Agglomeration of Spray-Dried Milk Powder in a Spray Fluidized Bed: A Morphological Modeling
Abstract
1. Introduction
2. Materials and Methods
2.1. Droplet Drying-Imbibition Model
2.2. Aggregation Model
2.3. Droplet Deposition Model
2.4. Coalescence Model
3. Results and Discussion
3.1. Droplet Deposition Model
3.2. Fractal Properties of Milk Powder Agglomerates
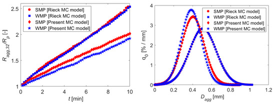
3.3. MC Model
4. Conclusions
Author Contributions
Funding
Data Availability Statement
Conflicts of Interest
Appendix A. Modified Polydisperse Tunable Aggregation (MPTSA) Model
- Placing the first PP () at the center.
- Placing the second PP () in contact with the first PP without overlapping.
- From third PP on, , the center of PP is on the sphere with a radius [18]
- Overlapping and contact conditions are checked when PP is placed on the sphere of radius R.
- PPs are placed sequentially when the desired number of PPs () is achieved.
Appendix B. Experimental Setup

References
- Singh, A.K.; Tsotsas, E. Stochastic model to simulate spray fluidized bed agglomeration: A morphological approach. Powder Technol. 2019, 355, 449–460. [Google Scholar] [CrossRef]
- Singh, A.K.; Tsotsas, E. Stochastic simulation of spray fluidized bed agglomeration by modeling the morphology. In Proceedings of the 13th International Conference on Fluidized Bed Technology; Bi, X., Briens, C., Ellis, N.W.M., Eds.; GLAB Reactor and Fluidization Technologies: Vancouver, BC, Canada, 2021; pp. 268–273. [Google Scholar]
- Singh, A.K.; Tsotsas, E. Influence of polydispersity and breakage on stochastic simulations of spray fluidized bed agglomeration. Chem. Eng. Sci. 2022, 247, 117022. [Google Scholar] [CrossRef]
- Singh, A.K. Morphology Based Stochastic Simulation of Spray Fluidized Bed Agglomeration. Ph.D. Thesis, Otto-von-Guericke-Universität, Magdeburg, Germany, 2021. [Google Scholar]
- Terrazas-Velarde, K. Monte Carlo simulation of fluidized bed spray agglomeration. Ph.D. Thesis, Otto von Guericke University, Magdeburg, Germany, 2012. [Google Scholar]
- Pashminehazar, R.; Kharaghani, A.; Tsotsas, E. Three dimensional characterization of morphology and internal structure of soft material agglomerates produced in spray fluidized bed by X-ray tomography. Powder Technol. 2016, 300, 46–60. [Google Scholar] [CrossRef]
- Rieck, C.; Schmidt, M.; Bück, A.; Tsotsas, E. Monte Carlo modeling of binder-less spray agglomeration in fluidized beds. AIChE J. 2018, 64, 3582–3594. [Google Scholar] [CrossRef]
- Both, E.M.; Boom, R.M.; Schutyser, M.A.I. Particle morphology and powder properties during spray drying of maltodextrin and whey protein mixtures. Powder Technol. 2020, 363, 519–524. [Google Scholar] [CrossRef]
- Hazlett, R.; Schmidmeier, C.; O’Mahony, J.A. Influence of mechanical integrity during pneumatic conveying on the bulk handling and rehydration properties of agglomerated dairy powders. J. Food Eng. 2020, 288, 110103. [Google Scholar] [CrossRef]
- Adhikari, B.; Howes, T.; Lecomte, D.; Bhandari, B.R. A glass transition temperature approach for the prediction of the surface stickiness of a drying droplet during spray drying. Powder Technol. 2005, 149, 168–179. [Google Scholar] [CrossRef]
- Chever, S.; Méjean, S.; Dolivet, A.; Mei, F.; Den Boer, C.M.; Le Barzic, G.; Jeantet, R.; Schuck, P. Agglomeration during spray drying: Physical and rehydration properties of whole milk/sugar mixture powders. Lwt 2017, 83, 33–41. [Google Scholar] [CrossRef]
