Regulation of Reactivity of Calcined Ultrafine Kaolin Products
Abstract
1. Introduction
2. Experimental Materials and Methods
2.1. Experimental Materials
2.2. Experimental Methods
- (1)
 - X-ray fluorescence spectroscopy (XRF)
 
- (2)
 - Particle size analysis
 
- (3)
 - Fourier transform infrared spectroscopy (FT-IR)
 
- (4)
 - X-ray diffraction (XRD)
 
- (5)
 - Scanning electron microscope (SEM) test
 
- (6)
 - Thermogravimetric Analysis and Differential Scanning Calorimetry (TG–DSC)
 
- (7)
 - The method of kaolin calcination
 
- (8)
 - Thickening experiment
 
- ①
 - Slurry preparation
 
- ②
 - Thickening experiment
 
3. Results and Discussion
3.1. X-ray Fluorescence Spectrometry of Kaolin
3.2. TG-DSC of Kaolin
- Stage of removing free water (room temperature—434 °C): The mass loss of this stage is 0.85%, mainly removing free water, adsorbed water, and organic impurities in kaolin. An endothermic peak around 434 °C signifies the removal of adsorbed or crystalline water.
 - Stage of removing structural water (434 °C–624 °C): The mass loss of this stage is 13.51%, and the crystal structure of kaolin is changed in this stage. Kaolinite’s (kaolinite crystal phase in kaolin) structure features aluminum–oxygen octahedral layers containing hydroxyl (OH) groups. As heating progresses, these hydroxyl groups are gradually released, resulting in a reduction in the mass of the aluminum–oxygen octahedral layers. The reaction can be summarized as follows: Al2O3·2SiO2·2H2O → Al2O3·2SiO2 + 2H2O. The dehydroxylation process of kaolinite may cause minor structural changes, but kaolinite does not fully transform into other minerals. The structural changes at this stage typically impact the performance and physical properties of kaolinite, but the layered structure is still maintained. As hydroxyl groups are released, the mass of kaolinite decreases. This is because the removal of hydroxyl groups directly affects the mineral’s chemical composition and structural stability, leading to a reduction in mass. Overall, the dehydroxylation phenomenon involves a gradual release of hydroxyl groups and adjustment of the mineral structure, which significantly affects the mass change in kaolinite during the intermediate heating stage. At this stage, kaolin is converted to metakaolin [22] (metakaolin is a kind of intermediate-stage mineral formed after the high-temperature treatment of kaolin). An endothermic peak near 624 °C marks the removal of hydroxyl groups from kaolinite, which is crucial for its transformation into metakaolin.
 - Stage of phase transformation (624–1200 °C): The mass loss during this stage is 1.52%, primarily resulting from the transformation of the amorphous phase of metakaolin into stable mullite [23]. During this stage, metakaolin undergoes rapid decomposition, and changes in silica occur. Initially, a weakly crystallized mullite phase forms. As the temperature rises, this weakly crystallized mullite transforms into stable mullite and quartz. Endothermic peaks above 1004 °C reflect structural changes in kaolinite or its conversion into other minerals, such as mullite.
 
