Recent Developments in Tuning Methods for Predictive Functional Control
Abstract
:1. Introduction
- 1.
- How do we make tuning as intuitive and, thus, as simple as possible, thus empowering lower-skilled operators?
- 2.
- How do we define meaningful and simple PFC control laws using common input parameterisations?
2. Overview of Traditional PFC
2.1. Modelling
2.2. Prediction
2.3. Conventional PFC Control Law
2.3.1. Efficacy of Conventional PFC
2.3.2. Constraint Handling
2.4. Recently Proposed Variations of PFC
- 1.
- The definition of the coincidence point [16] can induce lag and inconsistency in decision making.
- 2.
- The parameterisation of the future inputs is too simplistic for many cases and is inconsistent with the desirable closed-loop input trajectory [1].
- 3.
- The tuning parameter is not as effective as one would like [12].
2.4.1. Laguerre PFC (LPFC)
2.4.2. Closed-Loop or Pre-Stabilised PFC (CLPFC)
2.5. Summary
3. Using Benchmark Behaviour to Define a New PFC Approach
- For many benign systems, the open-loop dynamics are almost acceptable, and thus, feedback is mainly needed for handling uncertainty and relatively small improvements in the speed of response and damping.
- For systems with less satisfactory open-loop dynamics, a simple classical feedback loop, as in Section 2.4.2, will deliver realistic and sensible dynamics, albeit with the potential for some improvement.
3.1. A PFC Law Delivering Open-Loop Dynamics: Steady-State PFC (SSPFC)
3.2. Changing the Speed of Response: Speed-Up SSPFC
