which depends on whether the wellbore intersects with the matrix grid or fracture grid and can be given as:
where α represents the oil or water phase; h is the thickness of the matrix grid, m; ωf is the fracture width, m; re is the equivalent supply radius, m; rw is the wellbore radius, m; pm and pf are the pressures of the matrix/fracture grid, Pa; pW is the well bottom hole pressure, Pa.
The equivalent supply radius calculation method is different for the wellbore intersecting with the matrix grid or the fracture grid, which can be expressed as:
where km,x and km,y are the permeability of the matrix grid in the x and y directions, m2; ∆x and ∆y are the horizontal dimensions of the matrix grid, m; l1 and l2 are the side lengths of the fracture surface intersecting with the wellbore, m.
The heat transfer between the matrix/fracture grid and well includes heat convection and heat conduction. The calculation of the heat convection item is based on the mass transfer:
The calculation of the heat conduction item refers to the Peaceman well model and can be written as:
WIheat is defined as the heat Peaceman’s well index and can be analogically written as:
and
where Tm and Tf are the temperature of the matrix/fracture grid, °C; TW is the well bottom hole temperature, °C.
2.5. Solution
The residual form of Equations (4)–(6) can be written as follows:
These equations are solved through Newton’s method, and the iterative form of each grid is shown as:
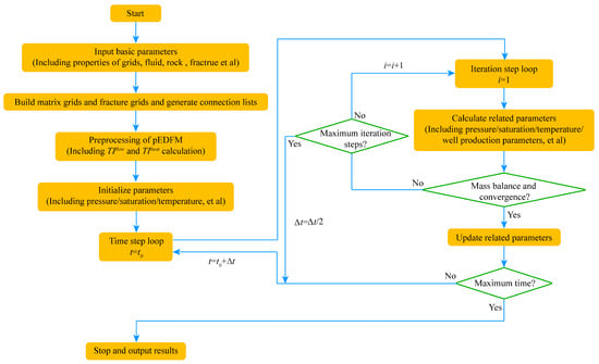
The solution process in this study was implemented based on MRST (version 2022a), an open-source MATLAB code for reservoir modeling and simulation. MRST is a scientific research simulator that relies on automatic differentiation, allowing researchers to focus more on the physical processes and mathematical models of their simulation objectives rather than on solving the derivatives and constructing Jacobian matrices. For this research, we enhanced the Geothermal module to handle multiphase scenarios and modified the pEDFM/EDFM of the Shale/hfm module to accurately depict the mass and heat transfer between the matrix and the fracture network. The overall solution process is illustrated in Figure 2.

Figure 2.
Schematic of solution procedure.
3. Results and Discussion
To assess the suitability of the pEDFM and EDFM, their numerical simulation results are contrasted, with the LGR (local grid refinement) results serving as the reference. Two test cases, derived from a shared physical model (Figure 3), were designed for this purpose:

Figure 3.
Schematic of physical model used for the analysis of the practicality of pEDFM.
Case 1: The simulation of the fluid flow through an ultra-low permeability fracture (flow barrier), including the simulation of the mass and heat transfer for both single-phase water and oil–water two-phase flows.
Case 2: The simulation of the fluid flow through a high-permeability fracture (high conductivity), also including both single-phase water and oil–water two-phase flows.
The fundamental parameters for both cases are detailed in Table 1, and the mesh generation results are presented in Figure 4.

Table 1.
Basic parameters for the analysis of the practicality of the pEDFM.

Figure 4.
Mesh generation results: (a) The distribution sketch map of pEDFM/EDFM and (b) The distribution sketch map of LGR.
3.1. Simulation of Case 1
In the first case study, we set the fracture permeability to 1 × 10−10 mD to simulate a flow barrier. For the single-phase scenario, we examined the pressure and temperature distributions. In the two-phase scenario, we also took the oil saturation into account in the comparison.
- (1)
- Single water phase
Owing to the extremely low permeability, the fracture acts as a barrier to the fluid flow, preventing the fluid on the left side of the fracture from flowing through it. As a result, the fluid is forced to move upwards on the left side of the fracture or to the right along the lower part of the fracture, which leads to a relatively high pressure buildup on the left side of the fracture. Moreover, the presence of this flow barrier forces the fluid to detour around the fracture, affecting the heat convection and conduction, and ultimately influencing the temperature distribution.
Figure 5 and Figure 6 show the pressure and temperature distributions as computed by using LGR, the pEDFM, and EDFM at 2000 days. It is evident that the pEDFM matches more closely the results by using LGR (considered as the reference) compared to the EDFM, which display noticeable deviations from the LGR outcomes. A distinct feature is the presence of a pressure discontinuity around the fracture’s location in the pressure distributions calculated by using LGR and the pEDFM, along with a concave shape in the temperature distribution around the fracture position. These findings demonstrate that the pEDFM captures the actual phenomenon more accurately, whereas the EDFM does not.