3.3. Effect of Calcination Temperature on Calcined Products of Kaolin
3.3.1. Particle Size Analysis
3.3.2. Fourier Transform Infrared Spectroscopy (FT-IR)
3.3.3. XRD Analysis
3.3.4. SEM Analysis
3.3.5. Effect of Calcination Temperature on Thickening Time of Calcined Products
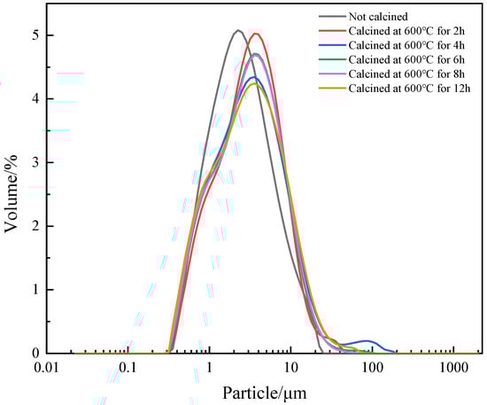
3.4. Effect of Calcination Time on Calcined Products of Kaolin
3.4.1. Particle Size Analysis
3.4.2. Fourier Transform Infrared Spectroscopy (FT-IR)
3.4.3. XRD Analysis
3.4.4. SEM Analysis
3.4.5. Effect of Calcination Time on Thickening Time of Calcined Products
3.5. The Effect of the Si-Al Ratio of the System on the Thickening Time of Calcined Kaolin Products
3.6. Influence of Calcination Conditions and Si-Al Ratio on Thickening Time of Calcined Products
4. Conclusions and Suggestions
- (1)
 - By thoroughly analyzing the TG-DSC curves of kaolinite, along with the FT-IR and XRD results of the calcined products under various conditions, the following observations are made: At a calcination temperature of 500 °C, kaolinite begins to transition from a crystalline to an amorphous phase. At temperatures between 600 °C and 800 °C, the primary phase of the calcined kaolinite products is metakaolin. When the temperature exceeds 900 °C, the formation of phases such as mullite becomes evident in the calcined products.
 - (2)
 - Calcination temperature has the most significant impact on the reactivity of calcined kaolin products. When the temperature is between 600 °C and 800 °C, the reactivity is high, and the thickening time ranges from 12 to 43 min. Above 900 °C, less reactive substances like mullite appear, causing a reduction in consistency; for instance, at 900 °C, the consistency decreases from 34 Bc to 26 Bc within 1 h.The silica–aluminum ratio also affects thickening time, with both excessively high and low ratios extending the thickening time. For Si/Al ratios of 0.85, 0.90, and 0.95, the thickening times are 97 min, 43 min, and 157 min, respectively.Calcination time has the smallest effect on reactivity. For calcination times of 4 to 8 h, the thickening time ranges from 10 to 25 min.
 - (3)
 - After calcination, the particle size of the calcined product increases compared to that of raw kaolin. Initially, the kaolinite lattice expands due to heat, increasing particle size. However, at higher temperatures (>700 °C), the kaolinite lattice twists, causing a decrease in particle size. Thus, particle size trends upward and then downward with increasing temperature. With a prolonged calcination time, the particle size first increases due to thermal expansion and potential agglomeration, then decreases as dehydration completes, and may increase again if recrystallization occurs. The maximum particle size is observed after calcination at 600 °C for 4 h.
 - (4)
 - The reactivity of metakaolin can be adjusted by varying calcination temperature or calcination time and by adding alumina, silica, or other substances, allowing the performance to meet specific requirements.
 - (5)
 - This study found that geopolymers made solely from metakaolin have low compressive strength. Even after curing at 70 °C for 24 h, the compressive strength remains below 1 MPa, despite the reduction in water content in the slurry preparation. Further research is needed to understand and address the causes of the low compressive strength of pure metakaolin-based geopolymers, with the aim of improving their compressive strength to meet practical demands.
 