- 1.
- Define the desired speed-up factor as .
- 2.
- For initial conditions of zero, determine the inputs associated, respectively, with and and determine the dependence of this ratio on .
- 3.
- Select so that:Hence:
- 4.
- Noting that (nominal case) , this reduces to;which gives a simple and unique choice for .
3.3. Speed-Up PFC with Feedback (CLSSPFC)
- 1.
- Define the transfer function of the inner loop.
- 2.
- Define the associated inner-loop predictions and speed-up predictions as:
- 3.
- Solve the following identity to solve for .
- 4.
- Define the inner-loop input as: .
3.4. Summary of Proposals
4. Numerical Illustrations
4.1. Case Studies
4.1.1. Examples with Relatively Straightforward Dynamics
4.1.2. Examples with Challenging Dynamics
- 1.
- Boiler-level systems [34] often include an integrator. The basic SSPFC is not defined for systems with zero steady-state input, that is, .
- 2.
- Autonomous underwater vehicles [35] typically include oscillatory open-loop dynamics.
- 3.
- Several industrial systems have unstable dynamics—for example, the temperature of a fluidised bed reactor [36].
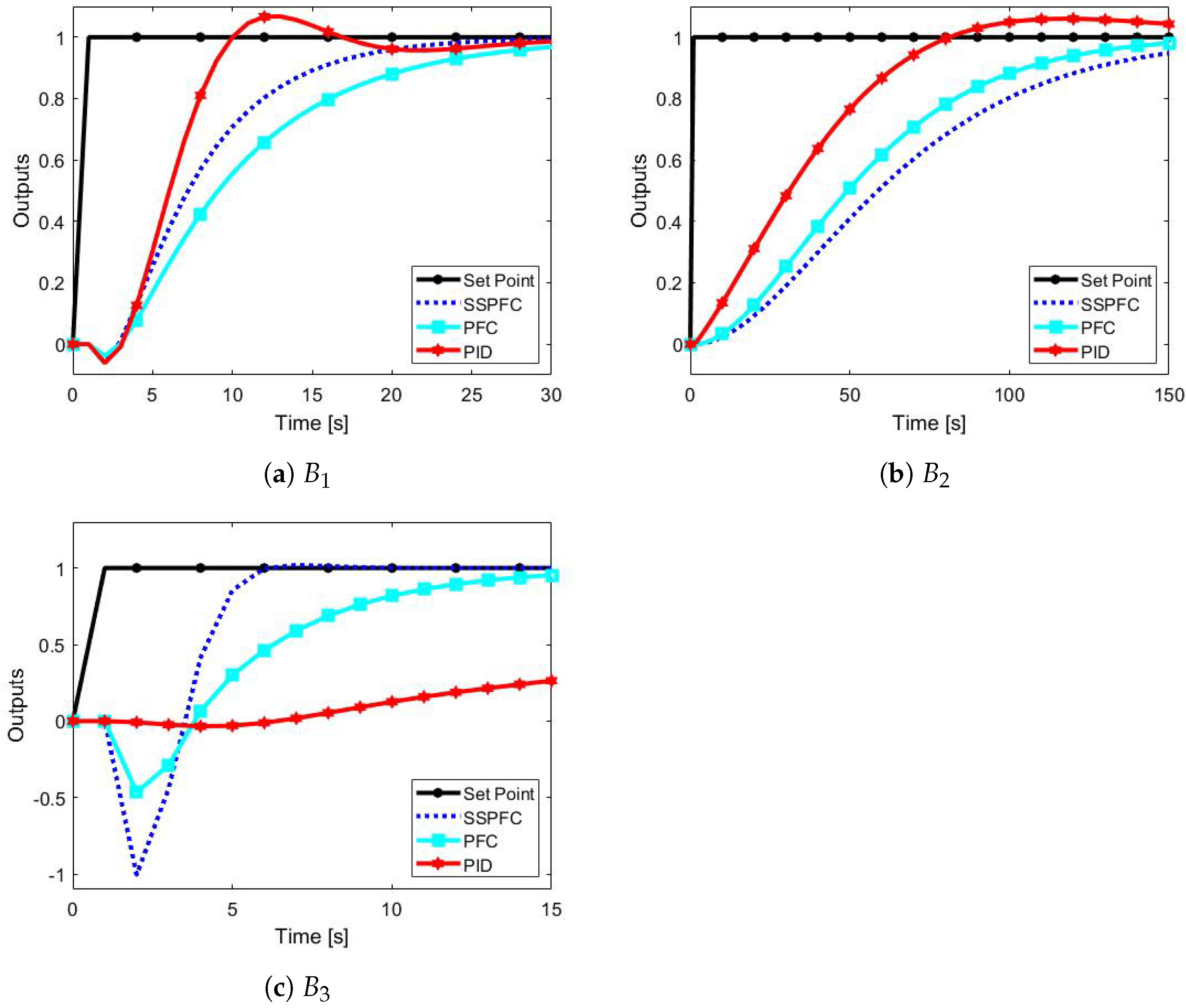
4.2. Tuning Efficacy with the Basic SSPFC Controller
- 1.
- 2.
- Figure 6 compares the tuning for with the corresponding efficacy of more conventional approaches. It is clear that, apart from , which is a simple over-damped system, the conventional approaches have, by comparison, significant lag and, thus, are not as effective at achieving a specified behaviour.
