Next Article in Journal
Intelligent Temperature Control of a Stretch Blow Molding Machine Using Deep Reinforcement Learning
Previous Article in Journal
Influence of Rapeseed Oil on Extruded Plant-Based Meat Analogues: Assessing Mechanical and Rheological Properties
Previous Article in Special Issue
An Optimal Scheduling Method in IoT-Fog-Cloud Network Using Combination of Aquila Optimizer and African Vultures Optimization
 
 
Font Type:
Arial Georgia Verdana
Font Size:
Aa Aa Aa
Line Spacing:
Column Width:
Background:
Article

Application of Improved Artificial Immune System Algorithm Based on Applied Mathematics for Optimization of Manpower Allocation in Construction Engineering

1
Basic Teaching Department of Chongqing College of Architecture and Technology, Chongqing 401331, China
2
Institute of Artificial Intelligence Manufacturing, Neijiang Normal University, Neijiang 641000, China
*
Author to whom correspondence should be addressed.
Processes 2023, 11(7), 1870; https://doi.org/10.3390/pr11071870
Submission received: 9 May 2023 / Revised: 13 June 2023 / Accepted: 16 June 2023 / Published: 21 June 2023
(This article belongs to the Special Issue Modeling, Operation and Planning in Engineering System Problems)

Abstract

:
The outbreak of the COVID-19 pandemic has led construction companies to prioritize the intelligent and optimal scheduling of human resources in construction projects to reduce costs. This study addresses the problem of heterogeneity in human resource scheduling in construction projects, presents a mathematical model with generic human resources as an example, proposes an improved artificial immune system (NAIS) algorithm to solve the problem, and verifies its effectiveness. Experimental results show that the NAIS algorithm achieves the optimal duration of 9 days in just 2 s using the Matrix Laboratory (MATLAB), which is significantly faster than mathematical optimization technique software (CPLEX), thus confirming the feasibility of the NAIS algorithm. Additionally, the average PD values for the NAIS algorithm, calculated for different worker counts, skills, and the number of tasks, were lower compared to the comparison algorithm. Overall, the NAIS algorithm effectively addresses the heterogeneous problem of human resource scheduling in construction projects with multiple modes, thereby optimizing construction engineering labor allocation.

1. Introduction

The development of urbanization has driven the construction industry to become one of the pillar industries of national economic development, and its total output value is still growing even during the economic downturn [1]. As a labor-intensive industry, the optimal allocation of human resources in large-scale projects is an important factor affecting the development of the construction industry [2]. At the same time, the use of computer technology to optimize human resource management is a necessary way to adapt to the development of enterprises in the new era. Velasco-Maranan and Curbano introduced a formulaic model, which utilizes quantitative analysis, to optimize human resource scheduling within the construction industry. Additionally, they proposed a multi-objective optimization model for static network-related planning to enhance overall efficiency [3,4]. Lu et al. proposed an improved genetic-simulation-based correlation annealing algorithm based on an optimized load model to improve the profitability of building construction in complex environments [5]. However, the current scheduling methods for human resources are difficult to adapt to the increasing number of multi-skilled employees and have not maximized cost reduction. In this context, the study constructs a mathematical model with generic human resources as an example and proposes an improved artificial immune system (NAIS) algorithm based on it. Its purpose is to effectively solve the problem of heterogeneity under multiple modes in the scheduling of human resources in construction projects and to provide a theoretical basis for the optimal allocation of rich multi-skilled human resources.

2. Related Work

The resource-constrained project scheduling problem refers to the scheduling and rational allocation of resources via the production process when a project is in the construction phase to meet the required time and resource constraints in order to achieve one or more pre-defined optimization goals [6,7,8]. Among them, the multi-objective resource-constrained scheduling problem mainly includes balancing duration cost, duration quality, and cost quality [9,10,11]. Therefore, it has always been a focus of research both domestically and internationally. Song et al. proposed a new method for project control under resource constraints by designing different scenarios for the problems related to resource constraints in project control, thus effectively accelerating the project schedule with limited resources [12]. Yunusoglu and Topaloglu addressed the problem of unrelated parallel machine scheduling under multiple resource-constrained scenarios by proposing a new constraint [13]. Sharma and Trivedi proposed a polynomial exact solution based on constrained planning, which effectively improved the efficiency of scheduling. Sharma and Trivedi proposed an optimization model that balanced cost, quality, and safety based on multimodal resource constraints to solve the resource scheduling problem in construction projects [14]. Mohammadi et al. proposed a polynomial exact solution based on constrained planning, which effectively improved the efficiency of scheduling, and proposed an innovative construction framework based on intelligent simulation for resource scheduling in construction projects, which enhanced the optimal allocation of resources considering resource constraints and, thus, improved construction efficiency [15]. Abualigah and Alkhrabsheh proposed an improved hybrid polynomial algorithm combined with a genetic algorithm by using virtual machines to effectively reduce the actual cost of project scheduling and improve the efficiency of solving project-scheduling-related problems [16].
In addition, Safikhani et al. proposed an optimal scheduling method by modeling construction information in the context of resource constraints for problems related to resource utilization and management in building construction, thus improving resource utilization [17]. Cheng et al. proposed extensible scheduling related to communication scheduling in the context of resource constraint scenarios in an industrial IoT based on learning architecture to reduce the waste of communication resources and ensure real-time communication [18]. Parsamehr et al. proposed a method to optimize scheduling using a building information model in the context of resource-constrained schedule, cost, and safety management in building construction, thus optimizing the scheduling of resources while effectively building a construction decision framework [19]. Tavakolan and Nikoukar proposed a hybrid meta-heuristic algorithm based on the analysis of project resources to solve the multi-objective optimization problem in construction project planning [20].
From the studies of domestic and international scholars, it can be seen that the combination of multi-skilled human resource scheduling with multi-modality is less utilized in solving the current resource-constrained project scheduling problem. Therefore, the study of combining the scheduling of multimodal resources with the scheduling of multi-skilled labor fills the gap of neglecting the different proficiency levels of main and non-main skills in the past and expands the research field of human resource scheduling. At the same time, the research has improved the algorithm of the artificial immune system, making it innovative.