Author Contributions
Funding
Data Availability Statement
Conflicts of Interest
References
- Li, F.; Cui, J.; Zhu, Z.; Wang, Y. Research on the digitalization-driven and synergistic mechanism of carbon neutral pathway of China’s pillar industries. Intell. Sci. 2024, 42, 64–70. [Google Scholar]
 - Yang, H.; Yang, M. Peak Carbon Neutrality: The Path of Energy Transformation for China’s Modernization. Econ. Probl. 2024, 1–7. [Google Scholar] [CrossRef]
 - Zhang, K.; Pan, J. Carbon Neutrality and the Internal Mechanism and Policy Path of Driving the High Quality Development of China’s Economy. Contemporary Economic Management. Contemp. Econ. Manag. 2024, 46, 1–12. [Google Scholar]
 - Singh, N.B.; Kumar, M.; Rai, S. Geopolymer cement and concrete: Properties. In Proceedings of the 11th National Conference on Solid State Chemistry and Allied Areas (NCSCA), Nagpur, India, 20–21 December 2019; pp. 743–748. [Google Scholar]
 - Singh, N.B.; Saxena, S.K.; Kumar, M.; Rai, S. Geopolymer cement: Synthesis, Characterization, Properties and applications. In Proceedings of the International Conference on Multifunctional Advanced Materials (ICMAM), Nagpur, India, 5–7 October 2018; pp. 364–370. [Google Scholar]
 - Zhang, Y.S.; Sun, W.; Li, Z.J. Composition design and microstructural characterization of calcined kaolin-based geopolymer cement. Appl. Clay Sci. 2010, 47, 271–275. [Google Scholar] [CrossRef]
 - Allahverdi, A.; Kani, E.N. Construction Wastes as Raw Materials for Geopolymer Binders. Int. J. Civ. Eng. 2009, 7, 154–160. [Google Scholar]
 - Arokiasamy, P.; Abdullah, M.M.A.; Abd Rahim, S.Z.; Sadique, M.; Ming, L.Y.; Salleh, M.; Zainol, M.; Ghazali, C.M.R. Diverse material based geopolymer towards heavy metals removal: A review. J. Mater. Res. Technol.-JMRT 2023, 22, 126–156. [Google Scholar] [CrossRef]
 - Assi, L.N.; Carter, K.; Deaver, E.; Ziehl, P. Review of availability of source materials for geopolymer/sustainable concrete. J. Clean. Prod. 2020, 263, 13. [Google Scholar] [CrossRef]
 - Autef, A.; Joussein, E.; Gasgnier, G.; Pronier, S.; Sobrados, I.; Sanz, J.; Rossignol, S. Role of metakaolin dehydroxylation in geopolymer synthesis. Powder Technol. 2013, 250, 33–39. [Google Scholar] [CrossRef]
 - Lin, M.Y.; Cheng, T.W. A study on recycling of coal bottom ashes as the raw material for geopolymer mortars. In Proceedings of the 8th International Symposium on East Asian Resources Recycling Technology, Beijing, China, 9–15 November 2005; pp. 254–257. [Google Scholar]
 - Nikolov, A.; Rostovsky, I.; Nugteren, H. Geopolymer materials based on natural zeolite. Case Stud. Constr. Mater. 2017, 6, 198–205. [Google Scholar] [CrossRef]
 - Perná, I.; Hanzlícek, T.; Supová, M. The identification of geopolymer affinity in specific cases of clay materials. Appl. Clay Sci. 2014, 102, 213–219. [Google Scholar] [CrossRef]
 - Tamizi, S.M.; Al Bakri, A.M.M.; Kamarudin, H.; Ruzaidi, C.M.; Liyana, J.; Aeslina, A.K. Potential of Marine Clay as Raw Material in Geopolymer Composite. In Proceedings of the International Conference on Advanced Materials Engineering and Technology (ICAMET 2012), Penang, Malaysia, 28–30 November 2012. [Google Scholar]
 - Chen, L.; Wang, Z.Q.; Wang, Y.Y.; Feng, J. Preparation and Properties of Alkali Activated Metakaolin-Based Geopolymer. Materials 2016, 9, 12. [Google Scholar] [CrossRef]
 - Manaenkov, A.; Steinerova, M.; Kukleva, E. Effect of Kaolin Addition into Metakaolin Geopolymer Composite. J. Mater. Civ. Eng. 2021, 33, 5. [Google Scholar] [CrossRef]
 - Ribeiro, R.A.S.; Ribeiro, M.G.S.; Kriven, W.M. A Review of Particle- and Fiber-Reinforced Metakaolin-Based Geopolymer Composites. J. Ceram. Sci. Technol. 2017, 8, 307–322. [Google Scholar] [CrossRef]