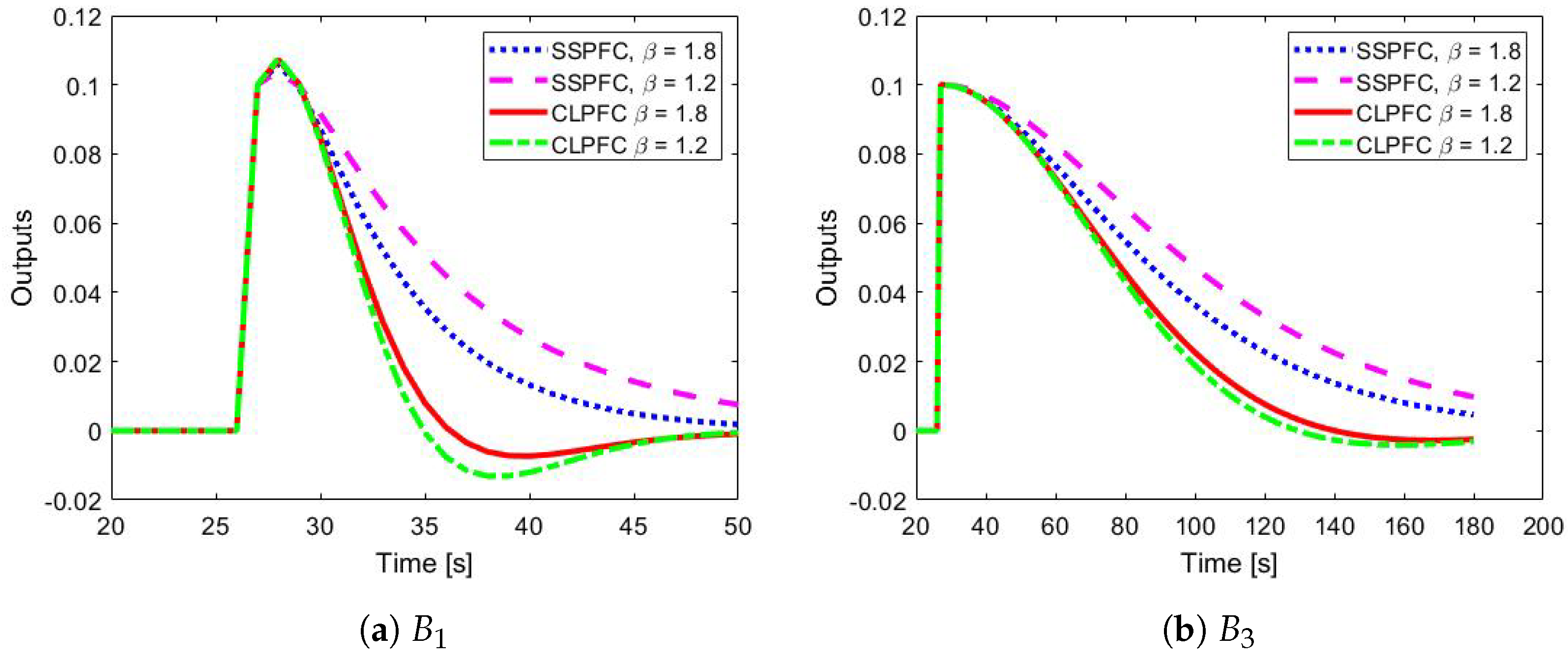
4.3. Illustrations of the Speed-Up in CLSSPFC
- 1.
- Figure 7, Figure 8 and Figure 9 show the input and output responses for CLSSPFC with various choices of . It is clear that, despite the challenging nature of the control problem, the proposal gives a simple and effective mechanism for varying the closed-loop speed of response with the corresponding changes in input activity.
- 2.
- Figure 10a–c compare the tuning for with the corresponding efficacy of more conventional approaches. It is clear that the conventional approaches have, by comparison, some lag and other undesirable behaviours and, thus, are not as effective at achieving a specified behaviour.
4.4. Disturbance Rejection
4.5. Constraint Handling
5. Conclusions, Limitations, and Future Work
5.1. Concluding Remarks
5.2. Limitations and Future Work
Author Contributions
Funding
Institutional Review Board Statement
Informed Consent Statement
Data Availability Statement
Acknowledgments
Conflicts of Interest
References
- Rossiter, J.A.; Aftab, M.S. Review of Tuning Methods for Predictive Functional Control. Processes 2021, 9, 1140. [Google Scholar] [CrossRef]
- Khadir, M.; Ringwood, J. Stability issues for first order predictive functional controllers: Extension to handle higher order internal models. In Proceedings of the International Conference on Computer Systems and Information Technology, Algiers, Algeria, 19–21 July 2005; pp. 174–179. [Google Scholar]
- Richalet, J. Industrial applications of model based predictive control. Automatica 1993, 29, 1251–1274. [Google Scholar] [CrossRef]
- Fallasohi, H.; Ligeret, C.; Lin-Shi, X. Predictive Functional Control of an expansion valve for minimizing the superheat of an evaporator. Int. J. Refrig. 2010, 33, 409–418. [Google Scholar] [CrossRef]
- Fiani, P.; Richalet, J. Handling input and state constraints in predictive functional control. In Proceedings of the 30th IEEE Conference on Decision and Control, Brighton, UK, 11–13 December 1991; pp. 985–990. [Google Scholar]
- Richalet, J.; Rault, A.; Testud, J.; Papon, J. Model predictive heuristic control: Applications to industrial processes. Automatica 1987, 14, 413–428. [Google Scholar] [CrossRef]
- Haber, R.; Rossiter, J.A.; Zabet, K. An alternative for PID control: Predictive functional Control: A tutorial. In Proceedings of the 2016 American Control Conference (ACC), Boston, MA, USA, 6–8 July 2016; pp. 6935–6940. [Google Scholar]
- Haber, R.; Bars, R.; Schmitz, U. Predictive Control in Process Engineering: From the Basics to the Applications; Wiley-VCH: Weinheim, Germany, 2011. [Google Scholar]
- Richalet, J.; O’Donovan, D. Predictive Functional Control: Principles and Industrial Applications; Springer: Berlin, Germany, 2009. [Google Scholar]
- Clarke, D.W.; Mohtadi, C. Properties of generalized predictive control. Automatica 1989, 25, 859–875. [Google Scholar] [CrossRef]
