Abstract
The aim of the study was to determine the effect of selected reaction parameters—temperature (37–57 °C), pH (5.8–7.9), substrates ratio (sucrose/sorbitol 0.5/1.5 to 1.5:0.5 (m/m)), and the presence of NaCl—on the course of fructosyl-sorbitol synthesis with an enzyme preparation (11 760 U/100 g of sucrose) containing fructosyltransferase and β-d-fructofuranosidase from Aspergillus niger. A mixture of at least three fructosyl sorbitol derivatives was obtained: two mono-fructosyl and one di-fructosyl. The highest content of all sorbitol derivatives combined was 2.7 g/100 mL for pH 6.8–6.9, and the sucrose/sorbitol ratio was 1:1. Increasing the reaction temperature from 37 to 57 °C reduced the time required to reach the maximum product content from 5 to 2 h, while the concentration did not increase. The addition of NaCl (0.63 M) extended the reaction time from 2 to 5 h and slightly lowered the maximum concentration of sorbitol derivatives (from 2.74 to 2.6 g/100 mL).
1. Introduction
Polyhydroxy alcohols are compounds that are widely used in many pharmaceutical and food products, usually as a sucrose substitute, humectant, thickener, or plasticizer. These compounds are additionally used as mild laxatives, diuretics, hypotensive agents, or cryoprotectants [1,2]. Polyols are partially absorbed by passive diffusion in the small intestine; a portion of them reach the colon, where they can serve as a substrate for fermentation by the intestinal microflora [3]. Some polyols have been shown to increase the number of bifidobacteria and lactic acid bacteria in the human gut microflora, which may prompt their use as potential prebiotics [3,4].
Polyols can be modified by transglycosylation to change their properties. One example would be the maltosylation of erythritol, which increases its sweetness while decreasing its bitterness and tartness [5]. Generally, an important application of the transglycosylation reaction is in the preparation of oligosaccharides; their presence in the diet brings many benefits to the human body [6].
An interesting example of a polyhydroxy alcohol is lactitol, which—in terms of the structure of the compound—is a galactosyl derivative of sorbitol. However, it should be noted that lactitol is not obtained by transglycosylation; it is produced by the chemical reduction of lactose [7]. Lactitol is commercially available (as opposed to fructosyl-sorbitol). Lactitol is characterized by higher water solubility compared to sorbitol [8] has features that are typical of polyols (e.g., reduced caloric content in relation to sucrose, little or no effect on blood glucose levels, low acidogenic potential [9,10,11]), and at the same time, it has the ability to promote the growth of bacteria of the genera Bifidobacterium, Lactobacillus, and Streptococcus [12]. This last feature is characteristic of the above-mentioned oligosaccharides.
Given the number of possible acceptors (polyols) and the multiplicity of saccharides that can be attached to them, there is a significant potential for creating compounds with different properties that combine the features of both polyols and transglycosylation products. One group of compounds for which the synthesis conditions and selected biological properties have been determined is the galactosyl derivatives of polyols [13,14,15]. They are obtained by transgalactosylation using β-galactosidase.
Regarding fructosyl derivatives of polyols, however, limited data are available, which is interesting because fructosylation is one of the most used methods for obtaining transglycosylation products; with transfructosylation, fructo-oligosaccharides are produced. As regards fructosyl derivatives of polyols, Gonzalez-Muñoz et al. [16] synthesized β2-2′ and β2-1′-d-fructopyranosyl glycerol from glycerol and sucrose using levanosaccharase from Bacillus circulans. In other studies, β-fructofuranosidase from Schwanniomyces occidentalis was used as a fructosylation tool to produce fructooligosaccharides (FOSs) and fructoconjugates. Polyols have been proven to be alternative acceptors of the fructosyl residue, according to tests on the following ones: erythritol, galactitol, sorbitol, myo-inositol, lactitol, mannitol, adonitol, and xylitol [17]. Based on these studies, the structure of β-fructofuranosidase from S. occidentalis was studied in detail, with an emphasis on the elements that determine the transfructosylation of mannitol and erythritol. Mutation variants that can yield higher amounts of fructosyl polyols have been presented [18].