Figure 5.
Pressure distribution at 2000 days calculated by using LGR, pEDFM, and EDFM for single water phase in case 1.

Figure 6.
Temperature distribution at 2000 days calculated by using LGR, pEDFM, and EDFM for single water phase in case 1.
In order to conduct a further comparison, the pressure and temperature profiles along the x-direction at y = 52.5 m were examined (Figure 7). It is clear that there is a pronounced pressure discontinuity around the fracture’s position in the results obtained by using LGR and the pEDFM, while the pressure data from the EDFM appears continuous. Furthermore, prior to the low-temperature front reaching y = 52.5 m, the temperature data along the x-direction calculated by using LGR, the pEDFM, and EDFM are nearly same. However, once the low-temperature front reaches y = 52.5 m, the temperature data calculated by using the three methods begin to diverge.
- (2)
- Oil–water two phases

Figure 7.
Pressure and temperature profile at different times along the x direction at y = 52.5 m calculated by using LGR, pEDFM, and EDFM for single water phase in case 1.
In the oil–water two-phase scenario, the flow barrier prevents the water–oil front from flowing through the fracture. As the water–oil front approaches the lower part of the fracture, it spreads along both sides of the fracture. This change in the water–oil front’s flow direction impacts the heat convection and conduction, thereby impacting the temperature distribution.
Figure 8, Figure 9 and Figure 10 illustrate that the pressure and oil saturation distributions calculated by using LGR and the pEDFM show notable discontinuities around the fracture, with the temperature distribution also displaying a concave shape at the fracture location. In contrast, the pressure, oil saturation, and temperature distributions calculated by using the EDFM show continuity around the fracture, failing to capture the presence of the flow barrier. Moreover, Figure 11 shows obvious errors in the EDFM calculation results.

Figure 8.
Pressure distribution at 2000 days calculated by using LGR, pEDFM, and EDFM for oil–water two phases in case 1.

Figure 9.
Oil saturation distribution at 2000 days calculated by using LGR, pEDFM, and EDFM for oil–water two phases in case 1.

Figure 10.
Temperature distribution at 2000 days calculated by using LGR, pEDFM, and EDFM for oil–water two phases in case 1.

Figure 11.
Pressure, oil saturation, and temperature profile at different times along the x direction at y = 52.5 m calculated by using LGR, pEDFM, and EDFM for oil–water two phases in case 1.
3.2. Simulation of Case 2
In case 2, the fracture permeability was adjusted to 5 × 104 mD to simulate a fracture with high conductivity.
- (1)
- Single water phase
Figure 12 and Figure 13 clearly demonstrate that the results of both the pEDFM and EDFM match closely those calculated by using LGR, suggesting that these methods are capable of precisely depicting the mass and heat transfer in the context of fractures with high conductivity for a single water phase. Furthermore, the pressure and temperature distributions at different times along the x-axis at y = 20.5 m provide additional evidence to support this (as shown in Figure 14).
- (2)
- Oil–water two phases

Figure 12.
Pressure distribution at 2000 days calculated by using LGR, pEDFM, and EDFM for single water phase in case 2.

Figure 13.
Temperature distribution at 2000 days calculated by using LGR, pEDFM, and EDFM for single water phase in case 2.

Figure 14.
Pressure and temperature profile at different times along the x direction at y = 20.5 m calculated by using LGR, pEDFM, and EDFM for single water phase in case 2.
For the oil–water two-phase flow, the pressure distributions (Figure 15) from the pEDFM and EDFM match well those determined by using LGR, while the oil saturation and temperature distributions differ.