 - Gleize, P.J.P.; Müllier, A.; Roman, H.R. Microstructural investigation of a silica fume-cement-lime mortar. Cem. Concr. Compos. 2003, 25, 171–175. [Google Scholar] [CrossRef]
 - Wang, X.J.; Pan, Z.G.; Zhu, C.F.; Zhu, H.F. Reaction Degree of Silica Fume and Its Effect on Compressive Strength of Cement-silica Fume Blends. J. Wuhan Univ. Technol.-Mat. Sci. Edit. 2014, 29, 721–725. [Google Scholar] [CrossRef]
 - Wang, H.Y.; Li, C.S.; Peng, Z.J.; Zhang, S.J. Characterization and thermal behavior of kaolin. J. Therm. Anal. Calorim. 2011, 105, 157–160. [Google Scholar] [CrossRef]
 - Zhu, H.; Yao, X.; Zhang, Z. Initial selection of activation temperature for kaolin calcination. J. Build. Mater. 2008, 11, 621–625. [Google Scholar]
 - Yang, G.; Zhao, Y.; Zhu, L.; Wu, X. Preparation and compressive strength of alkali-excited metakaolin-based polymers. Silic. Bull. 2022, 41, 894–902. [Google Scholar] [CrossRef]
 - Li, D. Preparation and Properties of High-Strength Metakaolin-Based Plasmonic Polymers. Master’s Thesis, Taiyuan University of Technology, Taiyuan, China, 2017. [Google Scholar]
 - Xu, L.; Wang, J.J.; Li, K.F.; Hao, T.Y.; Li, Z.; Li, L.; Ran, B.; Du, H. New insights on dehydration at elevated temperature and rehydration of GGBS blended cement. Cem. Concr. Compos. 2023, 139, 21. [Google Scholar] [CrossRef]
 - Blanco, I.; D’Angelo, A.; Viola, V.; Vertuccio, L.; Catauro, M. Metakaolin-based geopolymers filled with volcanic fly ashes: FT-IR, thermal characterization, and antibacterial property. Sci. Eng. Compos. Mater. 2023, 30, 11. [Google Scholar] [CrossRef]
 - Dal Poggetto, G.; D’Angelo, A.; Blanco, I.; Piccolella, S.; Leonelli, C.; Catauro, M. FT-IR Study, Thermal Analysis, and Evaluation of the Antibacterial Activity of a MK-Geopolymer Mortar Using Glass Waste as Fine Aggregate. Polymers 2021, 13, 13. [Google Scholar] [CrossRef]
 - Król, M.; Rozek, P.; Chlebda, D.; Mozgawa, W. ATR/FT-IR studies of zeolite formation during alkali-activation of metakaolin. Solid State Sci. 2019, 94, 114–119. [Google Scholar] [CrossRef]
 - Li, X.; Jiang, X.; Chen, C.; Tu, N. Diffuse reflectance Fourier infrared spectroscopy of kaolin from several different origins. Spectrosc. Spectr. Anal. 2011, 31, 114–118. [Google Scholar]
 - Srilai, S.; Kaewtrakulchai, N.; Panomsuwan, G.; Fuji, M.; Eiad-ua, A. Influence of Hydrothermal and Calcination Process on Metakaolin from Natural Clay. In Proceedings of the 2nd International Conference on Science and Technology of Emerging Materials (STEMa), Pattaya, Thailand, 18–20 July 2018. [Google Scholar]
 - Chargui, F.; Hamidouche, M.; Belhouchet, H.; Jorand, Y.; Doufnoune, R.; Fantozzi, G. Mullite fabrication from natural kaolin and aluminium slag. Bol. Soc. Esp. Ceram. Vidr. 2018, 57, 169–177. [Google Scholar] [CrossRef]
 - Ghorab, H.Y.; Ahmed, H.E.H.; Tawfik, A. Metakaolin as cement replacement material. In Proceedings of the 4th International Conference on Non-Traditional Cement and Concrete, Brno, Czech Republic, 27–30 June 2011; pp. 429–436. [Google Scholar]
 - Kim, Y.; Kang, S. Effect of Thermal Treatment on the Nano-Structure and Phase Transformation of Metakaolin-Based Geopolymers. J. Nanosci. Nanotechnol. 2014, 14, 8902–8906. [Google Scholar] [CrossRef]
 - Ilic, B.R.; Mitrovic, A.A.; Milicic, L.R. Thermal Treatment of Kaolin Clay to Obtain Metakaolin. Hem. Ind. 2010, 64, 351–356. [Google Scholar] [CrossRef]
 - Kovárík, T.; Belsky, P.; Novotny, P.; Ríha, J.; Savková, J.; Medlín, R.; Rieger, D.; Holba, P. Structural and physical changes of re-calcined metakaolin regarding its reactivity. Constr. Build. Mater. 2015, 80, 98–104. [Google Scholar] [CrossRef]
