Effect of Formation Pressure on Pore Structure Evolution and Hydrocarbon Expulsion in Organic-Rich Marine Shale
Abstract
1. Introduction
2. Samples and Methodology
2.1. Sample Preparation and Basic Information
2.2. Thermal Evolution Contrast Experiments
2.2.1. Open System Thermal Evolution Experiments
2.2.2. Thermocompression Pyrolysis Experiments
2.3. Methodologies for Pore Structure Characteristic
3. Results
3.1. Open and Semi-Closed Pyrolysis Experiments
3.2. Mineral Evolution Characteristics
3.3. Pore Structure Evolution Characteristics
4. Discussion
4.1. Influence of Formation Pressure on Pore Structure
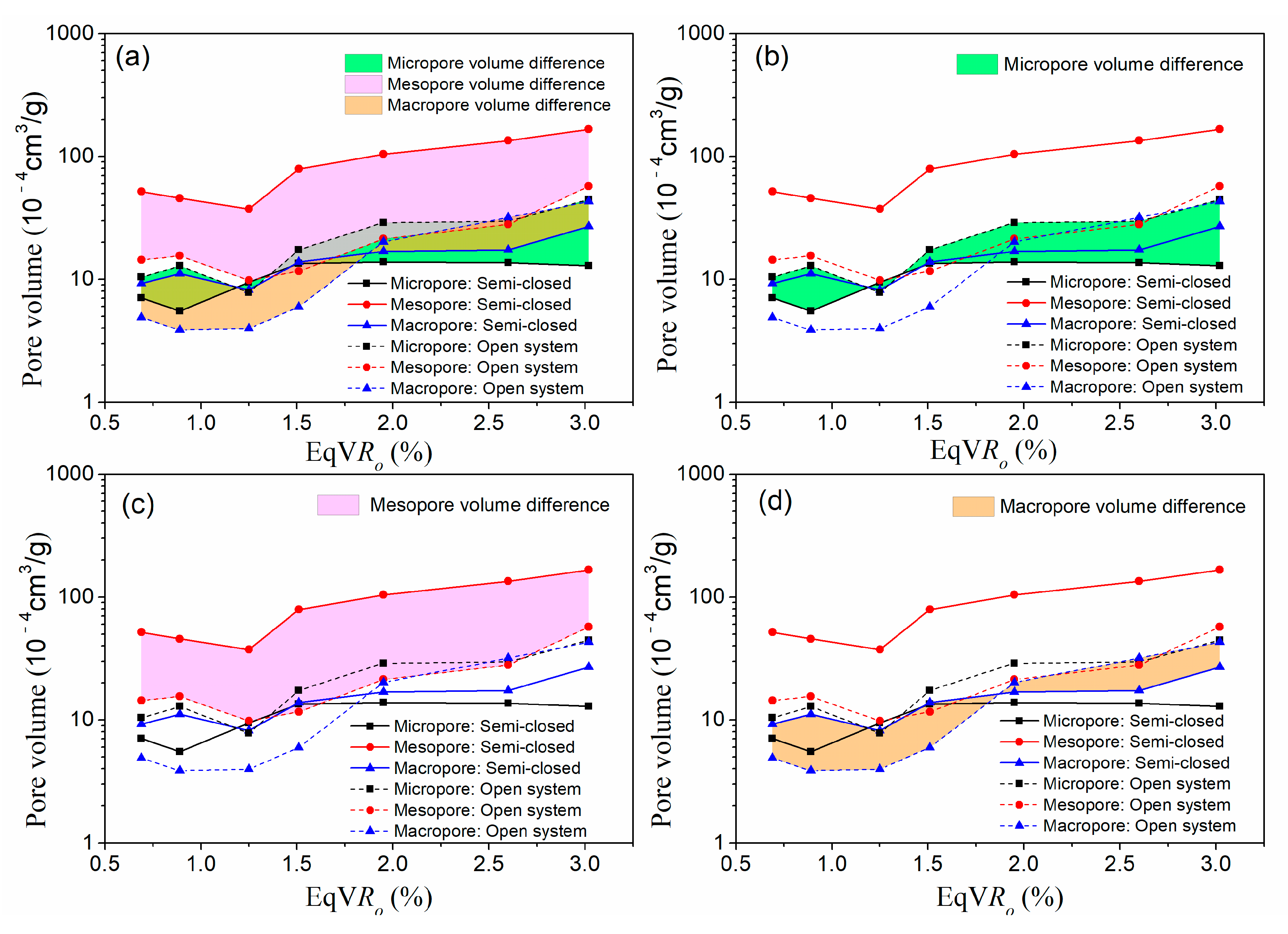
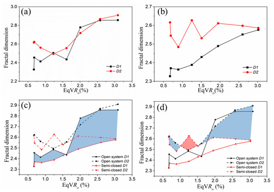
4.2. Influence of Formation Pressure on Pore Heterogeneity
- When EqVRo < 1.03%, the formation pressure reduces the heterogeneity of pore volume in the other stages. The reason is that the amount of oil produced is low at this stage, the migration of hydrocarbons will block some micropores and reduce the pore volume of micropores (Figure 11b). Thus, the pore volume distribution is more concentrated, reducing the pore heterogeneity.
- At the peak of oil generation (1.03% < EqVRo < 1.51%), the formation pressure increases pore heterogeneity. The reason is that the retained hydrocarbons occupy the pores before the formation pressure is applied, which makes a small difference between micropore, mesopore, and macropore volumes (Figure 10a). After applying pressure, the difference between these pore volumes becomes larger due to hydrocarbon expulsion (Figure 10b), which increases the heterogeneity of the pore structure.
- When EqVRo > 1.51%, the formation pressure reduces the heterogeneity of pore volume. In this stage, the partial micropore volume begins to transform into mesopore volume [35], and the existence of formation pressure makes some thinner pore walls rupture, which increases pore connectivity [35,53] and decreases the heterogeneity of pore structure.