3. Improved Artificial Immune System Algorithm for Human Resource Optimization in Engineering Projects

3.1. Mathematical Model for Optimal Allocation of Human Resources in Construction Projects

To solve the heterogeneous problem of human resources scheduling in construction project engineering under multiple modes, this study introduces the improved artificial immune system (NAIS) algorithm to solve the problem with generic human resources as an example. In the actual construction project, the study mainly sets the technical level workers as the object of analysis since the actual space available for scheduling is much larger for the substantial amount of technical level workers than for the management level. Another issue to be addressed is how to minimize the duration by sequencing each process and optimizing the distribution of employees in different periods while satisfying various constraints in a situation in which a skilled worker has multiple skills, multiple modes available to him/her, and two levels of skill proficiency. The constraints of the multi-modal heterogeneity problem include logical relationships, resources, and skill proficiency. Among them, the skill proficiency constraints in turn drive the problem under study to become a heterogeneous problem, and therefore, under these three constraints, the study uses multi-modal heterogeneity to construct a generalized mathematical model of human resource allocation. Before the mathematical model is constructed, the contents of the corresponding hypothesis conditions are shown in Figure 1.
In Figure 1, the assumptions of the model contain five conditions: the task process cannot be interrupted or occupied, a single skill performs the task with a time limit (only one skill can be used for a period of time to complete a task), the resources are fixed, the staff skills are available to complete the task and the skill level remains consistent, and the project model is fixed. In addition, the equation expression of the main parameters of the construction project is shown in Equations (1) and (2). Equation (1) is as follows:
H : H = 0 , 1 , 2 , , n , n + 1 J : J = 0 , 1 , 2 , , C M : M = 0 , 1 , 2 , , l
In Equation (1), H is the set of related activities, and n is its internal element; n is the set of related skills, and C is its internal element; M is the set of related patterns, and l is its internal element.
    G : G = 1 , 2 , , q S : S = 1 , 2 , , S max
In Equation (2), G denotes the relevant set of workers, and q is its internal element; S denotes the relevant set of time, and S max is the upper limit of time, which is generally the maximum duration of each project. The mathematical model constructed based on these five parameters is shown in Equations (3)–(14) for optimizing the manpower allocation in actual construction projects.
M i n X = t n + 1 f i n i s h
Equation (3) is the objective function of the overall project, where t n + 1 f i n i s h denotes the time point for completing the project.
m M h i m = 1 , i H
In Equation (4), h i m denotes one of the decision variables; i.e., its value is 1 if the project i adopts the model m , and its value is 0 otherwise.
P i m g s h i m , i H , m M , g G , s S Q i m g j h i m , i H , m M , g G , j J
Both rows of inequalities in Equation (5) represent the logical relationship between decision-related variables, where P i m g s means that, if the mode used in the project i is m , the worker g will be 1 when the execution starts at the time point s and will be 0 otherwise, and Q i m g j means that, if the mode used in the project i is m , the worker g will be 1 when the execution is performed using the skill j and will be 0 otherwise.
m M s S P i m g s 1 m M j J Q i m g s 1
In Equation (6), the first row of inequalities ensures that each worker assigned to the project has at most one start time and one execution method. The second row of inequalities ensures that a worker can use at most one method to perform a skill in a project.
Q i m g j γ g j
Equation (7) ensures that a worker must have the skills to complete a particular project when assigned to perform a particular skill in a particular mode of the project, where γ indicates the actual proficiency of the worker for a particular skill.
Q i m g j γ g j + λ 1 Q i m g j u i m j · h i m Q i m g j · γ g j + λ 1 Q i m g j u i m j · h i m
In Equation (8), λ represents a sufficiently large positive number; u i m j represents the proficiency of the skill j required for the project i to adopt the model m .
g G Q i m g j = a i m j · u i m
In Equation (9), a i m j indicates the number of laborers with the skills j required for the project i using the model m .
g G s S P i m g s = j J a i m j · u i m i H m M P i m g s 1 s S m M P i m g s = j J m M Q i m g s
In Equation (10), the first row ensures that the required and total assigned labor for each project is balanced. The second row ensures that each worker in one mode can only perform the project at most once. The third row indicates that the worker g needs to start working within the time frame actually required for the project assuming that they are assigned to the project i and uses the skill j .
t i s t a r t t k f i n i s h · b i k , i , k H     t k f i n i s h = t i s t a r t + m M c i m u i m
In Equation (11), b i k represents the parameter, which is the logical execution relationship between project i and project k , and c i m represents the duration of the mode m project i .
t i s t a r t t · P i g m s λ 1 P i g m s t i s t a r t t · P i g m s λ 1 P i g m s
Equation (12) is essentially the relationship between the start time at engineering time and the decision variable P .
t i s t a r t , t i f i n i s h 0 u i m s , P i m g s , Q i m g j 0 , 1
The first line of Equation (13) is essentially a constraint on the start time and end time at the time of the project; the second line is essentially a decision variable from 0 to 1.