Figure 15.
Pressure distribution at 2000 days calculated by using LGR, pEDFM, and EDFM for oil–water two phases in case 2.
Figure 16 shows that the simulation results of LGR and the pEDFM have a lower oil saturation in the fracture’s mid-right section compared to those of the EDFM, but higher saturation at the top, which suggests that according to the EDFM, more water flows out from the upper part of the fracture, and less water flows out to the right side of the fracture after water enters the bottom of the fracture, which contradicts reality. As Figure 17 shows, the propagation of the low-temperature tip along the fracture calculated by using LGR and the pEDFM is relatively slower compared to that of the EDFM, and the temperature around the upper part of the fracture calculated by using the EDFM is relatively smaller than that of LGR and the pEDFM.

Figure 16.
Oil saturation distribution at 2000 days calculated by using LGR, pEDFM, and EDFM for oil–water two phases in case 2.

Figure 17.
Temperature distribution at 2000 days calculated by using LGR, pEDFM, and EDFM for oil–water two phases in case 2.
The x-direction profile at y = 84.5 m was also selected. As shown in Figure 18, the pressure profiles are nearly identical for LGR, the pEDFM, and EDFM at different times. However, the oil saturation profiles differ significantly, consistent with the previous description. Similarly, as time progresses, the temperature profiles shows a similar trend.

Figure 18.
Pressure, oil saturation, and temperature profile at different times along the x direction at y = 84.5 m calculated by using LGR, pEDFM, and EDFM for oil–water two phases in case 1.
3.3. Analysis
This section provides an in-depth analysis to explain the causes of the observed phenomena and evaluates the adaptability of the pEDFM and EDFM for simulating the mass and heat transfer in fractured reservoirs.
According to Jiang and Younis [], in the EDFM, the fracture behaves as a sink/source term within the matrix grid. The flow trajectory of the EDFM, as illustrated in Figure 19b, can be described as follows: Initially, fluid moves from the left matrix grid to the matrix grid containing a fracture grid (arrow ①). Next, a large part of the fluid in the matrix grid with a fracture grid is “sucked” into the fracture grid (arrow ②), while the rest flows into the right matrix grid (arrow ③). Finally, the fluid that enters the fracture grid flows along the fracture due to the pressure gradient (arrow ④).

Figure 19.
Schematic of the flowing trajectory of pEDFM and EDFM [] (Jiang and Younis, 2017).
In contrast, the pEDFM introduces the fifth grid connection and reduces the influence of the first connection. As a result, the flow trajectory of the pEDFM, as shown in Figure 19a, is as follows: Initially, fluid flows directly from the left matrix grid to the fracture grid (arrow ①). Then, the fluid within the fracture grid divides into two streams: part of it flows into the adjacent matrix grid (arrow ②), and the rest flows along the fracture (arrow ③). Lastly, the fluid in the adjacent matrix grid flows into the right matrix grid (arrow ④).
Based on the above analysis, when the fracture behaves as a flow barrier (Case 1), the EDFM still allows for the mass transfer between the hosting grid and the left matrix grid, which inevitably affects the heat transfer. However, in the pEDFM, the extremely low permeability of the fracture grid results in the flowing transmissibility between the fracture grid and the left matrix grid being close to zero, resulting in no mass transfer and consequently impacting the heat transfer between the hosting grid and the left matrix grid.
In the case of a fracture with a high conductivity (Case 2), for single-phase water flow, the EDFM’s flow trajectory does not induce calculation errors for the single water phase (with a water saturation of 1). For oil–water two-phase flow, however, the flow behavior of each phase is influenced by the mobility, which is saturation-dependent.
In the EDFM, when water flows into the hosting matrix grid, a significant portion is sucked into the fracture grid, leading to higher water saturation in the fracture grid and lower saturation in the hosting matrix grid. This results in less water flowing into the right matrix grid and more water flowing along the fracture grid due to the lower face water mobility between the hosting matrix grid and the right matrix grid, and the higher mobility between the fracture grids. This can lead to errors in the mass and heat transfer calculations. In contrast, the pEDFM forces water to flow into the fracture grid first before and split into two paths: along the fracture grids and into the hosting matrix grid. This results in higher water saturation in the hosting matrix grid, which causes more water to flow into the right matrix grid and provides a more precise simulation of the mass and heat transfer.
This section describes two numerical applications to demonstrate the enhanced adaptability of the pEDFM in simulating the mass and heat transfer complex geological scenarios.
3.4. Application 1: The Heat Extraction of an EGS
The energy stored within hot dry rock (HDR) located 3–10 km beneath the Earth’s surface is a clean, renewable, and environmentally friendly geothermal resource. The standard exploration method is artificially creating new fractures or reactivating the existing fractures to establish a fractured enhanced geothermal system (EGS). This section presents an application that numerically simulates the heat extraction process of an EGS.
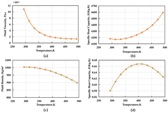
In this simulation, a computational model with a double well configuration is applied (refer to Figure 20a). The model consists of 28 fractures, which include 20 high permeability fractures and 8 ultra-low permeability fractures (as shown in Figure 20b). The effects of temperature on the physical properties of water, such as the density, viscosity, heat capacity, and thermal conductivity, are calculated as per Equation (27), and the other main parameters are shown in Table 2.