4.3. Pore Evolutionary Pattern for Marine Shale
5. Conclusions
- (1)
- With the thermal evolution process of marine shale, the quartz content increased, while the content of clay minerals decreased in both the open and semi-closed system pyrolysis experiments. The existence of formation pressure increased the percentage of quartz and decreased the content of clay minerals, and the change of formation pressure had no obvious influence on the maturity evolution of marine shales.
- (2)
- The relationship between formation pressure and pore development is revealed. With the increase of formation pressure, the pore type of shale gradually changes from narrow slit pore to ink bottle-shaped. Formation pressure improves pore connectivity, especially in the high-overmature stage of shale. With the increase of formation pressure, the volume of micropores decreases slightly, the volume of mesopores increases significantly, and the volume of macropores changes in two stages.
- (3)
- The relationship between formation pressure and pore heterogeneity is revealed. After applying formation pressure, the volume difference between the micropores, mesopores, and macropores of the shale samples became larger. Formation pressure makes the pore surface heterogeneity significantly reduced, while the effect of formation pressure on pore structure heterogeneity is three-stage.
- (4)
- The pore size/volume results of the comparative thermal evolution experiment show that the retained hydrocarbons mainly occupy the mesopore space of shale, and the existence of formation pressure promotes hydrocarbon expulsion, especially the hydrocarbons in the mesopores.
