Recovery of Ammonium from Biomass-Drying Condensate Via Ion Exchange and Its Valorization as a Fertilizer
Abstract
1. Introduction
2. Materials and Methods
2.1. Chemicals
2.2. Ammonium Recovery Experiments
2.2.1. Laboratory-Scale Experiments
2.2.2. Pilot-Scale Experiments
2.3. Chemical Analyses
2.4. Modeling and Simulation
3. Results and Discussion
3.1. The Determination of Temperature and Resin Cross-Linking Degree
3.2. Regeneration Efficiency
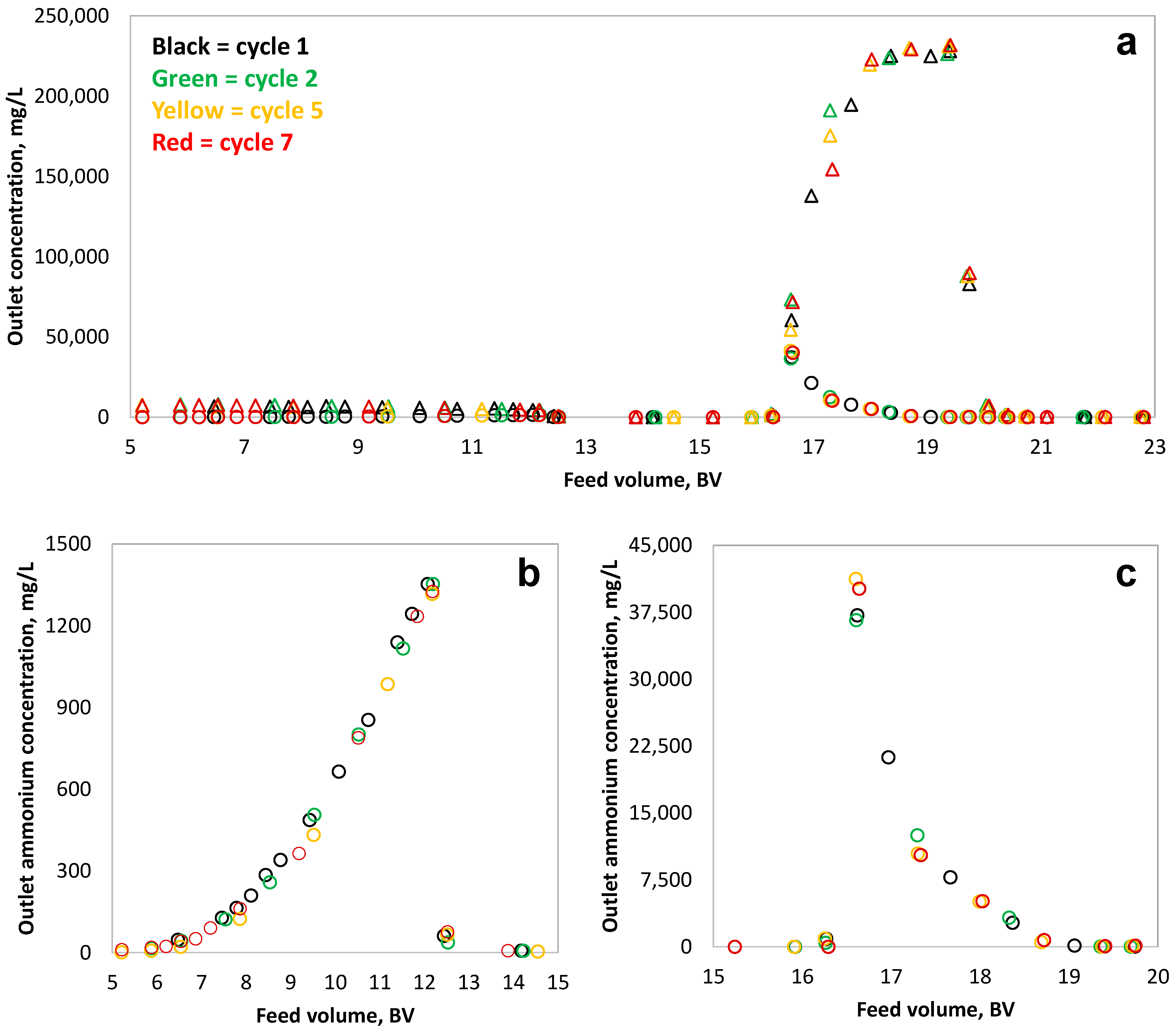
3.3. Stability of the Separation Process
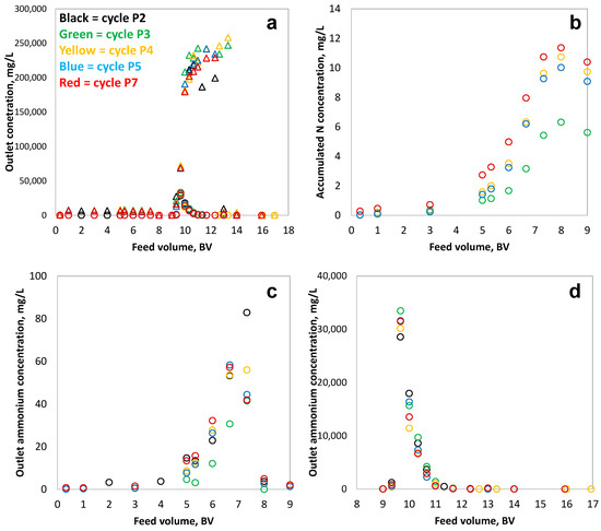
3.4. Cyclic Separation on Pilot Scale
3.5. Regeneration Effluent as Liquid Compound Fertilizer
4. Conclusions
Supplementary Materials
Author Contributions
Funding
Data Availability Statement
Acknowledgments
Conflicts of Interest
References
- Ye, Y.; Ngo, H.H.; Guo, W.; Liu, Y.; Chang, S.W.; Nguyen, D.D.; Liang, H.; Wang, J. A critical review on ammonium recovery from wastewater for sustainable wastewater management. Bioresour. Technol. 2018, 268, 749–758. [Google Scholar] [CrossRef]
- Bernardi, M.; le Du, M.; Dodouche, I.; Descorme, C.; Deleris, S.; Blanchet, E.; Besson, M. Selective removal of the ammonium-nitrogen in ammonium acetate aqueous solutions by catalytic wet air oxidation over supported Pt catalysts. Appl. Catal. B Environ. 2012, 128, 64–71. [Google Scholar] [CrossRef]
- Tekerlekopoulou, A.G.; Pavlou, S.; Vayenas, D.v. Removal of ammonium, iron and manganese from potable water in biofiltration units: A review. J. Chem. Technol. Biotechnol. 2013, 88, 751–773. [Google Scholar] [CrossRef]
- Yan, T.; Ye, Y.; Ma, H.; Zhang, Y.; Guo, W.; Du, B.; Wei, Q.; Ngo, H.H. A critical review on membrane hybrid system for nutrient recovery from wastewater. Chem. Eng. J. 2018, 348, 143–156. [Google Scholar] [CrossRef]
- EL-Bourawi, M.S.; Khayet, M.; Ma, R.; Ding, Z.; Li, Z.; Zhang, X. Application of vacuum membrane distillation for ammonia removal. J. Membr. Sci. 2007, 301, 200–209. [Google Scholar] [CrossRef]
- Lubensky, J.; Ellersdorfer, M.; Stocker, K. Ammonium recovery from model solutions and sludge liquor with a combined ion exchange and air stripping process. J. Water Process Eng. 2019, 32, 100909. [Google Scholar] [CrossRef]
