Onset of Action of Selected Second-Generation Antipsychotics (Pines)–A Systematic Review and Meta-Analyses
Abstract
1. Introduction
2. Materials and Methods
2.1. Types of Studies
2.2. Types of Participants
2.3. Types of Interventions
2.4. Type of Outcome
2.5. Search Method for Identification of Studies
2.6. Study Selection
2.7. Data Extraction and Management
2.8. Assessment of Risk of Bias
2.9. Measure of Treatment Effect
2.10. Synthesis of Results
2.11. Additional Analysis
3. Results
3.1. Study Selection
3.2. Description of Included Studies
3.3. Risk of Bias in Included Studies
3.4. Meta-Analyses
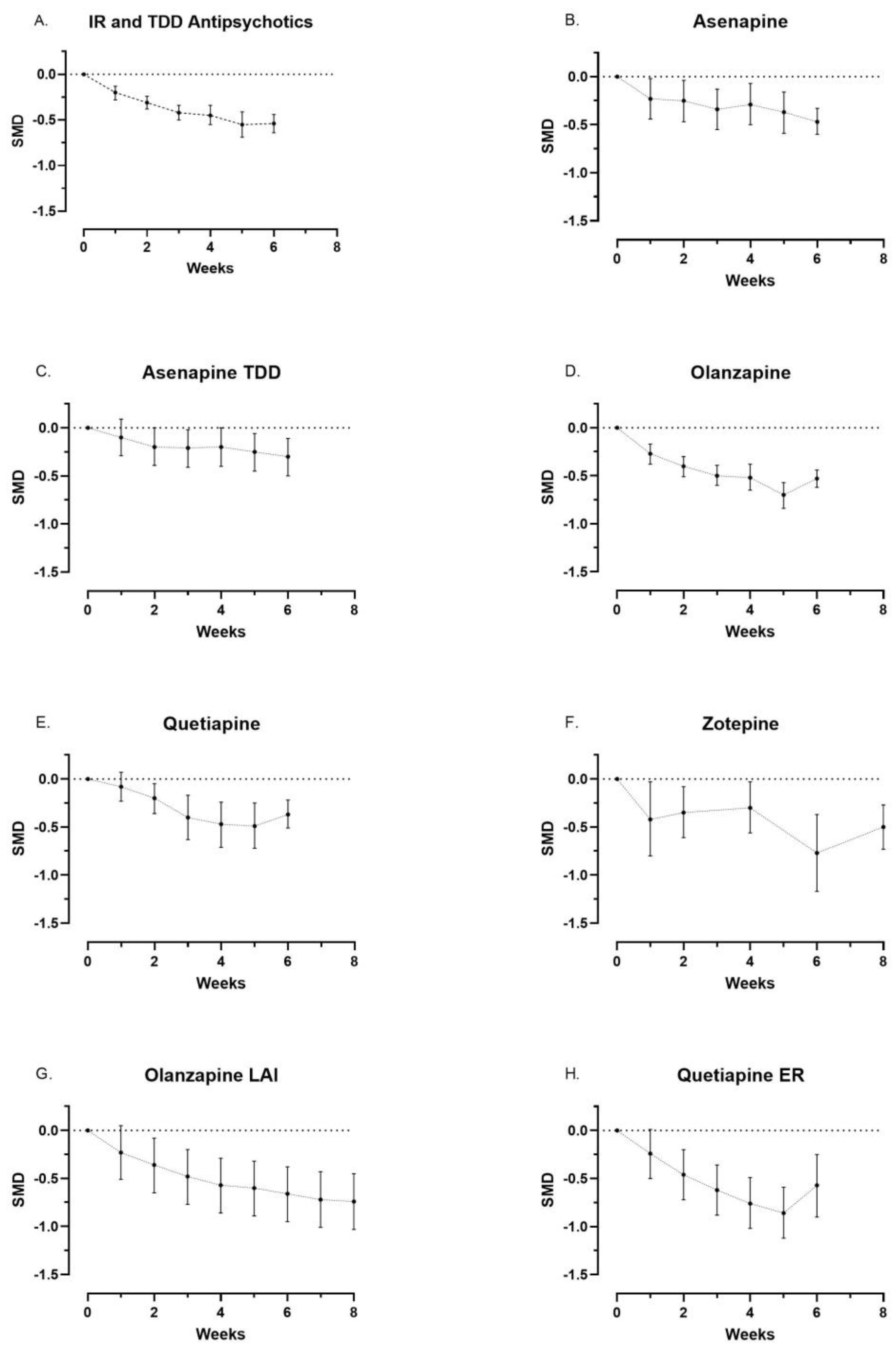
- Week 3 for transdermal asenapine (SMD −0.21 [CI95% −0.41, −0.02]) (Figure 3C).