- Jubaer, H.; Xiao, J.; Chen, X.D.; Selomulya, C.; Woo, M.W. Identification of regions in a spray dryer susceptible to forced agglomeration by CFD simulations. Powder Technol. 2019, 346, 23–37. [Google Scholar] [CrossRef]
- Sommerfeld, M.; Stübing, S. A novel Lagrangian agglomerate structure model. Powder Technol. 2017, 319, 34–52. [Google Scholar] [CrossRef]
- Hussain, F.; Jaskulski, M.; Piatkowski, M.; Tsotsas, E. CFD simulation of agglomeration and coalescence in spray dryer. Chem. Eng. Sci. 2022, 247, 117064. [Google Scholar] [CrossRef]
- Malafronte, L.; Ahrné, L.; Innings, F.; Jongsma, A.; Rasmuson, A. Prediction of regions of coalescence and agglomeration along a spray dryer—Application to skim milk powder. Chem. Eng. Res. Des. 2015, 104, 703–712. [Google Scholar] [CrossRef]
- Dernedde, M.; Peglow, M.; Tsotsas, E. Stochastic modeling of fluidized bed agglomeration: Determination of particle moisture content. Dry. Technol. 2013, 31, 1764–1771. [Google Scholar] [CrossRef]
- Dernedde, M.; Peglow, M.; Tsotsas, E. A novel, structure-tracking Monte Carlo algorithm for spray fluidized bed agglomeration. AIChE J. 2012, 58, 3016–3029. [Google Scholar] [CrossRef]
- Hussain, M.; Kumar, J.; Peglow, M.; Tsotsas, E. Modeling spray fluidized bed aggregation kinetics on the basis of Monte-Carlo simulation results. Chem. Eng. Sci. 2013, 101, 35–45. [Google Scholar] [CrossRef]
- Terrazas-Velarde, K.; Peglow, M.; Tsotsas, E. Investigation of the kinetics of fluidized bed spray agglomeration based on stochastic methods. AIChE J. 2011, 57, 3012–3026. [Google Scholar] [CrossRef]
- Terrazas-Velarde, K.; Peglow, M.; Tsotsas, E. Stochastic simulation of agglomerate formation in fluidized bed spray drying: A micro-scale approach. Chem. Eng. Sci. 2009, 64, 2631–2643. [Google Scholar] [CrossRef]
- Singh, A.K.; Tsotsas, E. A tunable aggregation model incorporated in Monte Carlo simulations of spray fluidized bed agglomeration. Powder Technol. 2020, 364, 417–428. [Google Scholar] [CrossRef]
- Fries, L.; Antonyuk, S.; Heinrich, S.; Palzer, S. DEM-CFD modeling of a fluidized bed spray granulator. Chem. Eng. Sci. 2011, 66, 2340–2355. [Google Scholar] [CrossRef]
- Singh, A.K.; Tsotsas, E. A fast and improved tunable aggregation model for stochastic simulation of spray fluidized bed agglomeration. Energies 2021, 14, 7221. [Google Scholar] [CrossRef]
- Terrazas-Velarde, K.; Peglow, M.; Tsotsas, E. Kinetics of fluidized bed spray agglomeration for compact and porous particles. Chem. Eng. Sci. 2011, 66, 1866–1878. [Google Scholar] [CrossRef]
- Dadkhah, M.; Peglow, M.; Tsotsas, E. Characterization of the internal morphology of agglomerates produced in a spray fluidized bed by X-ray tomography. Powder Technol. 2012, 228, 349–358. [Google Scholar] [CrossRef]
- Pashminehazar, R.; Ahmed, S.J.; Kharaghani, A.; Tsotsas, E. Spatial morphology of maltodextrin agglomerates from X-ray microtomographic data: Real structure evaluation vs. spherical primary particle model. Powder Technol. 2018, 331, 204–217. [Google Scholar] [CrossRef]
- Filippov, A.V.; Zurita, M.; Rosner, D.E. Fractal-like aggregates: Relation between morphology and physical properties. J. Colloid Interface Sci. 2000, 229, 261–273. [Google Scholar] [CrossRef]