3.2. Solving the Human Resource Optimization Allocation Problem Using an Improved Artificial Immune System Algorithm

Inputting the mathematical model proposed by the study into the mathematical optimization technique software (CPLEX) can effectively validate the correctness of the model. However, CPLEX is suitable for validating a small amount of data, so the study introduces the artificial immune system algorithm for large data validation [21,22]. The artificial immune system algorithm is constructed using the biological information system as its biological basis. In an organism, the biological immune system is the primary defense system, in which the mechanism of action and the internal distribution of the system are very complex and are comparable in complexity to the nervous system of the brain [23,24]. The structural composition of the immune system is shown in Figure 2.
In Figure 2, the immune system consists mainly of immune organs, cells, and active substances. Since the algorithm of the artificial immune system analyzed in the study mainly deals with the relevant properties of lymphocytes among the immune cells, the study focuses on the most important of lymphocytes, T cells, and B cells. The process underlying the immune response refers to the process of sterilization and disinfection by the body’s immune system against foreign antigenic substances in two main ways: one being the innate immune response and the other being the adaptive immune response [25,26]. The principle of the artificial immune system algorithm is the adaptive immune response, in which T cells and B cells play a major role.
The artificial immune algorithm is an intelligent bionic algorithm proposed with reference to the working principle of the human immune system, especially the actual working process of adaptive immune response. Since the artificial immune system algorithm suffers from the defects of slow convergence in the late stage or is prone to premature convergence in the global search, and the current research overlooks the role of T cells in the immune system response, the research has improved it by proposing the NAIS algorithm. The NAIS algorithm uses three parts to form the substantial coding part based on the mathematical model proposed by the research, which can be expressed by Equation (14):
ζ = ζ l , ζ m , ζ d
In Equation (14), ζ l indicates the priority of project execution; ζ m indicates the mode of the project; ζ d indicates the worker matching matrix. And in the decoding part, the steps are shown in Figure 3.
From Figure 3, the decoding step of the NAIS algorithm firstly extracts ζ l , ζ m , and ζ d from the encoding, calculates the current projects that meet the prerequisites, and arranges the project that meets the conditions and has the highest priority i . Next, the execution mode of the current project is set to ς m i . Then, the actual number of workers is calculated with different skills needed for the project i in ς m i mode, and the workers are scheduled with high priority based on the worker matching matrix of the project i . Finally, it is determined whether all activities have been scheduled or not, and, if they have, the objective function is calculated, and if they have not, the tasks that are eligible and have the highest priority are rescheduled. Based on this, the flow of the NAIS algorithm designed by the study is shown in Figure 4.
In Figure 4, the NAIS algorithm process first generates an initialized antibody population and calculates the affinity, while variable (diversity) joining (V (D) J) gene recombination is performed. Secondly, we determine whether the T cells are acting. If so, the mutation and type switching of the cells are performed to implement the secondary immune response; if not, the refers are secreted to the immunoglobulin m (IgM) antibody to implement the secondary immune response. Finally, the validity of the secondary immune response is determined. The results are output if it is determined, and the process is repeated with V (D) J gene recombination if it is not. The generation of an initialized antibody population means that, at the beginning of the algorithm, a series of sequences with arbitrary activity are randomly generated as the initial antibody population. The number of B-cell populations is set to NB, and the number of T-cells is set to NT, while the tightness of antibody–antigen binding is called affinity, and a higher affinity indicates the stronger immunity of the antibody. In the NAIS algorithm, after studying the establishment of an initial antibody population, the quality of the antibody is evaluated based on its affinity. In this case, the calculated expression of affinity is shown in Equation (15):
ψ = 1 ω
In Equation (15), ψ denotes affinity; ω denotes the duration of work. In the final secondary immune response, after the first immunization, B cells and T cells maintain memory for certain antigens, and the memorized B cells engulf the antigens more efficiently and deliver them to helper T cells, making the second immune response faster. The method first considers the cells in the B/T cell that represent the normal order of activity as memory cells and then eliminates the rest of the cells from the original order of activity and reconstructs the new order. The generation is based on a standard order, and after taking out NE activities, each activity is put back in the order in which it is taken out, and the position of the put-back is determined according to the position that can produce the minimum time cycle.