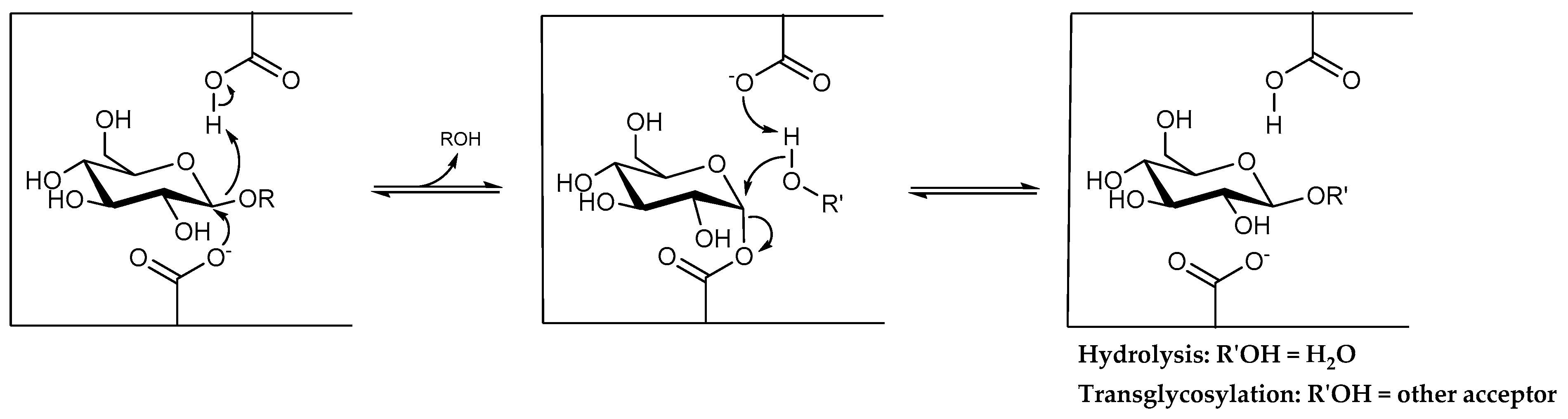
Transglycosylation is a kinetically controlled process involving the enzymatic transfer of a sugar residue from a substrate (di, oligo, polysaccharide, or sugar derivative) to a non-water acceptor with a free hydroxyl group (Figure 1).
Figure 1.
Scheme of transglycosylation catalyzed by a retaining glycosydase; based on [19].
The efficiency of transglycosylation thus depends on the extent to which the synthesis reaction outweighs the hydrolysis of the substrate and the hydrolysis of the product. Some factors that influence the efficiency of transglycosylation include the origin and dose of the enzyme, the structure of the donor and the acceptor, the concentration of the substrate, water activity, pH, temperature, reaction time, and the presence of catalysts or inhibitors [17,20,21,22,23].
The aim of the study was to determine the influence of selected reaction parameters: temperature, pH, substrate ratio, and the presence of NaCl on synthesis reaction of fructosyl-sorbitol in the presence of sucrose as a fructosyl residue donor. To the best of our knowledge, no available data reports on the use of fructosyltransferase and β-d-fructofuranosidase from Aspergillus niger for sorbitol fructosylation.
The knowledge of the conditions for the efficient synthesis and isolation of the fructosyl derivative of sorbitol would make it possible to obtain a sufficient amount of fru-sorbitol to carry out research, for example, on the biological properties of this compound. It would be interesting to compare the properties of two sorbitol derivatives—galactosyl (popular lactitol) and fructosyl.
2. Materials and Methods
2.1. Materials
White sugar (Diamant, Pfeifer & Langen Polska S.A., Poznań, Poland) and sorbitol powder (Cargill Incorporated, Minneapolis, MN, USA) were used in the experiments. The enzyme preparation Fructozyme (Novo Nordisk A/S, Bagswaerd, Denmark), containing fructosyltransferase and β-d-fructofuranosidase from Aspergillus niger, was used; the activity of the preparation was 7840 U/mL.
The following additional compounds were used: NaCl (POCh S.A., Gliwice, Poland), NaOH (POCh S.A.), Amberlite IRA-67 ion exchange resin (anion exchanger) and Amberlite IR-120 (cation exchanger) (Sigma-Aldrich Co, Saint Louis, MO, USA), glucose (POCh S.A.), and fructose (POCh S.A.).
