Abstract
Background/Objectives: Inflammatory bowel diseases (IBDs) are chronic intestinal disorders with an unpredictable course. In parallel with the advent of new biologic therapies targeting specific interleukin pathways, end-point targets have become more stringent, aiming for mucosal and even histologic healing. Methods: We conducted a prospective study assessing immunohistochemical (IHC) parameters in 46 IBD patients treated with biologic therapy. A similar IHC analysis was performed for comparison with a cohort of 10 “non-IBD” patients. Results: The highest integrated optical density (IOD) of TNF-α was observed in patients with dysplasia, abscesses, mucin depletion and basal plasmacytosis. Non-responders had higher pre- and post-treatment TNF-α expression in both UC and CD compared to responders. On the contrary, the same analysis conducted in the subpopulation treated with anti-TNF-α therapy (Infliximab and Adalimumab) did not reveal a substantial difference in TNF-α expression between responders and non-responders. High pre-treatment interleukin-10 expression was associated with biologic therapy failure, histological inflammatory activity and longer disease duration. Conclusions: Pre-treatment assessment of IL-10 might be a useful tool for identifying a high-risk subset of IBD patients and determining a more aggressive therapy and intensive monitoring strategy.
1. Introduction
Inflammatory bowel diseases (IBDs) are chronic intestinal disorders with an unpredictable course despite rigorous scientific struggle targeting new molecules and treatment strategies [1,2]. The introduction of anti-tumor necrosis factor (TNF) therapy represented a quantum leap, but the highly intricate pathophysiology is still responsible for a 30% primary loss and up to a 50% secondary-loss of response [3,4,5]. As a consequence, recent data refute significant declines in hospitalizations or surgical intervention rates [6]. In parallel with the advent of new biologic therapies targeting specific interleukin pathways, end-point targets have become more stringent, aiming for mucosal and even microscopic (histologic) healing [7,8,9,10]. The latter has a clear benefit in terms of lower rates of relapse, corticosteroids use, hospitalizations and colorectal cancer [11,12,13].
Alongside environmental exposures, gut microbiota and genetic alterations, immunological mechanisms have a significant impact in the pathophysiology of IBD [14,15], leading to an imbalanced release of pro- and anti-inflammatory molecules [16]. This cytokine-cell network plays an essential role in cell signaling and the initiation and perpetuation of intestinal inflammation [17]. Apart from the well-established anti-TNF therapy, novel molecules target specific pathways involved in the chronic inflammatory response (i.e., anti-interleukin (IL)-12/23, anti-α4β7 integrin antibody or JAK inhibitor molecules).
The scientific background behind the expression of cytokines in inflamed mucosa has evolved over the last decades. Interleukins are a type of cytokine produced by macrophages, T lymphocytes, neutrophils, mast cells and epithelial cells [17,18]. Cytokines, such as TNF-α, IL-1β and IL-6, can drive tissue damage [19,20,21], whereas IL-10 is typically recognized as an anti-inflammatory molecule [18,22,23]. A plethora of research has elucidated the convoluted network of pro-inflammatory cytokines (TNF-α, IL-1β and IL-6), along with downstream effectors and signal transduction mechanisms, leading to inflammation, apoptotic cell death, intestinal permeability, histological damage, fibrosis and carcinogenesis [24,25,26,27,28].
The success of anti-TNF treatment in IBD is undisputable, but the rate of non-response is persistently high despite different monitoring strategies [29]. With the ongoing expansion of the therapeutic armamentarium, identifying IBD patients who will benefit from anti-TNF therapy and evaluating therapeutic response remain major targets in IBD management [30,31,32]. TNF-α expression in ileo–colonic macrophages was discovered in both CD and UC [33] and plays a fundamental role in the induction and maintenance of intestinal inflammation [30,34]. The IL-1 family (IL-1α and IL-1β) has immunological up-regulatory and pro-inflammatory activity [35]. It was previously shown that colonic macrophages in IBD patients activate ICE (IL-1 converting enzyme), releasing mature IL-1β into colonic mucosa [36].
IL-6 contributes to the differentiation of T helper 17 (Th17), which is involved in the pathogenesis of IBD [37,38,39]. In acute inflammation, endothelial cells, monocytes and macrophages release IL-6, which triggers the expression of adhesion molecules and chemokines involved in neutrophil recruitment [37,40]. In chronic inflammation, IL-6 increases the survival of neutrophils by reducing apoptosis [37,41].
IL-10 is an immunomodulatory cytokine that inhibits antigen presentation and the release of pro-inflammatory cytokines [35]. Inactivation of IL-10 in mice leads to increased IL-12 and IFN-γ, whereas inflamed tissues exhibit low IL-10 [42]. According to Neurath et al., loss-of-function mutations in the genes encoding IL-10 and the IL-10 receptor are associated with very early-onset IBD, whereas a lack of IL-10 triggers episodes of spontaneous colitis [20].
The aim of this study was to prospectively assess the immunohistochemical parameters of the main inflammatory cytokines involved in the pathophysiology of IBD. Vigorous research has not previously been conducted in prospective trials on the molecular expression of these cytokines in different phases of disease (before and during treatment) to assess the impact of medical therapy. Simultaneously, there is a remarkable paucity regarding immunohistochemical and histological correlations in biopsy samples from IBD patients. The current research addresses these important gaps in the literature while also aiming to identify a subset of high-risk patients.
2. Materials and Methods
2.1. Study Design
This was a prospective study assessing the immunohistochemical (IHC) parameters of 46 IBD patients treated with biologic therapy at Bucharest Clinical Emergency Hospital at two stages of their disease course. A cohort of 10 non-IBD patients (with a normal colonoscopy report) underwent a similar IHC analysis to increase statistical power.
Immunostaining focused on:
- Inflammatory cytokines TNF-α, IL-1β, IL-6 and IL-10. Apart from IL-6, which had merely cytoplasmic reactions, TNF-α, IL-1β and IL-10 had predominantly cytoplasmic and some focal, incomplete membranous reactions.
- The p53 positivity index and Ki-67 proliferation index. The positivity of Ki-67 and p53 was only reported for the epithelial component.
- In the first phase, biopsies were collected before the initiation of biologic therapy, either de novo or after switching to another class due to previous primary/secondary loss of response. Biologic therapy is an umbrella-term used in our study for both biologic and small-molecule drugs.
- In the second phase, patients were reassessed after 4–6 months to compare IHC and histological findings.
For a thorough evaluation, correlations between histology and immunohistochemical staining patterns were also analyzed. Histopathological findings were assessed using the Nancy Index. The following parameters were examined: crypt architectural distortion, basal plasmacytosis, Paneth/pyloric cell metaplasia, lymphoid aggregates, cryptitis, crypt abscesses, ulcerations and mucin depletion (evaluated as present or absent).
We also assessed fecal calprotectin as a biological marker of inflammation.
The enrollment period was between 1 March 2023 and 29 February 2024, and the last evaluation was performed in August 2024.
- Inclusion criteria (IBD cohort):
- ○
- Patients were considered for enrollment when their disease course required the initiation of biologic therapy, either as an escalation from conventional therapy (biologic-naive patients) or as a switch to another class due to primary/secondary loss of response (biologic-experienced patients). Therapy was guided in accordance with the current recommendations published by the European Crohn’s and Colitis Organization (ECCO) [43,44].
- Inclusion criteria (non-IBD cohort):
- ○
- Patients with normal findings after colonoscopy, with no signs of inflammatory or tumoral pathology.
- ○
- In order to increase accuracy, the mean age of the non-IBD cohort was similar to that of the IBD cohort.
- Exclusion criteria:
- ○
- Lack of informed consent or a lack of will to comply with the scheduled follow-up.
- ○
- Histopathological diagnosis of microscopic colitis (for patients in the non-IBD cohort with a normal colonoscopy report).
- ○
- Insufficient tissue samples for adequate immunostaining analysis.
Immunohistochemical analysis was performed by one expert GI pathologist from the Pathology Department of University of Medicine and Pharmacy, Craiova. The antibodies, clones, antigen retrievals and external positive controls are summarized in Table 1.
Table 1.
IHC analysis—antibodies, clones, dilutions, antigen retrievals and external positive controls.
In order to improve the accuracy of immunohistochemistry evaluation, a semi-quantitative integrated optical density (IOD) analysis was performed for IL-1β, IL-6, TNF-α and IL-10, since manual interpretation of IHC and the reproducibility of scoring systems are highly subjective [45]. IOD was computed as pixel area × mean intensity. The slides were scanned at high power magnification (40×) using the Motic EasyScan Pro 6 (Motic Digital Pathology, Barcelona, Spain). To assess the immunostaining signal, images from each slide were exported as JPEG files (Motic DSAssistant). The IHC signal was quantified as an area or number of positive cells using Image-Pro Plus 7 (Media Cybernetics, Bethesda, MD, USA). For each slide, the signal expression area and IOD were recorded from three different images, and the final value was reported as the mean IOD.