Author Contributions
Funding
Institutional Review Board Statement
Informed Consent Statement
Data Availability Statement
Conflicts of Interest
References
- Wang, Y.; Liu, L.; Zheng, S.; Luo, Z.; Sheng, Y.; Wang, X. Full-scale pore structure and its controlling factors of the Wufeng-Longmaxi shale, southern Sichuan Basin, China: Implications for pore evolution of highly overmature marine shale. J. Nat. Gas. Sci. Eng. 2019, 67, 134–146. [Google Scholar] [CrossRef]
- Wu, L.; Geng, A.; Wang, P. Oil expulsion in marine shale and its influence on the evolution of nanopores during semi-closed pyrolysis. Int. J. Coal. Geol. 2018, 191, 125–134. [Google Scholar] [CrossRef]
- Han, Y.; Horsfield, B.; Wirth, R.; Mahlstedt, N.; Bernard, S. Oil retention and porosity evolution in organic-rich shales. Am. Assoc. Pet. Geol. Bull. 2017, 101, 807–827. [Google Scholar] [CrossRef]
- Goodman, A.; Sanguinito, S.; Kutchko, B.; Natesakhawat, S.; Cvetic, P.; Allen, A.J. Shale pore alteration: Potential implications for hydrocarbon extraction and CO2 storage. Fuel 2020, 265, 116930. [Google Scholar] [CrossRef] [PubMed]
- Gao, Z.; Xuan, Q.; Hu, Q.; Jiang, Z.; Liu, X. Pore structure evolution characteristics of continental shale in China as indicated from thermal simulation experiments. Am. Assoc. Pet. Geol. Bull. 2021, 105, 2159–2180. [Google Scholar] [CrossRef]
- Zhao, J.; Yang, L.; Yang, D.; Kang, Z.; Wang, L. Study on pore and fracture evolution characteristics of oil shale pyrolysed by high-temperature water vapour. Oil Shale 2022, 39, 79–95. [Google Scholar] [CrossRef]
- Wang, P.; Zhangm, C.; Li, X.; Zhang, K.; Yuan, Y.; Zang, X. Organic matter pores structure and evolution in shales based on the he ion microscopy (HIM): A case study from the Triassic Yanchang, Lower Silurian Longmaxi and Lower Cambrian Niutitang shales in China. J. Nat. Gas. Sci. Eng. 2020, 84, 103682. [Google Scholar] [CrossRef]
- Zhang, Y.; Yu, B.; Pan, Z.; Hou, C.; Zuo, Q.; Sun, M. Effect of thermal maturity on shale pore structure: A combined study using extracted organic matter and bulk shale from Sichuan Basin, China. J. Nat. Gas. Sci. Eng. 2020, 74, 103089. [Google Scholar] [CrossRef]
- Liu, X.; Lai, J.; Fan, X.; Shu, H.; Wang, G.; Ma, X. Insights in the pore structure, fluid mobility and oiliness in oil shales of Paleogene Funing Formation in Subei Basin, China. Mar. Pet. Geol. 2020, 114, 104228. [Google Scholar] [CrossRef]
- Wei, L.; Mastalerz, M.; Schimmelmann, A.; Chen, Y. Influence of Soxhlet-extractable bitumen and oil on porosity in thermally maturing organic-rich shales. Int. J Coal. Geol. 2014, 132, 38–50. [Google Scholar] [CrossRef]
- Geng, Y.; Liang, W.; Liu, J.; Cao, M.; Kang, Z. Evolution of Pore and Fracture Structure of Oil Shale under High Temperature and High Pressure. Energy Fuels 2017, 31, 10404–10413. [Google Scholar] [CrossRef]