- Cutler, C.R.; Ramaker, B.L. Dynamic matrix control: A computer control algorithm. Jt. Autom. Control. Conf. 1980, 17, 72. [Google Scholar] [CrossRef]
- Rossiter, J.A.; Haber, R. The effect of coincidence horizon on predictive functional control. Processes 2015, 3, 25–45. [Google Scholar] [CrossRef] [Green Version]
- Zhang, Z.; Rossiter, J.A.; Xie, L.; Su, H. Predictive Functional Control for Integrator Systems. J. Frankl. Inst. 2020, 357, 4171–4186. [Google Scholar] [CrossRef]
- Aftab, M.S.; Rossiter, J.A.; Zhang, Z. Predictive functional control for unstable first-order dynamic systems. In CONTROLO 2020; Goncalves, J.A., Ed.; Springer Nature Switzerland AG: Cham, Switzerland, 2021; pp. 1–11. [Google Scholar]
- Abdullah, M.; Rossiter, J.A. Using Laguerre functions to improve the tuning and performance of predictive functional control. Int. J. Control 2021, 94, 202–214. [Google Scholar] [CrossRef] [Green Version]
- Rossiter, J.A.; Abdullah, M. Improving the use of feedforward in Predictive Functional Control to improve the impact of tuning. Int. J. Control 2020, 95, 1206–1217. [Google Scholar] [CrossRef]
- Khadir, M.; Ringwood, J. Extension of first order predictive functional controllers to handle higher order internal models. Int. J. Appl. Math. Comput. Sci. 2008, 18, 229–239. [Google Scholar] [CrossRef]
- Rossiter, J.A.; Haber, R.; Zabet, K. Pole-placement Predictive Functional Control for over-damped systems with real poles. ISA Trans. 2016, 61, 229–239. [Google Scholar] [CrossRef] [PubMed] [Green Version]
- Rossiter, J.A. A priori stability results for PFC. Int. J. Control 2016, 90, 305–313. [Google Scholar] [CrossRef] [Green Version]
- Rossiter, J.A. A First Course in Predictive Control, 2nd ed.; CRC Press: London, UK, 2018. [Google Scholar]
- Rawlings, J.; Muske, K. The stability of constrained receding horizon control. IEEE Trans. Autom. Control 1993, 38, 1512–1516. [Google Scholar] [CrossRef] [Green Version]
- Rossiter, J.A.; Kouvaritakis, B. Numerical robustness and efficiency of generalised predictive control algorithms with guaranted stability. IEE Proc. D 1994, 141, 154–162. [Google Scholar]
- Rossiter, J.A.; Aftab, M.S. Exploiting Laguerre polynomials and steady-state estimates to facilitate tuning of PFC. In Proceedings of the 20th European Control Conference (ECC) Proceedings, European Control Association (EUCA), London, UK, 12–15 July 2022. [Google Scholar]
- Richalet, J.; O’Donovan, D. Elementary predictive functional control: A tutorial. In Proceedings of the 2011 International Symposium on Advanced Control of Industrial Processes (ADCONIP), Hangzhou, China, 23–27 May 2011; pp. 306–313. [Google Scholar]
- Gilbert, E.; Tan, K. Linear systems with state and control constraints: The theory and application of maximal admissible sets. IEEE Trans. Autom. Control 1991, 36, 1008–1020. [Google Scholar] [CrossRef] [Green Version]
- Abdullah, M.; Rossiter, J.A. Input Shaping Predictive Functional Control for Different Types of Challenging Dynamics Processes. Processes 2018, 6, 118. [Google Scholar] [CrossRef] [Green Version]