4. Performance Analysis of the Improved Artificial Immune System Algorithm

To verify the effectiveness of the NAIS algorithm, the study first used the proposed mathematical model data as the basis for the calculation of the optimization scheme using MATLAB. The project consisted of six tasks, with task numbers S1 to S6, and two modes of task execution (denoted by M1 and M2). The skills required were force, carpentry, reinforcement, and painters (denoted by L, M, G, and T), and the proficiency levels were classified as skilled and average (denoted by A and B), with a total of five workers on site (denoted by 1 to 5). Therefore, the task–logic relationship and other related contents as well as the NAIS validation results are shown in Figure 5.
Figure 5 comprehensively shows that, in the actual CPLEX experiment, the optimal duration obtained from its operation was 9 days, while NAIS obtained the same optimal duration as the CPLEX experimental result, thus verifying the effectiveness of the NAIS algorithm side-by-side. At the same time, due to the complexity of the multi-modal heterogeneous problem in construction labor optimization, CPLEX took 61 s to calculate in total, while, when the study used the NAIS algorithm, it took only 2s in the MATLAB run, thus verifying that the NAIS algorithm took less time and was more suitable for solving the multi-modal heterogeneous problem. Therefore, the study used the NAIS algorithm for subsequent experiments. In the follow-up experiments, to verify the superiority of the NAIS algorithm in dealing with the multi-modal heterogeneity problem in construction engineering labor allocation optimization, the study introduced the genetic algorithm (GA), variable neighborhood search (VNS), and the particle swarm optimization (PSO) algorithm as the comparison algorithms (the three algorithms are denoted by a–b, and NAIS is denoted by n). Among them, the relevant parameters are set as shown in Table 1.
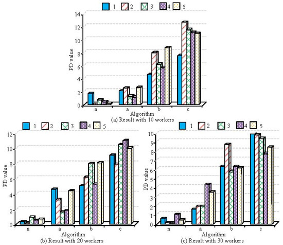
From Table 1, the NR, NI, and NE of the NAIS algorithm were 200, while both NT and NR were 100; the inertia weight of the PSO algorithm was 0.8, while both learning factors were 1.2; and the crossover probability and variation probability of the GA algorithm were 0.9 and 0.1, respectively. To test the applicability of the NAIS algorithm in diverse scenarios, the study applied it to a large-scale case. Specifically, the experiment was designed such that each worker possessed two skills, and there was a total of six skill type combinations and four skill level combinations. This resulted in 24 possible skill combination cases for each worker. Therefore, on the basis of this large-scale data, the study conducted simulations for engineering projects with 10, 25, and 50 tasks. Also, because the arithmetic data was too large, the study used random sampling to select 135 sets of arithmetic cases and ran 5 different sets of data in each set. In the experiment, the study evaluated the quality of the solution by the average of the percent deviation (PD) of the five data sets in each set of cases, which represented the difference between the duration value of each algorithm and the minimum duration value obtained by solving the four algorithms as a percentage of the minimum value. In this case, the results of the PD values of the different algorithms under the workers possessing two and three skills at the number of tasks of 10 are shown in Figure 6.
Figure 6 displays the number of workers in parentheses following each algorithm and the arithmetic cases denoted by numbers 1 through 5. The comprehensive illustration reveals that the average PD value of the NAIS algorithm was 2.04 for a scenario in which 10 workers possessed two skills. Meanwhile, the average PD value was 1.59 for a setting with 20 workers, and it further decreased to 0.70 when the worker count was 30. In all cases, the NAIS algorithm outperformed its comparison algorithms. Additionally, when the number of workers possessing three skills was 10, the average PD value of the NAIS algorithm was 0.25, while it was 0.36 and 0.43 with 20 and 30 workers, respectively, which was again superior to the comparison algorithms. Overall, the proposed algorithm exhibits significantly better performance than its counterparts. Similarly, Figure 7 depicts the PD values of different algorithms for various scenarios with four workers possessing skills.
In Figure 7, the four algorithms are shown from inside to outside for n, a, b, and c. Combining Figure 7, after increasing the number of skills to four, the average PD value of NAIS with 10 workers was 0.65, the average PD value of NAIS with 20 workers was 0.43, and the average PD value of NAIS with the 10 workers was 0.35. In addition, the average PD values of NAIS algorithms with the number of skills of two, three, and four were summed and averaged to obtain values of 1.14, 0.84, and 0.50, respectively, which were much lower than the pairwise algorithms. The results of PD values for different algorithms with workers having two and three skills when increasing the number of tasks to 25 are shown in Figure 8.
In Figure 8, the horizontal axes 1 to 12 indicate n, a, b, and c for the four algorithms when the number of workers is 10, 20, and 30. Figure 8 comprehensively shows that the PD value of the NAIS algorithm was 20.82 when the workers had two skills and the number of workers was 10; the average PD value of the NAIS algorithm was 0.54 when the number of workers was 20; and the average PD value of the NAIS algorithm was 0.59 when the number of workers was 30. The average PD value of the NAIS algorithm was 0.59 when the number of workers was 30, which was lower than the comparison algorithm. The average PD of the NAIS algorithm was 0.28 when the number of skills was three and the number of workers was 10; the average PD of the NAIS algorithm was 0.47 when the number of workers was 20; and the average PD of the NAIS algorithm was 0.33 when the number of workers was 30, which was also lower than the comparison algorithms. The results of PD values of different algorithms when workers had under four skills are shown in Figure 9.
In addition, the average PD values of the NAIS algorithms with two, three, and four skills were summed and averaged to obtain values of 1.02, 0.89, and 1.23, respectively, which were much lower than the pairwise algorithms. Combining Figure 6, Figure 7, Figure 8 and Figure 9, the average PD values and the summed average values of the NAIS algorithm were lower than those of the comparison algorithms, indicating that it was better than the comparison algorithms. Also, when the number of tasks and skills were constant, the average PD values of all four algorithms gradually decreased as the number of workers grew, and the change was more pronounced when the number of workers grew from 20 to 30. To further validate the results, the study was conducted by increasing the number of tasks to 50. Among them, the results for the number of skills of two and three are shown in Table 2.
In Table 2, the average PD values of the NAIS algorithm both under two skills and under three skills were the same as those at task number 10 and 25, which were lower than those of the comparison algorithm. The results for when workers had four skills are shown in Table 3.
In Table 3, the results for a skill number of four were the same as those for a skill number of three. In addition, the summed average PD values of NAIS obtained by combining the results in Table 2 and Table 3 were 0.57, 0.61, and 0.38 for the number of workers of 10, 20, and 30, respectively, which were also lower than the comparison algorithms. Also, the increasing and decreasing trends exhibited at the number of tasks of 50 was the same as the trends at the number of tasks of 10 and 20. The PD values of the NAIS algorithm were lower than those of the comparison algorithms when the number of tasks, workers, and skills were changed, which indicated that the NAIS algorithm was more stable than the other algorithms in solving the heterogeneous problem in multiple modes.