- Li, G.; Li, G.; Luo, C.; Zhou, R.; Zhou, J.; Yang, J. Dynamic evolution of shale permeability under coupled temperature and effective stress conditions. Energy 2023, 266, 126320. [Google Scholar] [CrossRef]
- Wang, T.; Wang, Q.; Lu, H.; Peng, P.; Zhan, X. Understanding pore evolution in a lacustrine calcareous shale reservoir in the oil window by pyrolyzing artificial samples in a semi-closed system. J. Pet. Sci. Eng. 2021, 200, 108230. [Google Scholar] [CrossRef]
- Wang, E.; Feng, Y.; Guo, T.; Li, M. Oil content and resource quality evaluation methods for lacustrine shale: A review and a novel three-dimensional quality evaluation model. Earth-Sci. Rev. 2022, 232, 104134. [Google Scholar] [CrossRef]
- Sing, K.S.W. Reporting physisorption data for gas/solid systems with special reference to the determination of surface area and porosity (Recommendations 1984). Pure. Appl. Chem. 1985, 57, 603–619. [Google Scholar] [CrossRef]
- Cai, Y.; Li, Q.; Liu, D.; Zhou, Y.; Lv, D. Insights into matrix compressibility of coals by mercury intrusion porosimetry and N2 adsorption. Int. J. Coal. Geol. 2018, 200, 199–212. [Google Scholar] [CrossRef]
- Bai, L.H.; Liu, B.; Du, Y.J.; Wang, B.Y.; Tian, S.S.; Wang, L. Distribution characteristics and oil mobility thresholds in lacustrine shale reservoir: Insights from N2 adsorption experiments on samples prior to and following hydrocarbon extraction. Pet. Sci. 2022, 19, 486–497. [Google Scholar] [CrossRef]
- Su, S.; Jiang, Z.; Xuanlong, S.; Zhang, C.; Zou, Q.; Li, Z. The effects of shale pore structure and mineral components on shale oil accumulation in the Zhanhua Sag, Jiyang Depression, Bohai Bay Basin, China. J. Pet. Sci. Eng. 2018, 165, 365–374. [Google Scholar] [CrossRef]
- Clarkson, C.R.; Solano, N.; Bustin, R.M.; Bustin, A.M.M.; Chalmers, G.R.L.; He, L. Pore structure characterization of North American shale gas reservoirs using USANS/SANS, gas adsorption, and mercury intrusion. Fuel 2013, 103, 606–616. [Google Scholar] [CrossRef]
- Wang, Q.; Hu, Q.; Ning, X.; Ilavsky, J.; Kuzmenko, I.; Tom, T. Spatial heterogeneity analyses of pore structure and mineral composition of Barnett Shale using X-ray scattering techniques. Mar. Pet. Geol. 2021, 134, 105354. [Google Scholar] [CrossRef]
- Fang, X.; Cai, Y.; Hu, Q.; Liu, D.; Gao, P.; Qian, Y. Hydrocarbon Retention and Its Effect on Pore Structure Evolution of Marine Shale Based on Pyrolysis Simulation Experiments. Energy Fuels 2022, 36, 13556–13569. [Google Scholar] [CrossRef]
- Graham, S.P.; Rouainia, M.; Aplin, A.C.; Cubillas, P.; Fender, T.D.; Armitage, P.J. Geomechanical characterisation of organic-rich calcareous shale using AFM and nanoindentation. Rock. Mech. Rock. Eng. 2021, 54, 303–320. [Google Scholar] [CrossRef]
- Han, Y.; Horsfield, B.; Mahlstedt, N.; Wirth, R.; Curry, D.J.; LaReau, H. Factors controlling source and reservoir characteristics in the Niobrara shale oil system, Denver Basin. Am. Assoc. Pet. Geol. Bull. 2019, 103, 2045–2072. [Google Scholar] [CrossRef]