3.5. Additional Analyses
4. Discussion
5. Conclusions
Supplementary Materials
Author Contributions
Funding
Institutional Review Board Statement
Informed Consent Statement
Data Availability Statement
Acknowledgments
Conflicts of Interest
References
- James, S.L.; Abate, D.; Abate, K.H.; Abay, S.M.; Abbafati, C.; Abbasi, N.; Abbastabar, H.; Abd-Allah, F.; Abdela, J.; Abdelalim, A.; et al. Global, Regional, and National Incidence, Prevalence, and Years Lived with Disability for 354 Diseases and Injuries for 195 Countries and Territories, 1990-2017: A Systematic Analysis for the Global Burden of Disease Study 2017. Lancet 2018, 392, 1789–1858. [Google Scholar] [CrossRef] [PubMed]
- Mauri, M.C.; Paletta, S.; Maffini, M.; Colasanti, A.; Dragogna, F.; Di Pace, C.; Altamura, A.C. Clinical Pharmacology of Atypical Antipsychotics: An Update. EXCLI J. 2014, 13, 1163–1191. [Google Scholar] [PubMed]
- Huhn, M.; Nikolakopoulou, A.; Schneider-Thoma, J.; Krause, M.; Samara, M.; Peter, N.; Arndt, T.; Bäckers, L.; Rothe, P.; Cipriani, A.; et al. Comparative Efficacy and Tolerability of 32 Oral Antipsychotics for the Acute Treatment of Adults with Multi-Episode Schizophrenia: A Systematic Review and Network Meta-Analysis. Lancet 2019, 394, 939–951. [Google Scholar] [CrossRef]
- Correll, C.U. From Receptor Pharmacology to Improved Outcomes: Individualising the Selection, Dosing, and Switching of Antipsychotics. Eur. Psychiatry 2010, 25 (Suppl. S2), S12–S21. [Google Scholar] [CrossRef]
- Suzuki, T.; Uchida, H.; Watanabe, K.; Nomura, K.; Takeuchi, H.; Tomita, M.; Tsunoda, K.; Nio, S.; Den, R.; Manki, H.; et al. How Effective Is It to Sequentially Switch among Olanzapine, Quetiapine and Risperidone?—A Randomized, Open-Label Study of Algorithm-Based Antipsychotic Treatment to Patients with Symptomatic Schizophrenia in the Real-World Clinical Setting. Psychopharmacology 2007, 195, 285–295. [Google Scholar] [CrossRef] [PubMed]
- National Institute for Health and Care Excellence, N. Psychosis and Schizophrenia in Adults: Prevention and Management. Clinical Guideline. Available online: https://www.nice.org.uk/guidance/cg178 (accessed on 1 October 2021).