5. Discussion

5.1. Research Limitation and Future Direction

The actual research results have, to some extent, solved the relevant problems encountered in project management in real life, but there are still limitations. Firstly, in the research question, the setting of proficiency is divided into different levels and is fixed, without considering that worker skill proficiency will increase over time, which means that workers have the ability to learn. At the same time, there are many factors that can affect the learning efficiency of workers. Therefore, further research is needed on how to comprehensively consider these factors to better align with the actual situation.
Secondly, optimization is only carried out for the construction period, but in the process of engineering project management, there are many goals that enterprises need to achieve, such as cost, quality, resource balance, etc. At the same time, current projects generally exist in the form of project clusters. In an enterprise, there may be many projects carried out at one time, which leads to resource conflicts between projects. Thus, it is necessary to consider developing multiple projects and objectives.

5.2. Managerial Insights and Practical Implications

In theory, the issue of worker proficiency should be fully considered in practical engineering management. The combination of multimodal resource scheduling and multi-skilled labor scheduling has expanded the field of human resource allocation optimization, and the mathematical model and the improved artificial immune system algorithm constructed on this basis have improved the quality of problem solutions, greatly enriching the theoretical significance of human resource scheduling problems.
In practical terms, the vast majority of project failures in engineering management are attributed to chaotic management and work, so it is necessary to constantly consider the issue of project delays in actual engineering management. Thus, via the selection of modes and the reasonable allocation of multi-skilled employees, the positive significance of improving human resource utilization, shortening construction periods, and enhancing competitiveness can be achieved. Therefore, conducting experimental verification using actual engineering project data as an example has strong practical significance.