2.2. Methods
2.2.1. Enzymatic Synthesis of the Fructosyl Derivatives of Sorbitol
Forty milliliters of distilled water and 50 g of a mixture of sucrose and sorbitol with a fixed mass ratio were placed in the reaction vessel. In one variant of the experiment, NaCl was also added. The mixture was heated until the substrates were completely dissolved and were then cooled to the assumed temperature. The vessel was placed in a water bath, and the mixture was stirred while the pH was kept constant (using 0.05 M NaOH). The enzyme was then added to obtain a dose of 11 760 U/100 g of sucrose. The synthesis took 5 or 6 h (with NaCl). Every hour, two samples (2 mL each) were taken for analysis. Each sample underwent thermal inactivation of the enzyme (by being added to 20 mL of boiling water and boiled for 1 min) and was then cooled. The diluted sample was transferred to a volumetric flask with a capacity of 50 mL. After the sample was replenished with distilled water and filtered (with cellulose filter paper—medium–fast filtration; POCh S.A.), high-performance liquid chromatography (HPLC) analysis was performed. In the case of the solution containing NaCl, before HPLC analysis, it was passed through a column containing mixed cation and anion exchangers (1:2) in order to remove salts.
When the effect of substrates ratio was determined, mixtures of sucrose and sorbitol in ratios: 0.5/1.5, 0.75/1.25, 1/1, 1.25/0.75 and 1.5:0.5 (m/m) were used (concentrations in the reaction mixtures: 0.51 and 2.87 M, 0.76 and 2.39 M, 1.01 and 1.91 M, 1.26 and 1.43 M, 1.51 and 0.96 M, respectively). The pH was stabilized in the range of 6.8–6.9. The temperature of the solution was 37 ± 1 °C.
When the effect of pH was determined, sucrose and sorbitol in amounts of 25 g were used (concentrations in the reaction mixture: 1.01 and 1.91 M, respectively). The pH was stabilized in the ranges of 5.8–5.9, 6.4–6.5, 7.4–7.5, or 7.8–7.9. The temperature of the solution was 37 ± 1 °C.
When the effect of temperature was determined, sucrose and sorbitol in amounts of 25 g were used (concentrations in the reaction mixture: 1.01 and 1.91 M, respectively). The pH was stabilized in the range of 6.8–6.9. The temperature was held at 37 ± 1, 47 ± 1, or 57 ± 1 °C.
When the effect of NaCl was determined, sucrose and sorbitol in amounts of 25 and 2.63 g of NaCl were used (concentrations in the reaction mixture: 1.01, 1.91 and 0.63 M, respectively). The pH was stabilized in the range of 6.8–6.9. The temperature of the solution was 57 ± 1 °C.
2.2.2. Chromatographic Determination of Hydrolysate Components and Isolation of Sorbitol Derivatives
HPLC was performed using a chromatograph (Knauer GmbH, Berlin, Germany). The separation was carried out at 85 °C on an Aminex HPX87C column (Bio-Rad, Richmond, VA, USA) using a refractometric detector. The injection volume was 20 μL, the mobile phase (water) flow rate was 0.5 mL/min, and the data were collected using EuroChrome software. Standards of sorbitol, sucrose (also for fru-sorbitol determination), glucose, fructose, kestose, nystose, and fructosylnystose were used in the identification and quantification of the compounds.
2.2.3. Mass Spectrometry of Transglycosylation Products
Mass spectra were recorded on a Q Exactive Orbitrap mass spectrometer with an H-ESI probe (Thermo Fisher Scientific, Waltham, MA, USA). The sorbitol derivatives isolated in the system described above were injected directly into the mass detector at a rate of 20–50 µL/min. The analysis parameters were as follows: detection in the range of 100.0–1000.0 m/z; negative ionization mode; the spray capillary voltage set at 3 kV; and a capillary temperature of 300 °C. The software used to record and process the chromatographic data was Thermo-Xcalibur 3.063 (Thermo Fisher Scientific).
2.2.4. Determination of Enzyme Activity
One unit of activity (U) is the number of µmoles of fructose released from the combination with glucose in a 50% (w/w) sucrose solution at pH 6.8 and at 37 °C by 1 mL of the enzyme preparation during 1 min. To determine the activity, 10 µL of Fructozyme and 100 mL of a 50% sucrose solution in a 0.05 M sodium lactate solution (pH 6.8) were placed in a sealed vessel. The test was performed in duplicate. The test solutions were placed in a water bath (37 °C) and were thermostated for 20 h. After this time, samples of the solutions were taken, and the composition of the saccharide mixtures was determined by HPLC.