- Hasan, A.; Falkai, P.; Wobrock, T.; Lieberman, J.; Glenthoj, B.; Gattaz, W.F.; Thibaut, F. World Federation of Societies of Biological Psychiatry (WFSBP) Guidelines for Biological Treatment of Schizophrenia, Part 1: Update 2012 on the Acute Treatment of Schizophrenia and the Management of Treatment Resistance. World J. Biol. Psychiatry 2012, 13, 318–378. [Google Scholar] [CrossRef] [PubMed]
- Barnes, T.R.; Drake, R.; Paton, C.; Cooper, S.J.; Deakin, B.; Ferrier, I.N.; Gregory, C.J.; Haddad, P.M. Evidence-Based Guidelines for the Pharmacological Treatment of Schizophrenia: Updated Recommendations from the British Association for Psychopharmacology. J. Psychopharmacol. 2020, 34, 3–78. [Google Scholar] [CrossRef]
- Agid, O.; Kapur, S.; Arenovich, T.; Zipursky, R.B. Delayed-Onset Hypothesis of Antipsychotic Action: A Hypothesis Tested and Rejected. Arch. Gen. Psychiatry 2003, 60, 1228–1235. [Google Scholar] [CrossRef]
- Leucht, S.; Busch, R.; Hamann, J.; Kissling, W.; Kane, J.M. Early Onset of Antipsychotic Drug Action: A Hypothesis Tested, Confirmed and Extended. Biol. Psychiatry 2005, 57, 1543–1549. [Google Scholar] [CrossRef]
- Samara, M.T.; Leucht, C.; Leeflang, M.M.; Anghelescu, I.-G.; Chung, Y.-C.; Crespo-Facorro, B.; Elkis, H.; Hatta, K.; Giegling, I.; Kane, J.M.; et al. Early Improvement As a Predictor of Later Response to Antipsychotics in Schizophrenia: A Diagnostic Test Review. Am. J. Psychiatry 2015, 172, 617–629. [Google Scholar] [CrossRef]
- Kapur, S.; Arenovich, T.; Agid, O.; Zipursky, R.; Lindborg, S.; Jones, B. Evidence for Onset of Antipsychotic Effects within the First 24 Hours of Treatment. Am. J. Psychiatry 2005, 162, 939–946. [Google Scholar] [CrossRef]
- Kinon, B.J.; Chen, L.; Ascher-Svanum, H.; Stauffer, V.L.; Kollack-Walker, S.; Zhou, W.; Kapur, S.; Kane, J.M. Early Response to Antipsychotic Drug Therapy as a Clinical Marker of Subsequent Response in the Treatment of Schizophrenia. Neuropsychopharmacol. Off. Publ. Am. Coll. Neuropsychopharmacol. 2010, 35, 581–590. [Google Scholar] [CrossRef] [PubMed]
- Page, M.J.; McKenzie, J.E.; Bossuyt, P.M.; Boutron, I.; Hoffmann, T.C.; Mulrow, C.D.; Al, E. The PRISMA 2020 Statement: An Updated Guideline for Reporting Systematic Reviews. BMJ 2021, 372, n71. [Google Scholar] [CrossRef] [PubMed]
- Kay, S.R.; Fiszbein, A.; Opler, L.A. The Positive and Negative Syndrome Scale (PANSS) for Schizophrenia. Schizophr. Bull. 1987, 13, 261–276. [Google Scholar] [CrossRef] [PubMed]
- Kumari, S.; Malik, M.; Florival, C.; Manalai, P.; Sonje, S. An Assessment of Five (PANSS, SAPS, SANS, NSA-16, CGI-SCH) Commonly Used Symptoms Rating Scales in Schizophrenia and Comparison to Newer Scales (CAINS, BNSS). J. Addict. Res. Ther. 2017, 8, 324. [Google Scholar] [CrossRef]
- Overall, J.E.; Gorham, D.R. The Brief Psychiatric Rating Scale. Psychol. Rep. 1962, 10, 799–812. [Google Scholar] [CrossRef]
- Overall, J.E.; Gorham, D.R. The Brief Psychiatric Rating Scale (BPRS): Recent Developments in Ascertainment and Scaling. Psychopharmacol. Bull. 1988, 24, 97–99. [Google Scholar]
- Lukoff, D.; Liberman, R.P.; Nuechterlein, K.H. Symptom Monitoring in the Rehabilitation of Schizophrenic Patients. Schizophr. Bull. 1986, 12, 578–603. [Google Scholar] [CrossRef]
- Guy, W. U.S. Dept. of Health, Education, and Welfare, Public Health Service, Alcohol, Drug Abuse, and Mental Health Administration, National Institute of Mental Health, Psychopharmacology Research Branch. In ECDEU Assessment Manual for Psychopharmacology; Division of Extramural Research Programs: Rockville, MD, USA, 1976. [Google Scholar]
- Glanville, J.; Lefebvre, C.; Manson, P.; Robinson, S.; Shaw, N. Editors ISSG Search Filter Resource. Available online: https://sites.google.com/a/york.ac.uk/issg-search-filters-resource/home (accessed on 10 August 2022).