- Cheng, W.P.; Chen, P.H.; Yu, R.F.; Ho, W.N. Treating ammonium-rich wastewater with sludge from water treatment plant to produce ammonium alum. Sustain. Environ. Res. 2016, 26, 63–69. [Google Scholar] [CrossRef]
- Han, B.; Butterly, C.; Zhang, W.; He, J.Z.; Chen, D. Adsorbent materials for ammonium and ammonia removal: A review. J. Clean. Prod. 2021, 283, 124611. [Google Scholar] [CrossRef]
- Iqbal, M.; Bhuiyan, H.; Mavinic, D.S. Assessing struvite precipitation in a pilot-scale fluidized bed crystallizer. Environ. Technol. 2008, 29, 1157–1167. [Google Scholar] [CrossRef]
- Yigit, N.Ö.; Mazlum, S. Phosphate recovery potential from wastewater by chemical precipitation at batch conditions. Environ. Technol. 2007, 28, 83–93. [Google Scholar] [CrossRef]
- Kumar Sinha, A.; Kumar Sasmal, A.; Pal, A.; Pal, D.; Pal, T. Ammonium phosphomolybdate [(NH4)3PMo12O40] an inorganic ion exchanger for environmental application for purification of dye contaminant wastewater. J. Photochem. Photobiol. A Chem. 2021, 418, 113427. [Google Scholar] [CrossRef]
- Joseph, J.; Radhakrishnan, R.C.; Johnson, J.K.; Joy, S.P.; Thomas, J. Ion-exchange mediated removal of cationic dye-stuffs from water using ammonium phosphomolybdate. Mater. Chem. Phys. 2020, 242, 122488. [Google Scholar] [CrossRef]
- Thornton, A.; Pearce, P.; Parsons, S.A. Ammonium removal from digested sludge liquors using ion exchange. Water Res. 2007, 41, 433–439. [Google Scholar] [CrossRef]
- Heinonen, J.; Sainio, T. Novel chromatographic process for the recovery and purification of hydroxy acids from alkaline spent pulping liquors. Chem. Eng. Sci. 2019, 197, 87–97. [Google Scholar] [CrossRef]
- Heinonen, J.; Sainio, T. Modelling and performance evaluation of chromatographic monosaccharide recovery from concentrated acid lignocellulosic hydrolysates. J. Chem. Technol. Biotechnol. 2012, 87, 1676–1686. [Google Scholar] [CrossRef]
- Sainio, T.; Turku, I.; Heinonen, J. Adsorptive removal of fermentation inhibitors from concentrated acid hydrolyzates of lignocellulosic biomass. Bioresour. Technol. 2011, 102, 6048–6057. [Google Scholar] [CrossRef] [PubMed]
- DuPont Tech Fact. Ion Exchange Resins Selectivity. 2019. Available online: https://www.dupont.com/content/dam/dupont/amer/us/en/water-solutions/public/documents/en/IER-Selectivity-TechFact-45-D01458-en.pdf (accessed on 20 November 2022).