- Sun, L.; Tuo, J.; Zhang, M.; Wu, C.; Wang, Z.; Zheng, Y. Formation and development of the pore structure in Chang 7 member oil-shale from Ordos Basin during organic matter evolution induced by hydrous pyrolysis. Fuel 2015, 158, 549–557. [Google Scholar] [CrossRef]
- Tang, X.; Zhang, J.; Jin, Z.; Xiong, J.; Lin, L.; Yu, Y. Experimental investigation of thermal maturation on shale reservoir properties from hydrous pyrolysis of Chang 7 shale, Ordos Basin. Mar. Pet. Geol. 2015, 64, 165–172. [Google Scholar] [CrossRef]
- Hu, H.; Hao, F.; Lin, J.; Lu, Y.; Ma, Y.; Li, Q. Organic matter-hosted pore system in the Wufeng-Longmaxi (O3w-S11) shale, Jiaoshiba area, Eastern Sichuan Basin, China. Int. J. Coal. Geol. 2017, 173, 40–50. [Google Scholar] [CrossRef]
- Wu, S.; Yang, Z.; Zhai, X.; Cui, J.; Bai, L.; Pan, S. An experimental study of organic matter, minerals and porosity evolution in shales within high-temperature and high-pressure constraints. Mar. Pet. Geol. 2019, 102, 377–390. [Google Scholar] [CrossRef]
- Xie, X.; Hu, L.; Deng, H.; Gao, J. Evolution of pore structure and fractal characteristics of marine shale during electromagnetic radiation. PLoS ONE 2020, 15, e0239662. [Google Scholar] [CrossRef]
- Chandra, D.; Bakshi, T.; Vishal, V. Thermal effect on pore characteristics of shale under inert and oxic environments: Insights on pore evolution. Microporous Mesoporous Mater. 2021, 316, 110969. [Google Scholar] [CrossRef]
- Shao, D.; Zhang, T.; Zhang, L.; Li, Y.; Meng, K. Effects of pressure on gas generation and pore evolution in thermally matured calcareous mudrock: Insights from gold-tube pyrolysis of the Eagle Ford Shale using miniature core plugs. Int. J. Coal. Geol. 2022, 252, 103936. [Google Scholar] [CrossRef]
- Wang, L.; Yang, D.; Zhao, Y.; Wang, G. Evolution of pore characteristics in oil shale during pyrolysis under convection and conduction heating modes. Oil Shale 2020, 37, 224–241. [Google Scholar] [CrossRef]
- Zhu, J.; Yang, Z.; Li, X.; Wang, N.; Jia, M. Evaluation of different microwave heating parameters on the pore structure of oil shale samples. Energy Sci. Eng. 2018, 6, 797–809. [Google Scholar] [CrossRef]
- Yang, X.G.; Guo, S.B. Porosity model and pore evolution of transitional shales: An example from the Southern North China Basin. Pet. Sci. 2020, 17, 1512–1526. [Google Scholar] [CrossRef]
- Zhang, Y.; Hu, S.; Shen, C.; Liao, Z.; Xu, J.; Zhang, X. Factors influencing the evolution of shale pores in enclosed and semi-enclosed thermal simulation experiments, Permian Lucaogou Formation, Santanghu Basin, China. Mar. Pet. Geol. 2022, 135, 105421. [Google Scholar] [CrossRef]
- Song, D.; Tuo, J.; Zhang, M.; Wu, C.; Su, L.; Li, J. Hydrocarbon generation potential and evolution of pore characteristics of Mesoproterozoic shales in north China: Results from semi-closed pyrolysis experiments. J. Nat. Gas. Sci. Eng. 2019, 62, 171–183. [Google Scholar] [CrossRef]