- Rossiter, J.A. Input shaping for pfc: How and why? J. Control Decis. 2015, 3, 105–118. [Google Scholar] [CrossRef] [Green Version]
- Mosca, E.; Zhang, J. Stable redesign of predictive control. Automatica 1992, 28, 1229–1233. [Google Scholar] [CrossRef]
- Rossiter, J.A. Predictive functional control: More than one way to pre stabilise. In Proceedings of the 15th Triennial World Congress, Barcelona, Spain, 21–26 July 2002; pp. 289–294. [Google Scholar]
- Zabet, K.; Rossiter, J.A.; Haber, R.; Abdullah, M. Pole-placement predictive functional control for under-damped systems with real numbers algebra. ISA Trans. 2017, 71, 403–414. [Google Scholar] [CrossRef] [Green Version]
- Scokaert, P.O.; Rawlings, J.B. Constrained linear quadratic regulation. IEEE Trans. Autom. Control 1998, 43, 1163–1169. [Google Scholar] [CrossRef] [Green Version]
- Aftab, M.S.; Rossiter, J.A. Pre-stabilised predictive functional control for open-loop unstable dynamic systems. In Proceedings of the 7th IFAC Conference on Nonlinear Model Predictive Control, Bratislava, Slovakia, 11–14 July 2021. [Google Scholar]
- Aftab, M.S.; Rossiter, J.A. Predictive functional control for challenging dynamic processes using a simple prestabilization strategy. Adv. Control Appl. 2022, 2022, e102. [Google Scholar] [CrossRef]
- Zhuo, W.; Shichao, W.; Yanyan, J. Simulation of control of water level in boiler drum. In Proceedings of the World Automation Congress, Puerto Vallarta, Mexico, 24–28 June 2012. [Google Scholar]
- Nise, N.S. Control System Engineering; John Wiley & Sons, Inc.: New York, NY, USA, 2011. [Google Scholar]
- Kendi, T.A.; Doyle, F.J., III. Nonlinear control of a fluidized bed reactor using approximate feedback linearization. Ind. Eng. Chem. Res. 1996, 35, 746–757. [Google Scholar] [CrossRef]












Publisher’s Note: MDPI stays neutral with regard to jurisdictional claims in published maps and institutional affiliations. |
© 2022 by the authors. Licensee MDPI, Basel, Switzerland. This article is an open access article distributed under the terms and conditions of the Creative Commons Attribution (CC BY) license (https://creativecommons.org/licenses/by/4.0/).
Share and Cite
Rossiter, J.A.; Aftab, M.S. Recent Developments in Tuning Methods for Predictive Functional Control. Processes 2022, 10, 1398. https://doi.org/10.3390/pr10071398
Rossiter JA, Aftab MS. Recent Developments in Tuning Methods for Predictive Functional Control. Processes. 2022; 10(7):1398. https://doi.org/10.3390/pr10071398
Chicago/Turabian StyleRossiter, John Anthony, and Muhammad Saleheen Aftab. 2022. "Recent Developments in Tuning Methods for Predictive Functional Control" Processes 10, no. 7: 1398. https://doi.org/10.3390/pr10071398
APA StyleRossiter, J. A., & Aftab, M. S. (2022). Recent Developments in Tuning Methods for Predictive Functional Control. Processes, 10(7), 1398. https://doi.org/10.3390/pr10071398