- Ennis, B.J.; Tardos, G.; Pfeffer, R. A microlevel-based characterization of granulation phenomena. Powder Technol. 1991, 65, 257–272. [Google Scholar] [CrossRef]
- Palzer, S. Agglomeration of dehydrated consumer foods. In Handbook of Powder Technology; Elsevier Science BV: New York, NY, USA, 2007; Volume 11, pp. 591–671. ISBN 9780444518712. [Google Scholar]
- Hogekamp, S.; Pohl, M. Porosity measurement of fragile agglomerates. Powder Technol. 2003, 130, 385–392. [Google Scholar] [CrossRef]
- Smoczyński, M. Fractal analysis of the microstructure of milk powders produced at various temperatures. J. Food Sci. Technol. 2020, 57, 2303–2309. [Google Scholar] [CrossRef]
- Wang, R.; Singh, A.K.; Kolan, S.R.; Tsotsas, E. Fractal analysis of aggregates: Correlation between the 2D and 3D box-counting fractal dimension and power law fractal dimension. Chaos, Solitons and Fractals 2022, 160, 112246. [Google Scholar] [CrossRef]
- Qian, F.; Sun, J.; Cao, D.; Tuo, Y.; Jiang, S.; Mu, G. Experimental and Modelling Study of the Denaturation of Milk Protein by Heat Treatment. Korean J. Food Sci. Anim. Resour. 2017, 37, 44–51. [Google Scholar] [CrossRef]






| Materials | [°C] | [-] |
|---|---|---|
| Whole milk powder (WMP) | 101 | 6.5 |
| Skim milk powder (SMP) | 101 | 8.6 |
| Aggregate | ![]() | ![]() | ![]() | ![]() | ![]() | ![]() |
|---|---|---|---|---|---|---|
| (at ) [-] | 2.0 | 2.2 | 2.4 | 2.6 | 2.8 | 3.0 |
| (Equation (11)) [mm] | 2.4 | 2.0 | 1.8 | 1.6 | 1.4 | 1.3 |
| (CoP) [-] | 1608 | 1608 | 1608 | 1608 | 1608 | 1608 |
| (Equation (5)) [-] | 3647 | 2521 | 1976 | 1510 | 1206 | 990 |
| Parameters | Notation | Value | Unit |
|---|---|---|---|
| Bed mass | 600 | g | |
| Primary particle density | 1300 | kg/m3 | |
| Inlet gas temperature | 50 | °C | |
| Water mass flow rate | 300 | g/h | |
| Gas (dry) mass flow rate | 24 | kg/h | |
| Primary particle radius | 100 | µm | |
| Droplet diameter | 40 | µm | |
| Collision frequency prefactor | 20 | 1/m | |
| Fluidization velocity | 0.34 | m/s | |
| Particle surface asperities height | 10 | µm | |
| Particle restitution coefficient | e | 0.8 | - |
| Droplet contact angle | 40 |
Publisher’s Note: MDPI stays neutral with regard to jurisdictional claims in published maps and institutional affiliations. |
© 2022 by the authors. Licensee MDPI, Basel, Switzerland. This article is an open access article distributed under the terms and conditions of the Creative Commons Attribution (CC BY) license (https://creativecommons.org/licenses/by/4.0/).
Share and Cite
Singh, A.K.; Tsotsas, E. Agglomeration of Spray-Dried Milk Powder in a Spray Fluidized Bed: A Morphological Modeling. Processes 2022, 10, 2718. https://doi.org/10.3390/pr10122718
Singh AK, Tsotsas E. Agglomeration of Spray-Dried Milk Powder in a Spray Fluidized Bed: A Morphological Modeling. Processes. 2022; 10(12):2718. https://doi.org/10.3390/pr10122718
Chicago/Turabian StyleSingh, Abhinandan Kumar, and Evangelos Tsotsas. 2022. "Agglomeration of Spray-Dried Milk Powder in a Spray Fluidized Bed: A Morphological Modeling" Processes 10, no. 12: 2718. https://doi.org/10.3390/pr10122718
APA StyleSingh, A. K., & Tsotsas, E. (2022). Agglomeration of Spray-Dried Milk Powder in a Spray Fluidized Bed: A Morphological Modeling. Processes, 10(12), 2718. https://doi.org/10.3390/pr10122718