The Ki-67 proliferation index and p53 positivity index were computed as positive epithelial cells/total epithelial cells (magnification 40×). In each case, positive cells from five different microscopic fields were counted from the ‘hot-spot’ staining areas. The final mean value was used for the analysis.
This study was approved by the local Ethics Committee (registration number 45027) on 12 October 2022, in accordance with the Health Minister Order, 1502/2016. All patients provided written informed consent.
2.2. Statistical Analysis
Statistical analysis was performed using the SPSS 20.0 v.20 (IBM, Armonk, NY, USA) software package. A p-value below 0.05 was considered to be statistically significant. The continuous variables were expressed as the means ± standard deviations and the ranges as medians and min–max ranges. To assess differences between the two groups, t-tests were computed using the scipy.stats library [46] in Python (version 3.7). Paired t-tests were used to compare data from the same patients before and after treatment, otherwise unpaired t-test were used. To compare multiple groups, a one-way ANOVA with Tukey HSD Post-Hoc Analysis was employed using the statsmodels library [47]. The distribution of categorical variables was assessed using the chi-square test included in scipy.stats library. Correlations were calculated using the Pearson correlation method implemented in scipy.stats. The correlation results for parameter pairs were assembled into a matrix, and hierarchical clustering of the parameters was performed using seaborn [48].
3. Results
3.1. Study Population
The mean age of IBD patients was 35 years old (Figure 1), whereas the mean age at the time of IBD diagnosis was 32 years old. The male-to-female ratio was relatively similar, with a slight overall male preponderance (52.2%). Approximately one-third of patients (30.4%) were biologic-experienced at the time of study enrollment (Table 2).
Figure 1.
Mean age of IBD patients.
Table 2.
Study population data.
In terms of phenotype according to the Montreal classification [49] (Table 3), CD patients were most frequently classified as having colonic disease (L2, 38.5%), followed by ileocolonic (L3) and ileal disease (L1), which had equal distribution (30.8%). The most common behavior was stricturing (B2, 69.3%), followed by penetrating (B3) and inflammatory patterns (B1), with similar percentages (15.4%). In UC, pancolitis (E3) was diagnosed in 50% cases, followed by extensive colitis (E2) in 40% cases, whereas proctitis (E1) was observed in the remaining 10% of cases.
Table 3.
IBD phenotype according to the Montreal classification.
3.2. Immunohistochemical Analysis
3.2.1. TNF-α
TNF-α expression in UC patients was significantly higher before treatment compared to the control group (with a p-value of 0.02). A similar statistical significance was not reached in CD patients, where TNF-α expression was lower compared to UC patients.
The highest mean IOD TNF-α staining was observed in samples with dysplasia, abscesses, mucin depletion and basal plasmacytosis (Figure 2 and Figure 3).
Figure 2.
TNF-α mean IOD (control vs. IBD). * p < 0.05.
Figure 3.
TNF-α mean IOD in IBD patients (dysplasia, abscesses, mucin depletion and basal plasmacytosis). * p < 0.05, ** p < 0.01.
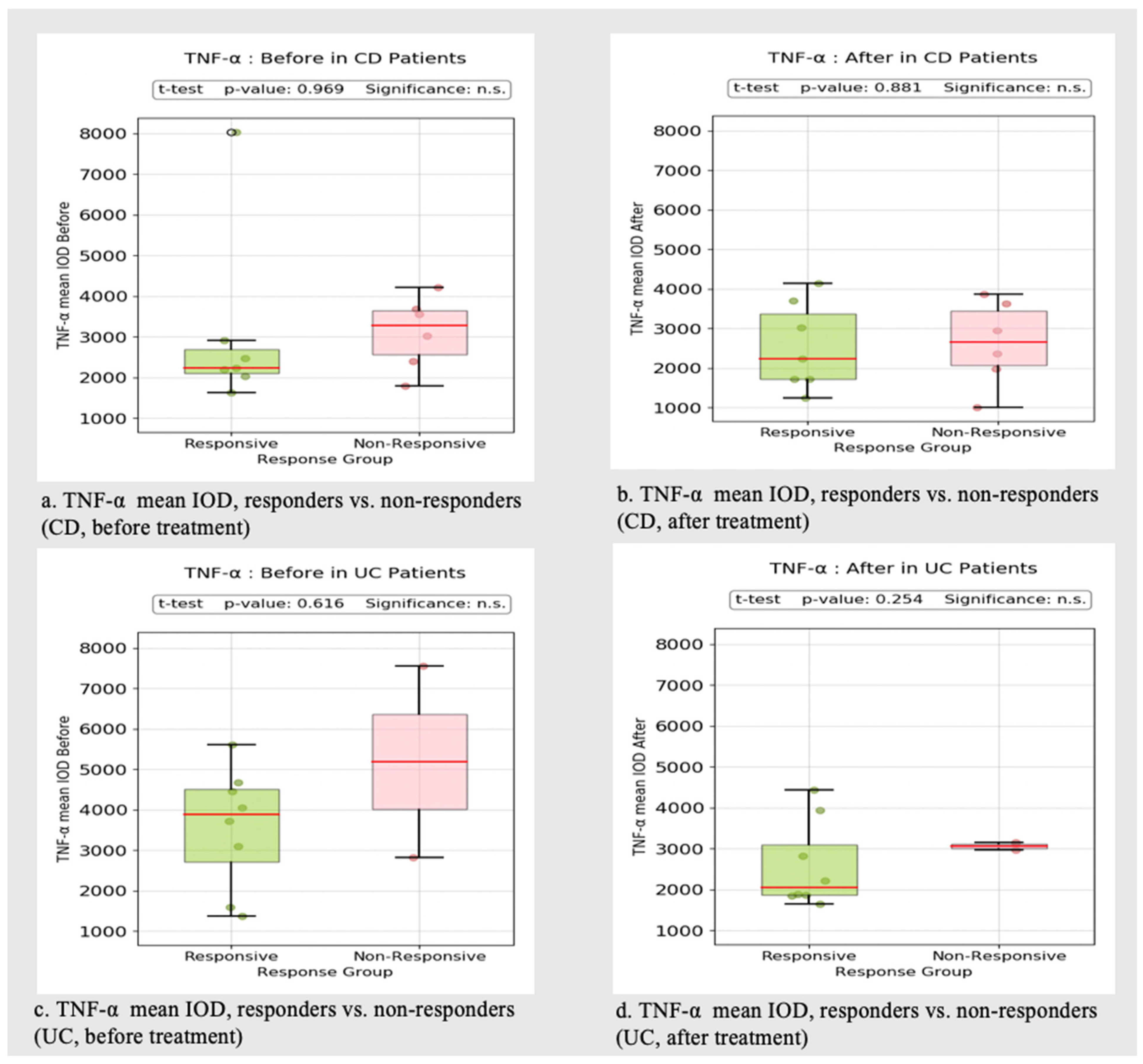
Our group assessed the TNF-α mean IOD before and after treatment in responder versus non-responder patients. Responders were defined as those with a decrease of ≥3 points in the Mayo score (UC patients) and a decrease of 2 points in the Harvey Bradshaw Index (HBI) score from baseline values (CD patients), according to definitions previously used in other clinical trials. [50,51].
Relatively surprisingly, the comparison of TNF-α staining between the two groups did not lead to statistically significant differences, despite non-responders exhibiting a slightly higher TNF-α mean IOD before treatment in UC patients. In CD patients, the difference in IHC staining was almost negligible. The post-treatment values were relatively similar in CD (Figure 4).
Figure 4.
TNF-α mean IOD before and after treatment. °: outliers, n.s.: no significance.
Neither a similar comparison in the subgroup of patients treated with anti-TNF-α therapy (Infliximab and Adalimumab) nor significant post-treatment variation was observed (Figure 5).
Figure 5.
Post-treatment TNF-α mean IOD in patients treated with anti-TNF-α therapy (responders vs. non-responders). n.s.: no significance.
The scatter plot analysis of post-treatment TNF-α mean IOD revealed no significant difference between patients treated with anti-TNF-α therapy versus other novel advanced therapies (i.e., anti-interleukin (IL)-12/23, anti-α4β7 integrin antibody or JAK inhibitor molecules) (Figure 6).
Figure 6.
Post-treatment TNF-α mean IOD in patients treated with other advanced therapies. n.s.: no significance.
There is a clear positive correlation (R = 0.42, p-value = 0.04) between fecal calprotectin and pre-treatment TNF-α mean IOD (Figure 7). A similar relationship is observed between post-treatment TNF-α and dysplasia grade (R = 0.55, p-value = 0.006) (Figure 8).
Figure 7.
The Pearson correlation coefficient TNF-α mean IOD (before treatment) and fecal calprotectin.
Figure 8.