- Gregor, H.P.; Bregman, J.I. Studies on ion-exchange resins. IV. Selectivity coefficients of various cation exchangers towards univalent cations. J. Colloid Sci. 1951, 6, 323–347. [Google Scholar] [CrossRef]
- Chung, S.F.; Wen, C.Y. Longitudinal dispersion of liquid flowing through fixed and fluidized beds. AIChE J. 1968, 14, 857–866. [Google Scholar] [CrossRef]
- Schiesser, W.E. The Numerical Method of Lines: Integration of Partial Differential Equations; Academic Press: San Diego, CA, USA, 1991. [Google Scholar]
- Brown, P.N.; Byrne, G.D.; Hindmarsh, A.C. VODE: A Variable-Coefficient ODE Solver. SIAM J. Sci. Stat. Comput. 1989, 10, 1038–1051. [Google Scholar] [CrossRef]
- Zhang, W.; Wang, Z.; Liu, Y.; Feng, J.; Han, J.; Yan, W. Effective removal of ammonium nitrogen using titanate adsorbent: Capacity evaluation focusing on cation exchange. Sci. Total Environ. 2021, 771, 144800. [Google Scholar] [CrossRef]
- Harland, C.E. Ion Exchange: Theory and Practice; Royal society of Chemistry: London, UK, 1994. [Google Scholar]
- Helfferich, F.G. Ion Exchange; Dover Publications: Mineola, NY, USA, 1995; Available online: https://books.google.fi/books?id=F9OQMEA88CAC (accessed on 20 November 2022).
- Yoon, T.; Noh, B.; Moon, B. Parametric studies on the performance of cation exchange for the ammonium removal. Korean J. Chem. Eng. 2000, 17, 652–658. [Google Scholar] [CrossRef]
- Gefeniene, A.; Kauspediene, D.; Snukiskis, J. Performance of sulphonic cation exchangers in the recovery of ammonium from basic and slight acidic solutions. J. Hazard. Mater. 2006, 135, 180–187. [Google Scholar] [CrossRef]
- Wirthensohn, T.; Waeger, F.; Jelinek, L.; Fuchs, W. Ammonium removal from anaerobic digester effluent by ion exchange. Water Sci. Technol. 2009, 60, 201–210. [Google Scholar] [CrossRef]
- Malovanyy, A.; Sakalova, H.; Yatchyshyn, Y.; Plaza, E.; Malovanyy, M. Concentration of ammonium from municipal wastewater using ion exchange process. Desalination 2013, 329, 93–102. [Google Scholar] [CrossRef]
- Pinelli, D.; Foglia, A.; Fatone, F.; Papa, E.; Maggetti, C.; Bovina, S.; Frascari, D. Ammonium recovery from municipal wastewater by ion exchange: Development and application of a procedure for sorbent selection. J. Environ. Chem. Eng. 2022, 10, 108829. [Google Scholar] [CrossRef]
- Truong, D.Q.; Loganathan, P.; Tran, L.M.; Vu, D.L.; Nguyen, T.V.; Vigneswaran, S.; Naidu, G. Removing ammonium from contaminated water using Purolite C100E: Batch, column, and household filter studies. Environ. Sci. Pollut. Res. 2022, 29, 16959–16972. [Google Scholar] [CrossRef]
- Carocho, M.; Barreiro, M.F.; Morales, P.; Ferreira, I.C.F.R. Adding Molecules to Food, Pros and Cons: A Review on Synthetic and Natural Food Additives. Compr. Rev. Food Sci. Food Saf. 2014, 13, 377–399. [Google Scholar] [CrossRef]
- Shi, X.; Akin, M.; Pan, T.; Fay, L.; Liu, Y.; Yang, Z. Deicer Impacts on Pavement Materials: Introduction and Recent Developments. Open Civ. Eng. J. 2009, 3, 16–27. [Google Scholar] [CrossRef]
- Liu, Y.; Sheng, X.; Dong, Y.; Ma, Y. Removal of high-concentration phosphate by calcite: Effect of sulfate and pH. Desalination 2012, 289, 66–71. [Google Scholar] [CrossRef]