Figure 20.
The variation curves of water’s properties at different temperatures. (a) Fluid viscosity at different temperatures; (b) Specific Heat Capacity at different temperatures; (c) Fluid density at different temperatures; (d) Specific Heat Capacity at different temperatures.

Table 2.
Parameters of application 1.
Figure 21 illustrates the pressure distribution for this application, in which it is evident that the pressure computed by using the pEDFM and EDFM differs around the locations of the ultra-low permeability fractures (indicated by the black ellipse in Figure 22). As seen in Figure 23, the pEDFM’s simulation shows a slow propagation of the low-temperature front near the ultra-low permeability fractures, whereas the low-temperature front travels quickly along the high permeability fractures surrounding these ultra-low permeability fractures, which is the opposite of the EDFM (highlighted by the black ellipse in Figure 21). Moreover, the flow barrier effect of the ultra-low permeability fractures causes the injection pressure of the pEDFM to be higher than that of the EDFM (Figure 24a) and the production temperature of the pEDFM to decrease more rapidly, which leads to a greater total energy extraction (Figure 24b).

Figure 21.
Pressure distribution at 30 years calculated by pEDFM and EDFM for application 1.

Figure 22.
Schematic of application 1 (a) and the fracture permeability distribution (b).

Figure 23.
Temperature distribution at 30 years calculated by pEDFM and EDFM for application 1.

Figure 24.
Different curves calculated by pEDFM and EDFM for application 1. (a) The injection pressure calculated by pEDFM and EDFM; (b) The production temperature and total extracted energy calculated by pEDFM and EDFM.
3.5. Application 2: The Water Flooding in a Fractured Reservoir
Low-permeability fractured oil reservoirs have become a focus in the global oil production landscape. To avoid a fast drop in the reservoir pressure and a sharp decline in the oil production rates, the water injection technique of small well groups is widely applied. This section introduces an application of the pEDFM in numerically simulating the water flooding in fractured reservoirs, taking into account the impact of temperature.
For this simulation, a five-spot well model was built (see Figure 25a), which included 16 high-permeability fractures and 2 ultra-low-permeability fractures (as depicted in Figure 25b). The effect of temperature on the oil viscosity is considered as per Equation (28), and additional parameters are listed in Table 3.

Figure 25.
Schematic of application 2 (a) and the fracture permeability distribution (b).

Table 3.
Parameters of application 2.
Figure 26, Figure 27 and Figure 28 clearly show the ultra-low-permeability fractures surrounding injection wells Inj2 and Inj3, which results in a higher pressure distribution calculated by using the pEDFM than by using the EDFM. The pEDFM’s water saturation distribution appears more heterogeneous due to the influence of these ultra-low-permeability fractures, with water flowing slowly along the high-permeability fractures. The temperature distribution around the ultra-low-permeability fractures in the pEDFM differs from that in the EDFM.

Figure 26.
Pressure distribution at 10 years calculated by pEDFM and EDFM for application 2.

Figure 27.
Water saturation distribution of pEDFM and EDFM at 10 years for application 2.

Figure 28.
Temperature distribution at 10 years calculated by pEDFM and EDFM for application 2.
Figure 29 illustrates that the injection pressures for Inj2 and Inj3 calculated by using the pEDFM are higher due to the flow barrier (Figure 29a). Additionally, the pEDFM predicts an earlier water breakthrough time compared to the EDFM, and there are notable differences in both the oil and water production rates between the pEDFM and EDFM (Figure 29b).