2.2.5. Calculation of the Conversion Rate
The conversion rate (CR) was calculated according to the formula:
where:
CR = 100 × M1/(M2 + M3) (%)
M1—mass of fructosyl-sorbitol in the reaction mixture (g)
M2—initial mass of sorbitol in the reaction mixture (g)
M3—initial mass of sucrose in the reaction mixture (g)
3. Results and Discussion
The synthesis of fructosyl derivatives of sorbitol led to the production of at least three derivatives, as indicated by the HPLC separation (Figure 2), which may differ in both the number of fructosyl residues attached to the sorbitol and the site of their attachment.
Figure 2.
HPLC chromatogram of the mixture obtained after the transfructosylation of sorbitol; reaction conditions: sucrose/sorbitol ratio 1/1 (m/m), 37 ± 1 °C, pH 6.8–6.9, enzyme 11,760 U/100 g of sucrose, time 5 h.
Mass spectrometry (MS) analysis was performed to determine the number of fructosyl residues attached. Figure 3 shows the spectra obtained (MS/MS). The mass spectra of the products designated as fru-sorbitol 3 and fru-sorbitol 2 (peaks in Figure 2) were similar, indicating that these products are isomers. Both products showed a [M − H]− peak of 343 m/z, confirming their molecular weight to be 344 Da; this proves that these compounds are derivatives containing one fructosyl residue each. The value of 505 m/z indicates that fru-sorbitol 1 is a difructosyl derivative with a molecular weight of 506 Da.

Figure 3.
MS/MS spectra of fructosyl-sorbitol derivatives; (A): fru-sorbitol 1 in the chromatogram (Figure 2); (B): fru-sorbitol 2 (Figure 2); (C): fru-sorbiol 3 (Figure 2). Conditions of fru-sorbitol synthesis: sucrose/sorbitol ratio 1/1 (m/m), 37 ± 1 °C, pH 6.8–6.9, enzyme 11,760 U/100 g of sucrose, time 1 h.
The HPLC profile of saccharides and polyols presented in Figure 2 shows that the synthesis of the fructosyl derivatives of sorbitol is much more resistant than the synthesis of fructooligosaccharides. The FOSs that arise as a result of transglycosylation are mainly kestose, nystose, and fructosylnystose, containing from three to five fructosyl residues. Thus, the presence of the polyol (sorbitol) did not cause a significant shift of the reaction equilibrium towards the synthesis of the polyol derivative. The mixture of fructosyltransferase and β-d-fructofuranosidase thus behaved significantly differently from the β-galactosidase used to synthesize galactosyl polyol derivatives. When polyols are present in the lactose hydrolysis environment, their galactosyl derivatives (and not galactooligosaccharides) become the main products of transglycosylation [14].
The available literature data indicate that the ratio of donor to acceptor is an important parameter for the efficiency of transglycosylation. Gonzalez-Muñoz et al. [16] reported that during the synthesis of fructosyl-glycerol using levansucrose, the transglycosylation activity of the enzyme increased when the initial glycerol content was increased to 25% and then decreased when the initial glycerol content was 50%. In the case of the synthesis of gal-polyols with β-galactosidase from Kluyveromyces lactis, it was also observed that increasing the polyol content in the starting solution caused an increase in the maximum gal-polyol content only up to a certain point, and the optimal lactose-to-polyol ratio was 1:1.85 [14]. In other experiments, during the synthesis of fructosyl-mannitol, the predicted decrease in the production of the derivative was observed when the amount of the sugar residue donor was reduced [17].
For the tested ratios of sucrose/sorbitol mass (Figure 4), the highest content of total fructosyl derivatives of sorbitol (FSs; 2.7 g/100 mL) was obtained for the sucrose-to-sorbitol ratio of 1:1. When much more of one of the substrates was used (0.5:1.5 and 1.5:0.5), the yield of derivative synthesis was the lowest.
Figure 4.
Time course of the synthesis reaction; the effect of substrate ratio—sucrose/sorbitol (m/m)—on the production of total fructosyl derivatives of sorbitol. Reaction conditions: 37 ± 1 °C, pH 6.8–6.9, enzyme 11,760 U/100 g of sucrose.