The Pearson correlation coefficient TNF-α mean IOD (after treatment) and dysplasia grade.
3.2.2. Interleukin-1β and Interleukin-6
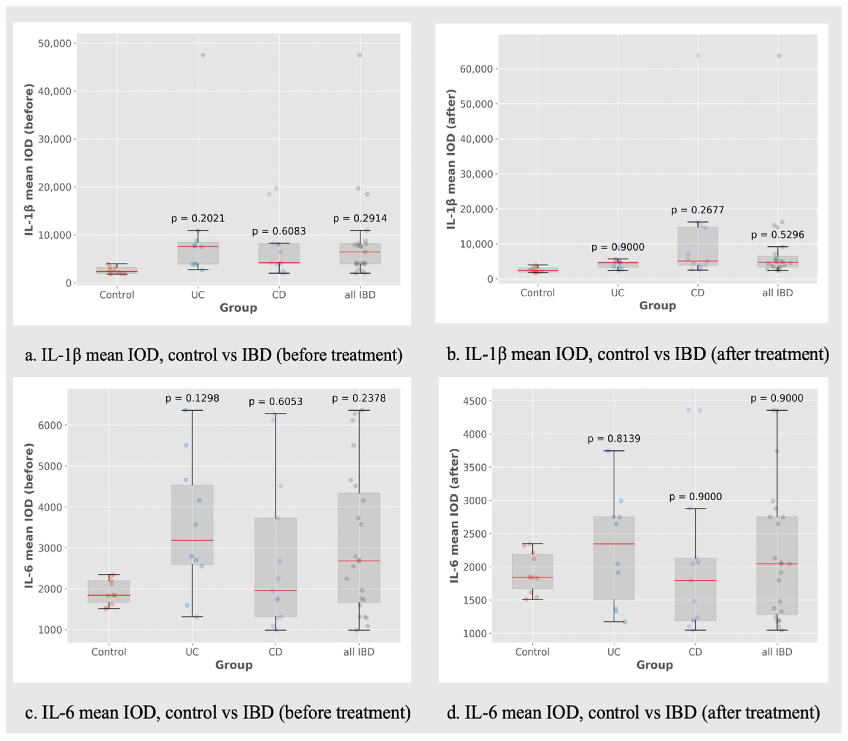
The mucosal expression of IL-1β and IL-6 was relatively steady between the initial and post-treatment evaluation, without major discrepancies (Figure 9).
Figure 9.
IL-1β and IL-6 mean IOD (control group vs. IBD group).
The mean IL-1β post-treatment IOD values tended to be slightly higher in non-responder CD patients compared to responders, but there was only a subtle difference (Figure 10). At the same time, the IL-6 IOD values remained relatively steady between pre- and post-treatment evaluations in both UC and CD patients (Figure 11).
Figure 10.
IL-1β mean IOD (control group vs. IBD group). °: outliers, n.s.: no significance.
Figure 11.
IL-6 mean IOD (control group vs. IBD group). °: outliers, n.s.: no significance.
We observed a positive correlation (R = 0.58, p-value = 0.004) between the immunohistochemical mean IOD values of IL-6 and TNF-α (Figure 12).
Figure 12.
The Pearson correlation coefficient mean IOD values of IL-6 and TNF-α.
3.2.3. Interleukin-10
The IL-10 mean IOD values were remarkably higher in the control group compared to both UC and CD patients (p-value = 0.001) (Figure 13).
Figure 13.
IL-10 mean IOD (control group vs. IBD group). ** p < 0.01.
In the responder group, the post-treatment IL-10 mean IOD was significantly higher compared to the index evaluation in both CD and UC patients (p-value = 0.001). In non-responders, the IOD values were relatively similar in CD patients before and after treatment, whereas the IOD values were slightly higher in UC patients, despite not reaching statistical significance (p-value = 0.08) (Figure 14).
Figure 14.
IL-10 mean IOD values (responder vs. non-responder IBD patients). ** p < 0.01, *** p < 0.001, n.s.: no significance.
The pre-treatment IL-10 mean IOD values were significantly lower in responder versus non-responder IBD patients, with a p-value < 0.001 (Figure 15).
Figure 15.
Pre-treatment IL-10 mean IOD values (responder vs. non-responder IBD patients). °: outliers, *** p < 0.001.
Notably, pre-treatment IL-10 levels positively correlate with the Nancy Index after treatment (p-value < 0.001), and may therefore predict failure of biologic therapy (Figure 16).
Figure 16.
The Pearson correlation coefficient, pre-treatment IL-10 and post-treatment Nancy Index.
At the same time, there was a negative correlation between post-treatment IL-10 levels and disease duration. High IOD values seem to be associated with a longer disease duration (Figure 17).
Figure 17.
The Pearson correlation coefficient, post-treatment IL-10 and disease duration.
3.2.4. Immunohistochemistry of Dysplastic Markers
Chronic inflammation is a risk factor for the development of varying degrees of dysplasia. We assessed Ki-67 and p53. As shown in Figure 18 and Figure 19, histological inflammatory burden appears to have a strong influence on the staining pattern of both Ki-67 and p53, with overexpression detected in patients with abscesses (p-value = 0.03 and <0.001 for p53 and Ki-67, respectively), mucin depletion (p-value = 0.04 and <0.001 for p53 and Ki-67, respectively) and dysplasia (p-value < 0.001).
Figure 18.
p53 immunostaining in patients with dysplasia, abscesses and mucin depletion. * p < 0.05, n.s.: no significance.
Figure 19.
Ki-67 immunostaining in patients with dysplasia, abscesses and mucin depletion. °: outliers, *** p < 0.001.
When comparing post-treatment immunostaining patterns in UC patients, both p53 and Ki-67 exhibited lower expression in the responder group, although statistical significance was observed only for the Ki-67 proliferation index (Figure 20).
Figure 20.
p53 and Ki-67 post-treatment immunostaining (responders vs. non-responders in UC patients). °: outliers, ** p < 0.01, n.s.: no significance.
4. Discussion
Due to recent advances in molecular biology and the recognition of multiple immunologic pathways in IBD, novel treatments have emerged in the last decade, with many others being scrutinized in clinical trials [52,53,54,55,56]. Unfortunately, most therapies demonstrate a response rate of under 60%, which tends to diminish after each drug failure, particularly if primary failure is the reason for withdrawal [57,58].
The long-term goals have become more stringent, and histologic healing seems to ensure a better prognosis compared to mucosal healing alone [59,60,61]. Persistent microscopic inflammation is associated with increased relapse rates, hospitalization and colectomy [62,63]. The background of this inflammatory state is a milieu of mucosal cytokines, with well-characterized concerted action in both UC [64,65] and CD [66,67]. Distinct mucosal profiles of cytokines are produced in different phases of IBD, whether quiescent or active disease [68].
TNF- α is a central cytokine in IBD pathophysiology and anti-TNF-α therapy reduces inflammation and aids mucosal healing [69]. In our study, UC patients had higher TNF-α expression compared to CD patients. There is no clear data comparing the level of mucosal TNF-α in UC versus CD patients, but prior analysis has suggested that TNF-α levels in the inflamed mucosa before treatment could predict treatment response, whereas post-treatment levels could be considered an index of the efficacy of anti-TNF-α treatment [30,70,71]. TNF-α mucosal levels seem to have superior accuracy as a biomarker for disease activity compared to serum TNF-α [72], and are considered a promising tool in the era of precision medicine [73,74].
In UC patients, mucosal TNF-α correlates with UCDAI (UC disease activity index) [75], whereas a recent study suggested that mucosal TNF-α could predict the need for biologic therapy within the first year after UC diagnosis [76]. Moreover, pre-treatment mucosal TNF-α might have a predictive role in assessing remission and mucosal healing rates in anti-TNF-α therapy, whereas patients with intense TNF-α expression need a higher dose of Infliximab therapy [77]. Conversely, a normal post-treatment level is associated with a long relapse-free period after biologic therapy withdrawal [73]. Similar observations are available for CD patients [78]. Noticeably, the prognostic role of TNF-α levels is not strictly limited to anti-TNF-α therapy. Murate et al. reported that high serum-TNF-α can predict the clinical response to ustekinumab [79].
In our study, TNF-α expression was significantly higher in UC compared to CD patients. The highest IOD was observed in patients with dysplasia, abscesses, mucin depletion and basal plasmacytosis. Non-responders had higher pre- and post-treatment TNF-α expression in both UC and CD compared to responders. On the contrary, the same analysis conducted in the subpopulation treated with anti-TNF-α therapy (Infliximab and Adalimumab) did not reveal a substantial difference in TNF-α expression between responders and non-responders. We also divided our cohort in two subgroups according to the treatment-approach: IBD patients undergoing anti-TNF-α therapy versus other novel therapies (anti-integrin agents, including Vedolizumab, anti-interleukin agents, including Ustekinumab (a monoclonal antibody directed to IL12/23p40) and anti-JAK inhibitors, including Tofacitinib). The post-treatment TNF-α IOD between the two subgroups was relatively similar, according to the ANOVA analysis.