Figure 29.
Different curves calculated by pEDFM and EDFM for application 2. (a) The injection pressure of wells calculated by pEDFM and EDFM; (b) Oil production rate of wells calculated by pEDFM and EDFM.
4. Summary and Conclusions
This study introduces a numerical simulation method designed to assess the adaptability of the pEDFM and EDFM for simulating the mass and heat transfer in fractured reservoirs. Based on the comparative simulation analyses and further numerical experiments, the following conclusions are drawn:
- (1)
- The fracture with an extremely low permeability of 1 × 10−10 mD was set to simulate a flow barrier. In both the single-phase and multiphase scenarios, the PEDFM had better fitting accuracy by using LGR than the EDFM regarding the pressure distribution, temperature distribution, and oil saturation distribution.
- (2)
- The fracture with an extremely low permeability of 5 × 10−4 mD was set to simulate a fracture with a high conductivity. In the single-phase scenario, both the pEDFM and EDFM matched closely the pressure and temperature distribution calculated by using LGR. In the multiphase scenario, the PEDFM and EDFM had better fitting using LGR regarding the pressure distribution, while the PEDFM had better fitting using LGR than the EDFM in terms of the temperature distribution and oil saturation distribution.
- (3)
- The application in the simulation of an EGS considering invalid fractures showed that the injection pressure predicted by using the pEDFM was lower than that of the EDFM. Moreover, the production temperature and total extracted energy were, respectively, lower and higher than those predicted by using the EDFM.
- (4)
- In the water flooding simulation application, the injection pressure calculated by using the pEDFM was higher than by applying the EDFM, the pEDFM’s water saturation distribution appeared to be more heterogeneous than by applying the EDFM, and the temperature distribution around the fracture was different.
- (5)
- The findings from the two comparative simulation cases and two numerical applications strongly suggest that the pEDFM is the preferred method for simulating the mass and heat transfer in fractured reservoirs, regardless of whether the scenario involves single-phase flow, multiphase flow, or intricate geological conditions.
The presence of thermal stress had an impact on the results. Due to the differences in the characterization of the fractures between the PEDFM and EDFM, their effects on the distribution of geostress and rock mechanics were inconsistent, resulting in inconsistent pressure and temperature changes in the calculated results. The new research needs to consider the difference caused by thermal stress.
Author Contributions
Conceptualization, S.C. and D.S.; methodology, D.S.; software, Q.W., D.S.; validation, D.L., Q.W. and D.S.; formal analysis, D.S. and D.L.; investigation, F.Y.; re-sources, S.C. and F.Y.; data curation, X.X.; writing—original draft preparation, D.S. and Z.W.; writing—review and editing, D.S. and X.G.; visualization, Z.W.; supervision, S.C.; project administration, S.C. and D.S.; funding acquisition, S.C. All authors have read and agreed to the published version of the manuscript.
Funding
This research was funded by The National Natural Science Fund of China (Grant No. 11872073). We gratefully acknowledge the support.
Data Availability Statement
The original contributions presented in the study are included in the article. Further inquiries can be directed to the corresponding author.
Acknowledgments
We are deeply appreciative of the Applied Computational Science group at SINTEF Digital’s Department of Mathematics and Cybernetics for providing the essential research tool, MRST.
Conflicts of Interest