 - Yuan, Q.; Zhang, X.J.; Gong, Y.; Ma, Y.; Xu, J.; Yang, S.G. Reversible molecular adsorption of free-standing nano-composite film made from boehmite and poly(acrylic acid). Colloid Surf. A-Physicochem. Eng. Asp. 2016, 507, 210–217. [Google Scholar] [CrossRef]
 - Cao, R.C.A.; Fang, Z.; Jin, M.; Shang, Y. Study on the Activity of Metakaolin Produced by Traditional Rotary Kiln in China. Minerals 2022, 12, 13. [Google Scholar] [CrossRef]
 - Scherb, S.; Köberl, M.; Beuntner, N.; Thienel, K.C.; Neubauer, J. Reactivity of Metakaolin in Alkaline Environment: Correlation of Results from Dissolution Experiments with XRD Quantifications. Materials 2020, 13, 18. [Google Scholar] [CrossRef]
 - Wang, T.Z.; Lu, X.C.; Yan, Y. Synthesis of SAPO-34 from metakaolin: Crystallization mechanism of SAPO-34 and transformation processes of metakaolin. Microporous Mesoporous Mat. 2013, 168, 155–163. [Google Scholar] [CrossRef]
 - Zhou, J.; He, M.Z.; Zhang, A.H.; Li, L.; Fu, F.Y. Non-Isothermal Kinetics for Phase Transformation of Kaolinite. Chin. J. Inorg. Chem. 2010, 26, 1279–1283. [Google Scholar]
 - Thao, N.T.T.; Bac, B.H. Characterization of some natural materials with different morphologies and their mullitization in ceramic preparation. J. Ceram. Process. Res. 2023, 24, 471–477. [Google Scholar] [CrossRef]
 - Cao, H.; Mao, Z.Y.; Huang, X.J.; Deng, M. Inhibition of Alkali-Carbonate Reaction by Fly Ash and Metakaolin on Dolomitic Limestones. Materials 2022, 15, 12. [Google Scholar] [CrossRef]
 - Shui, Z.H.; Zeng, J.J.; Liao, Y.; Leng, Z. Influence of Metakaolin on Strength and Microstructure of High-strength Concrete. In Proceedings of the 3rd Mainland, Taiwan and Hong Kong Conference on Green Building Materials, Wuhan, China, 25–27 November 2011; pp. 33–39. [Google Scholar]
 - Wang, S.W.; Wang, S.L.; Lu, Z.; Meng, Z.B.; Li, B.B.; Zhao, N. Revamp of the sticky rice-lime binder with metakaolin and natural fiber for restoration: Properties and characteristics. J. Cult. Herit. 2022, 57, 1–15. [Google Scholar] [CrossRef]
 - Astutiningsih, S.; Banjarnahor, I.M.; Zakiyuddin, A. Characterization and Fabrication of Metakaolin using Pulau Bangka Kaolin. In Proceedings of the 3rd International Tropical Renewable Energy Conference on Sustainable Development of Tropical Renewable Energy (i-TREC), Kuta, Indonesia, 6–8 September 2018. [Google Scholar]
 - Izadifar, M.; Thissen, P.; Steudel, A.; Kleeberg, R.; Kaufhold, S.; Kaltenbach, J.; Schuhmann, R.; Dehn, F.; Emmerich, K. Comprehensive Examination of Dehydroxylation of Kaolinite, Disordered Kaolinite, and Dickite: Experimental Studies and Density Functional Theory. Clay Clay Min. 2020, 68, 319–333. [Google Scholar] [CrossRef]
 - Wang, H.; Zhang, Q.; Song, C. Reaction behavior of mullite in alkaline solution of fly ash. Compr. Util. Fly Ash 2001, 24–27. [Google Scholar]
 - Andrini, L.; Gauna, M.R.; Conconi, M.S.; Suarez, G.; Requejo, F.G.; Aglietti, E.F.; Rendtorff, N.M. Extended and local structural description of a kaolinitic clay, its fired ceramics and intermediates: An XRD and XANES analysis. Appl. Clay Sci. 2016, 124, 39–45. [Google Scholar] [CrossRef]
 - El-Rafei, A.M.; Mansour, T.S. Physico-Mechanical and Microstructure Characteristics of Porous Mullite Ceramics. Silicon 2023, 15, 7157–7170. [Google Scholar] [CrossRef]
 - Vizcayno, C.; de Gutiérrez, R.M.; Castello, R.; Rodriguez, E.; Guerrero, C.E. Pozzolan obtained by mechanochemical and thermal treatments of kaolin. Appl. Clay Sci. 2010, 49, 405–413. [Google Scholar] [CrossRef]