6. Conclusions

To solve the heterogeneous problem of human resources scheduling in construction projects under multiple modes, the study constructs a mathematical model with generic human resources as an example and introduces the NAIS algorithm to solve the problem, while its feasibility and superiority are verified using experiments. The experimental results showed that, after using the NAIS algorithm, the optimal duration can be obtained in a MATLAB run in only 2s, which was better than the CPLEX experimental verification. In addition, in the comparison between NAIS and other algorithms, the average PD value of the NAIS algorithm was 2.04 for a skill number of two and a worker number of 10, 1.59 for a worker number of 20, and 0.70 for a worker number of 30. Meanwhile, the average PD values for the NAIS algorithms with two, three, and four skills were 1.02, 0.89, and 1.23, respectively, which were much lower than the pairwise algorithms and showed the same results for 25 and 50 tasks. Meanwhile, when the number of tasks and skills were constant, the average PD values of all four algorithms gradually decreased as the number of workers grew, and the change was more obvious when the number of workers grew from 20 to 30. Collectively, the NAIS algorithm proposed in the study has feasibility and superiority in dealing with the heterogeneous problem of human resources scheduling in construction projects under multiple modes, with the best stability performance. However, the proficiency of workers in real life is not constant, so more factor changes need to be considered subsequently.

Author Contributions

Q.H. and Y.B. collected the samples. Q.H. analysed the data. Y.B. conducted the experiments and analysed the results. All authors discussed the results and wrote the manuscript. All authors have read and agreed to the published version of the manuscript.

Funding

This work was supported by the Chongqing Natural Science Foundation (No. cstc2019jcyj-msxmX0551).

Data Availability Statement

All data generated or analysed during this study are included in this published article.

Conflicts of Interest

The authors declare no conflict of interest.

Abbreviations

Improved Artificial Immune SystemNAIS
Matrix LaboratoryMATLAB
Mathematical Optimization Technology SoftwareCPLEX
Variable (Diversity) JoiningV (D) J
Immunoglobulin MIgM
Genetic AlgorithmGA
Variable Neighborhood SearchVNS
Particle Swarm OptimizationPSO
Percentage DeviationPD