- Connan, J. Time-temperature relation in oil genesis: REPLY. Am. Assoc. Pet. Geol. Bull. 1976, 60, 2516–2521. [Google Scholar]
- Gao, Z.; Fan, Y.; Xuan, Q.; Zheng, G. A review of shale pore structure evolution characteristics with increasing thermal maturities. Adv. Geo-Energy Res. 2020, 4, 247–259. [Google Scholar] [CrossRef]
- Shi, M.; Yu, B.; Zhang, J.; Huang, H.; Yuan, Y.; Li, B. Evolution of organic pores in marine shales undergoing thermocompression: A simulation experiment using hydrocarbon generation and expulsion. J. Nat. Gas. Sci. Eng. 2018, 59, 406–413. [Google Scholar] [CrossRef]
- Ma, Y.; Ardakani, O.H.; Zhong, N.; Liu, H.; Huang, H.; Larter, S. Possible pore structure deformation effects on the shale gas enrichment: An example from the Lower Cambrian shales of the Eastern Upper Yangtze Platform, South China. Int. J. Coal. Geol. 2020, 217, 103349. [Google Scholar] [CrossRef]
- Li, Z.; Liu, D.; Cai, Y.; Ranjith, P.G.; Yao, Y. Multi-scale quantitative characterization of 3-D pore-fracture networks in bituminous and anthracite coals using FIB-SEM tomography and X-ray Μ-CT. Fuel 2017, 209, 43–53. [Google Scholar] [CrossRef]
- Hu, Q.; Kalteyer, R.; Wang, J.; El-Sobky, H.F. Nanopetrophysical characterization of the Mancos Shale Formation in the San Juan Basin of northwestern New Mexico, USA. Interpretation 2019, 7, SJ45–SJ65. [Google Scholar] [CrossRef]
- Wang, Y.; Qiu, N.; Ma, Z.; Ning, C.; Zheng, L.; Zhou, Y. Evaluation of equivalent relationship between vitrinite reflectance and solid bitumen reflectance. J. China. Univ. Min. Technol. 2020, 49, 563–575. [Google Scholar]
- Baruch, E.T.; Kennedy, M.J.; Löhr, S.C.; Dewhurst, D.N. Feldspar dissolution-enhanced porosity in Paleoproterozoic shale reservoir facies from the Barney Creek Formation (McArthur Basin, Australia). Am. Assoc. Pet. Geol. Bull. 2015, 99, 1745–1770. [Google Scholar] [CrossRef]
- Wang, F.; Guo, S. Influential factors and model of shale pore evolution: A case study of a continental shale from the Ordos Basin. Mar. Pet. Geol. 2019, 102, 271–282. [Google Scholar] [CrossRef]
- Xu, L.; Yang, K.; Wei, H.; Liu, L.; Li, X.; Chen, L. Diagenetic evolution sequence and pore evolution model of Mesoproterozoic Xiamaling organic-rich shale in Zhangjiakou, Hebei, based on pyrolysis simulation experiments. Mar. Pet. Geol. 2021, 132, 105233. [Google Scholar] [CrossRef]
- Zhang, S.; Yang, Y.; Zhang, L.; Cao, Y. Formation mechanism of secondary quartz and its influence on physical properties of xu 2 Member reservoir in western Sichuan Depression. Xinjiang Pet. Geol. 2023, 44, 25–32. [Google Scholar]
- Kang, Z.; Zhao, J.; Yang, D.; Zhao, Y.; Hu, Y. Study of the evolution of micron-scale pore structure in oil shale at different temperatures. Oil Shale 2017, 34, 42–54. [Google Scholar] [CrossRef]
- He, W.; Sun, Y.; Shan, X. Organic matter evolution in pyrolysis experiments of oil shale under high pressure: Guidance for in situ conversion of oil shale in the Songliao Basin. J. Anal. Appl. Pyrolysis 2021, 155, 105091. [Google Scholar] [CrossRef]