IL-1β and IL-6 are important cytokines for both intestinal inflammation and colorectal cancer [80]. IL-1β is an important mediator of inflammation and tissue damage in IBD, as it contributes to the recruitment and activation of immune cells to the mucosa [81]. A positive association between mucosal inflammation severity and IL-1β levels has been reported [82]. Anakinra inhibits the activity of IL-1β, but the results from other autoimmune diseases have not been extrapolated to IBD [83]. One plausible explanation resides in the fact that IL-1β acts in conjunction with other major pro-inflammatory cytokines (IL-6 and TNF-α) to induce IBD inflammation and it is not the dominant driver of inflammation [84]. IL-6 has pleiotropic effects on the immune system [85], with dual and contrasting effects depending on the stage of disease. IL-6 acts during initiation of the inflammatory process to induce the recruitment of PMNs and macrophages for wound healing processes. Conversely, IL-6 also promotes cytokine secretion by Th1, Th2 or Th17 cells [86]. Blockade of IL-6 resulted in a significant clinical response and induction of remission in moderate-to-severe CD patients with previous failure of anti-TNF-α therapy [87], albeit at the cost of increased adverse events related to excessive immunosuppression [56].
In our cohort, we observed a positive correlation between IL-6 and TNF-α mean IOD values. The assessment of IL-1β quantified similar pre- and post-treatment values in UC, whereas post-treatment CD values were higher in non-responders.
Upon examining IL-10 immunostaining, we observed the most compelling results. IL-10 exerts immunosuppressive effects on dendritic cells and macrophages by inhibiting their role to stimulate effector T cells [88,89]. Genetic variations of IL-10 are associated with the early onset of IBD [90,91,92], hinting at the importance of IL-10 in controlling immunological gut homeostasis [93]. Although the augmentation of IL-10 activity was considered a potential treatment target, no major effect from administering IL-10 has been detected [94]. It has been reported that anti-TNF-α mAb therapy increases IL-10 production in macrophages, and the efficacy of anti-TNF-α therapy depends on IL-10 signaling in macrophages, rather than T cells [95]. Therefore, a reduced response to IL-10 might explain the primary non-response to anti-TNF-α therapy [95].
The control group had markedly elevated levels of mucosal IL-10 expression compared to the IBD patients. In the IBD group, non-responder patients had higher pre-treatment levels compared to responders. The post-treatment IL-10 expression in this category was relatively similar in CD and only slightly elevated in UC, although this was without statistical significance (p-value = 0.08). Conversely, in the responder group, both UC and CD patients had very low pre-treatment IL-10 immunopositivity and a noticeable elevation in post-treatment IOD values (p-value = 0.001). Although it might not appear very intuitive, high pre-treatment levels of IL-10, which is regarded as one of the most important anti-inflammatory cytokines, are a negative predictive factor for response. On the other hand, patients with moderate-to-severe clinical and endoscopic disease, but with low expression of IL-10, seem to have a better prognosis due to a favorable treatment response. There was a statistically significant difference (p-value < 0.001) in pre-treatment IL-10 mean IOD values between responders and non-responders in IBD patients (Figure 15). A very interesting observation can be made when assessing the relationship between pre-treatment IL-10 IOD values and post-treatment Nancy Index. There was a clear positive correlation (Pearson R value = 0.71) between these two indices, supporting the idea that high IL-10 immunohistochemical staining before treatment predicts failure of biologic therapy. The reverse scenario is depicted in the scatter plot showing the negative correlation between post-treatment IL-10 values and disease duration. Practically, a prolonged disease course is associated with weak IL-10 expression in post-treatment biopsy samples, which, at least in our study, is a feature of non-responsiveness. As previously shown in other studies, the benefit of biologic therapy during the induction phase is significantly greater among patients with a short disease duration (mostly < 18 months) [96,97,98]. From previous studies we already know that a long disease course is a negative predictive factor in both CD [99] and UC [100], but the intricate mechanism has not been fully elucidated. IL-10 might be one of the explanations.
Since colorectal cancer (CCR) is one of the most feared complications of IBD, we also assessed the p53 positivity index and Ki-67 proliferation index. Despite a decreasing incidence, the estimated risk of CRC remains approximately two-fold higher compared to the general population [101]. Disease extent, severity and inflammatory burden are major contributing factors [102]. Expression of p53 serves as a reliable biomarker in the early stages of UC-associated colon carcinogenesis [103]. Overexpression can be detected even in the absence of dysplasia and is a useful tool for pathologists to differentiate between regenerative changes and intraepithelial neoplasia [103]. In our study, overexpression was observed in patients with dysplasia, abscesses and mucin depletion, with a substantial difference in immunostaining patterns between responders and non-responders. In our opinion, patients with significant p53 and Ki-67 IHC reactivity should undergo strict surveillance, even in the absence of other high-risk features (such as extensive colitis, stricture, primary sclerosing cholangitis or family history of CRC). Previous studies have shown progression to CRC in patients with indefinite dysplasia and p53 overexpression [104].
We acknowledge that the small sample size is an important limitation of our study, but hopefully it will trigger interest for future studies directed towards research in the area of tailoring medical management in inflammatory bowel diseases.
5. Conclusions
The medical management of inflammatory bowel diseases has changed dramatically in recent years, with many molecules already approved and a multitude of others under scrutiny in clinical trials. However, there is a significant gap in the literature regarding a more tailored approach, which is the essence of precision medicine. Our study delved into the immunohistochemical analysis of inflammatory and dysplastic markers, aiming to prospectively evaluate the impact of biologic therapy during treatment. High pre-treatment interleukin-10 expression is associated with failure of biologic therapy, histological inflammatory activity and longer disease duration. It serves as a useful tool to identify a high-risk subset of IBD patients and guide a more intensive monitoring strategy.
Author Contributions
Conceptualization, C.P., M.I. and A.-E.S.; methodology O.-M.P.; software, A.-E.S. and V.E.; validation, M.M.D. and D.-I.G.; formal analysis, V.S.; investigation, C.P., M.I. and A.J.; resources, M.I. and M.M.D.; data curation, A.C.; writing—original draft preparation, C.P. and M.I.; writing—review and editing, O.-M.P. and H.-D.L.; visualization, R.-E.S. and C.V.B.; supervision, M.M.D. All authors have read and agreed to the published version of the manuscript.
Funding
This research received no external funding.
Institutional Review Board Statement
This study was conducted in accordance with the Declaration of Helsinki, and was approved by the local Ethics Committee (registration number 4502) on 12 October 2022.
Informed Consent Statement
Written informed consent was obtained from the patients to publish this paper.
Data Availability Statement
Data that support the findings of this study and materials are available from the first author upon request.
Acknowledgments
Publication of this paper was supported by the University of Medicine and Pharmacy Carol Davila, through the institutional program Publish not Perish.
Conflicts of Interest
The authors declare no conflicts of interest.