An important parameter that influences the efficiency of transglycosylation is pH. Modifying the conditions leads to changes in the enzyme’s active site, which may increase the efficiency of the reaction with less of the standard acceptors for the given enzymes. For example, the synthesis of galacto-oligosaccharides or gal-polyhydroxy alcohols using β-galactosidase can be more efficient at a higher pH. For the synthesis of gal-sorbitol, an increase in pH from 6.5 (optimal for hydrolysis) to 9.0 resulted in a ~9% increase in the amount of the product [24]. Therefore, the influence of pH on the synthesis of fructosyl derivatives of sorbitol was also analyzed.
From the range of pH 5.8 to 7.9, the level of 6.8–6.9 was the most favorable in terms of product concentration (Figure 5); the highest total amount of fructosyl sorbitol derivatives was obtained under these conditions (2.7 g/100 mL; conversion rate 3.9%). During the reaction carried out at pH 5.8–5.9, a sharp increase in the amount of FSs obtained during the first hour (2.45 g/100 mL) was observed. This value was comparable to the amount obtained after 4 h at a pH of 6.8–6.9. In the second hour, there was a slight increase in the concentration of the product, but in the third hour, there was a rapid decrease in the concentration of FSs as a result of their degradation (after 5 h, less than 32% of the amount obtained at a pH of 6.8–6.9 remained)—a change in pH causes a modification of the enzyme active site; as a result, the product is more easily used as a substrate. Given the opportunity to significantly shorten the reaction time with little loss of efficiency, the use of a lower pH for fructofuranosidase is worth considering.
Figure 5.
Time course of the synthesis reaction; the effect of pH on the production of total fructosyl derivatives of sorbitol. Reaction conditions: sucrose/sorbitol ratio 1/1 (m/m), 37 ± 1 °C, enzyme 11,760 U/100 g of sucrose.
The β-fructofuranosidases used in transglycosylation act over a wide temperature range (37–60 °C, and even approx. 90 °C [25]). Therefore, the influence of this parameter on the fru-sorbitol synthesis was determined. The reaction was carried out at 37, 47, and 57 °C (Figure 6). The temperature mainly influenced the kinetics of the reaction. Comparable values of FS concentrations were obtained after 2 h at 57 °C (2.74 g/100 mL), after 4 h for the reaction carried out at 47 °C (2.73 g/100 mL), and after 5 h at 37 °C (2.7 g/100 mL).
Figure 6.
Time course of the synthesis reaction; the effect of temperature on the production of total fructosyl derivatives of sorbitol. Reaction conditions: sucrose/sorbitol ratio 1/1 (m/m), pH 6.8–6.9, enzyme 11,760 U/100 g of sucrose.
Data from the literature indicate that temperature change may affect the result of transglycosylation in terms of the amount of product obtained. For example, the synthesis of FOSs using β-fructofuranosidase from Aspergillus sp. 27H [26] resulted in a higher FOS content at 40 °C than at 55 °C (due to different hydrolytic activity).
The presence of salt may be another factor that modifies the transglycosylation environment: it lowers the water activity and thus shifts the equilibrium of the reaction from hydrolysis towards synthesis. An 11% increase in the concentration of the galactosyl derivative of sorbitol was obtained in the reaction using β-galactosidase from K. lactis in the presence of 0.25–0.75 M NaCl [24]. In the available literature, there is no information about the effect of adding salt (in order to reduce water activity) on the course of transfructosylation. In the current research on the synthesis of fructosyl derivatives of sorbitol, the addition of NaCl did not increase the FS concentration (Figure 7), while it did extend the reaction time. After 5 h of transglycosylation, the FS concentration was 2.60 g/100 mL; without the addition of salt, it was 2.74 g/100 mL after 2 h.
Figure 7.
Time course of the synthesis reaction; the effect of NaCl on the production of total fructosyl derivatives of sorbitol. Reaction conditions: sucrose/sorbitol ratio 1/1 (m/m), 57 ± 1 °C, pH 6.8–6.9, enzyme 11,760 U/100 g of sucrose.