- Preisner, M.; Neverova-Dziopak, E.; Kowalewski, Z. An Analytical Review of Different Approaches to Wastewater Discharge Standards with Particular Emphasis on Nutrients. Environ. Manag. 2020, 66, 694–708. [Google Scholar] [CrossRef]






| Content | Concentration (mg/L) |
|---|---|
| NH4+ | 3226 |
| Na+ | 44 |
| K+ | 24 |
| Ca2+ | 25 |
| CH3COO− | 8939 |
| SO42− | 78 |
| PO43− | 4 |
| Cycle | 1 | 2 | 3 | 4 | 5 | 6 | 7 |
|---|---|---|---|---|---|---|---|
| Loading | 7.0 | 7.0 | 7.0 | 7.0 | 7.0 | 7.0 | 7.0 |
| Water washing | 2.0 | 2.0 | 2.0 | 2.0 | 2.0 | 2.0 | 2.0 |
| Regeneration | 3.0 | 3.0 | 4.0 | 4.0 | 3.0 | 3.0 | 3.0 |
| Water washing | 4.0 | 4.0 | 4.0 | 4.0 | 4.0 | 4.0 | 4.0 |
| Parameter | CS12GC | CS16GC |
|---|---|---|
| KNH4/K | 0.88 | 0.88 |
| QIX (mol/L) | 3.35 | 3.70 |
| Ds (m2/s) at 20 °C | 1.0 × 10–11 | 0.4 × 10–11 |
| Ds (m2/s) at 60 °C | 2.1 × 10–11 | 0.9 × 10–11 |
| Resin | C0 (mg/L) | T (°C) | Q (BV/h) | qm (g/L) | Reference |
|---|---|---|---|---|---|
| CS16GC | 3312.1 | 60 | 3.0 | 63.20 | Current study |
| 55.86 * | Current study | ||||
| CS12GC | 3197.7 | 60 | 3.0 | 53.35 | Current study |
| 49.42 * | Current study | ||||
| Purolite C160 MBH | 3744.0 | 20 | 2.7 | 37.08 * | [26] |
| Amberjet 1500H | 600.9 | 20 | 5.0 | 35.46 | [27] |
| Lewatit S 100 | 600.9 | 20 | 5.0 | 31.68 | [27] |
| Amberlite 252H | 600.9 | 20 | 5.0 | 29.52 | [27] |
| KU-2-8 | 51.4 | 20 | 40.9 | 34.95 | [28] |
| Amberlyst 15WET | 51.4 | 22 | 6.0 | 4.57 | [29] |
| Purolite C100E | 17.4 | 30 | 1.9 | 7.66 | [30] |
Disclaimer/Publisher’s Note: The statements, opinions and data contained in all publications are solely those of the individual author(s) and contributor(s) and not of MDPI and/or the editor(s). MDPI and/or the editor(s) disclaim responsibility for any injury to people or property resulting from any ideas, methods, instructions or products referred to in the content. |
© 2023 by the authors. Licensee MDPI, Basel, Switzerland. This article is an open access article distributed under the terms and conditions of the Creative Commons Attribution (CC BY) license (https://creativecommons.org/licenses/by/4.0/).
Share and Cite
Song, J.; Heinonen, J.; Sainio, T. Recovery of Ammonium from Biomass-Drying Condensate Via Ion Exchange and Its Valorization as a Fertilizer. Processes 2023, 11, 815. https://doi.org/10.3390/pr11030815
Song J, Heinonen J, Sainio T. Recovery of Ammonium from Biomass-Drying Condensate Via Ion Exchange and Its Valorization as a Fertilizer. Processes. 2023; 11(3):815. https://doi.org/10.3390/pr11030815
Chicago/Turabian StyleSong, Jianzhi, Jari Heinonen, and Tuomo Sainio. 2023. "Recovery of Ammonium from Biomass-Drying Condensate Via Ion Exchange and Its Valorization as a Fertilizer" Processes 11, no. 3: 815. https://doi.org/10.3390/pr11030815
APA StyleSong, J., Heinonen, J., & Sainio, T. (2023). Recovery of Ammonium from Biomass-Drying Condensate Via Ion Exchange and Its Valorization as a Fertilizer. Processes, 11(3), 815. https://doi.org/10.3390/pr11030815