- Rohatgi, A. WebPlotDigitizer. Available online: https://automeris.io/WebPlotDigitizer (accessed on 1 October 2022).
- U.S. Food and Drug Administration. U.S. Food and Drug Administration—Medication Guides. Available online: https://www.accessdata.fda.gov/scripts/cder/daf/index.cfm?event=medguide.page (accessed on 5 October 2021).
- European Medicines Agency. European Medicines Agency, Product Information. Available online: https://www.ema.europa.eu/en/medicines/field_ema_web_categories%253Aname_field/Human/ema_group_types/ema_medicine (accessed on 5 October 2021).
- Potkin, S.G.; Cohen, M.; Panagides, J. Efficacy and Tolerability of Asenapine in Acute Schizophrenia: A Placebo- and Risperidone-Controlled Trial. J. Clin. Psychiatry 2007, 68, 1492–1500. [Google Scholar] [CrossRef]
- Kane, J.M.; Cohen, M.; Zhao, J.; Alphs, L.; Panagides, J. Efficacy and Safety of Asenapine in a Placebo- and Haloperidol-Controlled Trial in Patients with Acute Exacerbation of Schizophrenia. J. Clin. Psychopharmacol. 2010, 30, 106–115. [Google Scholar] [CrossRef]
- Sterne, J.; Savović, J.; Page, M.; Elbers, R.; Blencowe, N.; Boutron, I.; Cates, C.; Cheng, H.-Y.; Corbett, M.; Eldridge, S.; et al. RoB 2: A Revised Tool for Assessing Risk of Bias in Randomised Trials. BMJ 2019, 366, l4898. [Google Scholar] [CrossRef] [PubMed]
- Higgins, J.; Thomas, J.; Chandler, J.; Cumpston, M.; Li, T.; Page, M.; Welch, V. Cochrane Handbook for Systematic Reviews of Interventions. Available online: www.training.cochrane.org/handbook (accessed on 15 January 2020).
- Wang, C.-H.; Li, Y.; Yang, J.; Su, L.-Y.; Geng, Y.-G.; Li, H.; Wang, J.-K.; Mu, J.-L. A Randomized Controlled Trial of Olanzapine Improving Memory Deficits in Han Chinese Patients with First-Episode Schizophrenia. Schizophr. Res. 2013, 144, 129–135. [Google Scholar] [CrossRef] [PubMed]
- Kinoshita, T.; Bai, Y.-M.; Kim, J.-H.; Miyake, M.; Oshima, N. Efficacy and Safety of Asenapine in Asian Patients with an Acute Exacerbation of Schizophrenia: A Multicentre, Randomized, Double-Blind, 6-Week, Placebo-Controlled Study. Psychopharmacology 2016, 233, 2663–2674. [Google Scholar] [CrossRef][Green Version]
- Landbloom, R.; Mackle, M.; Wu, X.; Kelly, L.; Snow-Adami, L.; McIntyre, R.S.; Mathews, M.; Hundt, C. Asenapine for the Treatment of Adults with an Acute Exacerbation of Schizophrenia: Results from a Randomized, Double-Blind, Fixed-Dose, Placebo-Controlled Trial with Olanzapine as an Active Control. CNS Spectr. 2017, 22, 333–341. [Google Scholar] [CrossRef] [PubMed]
- Citrome, L.; Walling, D.P.; Zeni, C.M.; Starling, B.R.; Terahara, T.; Kuriki, M.; Park, A.S.; Komaroff, M. Efficacy and Safety of HP-3070, an Asenapine Transdermal System, in Patients With Schizophrenia: A Phase 3, Randomized, Placebo-Controlled Study. J. Clin. Psychiatry 2020, 82, 20m13602. [Google Scholar] [CrossRef]