- Ma, B.; Hu, Q.; Yang, S.; Zhang, T.; Qiao, H.; Meng, M. Pore structure typing and fractal characteristics of lacustrine shale from Kongdian Formation in East China. J. Nat. Gas. Sci. Eng. 2021, 85, 103709. [Google Scholar] [CrossRef]
- Shan, C.; Zhao, W.; Wang, F.; Zhang, K.; Feng, Z.; Guo, L. Nanoscale pore structure heterogeneity and its quantitative characterization in Chang7 lacustrine shale of the southeastern Ordos Basin, China. J. Pet. Sci. Eng 2020, 187, 106754. [Google Scholar] [CrossRef]
- Li, X.; Jiang, Z.; Jiang, S.; Li, Z.; Song, Y.; Jiang, H. Various controlling factors of matrix-related pores from differing depositional shales of the Yangtze Block in south China: Insight from organic matter isolation and fractal analysis. Mar. Pet. Geol. 2020, 111, 720–734. [Google Scholar] [CrossRef]
- Liu, C.; Xu, X.; Liu, K.; Bai, J.; Liu, W.; Chen, S. Pore-scale oil distribution in shales of the Qingshankou formation in the Changling Sag, Songliao Basin, NE China. Mar. Pet. Geol. 2020, 120, 104553. [Google Scholar] [CrossRef]
- Mastalerz, M.; Schimmelmann, A.; Drobniak, A.; Chen, Y. Porosity of Devonian and Mississippian New Albany Shale across a maturation gradient: Insights from organic petrology’, gas adsorption, and mercury intrusion. Am. Assoc. Pet. Geol. Bull. 2013, 97, 1621–1643. [Google Scholar] [CrossRef]















| Sample No. | XHY-1 | XHY-2 | XHY-3 | XHY-4 | XHY-5 | XHY-6 | XHY-7 |
|---|---|---|---|---|---|---|---|
| T, (°C) | 300 | 350 | 400 | 450 | 500 | 550 | 600 |
| Sample no. | XHY-01 | XHY-02 | XHY-03 | XHY-04 | XHY-05 | XHY-06 | XHY-07 |
| T, (°C) | 300 | 350 | 400 | 450 | 500 | 550 | 600 |
| H, (m) | 2500 | 3000 | 3500 | 4000 | 4500 | 5000 | 5500 |
| Pf, (MPa) | 33.15 | 39.78 | 46.41 | 53.04 | 59.67 | 66.3 | 72.93 |
| Pl, (MPa) | 56.75 | 68.1 | 79.45 | 90.8 | 102.15 | 113.5 | 124.85 |
| Sample Type | Sample No. | T | EqVRo | L | G | TOC | Tmax | HI | S1 | S2 |
|---|---|---|---|---|---|---|---|---|---|---|
| (°C) | (%) | (mg/g) | (mg/g) | (%) | (°C) | (mg/gTOC) | (mg/g) | (mg/g) | ||
| Original | XHY | - | 0.67 | - | - | 5.74 | 432 | 308.06 | 0.89 | 10.55 |
| Open system | XHY-1 | 300 | 0.68 | - | 0.03 | 5.71 | 436 | 295.3 | 2.45 | 6.31 |
| XHY-2 | 350 | 0.86 | - | 0.21 | 5.68 | 446 | 285.19 | 3.21 | 4.29 | |
| XHY-3 | 400 | 1.23 | - | 0.58 | 5.32 | 466 | 232.1 | 4.32 | 3.19 | |
| XHY-4 | 450 | 1.61 | - | 1.49 | 4.89 | 487 | 201.59 | 6.13 | 3.21 | |
| XHY-5 | 500 | 2.01 | - | 2.33 | 4.01 | 509 | 178.58 | 5.17 | 2.14 | |
| XHY-6 | 550 | 2.58 | - | 3.68 | 3.44 | 541 | 141.46 | 5.24 | 1.19 | |
| XHY-7 | 600 | 3.09 | - | 4.41 | 2.93 | 569 | 114.51 | 4.32 | 0.32 | |
| Semi-closed system | XHY-01 | 300 | 0.69 | 1.64 | 0.00 | 5.03 | 440 | 268.6 | 0.32 | 4.62 |
| XHY-02 | 350 | 0.89 | 2.57 | 0.01 | 4.32 | 447 | 181.21 | 0.39 | 2.99 | |
| XHY-03 | 400 | 1.25 | 6.12 | 0.22 | 2.15 | 535 | 175.91 | 0.07 | 2.41 | |