References

  1. Luo, H.; Sheng, D.; Zhong, B.; Chen, K.; Sepasgozar, S.M.; Xing, X. Conceptual framework for the service-oriented management of construction labor resource. Eng. Manag. J. 2022, 34, 543–558. [Google Scholar] [CrossRef]
  2. Dabirian, S.; Abbaspour, S.; Khanzadi, M.; Ahmadi, M. Dynamic modelling of human resource allocation in construction projects. Int. J. Constr. Manag. 2022, 22, 182–191. [Google Scholar] [CrossRef]
  3. Velasco-Maranan, A.N.; Curbano, R.J. Optimizing man power schedule through goal programming technique for XYZ contractor handling multiple construction projects. J. Posit. Sch. Psychol. 2022, 6, 3513–3522. [Google Scholar]
  4. Yu, D.; Lv, Q.; Srivastava, G.; Chen, C.H.; Lin, J.C.W. Multi objective evolutionary model of the construction industry based on network planning. IEEE Trans. Ind. Inform. 2022, 19, 2173–2182. [Google Scholar] [CrossRef]
  5. Lu, C.; Zheng, J.; Yin, L.; Wang, R. An improve diterated greedy algorithm for the distributed hybrid flowshop scheduling problem. Eng. Optim. 2023. [Google Scholar] [CrossRef]
  6. Lofi, R.; Kargar, B.; Gharehbaghi, A.; Hazrati, H.; Nazari, S.; Amra, M. Resource-constrainedtime-cost-quality-energy-environment trade off problem by considering block chain technology, risk and robustness: A case study of health care project. Environ. Sci. Pollut. Res. 2022, 29, 63560–63576. [Google Scholar]
  7. Lofi, R.; Haqiqat, E.; Rajabi, M.S.; Hematyar, A. Robust and resilience budget allocation for projects with a risk-averse approach: A case study in healthcare projects. Comput. Ind. Eng. 2023, 176, 108948. [Google Scholar]
  8. Zhang, Y.; Guan, X. Budget allocation decisions for project risk response. Kybernetes 2021, 50, 3201–3221. [Google Scholar] [CrossRef]
  9. Lofi, R.; Rajabzadeh, M.; Zamani, A.; Rajabi, M.S. Viable supply chain with vendor-managed inventory approach by considering block chain, risk and robustness. Ann. Oper. Res. 2022, 1–20. [Google Scholar] [CrossRef]
  10. Shakerian, M.; Rajabi, M.S.; Tajik, M.; Taghaddos, H. Hybrid simulation-based resource planning and constructability analysis of rcc pavement projects. arXiv 2022, arXiv:2204.05659. [Google Scholar]
  11. Aghakhani, S.; Rajabi, M.S. A new hybrid multi-objective scheduling model for hierarchical hub and flexible flow shop problems. AppliedMath 2022, 2, 721–737. [Google Scholar] [CrossRef]
  12. Song, J.; Martens, A.; Vanhoucke, M. Using earned value management and schedule risk analysis with resource constraints for project control. Eur. J. Oper. Res. 2022, 297, 451–466. [Google Scholar] [CrossRef]
  13. Yunusoglu, P.; Topaloglu, Y.S. Constraint programming approach for multi-resource-constrained unrelated parallel machine scheduling problem with sequence-dependent setup times. Int. J. Prod. Res. 2022, 60, 2212–2229. [Google Scholar] [CrossRef]
  14. Sharma, K.; Trivedi, M.K. Latin hypercube sampling-based NSGA-III optimization model for multimode resource constrained time-cost-quality-safety trade-off in construction projects. Int. J. Constr. Manag. 2022, 22, 3158–3168. [Google Scholar] [CrossRef]
  15. Mohammadi, S.; Tavakolan, M.; Zahraie, B. An intelligent simulation-based framework for automated planning of concrete construction works. Eng. Constr. Archit. Manag. 2022, 29, 916–939. [Google Scholar] [CrossRef]
  16. Abualigah, L.; Alkhrabsheh, M. Amended hybrid multi-verse optimizer with genetic algorithm for solving task scheduling problem in cloud computing. J. Supercomput. 2022, 78, 740–765. [Google Scholar] [CrossRef]
  17. Safikhani, S.; Keller, S.; Schweiger, G.; Pirker, J. Immersive virtual reality for extending the potential of building information modeling in architecture, engineering, and construction sector: Systematic review. Int. J. Digit. Earth 2022, 15, 503–526. [Google Scholar] [CrossRef]
  18. Cheng, B.; Zhu, D.; Zhao, S.; Chen, J. Situation-Aware IoT service coordination using the Event-Driven SOA Paradigm. IEEE Trans. Netw. Serv. Manag. 2016, 13, 349–361. [Google Scholar] [CrossRef]
  19. Parsamehr, M.; Perera, U.S.; Dodanwala, T.C.; Perera, P.; Ruparathna, R. A review of construction management challenges and BIM-based solutions: Perspectives from the schedule, cost, quality, and safety management. Asian J. Civ. Eng. 2023, 24, 353–389. [Google Scholar] [CrossRef]
  20. Tavakolan, M.; Nikoukar, S. Developing an optimization financing cost-scheduling trade-off model in construction project. Int. J. Constr. Manag. 2022, 22, 262–277. [Google Scholar] [CrossRef]
  21. Dienstknecht, M. A branch and bound approach for the tower crane selection and positioning problem with respect to mutual interference. 4OR 2023, 21, 105–123. [Google Scholar] [CrossRef]
  22. Touat, M.; Tayeb, F.B.S.; Benhamou, B. Exact and metaheuristic approaches for the single-machine scheduling problem with flexible maintenance under human resource constraints. Int. J. Manuf. Res. 2022, 17, 22–58. [Google Scholar] [CrossRef]
  23. Sun, X.; Wang, H.; Liu, S.; Li, D.; Xiao, H. Self-updating continual learning classification method based on artificial immune system. Appl. Intell. 2022, 52, 12817–12843. [Google Scholar] [CrossRef]
  24. Atmaja, D.S.; Zaroni, A.N.; Yusuf, M. Actualization of Performance Management Models for the Development of Human Resources Quality, Economic Potential, and Financial Governance Policy in Indonesia Ministry of Education. Multicult. Educ. 2023, 9, 1–15. [Google Scholar]
  25. Du, M.; Sai, A.; Kong, N. A data-driven optimization approach for multi-period resource allocation in cholera outbreak control. Eur. J. Oper. Res. 2021, 291, 1106–1116. [Google Scholar] [CrossRef]