Abbreviations
The following abbreviations are used in this manuscript:
| IBD | Inflammatory bowel disease |
| CD | Crohn’s disease |
| UC | Ulcerative colitis |
| IHC | Immunohistochemistry |
| IOD | Integrated optical density |
| TNF | Tumor necrosis factor |
| mAB | Monoclonal antibody |
| IL | Interleukin |
References
- Burisch, J.; Kiudelis, G.; Kupcinskas, L.; Kievit, H.A.L.; Andersen, K.W. Natural disease course of Crohn’s disease during the first 5 years after diagnosis in a European population-based inception cohort: An Epi-IBD study. Gut 2019, 68, 423–433. [Google Scholar] [CrossRef] [PubMed]
- Chang, J.T. Pathophysiology of Inflammatory Bowel Diseases. N. Engl. J. Med. 2020, 383, 2652–2664. [Google Scholar] [CrossRef] [PubMed]
- Ben-Horin, S.; Kopylov, U.; Chowers, Y. Optimizing anti-TNF treatments in inflammatory bowel disease. Autoimmun. Rev. 2014, 13, 24–30. [Google Scholar] [CrossRef]
- Papamichael, K.; Gils, A.; Rutgeerts, P.; Levesque, B.G.; Vermeire, S.; Sandborn, W.J.; Vande Casteele, N. Role for therapeutic drug monitoring during induction therapy with TNF antagonists in IBD: Evolution in the definition and management of primary nonresponse. Inflamm. Bowel Dis. 2015, 21, 182–197. [Google Scholar] [CrossRef] [PubMed]
- Cohen, R.D.; Tsang, J.F.; Hanauer, S.B. Infliximab in Crohn’s disease: First anniversary clinical experience. Am. J. Gastroenterol. 2000, 95, 3469–3477. [Google Scholar] [CrossRef] [PubMed]
- Murthy, S.K.; Begum, J.; Benchimol, E.I.; Bernstein, C.N.; Kaplan, G.G.; McCurdy, J.D.; Singh, H.; Targownik, L.; Taljaard, M. Introduction of anti-TNF therapy has not yielded expected declines in hospitalisation and intestinal resection rates in inflammatory bowel diseases: A population-based interrupted time series study. Gut 2020, 69, 274–282. [Google Scholar] [CrossRef] [PubMed] [PubMed Central]
- Turner, D.; Ricciuto, A.; Lewis, A.; D’Amico, F.; Dhaliwal, J.; Griffiths, A.M.; Bettenworth, D.; Sandborn, W.J.; Sands, B.E.; Reinisch, W.; et al. STRIDE-II: An Update on the Selecting Therapeutic Targets in Inflammatory Bowel Disease (STRIDE) Initiative of the International Organization for the Study of IBD (IOIBD): Determining Therapeutic Goals for Treat-to-Target strategies in IBD. Gastroenterology 2021, 160, 1570–1583. [Google Scholar] [CrossRef] [PubMed]
- Walsh, A.; Palmer, R.; Travis, S. Mucosal healing as a target of therapy for colonic inflammatory bowel disease and methods to score disease activity. Gastrointest. Endosc. Clin. N. Am. 2014, 24, 367–378. [Google Scholar] [CrossRef]
- Iacucci, M.; Ghosh, S. Mucosal Healing—How Deep Is Enough? Dig. Dis. 2016, 34, 160–164. [Google Scholar] [CrossRef] [PubMed]
- Rosenberg, L.; Nanda, K.S.; Zenlea, T.; Gifford, A.; Lawlor, G.O.; Falchuk, K.R.; Wolf, J.L.; Cheifetz, A.S.; Goldsmith, J.D.; Moss, A.C. Histologic markers of inflammation in patients with ulcerative colitis in clinical remission. Clin. Gastroenterol. Hepatol. 2013, 8, 991–996. [Google Scholar] [CrossRef] [PubMed]
- Travis, S.P.L.; Higgins, P.D.R.; Orchard, T.; Van Der Woude, C.J.; Panaccione, R.; Bitton, A.; O’Morain, C.; Panés, J.; Sturm, A.; Reinisch, W. Review article: Defining remission in ulcerative colitis. Aliment. Pharmacol. Ther. 2011, 34, 113–124. [Google Scholar] [CrossRef] [PubMed]
- Gupta, R.B.; Harpaz, N.; Itzkowitz, S.; Hossain, S.; Matula, S.; Kornbluth, A.; Bodian, C.; Ullman, T. Histologic inflammation is a risk factor for progression to colorectal neoplasia in ulcerative colitis: A cohort study. Gastroenterology 2007, 133, 1099–1105. [Google Scholar] [CrossRef] [PubMed]
- Bryant, R.V.; Burger, D.C.; Delo, J.; Walsh, A.J.; Thomas, S.; von Herbay, A.; Buchel, O.C.; White, L.; Brain, O.; Keshav, S.; et al. Beyond endoscopic mucosal healing in UC: Histological remission better predicts corticosteroid use and hospitalisation over 6 years of follow-up. Gut 2016, 65, 408–414. [Google Scholar] [CrossRef] [PubMed]
- Dotan, I.; Allez, M.; Danese, S.; Keir, M.; Tole, S.; McBride, J. The role of integrins in the pathogenesis of inflammatory bowel disease: Approved and investigational anti-integrin therapies. Med. Res. Rev. 2020, 40, 245–262. [Google Scholar] [CrossRef]
- Ananthakrishnan, A.N.; Bernstein, C.N.; Iliopoulos, D.; Macpherson, A.; Neurath, M.F.; Ali, R.A.R.; Vavricka, S.R.; Fiocchi, C. Environmental triggers in IBD: A review of progress and evidence. Nat. Rev. Gastroenterol. Hepatol. 2018, 15, 39–49. [Google Scholar] [CrossRef] [PubMed]
- Bevivino, G.; Monteleone, G. Advances in understanding the role of cytokines in inflammatory bowel disease. Expert Rev. Gastroenterol. Hepatol. 2018, 12, 907–915. [Google Scholar] [CrossRef] [PubMed]
- Vebr, M.; Pomahačová, R.; Sýkora, J.; Schwarz, J. A Narrative Review of Cytokine Networks: Pathophysiological and Therapeutic Implications for Inflammatory Bowel Disease Pathogenesis. Biomedicines 2023, 11, 3229. [Google Scholar] [CrossRef] [PubMed]
- Kany, S.; Vollrath, J.T.; Relja, B. Cytokines in Inflammatory Disease. Int. J. Mol. Sci. 2019, 20, 6008. [Google Scholar] [CrossRef] [PubMed]
- Torres, J.; Mehandru, S.; Colombel, J.F.; Peyrin-Biroulet, L. Crohn’s disease. Lancet 2017, 389, 1741–1755. [Google Scholar] [CrossRef]
- Neurath, M.F. Cytokines in inflammatory bowel disease. Nat. Rev. Immunol. 2014, 14, 329–342. [Google Scholar] [CrossRef] [PubMed]
- Saravia, J.; Chapman, N.M.; Chi, H. Helper T cell differentiation. Cell. Mol. Immunol. 2019, 16, 634–643. [Google Scholar] [CrossRef]
- Yang, W.; Liu, H.; Xu, L.; Yu, T.; Zhao, X.; Yao, S.; Zhao, Q.; Barnes, S.; Cohn, S.M.; Dann, S.M.; et al. GPR120 Inhibits Colitis Through Regulation of CD4+ T Cell Interleukin 10 Production. Gastroenterology 2022, 162, 150–165. [Google Scholar] [CrossRef] [PubMed]
- Lu, Q.; Yang, M.-F.; Liang, Y.-J.; Xu, J.; Xu, H.-M.; Nie, Y.-Q.; Wang, L.-S.; Yao, J.; Li, D.-F. Immunology of Inflammatory Bowel Disease: Molecular Mechanisms and Therapeutics. J. Inflamm. Res. 2022, 15, 1825. [Google Scholar] [CrossRef] [PubMed]
- Pawłowska-Kamieniak, A.; Krawiec, P.; Pac-Kożuchowska, E. Interleukin 6: Biological significance and role in inflammatory bowel diseases. Adv. Clin. Exp. Med. 2021, 30, 465–469. [Google Scholar] [CrossRef] [PubMed]
- Mantovani, A.; Dinarello, C.A.; Molgora, M.; Garlanda, C. Interleukin-1 and Related Cytokines in the Regulation of Inflammation and Immunity. Immunity 2019, 50, 778–795. [Google Scholar] [CrossRef]
- Dosh, R.H.; Jordan-Mahy, N.; Sammon, C.; Le Maitre, C. Interleukin 1 is a key driver of inflammatory bowel disease-demonstration in a murine IL-1Ra knockout model. Oncotarget 2019, 10, 3559–3575. [Google Scholar] [CrossRef]
- Yang, B.; Zhang, G.; Elias, M.; Zhu, Y.; Wang, J. The role of cytokine and immune responses in intestinal fibrosis. J. Dig. Dis. 2020, 21, 308–314. [Google Scholar] [CrossRef] [PubMed]
- Uciechowski, P.; Dempke, W.C.M. Interleukin-6: A Masterplayer in the Cytokine Network. Oncology 2020, 98, 131–137. [Google Scholar] [CrossRef] [PubMed]