| XHY-04 | 450 | 1.51 | 6.60 | 1.69 | 1.83 | 560 | 121.8 | 0.06 | 1.83 | |
| XHY-05 | 500 | 1.95 | 5.42 | 1.81 | 1.53 | 559 | 84.96 | 0.05 | 1.1 | |
| XHY-06 | 550 | 2.6 | 5.56 | 2.61 | 1.24 | 434 | 27.42 | 0.04 | 0.34 | |
| XHY-07 | 600 | 3.02 | 3.81 | 3.23 | 1.19 | 449 | 3.48 | 0.03 | 0.04 |
| Sample no. | PV-OSP (10−4 cm3/g) | D1-OSP | D2-OSP | Sample no. | PV-SSP (10−4 cm3/g ) | D1-SSP | D2-SSP | ||||||
|---|---|---|---|---|---|---|---|---|---|---|---|---|---|
| <2 nm | 2–50 nm | >50 nm | TPV-OSP | <2 nm | 2–50 nm | >50 nm | TPV-SSP | ||||||
| XHY-1 | 10.39 | 14.37 | 4.91 | 29.67 | 2.45 | 2.62 | XHY-01 | 7.08 | 51.70 | 9.28 | 68.06 | 2.37 | 2.55 |
| XHY-2 | 12.86 | 15.50 | 3.86 | 32.22 | 2.41 | 2.56 | XHY-02 | 5.52 | 45.62 | 11.14 | 62.28 | 2.36 | 2.48 |
| XHY-3 | 7.83 | 9.80 | 3.97 | 21.60 | 2.50 | 2.49 | XHY-03 | 9.42 | 37.30 | 8.22 | 54.94 | 2.39 | 2.63 |
| XHY-4 | 17.38 | 11.63 | 5.98 | 34.99 | 2.44 | 2.56 | XHY-04 | 13.48 | 79.14 | 13.81 | 106.44 | 2.43 | 2.53 |
| XHY-5 | 28.98 | 21.38 | 20.20 | 70.55 | 2.78 | 2.72 | XHY-05 | 13.81 | 104.19 | 16.92 | 134.92 | 2.49 | 2.61 |
| XHY-6 | 29.68 | 27.94 | 31.87 | 89.49 | 2.86 | 2.87 | XHY-06 | 13.63 | 134.68 | 17.39 | 165.71 | 2.55 | 2.60 |
| XHY-7 | 44.62 | 57.37 | 42.94 | 144.92 | 2.86 | 2.91 | XHY-07 | 12.87 | 166.49 | 26.94 | 206.30 | 2.58 | 2.59 |
Disclaimer/Publisher’s Note: The statements, opinions and data contained in all publications are solely those of the individual author(s) and contributor(s) and not of MDPI and/or the editor(s). MDPI and/or the editor(s) disclaim responsibility for any injury to people or property resulting from any ideas, methods, instructions or products referred to in the content. |
© 2023 by the authors. Licensee MDPI, Basel, Switzerland. This article is an open access article distributed under the terms and conditions of the Creative Commons Attribution (CC BY) license (https://creativecommons.org/licenses/by/4.0/).
Share and Cite
Fang, X.; Cai, Y.; Hu, Q.; Gao, P.; Liu, D.; Qian, Y. Effect of Formation Pressure on Pore Structure Evolution and Hydrocarbon Expulsion in Organic-Rich Marine Shale. Processes 2023, 11, 1007. https://doi.org/10.3390/pr11041007
Fang X, Cai Y, Hu Q, Gao P, Liu D, Qian Y. Effect of Formation Pressure on Pore Structure Evolution and Hydrocarbon Expulsion in Organic-Rich Marine Shale. Processes. 2023; 11(4):1007. https://doi.org/10.3390/pr11041007
Chicago/Turabian StyleFang, Xianglong, Yidong Cai, Qinhong Hu, Ping Gao, Dameng Liu, and Yujing Qian. 2023. "Effect of Formation Pressure on Pore Structure Evolution and Hydrocarbon Expulsion in Organic-Rich Marine Shale" Processes 11, no. 4: 1007. https://doi.org/10.3390/pr11041007
APA StyleFang, X., Cai, Y., Hu, Q., Gao, P., Liu, D., & Qian, Y. (2023). Effect of Formation Pressure on Pore Structure Evolution and Hydrocarbon Expulsion in Organic-Rich Marine Shale. Processes, 11(4), 1007. https://doi.org/10.3390/pr11041007