Author Fuguo Yin was employed by the Petrochina Changqing Oilfield Company and author Xiao Xu was employed by the PetroChina Tarim Oilfield Company. The remaining authors declare that the research was conducted in the absence of any commercial or financial relationships that could be construed as a potential conflict of interest.
Appendix A. Appendix—The Derivation of Equation (6)
Integrating the left side of Equation (3) within a finite volume and time interval, without considering the heat transfer item between the matrix/fracture and well.
where Δt is the time interval, and ΔVi is the control volume of the i-th unit.
According to the Gaussian formula, the integrals of each term can be obtained separately:
The two-point linear approximation scheme is introduced, and the area which is integral in Equations (A2)–(A4) can be rewritten as:
where n is the number of adjacent units to the i-th unit, ΔVi is the volume of the unit, Gij is the geometric factor of this connection between the i-th cell, and the jth unit is usually related to the geometric parameters and absolute magnetic permeability of the two connected units. λo,ij, λw,ij are the mobility of the oil phase and water phase, which are related to the pressure and saturation.
By using the rectangular method to calculate the integrals on the right side of Equations (A5)–(A7) affected by time, and adopting an implicit approach, the above three equations can be expressed as:
By combining Equations (A1) and (A8)–(A10), Equation (3) can be obtained. Similarly, Equations (4) and (5) can be obtained.
References
- Liu, C.; Wang, T.R.; You, Q.; Du, Y.-C.; Zhao, G.; Dai, C.-L. The Effects of Various Factors on Spontaneous Imbibition in Tight Oil Reservoirs. Pet. Sci. 2024, 21, 315–326. [Google Scholar] [CrossRef]
- Zhang, T.; Wang, B.; Zhao, Y.; Zhang, L.-H.; Qiao, X.-Y.; Zhang, L.; Guo, J.-J.; Thanh, H.V. Inter-layer interference for multi-layered tight gas reservoir in the absence and presence of movable water. Pet. Sci. 2024, 21, 1751–1764. [Google Scholar] [CrossRef]
- Wei, C.; Tan, Z.; Huang, G.; Cheng, X.; Zeng, Y.; Luo, H.; Li, Y.; Li, H. Generalized Analytical Well-Test Solutions for Vertically Fractured Wells in Commingled Reservoirs. J. Energy Resour. Technol. 2024, 146, 053501. [Google Scholar] [CrossRef]
- Zhang, T.; Luo, S.; Zhou, H.; Hu, H.; Zhang, L.; Zhao, Y.; Li, J.; Javadpour, F. Pore-scale modelling of water sorption in nanopore systems of shale. Int. J. Coal Geol. 2023, 273, 104266. [Google Scholar] [CrossRef]
- Gudala, M.; Govindarajan, S.K.; Yan, B.; Sun, S. Numerical Investigations of the PUGA Geothermal Reservoir with Multistage Hydraulic Fractures and Well Patterns Using Fully Coupled Thermo-Hydro-Geomechanical Modeling. Energy 2022, 253, 124173. [Google Scholar] [CrossRef]
- Lei, Q.; Xu, Y.; Yang, Z.; Cai, B.; Wang, X.; Zhou, L.; Liu, H.; Xu, M.; Wang, L.; Li, S. Progress and Development Directions of Stimulation Techniques for Ultra-Deep Oil and Gas Reservoirs. Pet. Explor. Dev. 2021, 48, 221–231. [Google Scholar] [CrossRef]
- Shi, Y.; Song, X.; Li, J.; Wang, G.; Zheng, R.; YuLong, F. Numerical investigation on heat extraction performance of a multilateral-well enhanced geothermal system with a discrete fracture network. Fuel 2019, 244, 207–226. [Google Scholar] [CrossRef]
- Wang, C.; Liu, X.; Wang, E.; Wang, M.; Liu, C. Dependence of connectivity dominance on fracture permeability and influence of topological centrality on the flow capacity of fractured porous media. J. Hydrol. 2023, 624, 129883. [Google Scholar] [CrossRef]
- Pruess, K.; Narasimhan, T.N. A Practical Method for Modeling Fluid and Heat Flow in Fractured Porous Media. SPE J. 1985, 25, 14–26. [Google Scholar] [CrossRef]
- Warren, J.E.; Root, P.J. The Behavior of Naturally Fractured Reservoirs. SPE J. 1963, 3, 245–255. [Google Scholar] [CrossRef]