As mentioned above (Figure 2), fructosyl-sorbitol was not the major product of transglycosylation under the test conditions. Fructo-oligosaccharides (mainly kestose, nystose, and fructosylnystose) were synthesized in greater amounts. The concentration of FOSs, depending on the conditions for synthesis, ranged from 1 to 29 g/100 mL. An FS concentration of 2.7 g/100 mL corresponded to the FOS content of 8–10 g/100 mL (depending on the conditions).
The literature also reports high yields of FOS synthesis using various enzymes. The use of a mixture of fructosyltransferase and β-d-fructofuranosidase from Aspergillus niger in pure sucrose (65–70 °Bx) resulted in a FOS concentration of about 38 g/100 mL. The dominant FOS was kestose, which constituted 80–90% of the FOS composition; fructo-oligosaccharides accounted for approx. 40% of the total sugars [27]. A higher share of FOSs in the total sugars (48–58%) was achieved by Coetzee et al. [28] using immobilized β-fructofuranosidase from Aspergillus fijiensis, whereas Burghardt et al. [29] obtained a FOS efficiency of 80% by converting sucrose with fructosyltransferase from Aspergillus terreus (recombinantly expressed in Kluyveromyces lactis GG799).
There are also studies showing that it is possible to obtain a reaction mixture with a low content of fructooligosaccharides (using an appropriate enzyme), although the concentrations of fructosyl polyol derivatives remain at a comparable level to those presented in this work. In a study by Piedrabuena et al. [17], the maximum concentration of the main fructosylation product of mannitol (1-O-β-d-fructofuranosyl-d-mannitol) amounted to 4.4 g/100 mL (initial mixture: 20 g/100 mL of sucrose and 40 g/100 mL of mannitol; time: 90 min; β-fructofuranosidase from Schwanniomyces occidentalis). The authors emphasized that no significant increase in fructosyl-mannitol production was achieved by changing the sucrose/mannitol molar ratio. However, reducing the amount of sucrose, thus lowering the sucrose/mannitol ratio, led to a predictable decrease in FOS production and a concomitant increase in the fructosylated mannitol share. In another reaction, the enzyme acted for 2 h in a mixture containing 20 g/100 mL of sucrose and 50 g/100 mL of erythritol, yielding the fructosyl derivative of erythritol (sum of isomers: 1- and 4-O-β-d-fructofuranosyl-d-erythritol) at a concentration of 3.5 g/100 mL. Rodrigo-Frutos et al. [18] reported the possibility of increasing the concentration of the erythritol derivative to approx. 5 g/100 mL by modifying the above-mentioned enzyme. The concentration of FOSs was approx. 0.5 g/100 mL.
4. Conclusions
The use of an enzyme preparation containing fructosyltransferase and β-d-fructofuranosidase from Aspergillus niger makes it possible to obtain a mixture of at least three fructosyl sorbitol derivatives: two mono-fructosyl and one di-fructosyl. Among the tested reaction parameters, the highest content of total fructosyl-sorbitol obtained (2.74 g/100 mL) was with a pH of 6.8–6.9 and a sucrose/sorbitol ratio of 1:1. Increasing the reaction temperature from 37 to 57 °C significantly shortened (2.5-fold) the time necessary to achieve the maximum product (2 h); however, it did not increase the maximum level of fru-sorbitol. The addition of NaCl (0.63 M) extended the reaction time /from 2 to 5 h and reduced the maximum concentration of the product by 5%.
Author Contributions
Conceptualization, R.K.; methodology, R.K.; formal analysis, M.B. and M.S.; investigation, M.B. and R.K.; data curation, R.K.; writing—original draft preparation, E.K. and R.K.; writing—review and editing, M.B. and M.S.; visualization, M.B. and M.S.; supervision, R.K.; All authors have read and agreed to the published version of the manuscript.
Funding
This work was financed from statutory funds of the Institute of Food Technology and Analysis and the Institute of Fermentation Technology and Microbiology, Faculty of Biotechnology and Food Sciences, Lodz University of Technology, Poland.
Institutional Review Board Statement
Not applicable.
Informed Consent Statement
Not applicable.
Data Availability Statement
The data presented in this study are available on request from the corresponding author.
Conflicts of Interest
The authors declare no conflict of interest.