  26. Samigulina, G.; Samigulina, Z. Diagnostics of industrial equipment and faults prediction based on modified algorithms of artificial immune systems. J. Intell. Manuf. 2022, 33, 1433–1450. [Google Scholar] [CrossRef]
Figure 1. Construction of a mathematical model for optimizing the allocation of heterogeneous general human resources under multimodal conditions.
Figure 1. Construction of a mathematical model for optimizing the allocation of heterogeneous general human resources under multimodal conditions.
Processes 11 01870 g001
Figure 2. Schematic diagram of the structural composition of the immune system.
Figure 2. Schematic diagram of the structural composition of the immune system.
Processes 11 01870 g002
Figure 3. Schematic diagram of decoding steps for NAIS algorithm.
Figure 3. Schematic diagram of decoding steps for NAIS algorithm.
Processes 11 01870 g003
Figure 4. Schematic diagram of NAIS algorithm flow.
Figure 4. Schematic diagram of NAIS algorithm flow.
Processes 11 01870 g004
Figure 5. Validation results of NAIS algorithm.
Figure 5. Validation results of NAIS algorithm.
Processes 11 01870 g005
Figure 6. PD value results of different algorithms for workers with 2 and 3 skills when the number of tasks is 10.
Figure 6. PD value results of different algorithms for workers with 2 and 3 skills when the number of tasks is 10.
Processes 11 01870 g006
Figure 7. PD value results of different algorithms for workers with 4 skills when the number of tasks is 10.
Figure 7. PD value results of different algorithms for workers with 4 skills when the number of tasks is 10.
Processes 11 01870 g007
Figure 8. PD value results of different algorithms for workers with two and three skills when the number of tasks is 25.
Figure 8. PD value results of different algorithms for workers with two and three skills when the number of tasks is 25.
Processes 11 01870 g008
Figure 9. PD value results of different algorithms for workers with four skills when the number of tasks is 25.
Figure 9. PD value results of different algorithms for workers with four skills when the number of tasks is 25.
Processes 11 01870 g009
Table 1. Research-related parameter-setting content.
Table 1. Research-related parameter-setting content.
-Number of TasksSolution TimeStop Time
All algorithms1/2 of tasks0.5 × Number of tasks12.5 s
-NR V (D) J gene recombination)NI (number of type conversions)NE (secondary immune response)NTNB
NAIS200200200100100
-W (inertia weight)C1 (learning factor 1)C2 (learning factor 2)
PSO0.81.21.2
-P1 (cross probability)P2 (probability of variation)
GA0.90.1
Table 2. PD value results of different algorithms for workers with two and three skills when the number of tasks is 50.
Table 2. PD value results of different algorithms for workers with two and three skills when the number of tasks is 50.
-n (10)a (10)b (10)c (10)n (20)a (20)b (20)c (20)n (30)a (30)b (30)c (30)
210.221.363.183.822.790.115.849.290.271.565.938.61
20.370.934.204.470.124.526.2811.060.980.564.768.43
30.400.683.114.030.966.539.9511.490.001.323.137.83
40.270.871.502.120.003.815.139.390.340.752.145.93
50.041.262.472.810.004.413.886.520.410.842.105.84
Ave.0.261.022.893.450.773.886.229.550.401.013.617.33
310.403.475.399.410.951.274.668.890.202.346.258.04
22.190.233.528.140.701.264.988.690.130.982.695.24
30.812.152.215.650.371.843.847.940.291.553.646.44
40.561.583.345.740.251.452.745.590.211.482.135.76
50.002.328.6410.970.183.136.548.400.002.434.506.94
Ave.0.791.954.627.980.491.794.557.900.171.763.846.48
Table 3. PD value results of different algorithms for workers with four skills when the number of tasks is 50.
Table 3. PD value results of different algorithms for workers with four skills when the number of tasks is 50.
-n (10)a (10)b (10)c (10)n (20)a (20)b (20)c (20)n (30)a (30)b (30)c (30)
410.531.033.048.580.243.194.619.580.061.083.106.05
21.670.763.498.172.090.955.298.620.221.493.678.02
30.930.353.797.620.002.124.558.790.281.013.056.56
40.131.213.495.310.301.073.608.900.201.984.838.05
50.040.551.984.770.291.602.547.400.141.744.017.59
Ave.0.660.783.166.890.581.794.128.660.181.463.737.25
Disclaimer/Publisher’s Note: The statements, opinions and data contained in all publications are solely those of the individual author(s) and contributor(s) and not of MDPI and/or the editor(s). MDPI and/or the editor(s) disclaim responsibility for any injury to people or property resulting from any ideas, methods, instructions or products referred to in the content.

Share and Cite

MDPI and ACS Style

Huang, Q.; Bai, Y. Application of Improved Artificial Immune System Algorithm Based on Applied Mathematics for Optimization of Manpower Allocation in Construction Engineering. Processes 2023, 11, 1870. https://doi.org/10.3390/pr11071870

AMA Style

Huang Q, Bai Y. Application of Improved Artificial Immune System Algorithm Based on Applied Mathematics for Optimization of Manpower Allocation in Construction Engineering. Processes. 2023; 11(7):1870. https://doi.org/10.3390/pr11071870

Chicago/Turabian Style

Huang, Qingbo, and Yong Bai. 2023. "Application of Improved Artificial Immune System Algorithm Based on Applied Mathematics for Optimization of Manpower Allocation in Construction Engineering" Processes 11, no. 7: 1870. https://doi.org/10.3390/pr11071870

APA Style

Huang, Q., & Bai, Y. (2023). Application of Improved Artificial Immune System Algorithm Based on Applied Mathematics for Optimization of Manpower Allocation in Construction Engineering. Processes, 11(7), 1870. https://doi.org/10.3390/pr11071870

Note that from the first issue of 2016, this journal uses article numbers instead of page numbers. See further details here.

Article Metrics

Back to TopTop