 - Zhang, L.J.; He, Y.; Lu, P.; Peng, J.H.; Li, S.W.; Chen, K.H.; Yin, S.H.; Zhang, L.B. Comparison of microwave and conventional heating routes for kaolin thermal activation. J. Cent. South Univ. 2020, 27, 2494–2506. [Google Scholar] [CrossRef]
 - Kuzielová, E.; Zemlicka, M.; Másilko, J.; Hudec, P.; Palou, M.T. Influence of hydrothermal treatment parameters on the phase composition of zeolites. J. Therm. Anal. Calorim. 2020, 142, 37–50. [Google Scholar] [CrossRef]
 - Yasin, S.; Ahlatçi, H. Effect of the additions of dehydrated geopolymer powders on compressive strength and integrity of the final geopolymer. J. Ceram. Process. Res. 2015, 16, 662–666. [Google Scholar]
 - Chaipanich, A.; Wianglor, K.; Piyaworapaiboon, M.; Sinthupinyo, S. Thermogravimetric analysis and microstructure of alkali-activated metakaolin cement pastes. J. Therm. Anal. Calorim. 2019, 138, 1965–1970. [Google Scholar] [CrossRef]
 - Mitrovic, A.A.; Komljenovic, M.M.; Ilic, B.R. Research of Possibilities for Use Domestic Kaolin Clays for Production of Metakaolin. Hem. Ind. 2009, 63, 107–113. [Google Scholar] [CrossRef]
 - de Matos, P.R.; Neto, J.S.A.; Sakata, R.D.; Campos, C.E.M.; Kirchheim, A.P.; Rodríguez, E.D. Effect of superplasticizer addition time and metakaolin source on the early-age hydration of limestone calcined clay cement (LC3). Mater. Struct. 2022, 55, 17. [Google Scholar] [CrossRef]
 - Khan, M.I.; Khan, H.U.; Azizli, K.; Sufian, S.; Man, Z.; Siyal, A.A.; Muhammad, N.; Rehman, M.F.U. The pyrolysis kinetics of the conversion of Malaysian kaolin to metakaolin. Appl. Clay Sci. 2017, 146, 152–161. [Google Scholar] [CrossRef]
 - Zhou, S.Q.; Yang, Z.N.; Zhang, R.R.; Li, F. Preparation, characterization and rheological analysis of eco-friendly road geopolymer grouting materials based on volcanic ash and metakaolin. J. Clean. Prod. 2021, 312, 14. [Google Scholar] [CrossRef]
 - Erasmus, E. The influence of thermal treatment on properties of kaolin. Hem. Ind. 2016, 70, 595–601. [Google Scholar] [CrossRef]
 - Liu, Y.; Yu, X.B.; Qin, L.; Wang, J.D.; Yang, Y.R. In-situ Synthesis of ZSM-5 Zeolite from Metakaolin/Spinel and Its Catalytic Performance on Methanol Conversion. China Pet. Process. Petrochem. T. 2010, 12, 23–28. [Google Scholar]
 - Ptácek, P.; Soukal, F.; Opravil, T.; Nosková, M.; Havlica, J.; Brandstetr, J. Mid-infrared spectroscopic study of crystallization of cubic spinel phase from metakaolin. J. Solid State Chem. 2011, 184, 2661–2667. [Google Scholar] [CrossRef]
 - Parrotte, M.; Hunt, R.; Gomes, J.; Smith, P.; Jones, F. Investigating the formation of zeolitic compounds from dissolution of clays through vibrational spectroscopy. Miner. Eng. 2022, 189, 10. [Google Scholar] [CrossRef]
 - Sperinck, S.; Raiteri, P.; Marks, N.; Wright, K. Dehydroxylation of kaolinite to metakaolin-a molecular dynamics study. J. Mater. Chem. 2011, 21, 2118–2125. [Google Scholar] [CrossRef]
 - Ptácek, P.; Soukal, F.; Opravil, T.; Nosková, M.; Havlica, J.; Brandstetr, J. The kinetics of Al-Si spinel phase crystallization from calcined kaolin. J. Solid State Chem. 2010, 183, 2565–2569. [Google Scholar] [CrossRef]
 - Jia, W.L.; Wang, S.Y.; Deng, Y.Y.; Shen, J.; Zhao, P.; Wang, Z.P.; Shao, J.J.; Wang, Y.Y.; Sun, Q. Characterization and application of lamellar zeolite-X prepared from kaolin. Micro Nano Lett. 2024, 19, 10. [Google Scholar] [CrossRef]
 - Qu, Y.X.; Fan, D.K.; Li, F.J.; Ouyang, P.W.; Fu, L.J.; Yang, H.M. Exfoliating kaolin to ultrathin nanosheets with high aspect ratio and pore volume: A comparative study of three kaolin clays in China. Appl. Surf. Sci. 2023, 635, 13. [Google Scholar] [CrossRef]
 