- Benato, S.; Taron, J. Desert Peak EGS: Mechanisms Influencing Permeability Evolution Investigated Using Dual-Porosity Simulator TFReact. Geothermics 2016, 63, 157–181. [Google Scholar] [CrossRef]
- Wang, S.; Huang, Z.; Wu, Y.-S.; Winterfeld, P.H.; Zerpa, L.E. A semi-analytical correlation of thermal-hydraulic-mechanical behavior of fractures and its application to modeling reservoir scale cold water injection problems in enhanced geothermal reservoirs. Geothermics 2016, 64, 81–95. [Google Scholar] [CrossRef]
- Pan, C.; Chávez, O.; Romero, C.E.; Levy, E.K.; Aguilar Corona, A.; Rubio-Maya, C. Heat mining assessment for geothermal reservoirs in Mexico using supercritical CO2 injection. Energy 2016, 102, 148–160. [Google Scholar] [CrossRef]
- Berkowitz, B. Characterizing Flow and Transport in Fractured Geological Media: A Review. Adv. Water Resour. 2002, 25, 861–884. [Google Scholar] [CrossRef]
- Cao, R.; Shi, J.; Jia, Z.; Cao, C.; Cheng, L.; Liu, G. A Modified 3D-EDFM Method Considering Fracture Width Variation Due to Thermal Stress and Its Application in Enhanced Geothermal System. J. Hydrol. 2023, 623, 129749. [Google Scholar] [CrossRef]
- Jiang, J.; Younis, R.M. An Improved Projection-Based Embedded Discrete Fracture Model (pEDFM) for Multiphase Flow in Fractured Reservoirs. Adv. Water Resour. 2017, 109, 267–289. [Google Scholar] [CrossRef]
- Aliyu, M.D.; Archer, R.A. Numerical Simulation of Multifracture HDR Geothermal Reservoirs. Renew. Energy 2021, 164, 541–555. [Google Scholar] [CrossRef]
- Zhang, B.; Qu, Z.; Guo, T.; Sheng, M.; Chen, M.; Wang, J.; Wang, Y.; Guo, C. Coupled thermal-hydraulic investigation on the heat extraction performance considering a fractal-like tree fracture network in a multilateral well enhanced geothermal system. Appl. Therm. Eng. 2022, 208, 118221. [Google Scholar] [CrossRef]
- Gu, F.; Li, Y.; Tang, D.; Gao, Y.; Zhang, Y.; Yang, P.; Ye, H. Heat Extraction Performance of Horizontal-Well Deep Borehole Heat Exchanger and Comprehensive Comparison with the Vertical Well. Appl. Therm. Eng. 2022, 211, 118426. [Google Scholar] [CrossRef]
- Kim, H.; Onishi, T.; Chen, H.; Datta-Gupta, A. Parameterization of Embedded Discrete Fracture Models (EDFM) for Efficient History Matching of Fractured Reservoirs. J. Pet. Sci. Eng. 2021, 204, 108681. [Google Scholar] [CrossRef]
- Moinfar, A.; Varavei, A.; Sepehrnoori, K.; Johns, R.T. Development of a Novel and Computationally-Efficient Discrete-Fracture Model to Study IOR Processes in Naturally Fractured Reservoirs. In Proceedings of the SPE Improved Oil Recovery Symposium, Tulsa, OK, USA, 14–18 April 2012; p. SPE-154246-MS. [Google Scholar] [CrossRef]
- Lee, S.H.; Lough, M.F.; Jensen, C.L. Hierarchical Modeling of Flow in Naturally Fractured Formations with Multiple Length Scales. Water Resour. Res. 2001, 37, 443–455. [Google Scholar] [CrossRef]
- Li, L.; Lee, S.H. Efficient Field-Scale Simulation of Black Oil in a Naturally Fractured Reservoir Through Discrete Fracture Networks and Homogenized Media. SPE Reserv. Eval. Eng. 2008, 11, 750–758. [Google Scholar] [CrossRef]
- Moinfar, A.; Varavei, A.; Sepehrnoori, K.; Johns, R.T. Development of an Efficient Embedded Discrete Fracture Model for 3D Compositional Reservoir Simulation in Fractured Reservoirs. SPE J. 2014, 19, 289–303. [Google Scholar] [CrossRef]
- Moinfar, A.; Sepehrnoori, K.; Johns, R.T.; Varavei, A. Coupled Geomechanics and Flow Simulation for an Embedded Discrete Fracture Model. In Proceedings of the SPE Reservoir Simulation Symposium, The Woodlands, TX, USA, 18–20 February 2013; SPE: Richardson, TX, USA; p. SPE-163666-MS. [Google Scholar] [CrossRef]
- Ţene, M.; Bosma, S.B.M.; Al Kobaisi, M.S.; Hajibeygi, H. Projection-based Embedded Discrete Fracture Model (pEDFM). Adv. Water Resour. 2017, 105, 205–216. [Google Scholar] [CrossRef]
- Olorode, O.; Wang, B.; Rashid, H.U. Three-Dimensional Projection-Based Embedded Discrete-Fracture Model for Compositional Simulation of Fractured Reservoirs. SPE J. 2020, 25, 2143–2161. [Google Scholar] [CrossRef]