References
- Billaux, M.S.; Flourie, B.; Jacquemin, C.; Messing, B. Sugar alcohols. In Handbook of Sweeteners; Marie, S., Piggott, J.R., Eds.; Springer: Boston, MA, USA, 1991; pp. 72–103. [Google Scholar]
- Shawkat, H.; Westwood, M.-M.; Mortimer, A. Mannitol: A review of its clinical uses. Contin. Educ. Anaesth. Crit. Care Pain 2012, 12, 82–85. [Google Scholar] [CrossRef]
- Lenhart, A.; Chey, W.D. A systematic review of the effects of polyols on gastrointestinal health and irritable bowel syndrome. Adv. Nutr. 2017, 8, 587–596. [Google Scholar]
- Gültekin, F.; Öner, M.E.; Savaş, H.B.; Doğan, B. Food additives and microbiota. North. Clin. İstanb. 2020, 7, 192–200. [Google Scholar] [CrossRef] [PubMed]
- Yoon, J.-W.; Jeon, E.-J.; Jung, I.-H.; Min, M.-J.; Lee, H.-Y.; Kim, M.-J.; Baek, J.-S.; Lee, H.-S.; Park, C.-S.; Oh, S.; et al. Maltosyl-erythritol, a major transglycosylation product of erythritol by Bacillus stearothermophilus maltogenic amylase. Biosci. Biotechnol. Biochem. 2003, 67, 525–531. [Google Scholar] [CrossRef] [PubMed] [Green Version]
- Vera, C.; Illanes, A.; Guerrero, C. Enzymatic production of prebiotic oligosaccharides. Curr. Opin. Food Sci. 2021, 37, 160–170. [Google Scholar] [CrossRef]
- Rice, T.; Zannini, E.; Arendt, E.K.; Coffey, A. A review of polyols—Biotechnological production, food applications, regulation, labeling and health effects. Crit. Rev. Food Sci. Nutr. 2020, 60, 2034–2051. [Google Scholar] [CrossRef] [PubMed]
- Ghosh, S.; Sudha, M.L. A review on polyols: New frontiers for health-based bakery products. Int. J. Food Sci. Nutr. 2012, 63, 372–379. [Google Scholar] [CrossRef]
- European Union. Regulation (EU) No. 1169/2011 of the European Parliament and of the Council of 25 October 2011 on the Provision of Food Information to Consumers. OJEU 2011, 50, 18–63. [Google Scholar]
- Livesey, G. Health potential of polyols as sugar replacers, with emphasis on low glycaemic properties. Nutr. Res. Rev. 2003, 16, 163–191. [Google Scholar] [CrossRef] [Green Version]
- Deshpande, A.; Jadad, A.R. The impact of polyol-containing chewing gums on dental caries: A systematic review of original randomized controlled trials and observational studies. J. Am. Dent. Assoc. 2008, 139, 1602–1614. [Google Scholar] [CrossRef]
- Ballongue, J.; Schumann, C.; Quignon, P. Effects of lactulose and lactitol on colonic microflora and enzymatic activity. Scand. J. Gastroenterol. 1997, 32, 41–44. [Google Scholar] [CrossRef] [PubMed]
- Juśkiewicz, J.; Klewicki, R.; Zduńczyk, Z. Consumption of galactosyl derivatives of polyols beneficially affects cecal fermentation and serum parameters in rats. Nutr. Res. 2006, 26, 531–536. [Google Scholar] [CrossRef]
- Klewicki, R. Effect of selected parameters of lactose hydrolysis in the presence of β-galactosidase from various sources on the synthesis of galactosyl-polyol derivatives. Eng. Life Sci. 2007, 7, 268–274. [Google Scholar] [CrossRef]
- Klewicka, E.; Klewicki, R. In vitro fermentation of galactosyl derivatives of polyols by Lactobacillus strains. Czech J. Food Sci. 2009, 27, 65–70. [Google Scholar] [CrossRef] [Green Version]
- Gonzalez-Muñoz, F.; Pérez-Oseguera, A.; Cassani, J.; Jiménez-Estrada, M.; Vazquez-Duhalt, R.; Lopez Munguia, A. Enzymatic Synthesis of Fructosyl Glycerol. J. Carbohydr. Chem. 1999, 18, 275–283. [Google Scholar] [CrossRef]