- Ben-Horin, S.; Chowers, Y. Tailoring anti-TNF therapy in IBD: Drug levels and disease activity. Nat. Rev. Gastroenterol. Hepatol. 2014, 11, 243–255. [Google Scholar] [CrossRef] [PubMed]
- Cui, G.; Fan, Q.; Li, Z.; Goll, R.; Florholmen, J. Evaluation of anti-TNF therapeutic response in patients with inflammatory bowel disease: Current and novel biomarkers. EBioMedicine 2021, 66, 103329. [Google Scholar] [CrossRef] [PubMed]
- Gisbert, J.P.; Chaparro, M. Predictors of primary response to biologic treatment [Anti-TNF, Vedolizumab, and Ustekinumab] in patients with inflammatory Bowel disease: From basic science to clinical practice. J. Crohn’s Colitis 2020, 14, 694–709. [Google Scholar] [CrossRef] [PubMed]
- Atreya, R.; Neurath, M.F.; Siegmund, B. Personalizing treatment in IBD: Hype or reality in 2020? can we predict response to anti-TNF? Front. Med. 2020, 7, 517. [Google Scholar] [CrossRef] [PubMed]
- Stucchi, A.; Reed, K.; O’Brien, M.; Cerda, S.; Andrews, C.; Gower, A.; Bushell, K.; Amar, S.; Leeman, S.; Becker, J. A new transcription factor that regulates TNF-alpha gene expression, LITAF, is increased in intestinal tissues from patients with CD and UC. Inflamm. Bowel Dis. 2006, 12, 581–587. [Google Scholar] [CrossRef]
- Aardoom, M.A.; Veereman, G.; de Ridder, L. A review on the use of anti-TNF in children and adolescents with inflammatory Bowel disease. Int. J. Mol. Sci. 2019, 20, 2529. [Google Scholar] [CrossRef] [PubMed]
- Sanchez-Muñoz, F.; Dominguez-Lopez, A.; Yamamoto-Furusho, J.K. Role of cytokines in inflammatory bowel disease. World J. Gastroenterol. 2008, 14, 4280–4288. [Google Scholar] [CrossRef] [PubMed]
- McAlindon, M.E.; Hawkey, C.J.; Mahida, Y.R. Expression of interleukin 1 beta and interleukin 1 beta converting enzyme by intestinal macrophages in health and inflammatory bowel disease. Gut 1998, 42, 214–219. [Google Scholar] [CrossRef]
- Shahini, A.; Shahini, A. Role of interleukin-6-mediated inflammation in the pathogenesis of inflammatory bowel disease: Focus on the available therapeutic approaches and gut microbiome. J. Cell Commun. Signal. 2023, 17, 55–74. [Google Scholar] [CrossRef] [PubMed]
- Kimura, A.; Kishimoto, T. IL-6: Regulator of Treg/Th17 balance. Eur. J. Immunol. 2010, 40, 1830–1835. [Google Scholar] [CrossRef]
- Lavoie, S.; Conway, K.L.; Lassen, K.G.; Jijon, H.B.; Pan, H.; Chun, E.; Michaud, M.; Lang, J.K.; Comeau, C.A.G.; Dreyfuss, J.M. The Crohn’s disease polymorphism, ATG16L1 T300A, alters the gut microbiota and enhances the local Th1/Th17 response. Elife 2019, 8, e39982. [Google Scholar] [CrossRef] [PubMed]
- Fielding, C.A.; McLoughlin, R.M.; McLeod, L.; Colmont, C.S.; Najdovska, M.; Grail, D.; Ernst, M.; Jones, S.A.; Topley, N.; Jenkins, B.J. IL-6 regulates neutrophil trafficking during acute inflammation via STAT3. J. Immunol. 2008, 181, 2189–2195. [Google Scholar] [CrossRef]
- Gabay, C. Interleukin-6 and chronic inflammation. Arthritis Res. Ther. 2006, 8, 1–6. [Google Scholar] [CrossRef] [PubMed]
- Rennick, D.M.; Fort, M.M. Lessons from genetically engineered animal models. XII. IL-10-deficient (IL-10(-/-) mice and intestinal inflammation. Am. J. Physiol. Gastrointest. Liver Physiol. 2000, 278, G829–G833. [Google Scholar] [CrossRef]
- Raine, T.; Bonovas, S.; Burisch, J.; Kucharzik, T.; Adamina, M.; Annese, V. ECCO Guidelines on Therapeutics in Ulcerative Colitis: Medical Treatment. J. Crohn’s Colitis 2022, 16, 2–17. [Google Scholar] [CrossRef] [PubMed]
- Torres, J.; Bonovas, S.; Doherty, G.; Kucharzik, T.; Gisbert, J.P.; Raine, T.; Adamina, M.; Armuzzi, A.; Bachmann, O.; Bager, P.; et al. ECCO Guidelines on Therapeutics in Crohn’s Disease: Medical Treatment. J. Crohn’s Colitis 2020, 14, 4–22. [Google Scholar] [CrossRef] [PubMed]
- Wang, C.J.; Zhou, Z.G.; Holmqvist, A.; Zhang, H.; Li, Y.; Adell, G.; Sun, X.F. Survivin expression quantified by Image Pro-Plus compared with visual assessment. Appl. Immunohistochem. Mol. Morphol. 2009, 17, 530–535. [Google Scholar] [CrossRef] [PubMed]
- Virtanen, P.; Gommers, R.; Oliphant, T.E.; Haberland, M.; Reddy, T.; Cournapeau, D.; Burovski, E.; Peterson, P.; Weckesser, W.; Bright, J.; et al. SciPy 1.0: Fundamental algorithms for scientific computing in Python. Nat. Methods 2020, 17, 261–272, Erratum in Nat. Methods 2020, 17, 352. https://doi.org/10.1038/s41592-020-0772-5. [Google Scholar] [CrossRef]
- Seabold, S.; Perktold, J. Statsmodels: Econometric and statistical modeling with python. In Proceedings of the 9th Python in Science Conference, Austin, TX, USA, 28 June–3 July 2010; Volume 57, p. 10-25080. [Google Scholar]
- Waskom, M.L. Seaborn: Statistical data visualization. J. Open Source Softw. 2021, 6, 3021. [Google Scholar] [CrossRef]
- Satsangi, J.; Silverberg, M.S.; Vermeire, S.; Colombel, J.F. The Montreal classification of inflammatory bowel disease: Controversies, consensus, and implications. Gut 2006, 55, 749–753. [Google Scholar] [CrossRef]
- Sprakes, M.B.; Hamlin, P.J.; Warren, L.; Greer, D.; Ford, A. Adalimumab as second line anti-tumour necrosis factor alpha therapy for Crohn’s disease: A single centre experience. J. Crohn’s Colitis 2011, 5, 324–331. [Google Scholar] [CrossRef] [PubMed]
- Panés, J.; Colombel, J.-F.; D’Haens, G.R.; Schreiber, S.; Panaccione, R.; Peyrin-Biroulet, L.; Loftus, E.V.; Danese, S.; Tanida, S.; Okuyama, Y.; et al. Higher vs. Standard Adalimumab Induction and Maintenance Dosing Regimens for Treatment of Ulcerative Colitis: SERENE UC Trial Results. Gastroenterology 2022, 162, 1891–1910. [Google Scholar] [CrossRef] [PubMed]
- Bretto, E.; Ribaldone, D.G.; Caviglia, G.P.; Saracco, G.M.; Bugianesi, E.; Frara, S. Inflammatory Bowel Disease: Emerging Therapies and Future Treatment Strategies. Biomedicines 2023, 11, 2249. [Google Scholar] [CrossRef] [PubMed] [PubMed Central]
- Sandborn, W.J.; D’Haens, G.R.; Reinisch, W.; Panés, J.; Chan, D.; Gonzalez, S.; Weisel, K.; Germinaro, M.; Frustaci, M.E.; Yang, Z.; et al. Guselkumab for the Treatment of Crohn’s Disease: Induction Results from the Phase 2 GALAXI-1 Study. Gastroenterology 2022, 162, 1650–1664.e8, Erratum in Gastroenterology 2023, 165, 1588. https://doi.org/10.1053/j.gastro.2023.09.010. [Google Scholar] [CrossRef] [PubMed]
- Sands, B.E.; Chen, J.; Feagan, B.G.; Penney, M.; Rees, W.A.; Danese, S.; Higgins, P.D.; Newbold, P.; Faggioni, R.; Patra, K.; et al. Efficacy and Safety of MEDI2070, an Antibody Against Interleukin 23, in Patients with Moderate to Severe Crohn’s Disease: A Phase 2a Study. Gastroenterology 2017, 153, 77–86.e6. [Google Scholar] [CrossRef] [PubMed]
- Sands, B.E.; Peyrin-Biroulet, L.; Kierkus, J.; Higgins, P.D.; Fischer, M.; Jairath, V.; Hirai, F.; D’haens, G.; Belin, R.M.; Miller, D.; et al. Efficacy and Safety of Mirikizumab in a Randomized Phase 2 Study of Patients with Crohn’s Disease. Gastroenterology 2022, 162, 495–508. [Google Scholar] [CrossRef] [PubMed]