- Liu, J.; Jiang, L.; Liu, T.; Yang, D. Modeling Tracer Flowback Behaviour for a Fractured Vertical Well in a Tight Formation by Coupling Fluid Flow and Geomechanical Dynamics. J. Nat. Gas Sci. Eng. 2020, 84, 103656. [Google Scholar] [CrossRef]
- Hu, P.; Geng, S.; Liu, X.; Li, C.; Zhu, R.; He, X. A Three-Dimensional Numerical Pressure Transient Analysis Model for Fractured Horizontal Wells in Shale Gas Reservoirs. J. Hydrol. 2023, 620, 129545. [Google Scholar] [CrossRef]
- Liu, H.; Rao, X.; Xiong, H. Evaluation of CO2 Sequestration Capacity in Complex-Boundary-Shape Shale Gas Reservoirs Using Projection-Based Embedded Discrete Fracture Model (pEDFM). Fuel 2020, 277, 118201. [Google Scholar] [CrossRef]
- Jia, Z.; Cheng, L.; Feng, H.; Cao, R.; Jia, P.; Pu, B.; Pan, Q.; Shi, J. Full Composition Numerical Simulation of CO2 Utilization Process in Shale Reservoir Using Projection-Based Embedded Discrete Fracture Model (pEDFM) Considering Nano-Confinement Effect. Gas Sci. Eng. 2023, 111, 204932. [Google Scholar] [CrossRef]
- Shi, J.; Cheng, L.; Rao, X.; Cao, R.; Liu, G. A modified embedded discrete-fracture model to study oil-water two-phase heat and mass transfer in the complex fracture network. Int. J. Heat Mass Transf. 2021, 175, 121215. [Google Scholar] [CrossRef]
- Sun, H.; Firat, B.; Yu, W.; Bommer, P.; Sepehrnoori, K.; Senturk, E.; Tuzen, M.K. Numerical modeling of a geothermal reservoir with high permeability in Turkey. Geothermics 2023, 113, 102757. [Google Scholar] [CrossRef]
- HosseiniMehr, M.; Tomala, J.P.; Vuik, C.; Kobaisi, M.A.; Hajibeygi, H. Projection-Based Embedded Discrete Fracture Model (pEDFM) for Flow and Heat Transfer in Real-Field Geological Formations with Hexahedral Corner-Point Grids. Adv. Water Resour. 2022, 159, 104091. [Google Scholar] [CrossRef]
- Rao, X.; Xin, L.; He, Y.; Fang, X.; Gong, R.; Wang, F.; Zhao, H.; Shi, J.; Xu, Y.; Dai, W. Numerical simulation of two-phase heat and mass transfer in fractured reservoirs based on projection-based embedded discrete fracture model (pEDFM). J. Pet. Sci. Eng. 2022, 208, 109323. [Google Scholar] [CrossRef]
- Bao, K.; Lie, K.-A.; Møyner, O.; Chen, M. Fully Implicit Simulation of Polymer Flooding with MRST. Comput. Geosci. 2017, 21, 1219–1244. [Google Scholar] [CrossRef]
- Rashid, H.; Olorode, O.; Chukwudozie, C. An iteratively coupled model for flow, deformation, and fracture propagation in fractured unconventional reservoirs. J. Pet. Sci. Eng. 2022, 214, 110468. [Google Scholar] [CrossRef]
- Ren, G.; Jiang, J.; Younis, R.M. A Model for coupled geomechanics and multiphase flow in fractured porous media using embedded meshes. Adv. Water Resour. 2018, 122, 113–130. [Google Scholar] [CrossRef]
- Ibrahim, M. Development of New Well Index Equation for Fracture Wells. In Proceedings of the SPE Unconventional Gas Conference and Exhibition, Muscat, Oman, 28–30 January 2013; SPE: Richardson, TX, USA; p. SPE-164017-MS. [Google Scholar] [CrossRef]
- Peaceman, D.W. Interpretation of Well-Block Pressures in Numerical Reservoir Simulation With Nonsquare Grid Blocks and Anisotropic Permeability. SPE J. 1983, 23, 531–543. [Google Scholar] [CrossRef]
Disclaimer/Publisher’s Note: The statements, opinions and data contained in all publications are solely those of the individual author(s) and contributor(s) and not of MDPI and/or the editor(s). MDPI and/or the editor(s) disclaim responsibility for any injury to people or property resulting from any ideas, methods, instructions or products referred to in the content. |
© 2024 by the authors. Licensee MDPI, Basel, Switzerland. This article is an open access article distributed under the terms and conditions of the Creative Commons Attribution (CC BY) license (https://creativecommons.org/licenses/by/4.0/).