- Piedrabuena, D.; Míguez, N.; Poveda, A.; Plou, F.J.; Fernández-Lobato, M. Exploring the transferase activity of Ffase from Schwanniomyces occidentalis, a β-fructofuranosidase showing high fructosyl-acceptor promiscuity. Appl. Microbiol. Biotechnol. 2016, 100, 8769–8778. [Google Scholar] [CrossRef] [PubMed]
- Rodrigo-Frutos, D.; Jiménez-Ortega, E.; Piedrabuena, D.; Ramírez-Escudero, M.; Míguez, N.; Plou, F.J.; Sanz-Aparicio, J.; Fernández-Lobato, M. New insights into the molecular mechanism behind mannitol and erythritol fructosylation by β-fructofuranosidase from Schwanniomyces occidentalis. Sci. Rep. 2021, 11, 7158. [Google Scholar] [CrossRef]
- Wang, L.-X.; Huang, W. Enzymatic transglycosylation for glycoconjugate synthesis. Curr. Opin. Chem. Biol. 2009, 13, 592–600. [Google Scholar] [CrossRef] [Green Version]
- Hansson, T.; Andersson, M.; Wehtje, E.; Adlercreutz, P. Influence of water activity on the competition between β-glycosidase-catalysed transglycosylation and hydrolysis in aqueous hexanol. Enzym. Microb. Technol. 2001, 29, 527–534. [Google Scholar] [CrossRef]
- Mangas-Sánchez, J.; Adlercreutz, P. Enzymatic preparation of oligosaccharides by transglycosylation: A comparative study of glucosidases. J. Mol. Catal. B Enzym. 2015, 122, 51–55. [Google Scholar] [CrossRef] [Green Version]
- Wojciechowska, A.; Klewicki, R.; Sójka, M.; Klewicka, E. Synthesis of the galactosyl derivative of gluconic acid with the transglycosylation activity of β-gtalactosidase. Food Technol. Biotechnol. 2017, 55, 258–265. [Google Scholar] [CrossRef]
- De Albuquerque, T.L.; de Sousa, M.; Gomes e Silva, N.C.; Neto, C.A.C.G.; Gonçalves, L.R.B.; Fernandez-Lafuente, R.; Rocha, M.V.P. β-Galactosidase from Kluyveromyces lactis: Characterization, production, immobilization and applications—A review. Int. J. Biol. Macromol. 2021, 191, 881–898. [Google Scholar] [CrossRef] [PubMed]
- Klewicki, R. Formation of gal-sorbitol during lactose hydrolysis with β-galactosidase. Food Chem. 2007, 100, 1196–1201. [Google Scholar] [CrossRef]
- Jędrzejczak-Krzepkowska, M.; Kalinowska, H.; Bielecki, S. β-fruktofuranozydaza—Właściwości, struktura i zastosowanie. Postępy Biochem. 2011, 57, 401–409. [Google Scholar] [PubMed]
- Fernández, R.C.; Maresma, B.G.; Juárez, A.; Martínez, J. Production of fructooligosaccharides by β-fructofuranosidase from Aspergillus sp 27H. J. Chem. Technol. Biotechnol. 2004, 79, 268–272. [Google Scholar] [CrossRef]
- Król, B.; Klewicki, R. Wytwarzanie koncentratów fruktooligosacharydów (FOS) o zróżnicowanym składzie oligomerycznym z wykorzystaniem enzymatycznej biokonwersji sacharozy. Żywność Nauka Technol. Jakość 2005, 2, 5–22. [Google Scholar]
- Coetzee, G.; van Rensburg, E.; Görgens, J.F. Evaluation of the performance of an engineered β-fructofuranosidase from Aspergillus fijiensis to produce short-chain fructooligosaccharides from industrial sugar streams. Biocatal. Agric. Biotechnol. 2020, 23, 101484. [Google Scholar] [CrossRef]
- Burghardt, J.P.; Gerlach, D.; Czermak, P. Production of short-chain fructooligosaccharides with a recombinant produced and immobilized fructosyltransferase. New Biotechnol. 2018, 44, S45. [Google Scholar] [CrossRef]
Publisher’s Note: MDPI stays neutral with regard to jurisdictional claims in published maps and institutional affiliations. |
© 2022 by the authors. Licensee MDPI, Basel, Switzerland. This article is an open access article distributed under the terms and conditions of the Creative Commons Attribution (CC BY) license (https://creativecommons.org/licenses/by/4.0/).