- Schreiber, S.; Aden, K.; Bernardes, J.P.; Conrad, C.; Tran, F.; Höper, H.; Volk, V.; Mishra, N.; Blase, J.I.; Nikolaus, S.; et al. Therapeutic Interleukin-6 Trans-signaling Inhibition by Olamkicept (sgp130Fc) in Patients with Active Inflammatory Bowel Disease. Gastroenterology 2021, 160, 2354–2366.e11. [Google Scholar] [CrossRef]
- Gisbert, J.P.; Chaparro, M. Primary failure to an anti-TNF agent in inflammatory bowel disease: Switch (to a second anti-TNF agent) or swap (for another mechanism of action)? J. Clin. Med. 2021, 10, 5318. [Google Scholar] [CrossRef] [PubMed]
- Kumar, A.; Smith, P.J. Horizon scanning: New and future therapies in the management of inflammatory bowel disease. eGastroenterology 2023, 1, e100012. [Google Scholar] [CrossRef]
- Rath, T.; Atreya, R.; Bodenschatz, J.; Uter, W.; Geppert, C.E.; Vitali, F.; Fischer, S.; Waldner, M.J.; Colombel, J.F.; Hartmann, A.; et al. Intestinal Barrier Healing Is Superior to Endoscopic and Histologic Remission for Predicting Major Adverse Outcomes in Inflammatory Bowel Disease: The Prospective ERIca Trial. Gastroenterology 2023, 164, 241–255. [Google Scholar] [CrossRef] [PubMed]
- Mårild, K.; Söderling, J.; Axelrad, J.; Halfvarson, J.; Forss, A.; SWIBREG Study Group; Olén, O.; Ludvigsson, J.F. Histologic Activity in Inflammatory Bowel Disease and Risk of Serious Infections: A Nationwide Study. Clin. Gastroenterol. Hepatol. 2024, 22, 831–846. [Google Scholar] [CrossRef] [PubMed] [PubMed Central]
- Bryant, R.V.; Winer, S.; Travis, S.P.; Riddell, R.H. Systematic review: Histological remission in inflammatory bowel disease. Is ‘complete’ remission the new treatment paradigm? An IOIBD initiative. J. Crohns Colitis 2014, 8, 1582–1597. [Google Scholar] [CrossRef] [PubMed]
- Azad, S.; Sood, N.; Sood, A. Biological and histological parameters as predictors of relapse in ulcerative colitis: A prospective study. Saudi J. Gastroenterol. 2011, 17, 194–198. [Google Scholar] [CrossRef] [PubMed] [PubMed Central]
- Bessissow, T.; Lemmens, B.; Ferrante, M.; Bisschops, R.; Van Steen, K.; Geboes, K.; Van Assche, G.; Vermeire, S.; Rutgeerts, P.; De Hertogh, G. Prognostic value of serologic and histologic markers on clinical relapse in ulcera- tive colitis patients with mucosal healing. Am. J. Gastroenterol. Nov. 2012, 107, 1684–1692. [Google Scholar] [CrossRef] [PubMed]
- Nakase, H.; Sato, N.; Mizuno, N.; Ikawa, Y. The influence of cytokines on the complex pathology of ulcerative colitis. Autoimmun. Rev. 2022, 21, 103017. [Google Scholar] [CrossRef] [PubMed]
- Pearl, D.S.; Shah, K.; Whittaker, M.A.; Nitch-Smith, H.; Brown, J.F.; Shute, J.K.; Trebble, T.M. Cytokine mucosal expression in ulcerative colitis, the relationship between cytokine release and disease activity. J. Crohn’s Colitis 2013, 7, 481–489. [Google Scholar] [CrossRef]
- Alhendi, A.; Naser, S.A. The dual role of interleukin-6 in Crohn’s disease pathophysiology. Front. Immunol. 2023, 14, 1295230. [Google Scholar] [CrossRef] [PubMed] [PubMed Central]
- Curciarello, R.; Docena, G.H.; MacDonald, T.T. The Role of Cytokines in the Fibrotic Responses in Crohn’s Disease. Front. Med. 2017, 4, 126. [Google Scholar] [CrossRef] [PubMed] [PubMed Central]
- Zorzi, F.; Monteleone, I.; Sarra, M.; Calabrese, E.; Marafini, I.; Cretella, M.; Sedda, S.; Biancone, L.; Pallone, F.; Monteleone, G. Distinct profiles of effector cytokines mark the different phases of Crohn’s disease. PLoS ONE 2013, 8, e54562. [Google Scholar] [CrossRef] [PubMed] [PubMed Central]
- Danese, S.; Vuitton, L.; Peyrin-Biroulet, L. Biologic agents for IBD: Practical insights. Nat. Rev. Gastroenterol. Hepatol. 2015, 12, 537–545. [Google Scholar] [CrossRef]
- Cui, G.; Florholmen, J.; Goll, R. Could Mucosal TNF Transcript as a Biomarker Candidate Help Optimize Anti-TNF Biological Therapy in Patients with Ulcerative Colitis? Front. Immunol. 2022, 13, 881112. [Google Scholar] [CrossRef] [PubMed] [PubMed Central]
- Schmidt, C.; Giese, T.; Hermann, E.; Zeuzem, S.; Meuer, S.C.; Stallmach, A. Predictive Value of Mucosal TNF-Alpha Transcripts in Steroid-Refractory Crohn’s Disease Patients Receiving Intensive Immunosuppressive Therapy. Inflamm. Bowel Dis. 2007, 13, 65–70. [Google Scholar] [CrossRef]
- Korolkova, O.Y.; Myers, J.N.; Pellom, S.T.; Wang, L.; M’Koma, A.E. Characterization of Serum Cytokine Profile in Predominantly Colonic Inflammatory Bowel Disease to Delineate Ulcerative and Crohn’s Colitides. Clin. Med. Insights Gastroenterol. 2015, 8, 29–44. [Google Scholar] [CrossRef]
- Olsen, T.; Rismo, R.; Gundersen, M.D.; Paulssen, E.J.; Johnsen, K.; Kvamme, J.M.; Goll, R.; Florholmen, J. Normalization of Mucosal Tumor Necrosis Factor-Alpha: A New Criterion for Discontinuing Infliximab Therapy in Ulcerative Colitis. Cytokine 2016, 79, 90–95. [Google Scholar] [CrossRef]
- Rismo, R.; Olsen, T.; Cui, G.; Paulssen, E.J.; Christiansen, I.; Johnsen, K.; Florholmen, J.; Goll, R. Normalization of Mucosal Cytokine Gene Expression Levels Predicts Long-Term Remission After Discontinuation of Anti-TNF Therapy in Crohn’s Disease. Scand. J. Gastroenterol. 2013, 48, 311–319. [Google Scholar] [CrossRef] [PubMed]
- Olsen, T.; Goll, R.; Cui, G.; Husebekk, A.; Vonen, B.; Birketvedt, G.S.; Florholmen, J. Tissue Levels of Tumor Necrosis Factor-Alpha Correlates with Grade of Inflammation in Untreated Ulcerative Colitis. Scand. J. Gastroenterol. 2007, 42, 1312–1320. [Google Scholar] [CrossRef]
- Florholmen, J.R.; Johnsen, K.M.; Meyer, R.; Olsen, T.; Moe, O.K.; Tandberg, P.; Gundersen, M.D.; Kvamme, J.-M.; Johnsen, K.; Løitegård, T.; et al. Discovery and Validation of Mucosal TNF Expression Combined With Histological Score - a Biomarker for Personalized Treatment in Ulcerative Colitis. BMC Gastroenterol. 2020, 20, 321. [Google Scholar] [CrossRef]
- Johnsen, K.M.; Goll, R.; Hansen, V.; Olsen, T.; Rismo, R.; Heitmann, R.; Gundersen, M.D.; Kvamme, J.M.; Paulssen, E.J.; Kileng, H.; et al. Repeated Intensified Infliximab Induction—Results From an 11-Year Prospective Study of Ulcerative Colitis Using a Novel Treatment Algorithm. Eur. J. Gastroenterol. Hepatol. 2017, 29, 98–104. [Google Scholar] [CrossRef]
- Vatansever, A.; Çekiç, C.; Ekinci, N.; Yüksel, E.S.; Avcı, A.; Aslan, F.; Arabul, M.; Ünsal, B.; Çakalağaoğlu, F. Effects of mucosal TNF-alpha levels on treatment response in Crohn’s disease patients receiving anti-TNF treatment. Hepatogastroenterology. 2014, 61, 2277–2282. [Google Scholar] [PubMed]
- Murate, K.; Maeda, K.; Nakamura, M.; Sugiyama, D.; Wada, H.; Yamamura, T.; Sawada, T.; Mizutani, Y.; Ishikawa, T.; Furukawa, K.; et al. Endoscopic Activity and Serum TNF-Alpha Level at Baseline Are Associated with Clinical Response to Ustekinumab in Crohn’s Disease Patients. Inflamm. Bowel Dis. 2020, 26, 1669–1681. [Google Scholar] [CrossRef] [PubMed]
- Velikova, T.V.; Miteva, L.; Stanilov, N.; Spassova, Z.; Stanilova, S.A. Interleukin-6 compared to the other Th17/Treg related cytokines in inflammatory bowel disease and colorectal cancer. World J. Gastroenterol. 2020, 26, 1912–1925. [Google Scholar] [CrossRef] [PubMed]
