You are currently viewing a new version of our website. To view the old version click .
Biomedicines
  • This is an early access version, the complete PDF, HTML, and XML versions will be available soon.
  • Review
  • Open Access

9 December 2025

Targeting Cathepsins in Neurodegeneration: Biochemical Advances

,
,
,
,
,
,
,
,
and
1
Department of Pharmacy, University of Salerno, Via G. Paolo II, 84084 Fisciano, Italy
2
Department of Neurology, Sant’Antonio Abate Hospital, Via Eusebio Pastori 4, 21013 Gallarate, Italy
3
National Biodiversity Future Center (NBFC), 90133 Palermo, Italy
4
Department of Medicine, Digestive Health Research Institute, Case Western Reserve University School of Medicine, Cleveland, OH 44106, USA
This article belongs to the Special Issue New Horizons in Enzyme Inhibitor Discovery: Targets, Design and Evaluation

Abstract

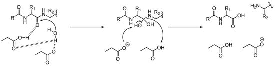
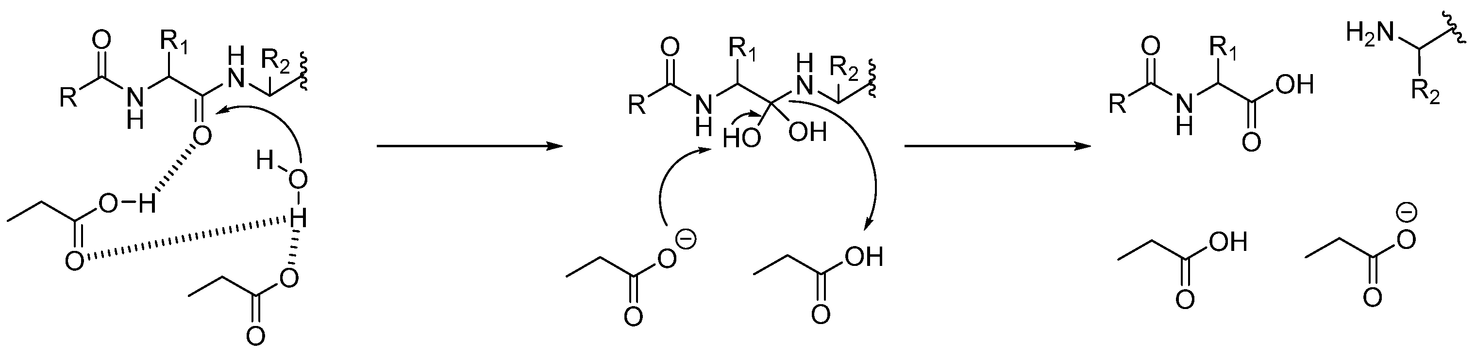
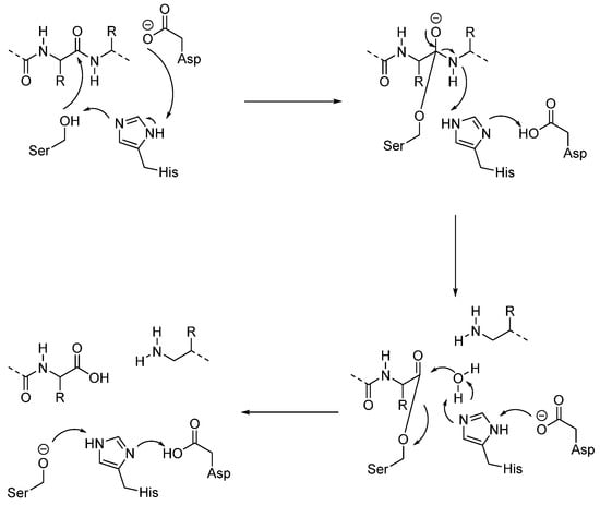
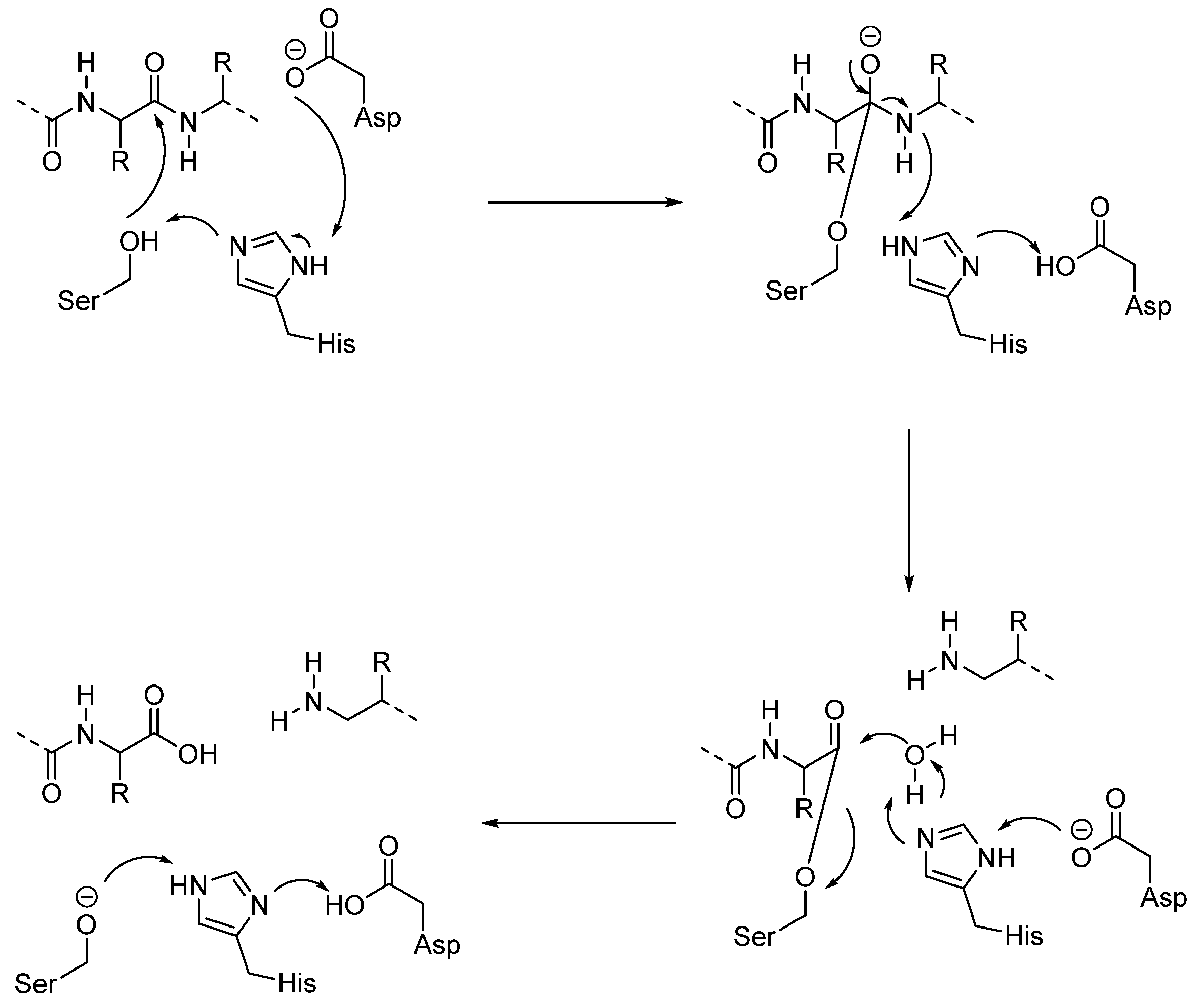
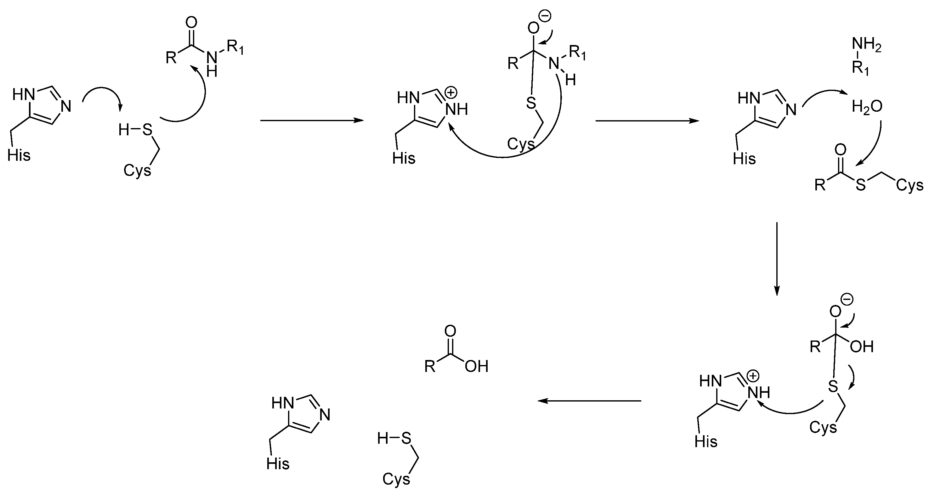
Background/Objectives: Cathepsins, lysosomal proteases crucial for neuronal proteostasis, mediate the clearance of misfolded and aggregated proteins. Their dysregulation is implicated in neurodegenerative and neuropsychiatric disorders such as Alzheimer’s, Parkinson’s, and Huntington’s diseases. These conditions are characterized by toxic protein accumulation and impaired clearance, which exacerbate cellular stress responses, including the unfolded protein response (UPR), oxidative damage, and mitochondrial dysfunction. This review aims to summarize current knowledge on cathepsin roles in these pathways and assess their therapeutic potential. Methods: A comprehensive literature review was conducted, focusing on recent in vitro and in vivo studies investigating cathepsin function, inhibition, and modulation. Mechanistic insights and pharmacological approaches targeting cathepsins were analyzed, with attention to challenges in translating preclinical findings to clinical settings. Results: Cathepsins demonstrate a dual role: their proteolytic activity supports neuronal health by degrading toxic aggregates, but altered or insufficient activity may worsen proteotoxic stress. Studies reveal that cathepsins regulate autophagy, apoptosis, and neuroinflammation both intracellularly and extracellularly. Despite promising mechanistic data, clinical translation is hindered by issues such as poor inhibitor selectivity, limited brain penetration, and variability across preclinical models. Conclusions: Targeting cathepsins presents a promising strategy for treating neurodegenerative and neuropsychiatric disorders, but significant challenges remain. Future research should focus on improving drug specificity and delivery, and on developing standardized models to better predict clinical outcomes.

Article Metrics

Citations

Article Access Statistics

Multiple requests from the same IP address are counted as one view.