| Components | Mass/% | 
|---|---|
| MgO | 0.08 | 
| Al2O3 | 46.91 | 
| SiO2 | 48.75 | 
| P2O5 | 0.48 | 
| SO3 | 0.28 | 
| K2O | 0.19 | 
| CaO | 0.42 | 
| TiO2 | 1.35 | 
| Fe2O3 | 0.83 | 
| Factor Standard Test No.  | Calcination Temperature/°C | Calcination Time/h | Si-Al Ratio | Thickening Time/min | |
|---|---|---|---|---|---|
| 1 | 600 | 2 | 0.85 | 11 | |
| 2 | 600 | 4 | 0.9 | 22 | |
| 3 | 600 | 6 | 0.95 | 21 | |
| 4 | 700 | 2 | 0.9 | 8 | |
| 5 | 700 | 4 | 0.95 | 15 | |
| 6 | 700 | 6 | 0.85 | 8 | |
| 7 | 800 | 2 | 0.95 | 111 | |
| 8 | 800 | 4 | 0.85 | 67 | |
| 9 | 800 | 6 | 0.9 | 95 | |
| Standard | K1 | 18 | 43.3 | 28.7 | |
| K2 | 10.3 | 34.7 | 41.7 | ||
| K3 | 91 | 41.3 | 49 | ||
| R | 80.7 | 8.6 | 20.3 | ||
| Factor order | 1 | 3 | 2 | ||
| Source | F Value | Significance (Sig.) | 
|---|---|---|
| Calcination temperature | 35.100 | 0.028 | 
| Calcination time | 0.365 | 0.733 | 
| Si-Al ratio | 1.877 | 0.348 | 
Disclaimer/Publisher’s Note: The statements, opinions and data contained in all publications are solely those of the individual author(s) and contributor(s) and not of MDPI and/or the editor(s). MDPI and/or the editor(s) disclaim responsibility for any injury to people or property resulting from any ideas, methods, instructions or products referred to in the content.  | 
© 2024 by the authors. Licensee MDPI, Basel, Switzerland. This article is an open access article distributed under the terms and conditions of the Creative Commons Attribution (CC BY) license (https://creativecommons.org/licenses/by/4.0/).
Share and Cite
Yin, H.; Liu, H.; Bu, Y.; Chen, W.; Ding, F.; Lin, W.; Zhang, Y. Regulation of Reactivity of Calcined Ultrafine Kaolin Products. Processes 2024, 12, 2268. https://doi.org/10.3390/pr12102268
Yin H, Liu H, Bu Y, Chen W, Ding F, Lin W, Zhang Y. Regulation of Reactivity of Calcined Ultrafine Kaolin Products. Processes. 2024; 12(10):2268. https://doi.org/10.3390/pr12102268
Chicago/Turabian StyleYin, Hui, Huajie Liu, Yuhuan Bu, Weiqing Chen, Fuquan Ding, Wenxiang Lin, and Yuwei Zhang. 2024. "Regulation of Reactivity of Calcined Ultrafine Kaolin Products" Processes 12, no. 10: 2268. https://doi.org/10.3390/pr12102268
APA StyleYin, H., Liu, H., Bu, Y., Chen, W., Ding, F., Lin, W., & Zhang, Y. (2024). Regulation of Reactivity of Calcined Ultrafine Kaolin Products. Processes, 12(10), 2268. https://doi.org/10.3390/pr12102268
        