- Aggeletopoulou, I.; Kalafateli, M.; Tsounis, E.P.; Triantos, C. Exploring the role of IL-1β in inflammatory bowel disease pathogenesis. Front. Med. 2024, 11, 1307394. [Google Scholar] [CrossRef] [PubMed] [PubMed Central]
- Ranson, N.; Veldhuis, M.; Mitchell, B.; Fanning, S.; Cook, A.L.; Kunde, D.; Eri, R. Nlrp 3-dependent and-independent processing of interleukin (Il)-1beta in active ulcerative colitis. Int. J. Mol. Sci. 2018, 20, 57. [Google Scholar] [CrossRef] [PubMed]
- Kaly, L.; Rozenbaum, M.; Rimar, D.; Slobodin, G.; Boulman, N.; Awisat, A.; Ginsberg, S.; Jiries, N.; Rosner, I. Ulcerative Colitis and Familial Mediterranean Fever: Can Anakinra Treat Both? ACG Case Rep. J. 2019, 6, e00143. [Google Scholar] [CrossRef] [PubMed] [PubMed Central]
- Mao, L.; Kitani, A.; Strober, W.; Fuss, I.J. The Role of NLRP3 and IL-1β in the Pathogenesis of Inflammatory Bowel Disease. Front. Immunol. 2018, 9, 2566. [Google Scholar] [CrossRef] [PubMed] [PubMed Central]
- Friedrich, M.; Pohin, M.; Powrie, F. Cytokine Networks in the Pathophysiology of Inflammatory Bowel Disease. Immunity 2019, 50, 992–1006. [Google Scholar] [CrossRef] [PubMed]
- Hunter, C.A.; Jones, S.A. IL-6 as a keystone cytokine in health and disease. Nat. Immunol. 2015, 16, 448–457, Erratum in Nat. Immunol. 2017, 18, 1271. https://doi.org/10.1038/ni1117-1271b. [Google Scholar] [CrossRef] [PubMed]
- Danese, S.; Vermeire, S.; Hellstern, P.; Panaccione, R.; Rogler, G.; Fraser, G.; Kohn, A.; Desreumaux, P.; Leong, R.W.; Comer, G.M.; et al. Randomised trial and open-label extension study of an anti-interleukin-6 antibody in Crohn’s disease (ANDANTE I and II). Gut 2019, 68, 40–48. [Google Scholar] [CrossRef] [PubMed] [PubMed Central]
- Schmidt, A.; Oberle, N.; Krammer, P.H. Molecular mechanisms of treg-mediated T cell suppression. Front. Immunol. 2012, 3, 51. [Google Scholar] [CrossRef] [PubMed]
- Mittal, S.K.; Cho, K.J.; Ishido, S.; Roche, P.A. Interleukin 10 (IL-10)-mediated immunosuppression: March-I induction regulates antigen presentation by macrophages but not dendritic cells. J. Biol. Chem. 2015, 290, 27158–27167. [Google Scholar] [CrossRef]
- Kotlarz, D.; Beier, R.; Murugan, D.; Diestelhorst, J.; Jensen, O.; Boztug, K.; Pfeifer, D.; Kreipe, H.; Pfister, E.-D.; Baumann, U.; et al. Loss of interleukin-10 signaling and infantile inflammatory bowel disease: Implications for diagnosis and therapy. Gastroenterology 2012, 143, 347–355. [Google Scholar] [CrossRef]
- Moran, C.J.; Walters, T.D.; Guo, C.H.; Kugathasan, S.; Klein, C.; Turner, D.; Wolters, V.M.; Bandsma, R.H.; Mouzaki, M.; Zachos, M.; et al. IL-10R polymorphisms are associated with very-early-onset ulcerative colitis. Inflamm. Bowel Dis. 2013, 19, 115–123. [Google Scholar] [CrossRef]
- Griffin, H.; Ceron-Gutierrez, L.; Gharahdaghi, N.; Ebrahimi, S.; Davies, S.; Loo, P.S.; Szabo, A.; Williams, E.; Mukhopadhyay, A.; McLoughlin, L.; et al. Neutralizing Autoantibodies against Interleukin-10 in Inflammatory Bowel Disease. N. Engl. J. Med. 2024, 391, 434–441. [Google Scholar] [CrossRef] [PubMed] [PubMed Central]
- Ahluwalia, B.; Moraes, L.; Magnusson, M.K.; Öhman, L. Immunopathogenesis of inflammatory bowel disease and mechanisms of biological therapies. Scand. J. Gastroenterol. 2018, 53, 379–389. [Google Scholar] [CrossRef] [PubMed]
- Marlow, G.J.; van Gent, D.; Ferguson, L.R. Why interleukin-10 supplementation does not work in Crohn’s disease patients. World J. Gastroenterol. 2013, 19, 3931–3941. [Google Scholar] [CrossRef] [PubMed] [PubMed Central]
- Koelink, P.J.; Bloemendaal, F.M.; Li, B.; Westera, L.; Vogels, E.W.M.; van Roest, M.; Gloudemans, A.K.; van ‘t Wout, A.B.; Korf, H.; Vermeire, S.; et al. Anti-TNF therapy in IBD exerts its therapeutic effect through macrophage IL-10 signalling. Gut 2020, 69, 1053–1063. [Google Scholar] [CrossRef] [PubMed] [PubMed Central]
- Ben-Horin, S.; Novack, L.; Mao, R.; Guo, J.; Zhao, Y.; Sergienko, R.; Zhang, J.; Kobayashi, T.; Hibi, T.; Chowers, Y.; et al. Efficacy of Biologic Drugs in Short-Duration Versus Long-Duration Inflammatory Bowel Disease: A Systematic Review and an Individual-Patient Data Meta-Analysis of Randomized Controlled Trials. Gastroenterology 2022, 162, 482–494. [Google Scholar] [CrossRef] [PubMed]
- Torres, J.; Caprioli, F.; Katsanos, K.H.; Lobatón, T.; Micic, D.; Zerôncio, M.; Van Assche, G.; Lee, J.C.; Lindsay, J.O.; Rubin, D.T.; et al. Predicting Outcomes to Optimize Disease Management in Inflammatory Bowel Diseases. J. Crohn’s Colitis 2016, 10, 1385–1394. [Google Scholar] [CrossRef]
- Reinisch, W.; Reinink, A.R.; Higgins, P.D. Factors associated with poor outcomes in adults with newly diagnosed ulcerative colitis. Clin. Gastroenterol. Hepatol. 2015, 13, 635–642. [Google Scholar] [CrossRef] [PubMed]
- Cho, C.W.; You, M.W.; Oh, C.H.; Lee, C.K.; Moon, S.K. Long-term Disease Course of Crohn’s Disease: Changes in Disease Location, Phenotype, Activities, and Predictive Factors. Gut Liver 2022, 16, 157–170. [Google Scholar] [CrossRef] [PubMed] [PubMed Central]
- Spencer, E.A.; Agrawal, M.; Jess, T. Prognostication in inflammatory bowel disease. Front. Med. 2022, 9, 1025375. [Google Scholar] [CrossRef] [PubMed] [PubMed Central]
- Lutgens, M.W.; van Oijen, M.G.; van der Heijden, G.J.; Vleggaar, F.P.; Siersema, P.D.; Oldenburg, B. Declining risk of colorectal cancer in inflammatory bowel disease: An updated meta-analysis of population-based cohort studies. Inflamm. Bowel Dis. 2013, 19, 789–799. [Google Scholar] [CrossRef] [PubMed]
- Nieminen, U.; Jussila, A.; Nordling, S.; Mustonen, H.; Färkkilä, M.A. Inflammation and disease duration have a cumulative effect on the risk of dysplasia and carcinoma in IBD: A case-control observational study based on registry data. Int. J. Cancer 2014, 134, 189–196. [Google Scholar] [CrossRef] [PubMed]
- Kobayashi, K.; Tomita, H.; Shimizu, M.; Tanaka, T.; Suzui, N.; Miyazaki, T.; Hara, A. p53 Expression as a Diagnostic Biomarker in Ulcerative Colitis-Associated Cancer. Int. J. Mol. Sci. 2017, 18, 1284. [Google Scholar] [CrossRef] [PubMed] [PubMed Central]
- van Schaik, F.D.; Oldenburg, B.; Offerhaus, G.J.; Schipper, M.E.; Vleggaar, F.P.; Siersema, P.D.; van Oijen, M.G.; Ten Kate, F.J. Role of immunohistochemical markers in predicting progression of dysplasia to advanced neoplasia in patients with ulcerative colitis. Inflamm. Bowel Dis. 2012, 18, 480–488. [Google Scholar] [CrossRef] [PubMed]
Disclaimer/Publisher’s Note: The statements, opinions and data contained in all publications are solely those of the individual author(s) and contributor(s) and not of MDPI and/or the editor(s). MDPI and/or the editor(s) disclaim responsibility for any injury to people or property resulting from any ideas, methods, instructions or products referred to in the content. |
© 2025 by the authors. Licensee MDPI, Basel, Switzerland. This article is an open access article distributed under the terms and conditions of the Creative Commons Attribution (CC BY) license (https://creativecommons.org/licenses/by/4.0/).



