- Meltzer, H.Y.; Cucchiaro, J.; Silva, R.; Ogasa, M.; Phillips, D.; Xu, J.; Kalali, A.H.; Schweizer, E.; Pikalov, A.; Loebel, A. Lurasidone in the Treatment of Schizophrenia: A Randomized, Double-Blind, Placebo- and Olanzapine-Controlled Study. Am. J. Psychiatry 2011, 168, 957–967. [Google Scholar] [CrossRef]
- Kane, J.; Canas, F.; Kramer, M.; Ford, L.; Gassmann-Mayer, C.; Lim, P.; Eerdekens, M. Treatment of Schizophrenia with Paliperidone Extended-Release Tablets: A 6-Week Placebo-Controlled Trial. Schizophr. Res. 2007, 90, 147–161. [Google Scholar] [CrossRef] [PubMed]
- Marder, S.R.; Kramer, M.; Ford, L.; Eerdekens, E.; Lim, P.; Eerdekens, M.; Lowy, A. Efficacy and Safety of Paliperidone Extended-Release Tablets: Results of a 6-Week, Randomized, Placebo-Controlled Study. Biol. Psychiatry 2007, 62, 1363–1370. [Google Scholar] [CrossRef]
- Lecrubier, Y.; Quintin, P.; Bouhassira, M.; Perrin, E.; Lancrenon, S. The Treatment of Negative Symptoms and Deficit States of Chronic Schizophrenia: Olanzapine Compared to Amisulpride and Placebo in a 6-Month Double-Blind Controlled Clinical Trial. Acta Psychiatr. Scand. 2006, 114, 319–327. [Google Scholar] [CrossRef]
- Egan, M.F.; Zhao, X.; Smith, A.; Troyer, M.D.; Uebele, V.N.; Pidkorytov, V.; Cox, K.; Murphy, M.; Snavely, D.; Lines, C.; et al. Randomized Controlled Study of the T-Type Calcium Channel Antagonist MK-8998 for the Treatment of Acute Psychosis in Patients with Schizophrenia. Hum. Psychopharmacol. 2013, 28, 124–133. [Google Scholar] [CrossRef]
- Kinon, B.J.; Zhang, L.; Millen, B.A.; Osuntokun, O.O.; Williams, J.E.; Kollack-Walker, S.; Jackson, K.; Kryzhanovskaya, L.; Jarkova, N. A Multicenter, Inpatient, Phase 2, Double-Blind, Placebo-Controlled Dose-Ranging Study of LY2140023 Monohydrate in Patients with DSM-IV Schizophrenia. J. Clin. Psychopharmacol. 2011, 31, 349–355. [Google Scholar] [CrossRef] [PubMed]
- Litman, R.E.; Smith, M.A.; Desai, D.G.; Simpson, T.; Sweitzer, D.; Kanes, S.J. The Selective Neurokinin 3 Antagonist AZD2624 Does Not Improve Symptoms or Cognition in Schizophrenia: A Proof-of-Principle Study. J. Clin. Psychopharmacol. 2014, 34, 199–204. [Google Scholar] [CrossRef] [PubMed]
- Mosolov, S.N.; Smulevich, A.B.; Neznanov, N.G.; Tochilov, V.A.; Andreev, B.V.; Avedisova, A.S.; Bardenstein, L.M.; Gurovich, I.; Reznik, A.M.; Zharkova, N.B.; et al. MGlu2/3 Agonists—A New Approach to the Treatment of Schizophrenia: Results of a Randomized Double-Blind Trial. Neurosci. Behav. Physiol. 2011, 41, 559–566. [Google Scholar] [CrossRef]
- Shen, J.; Kobak, K.A.; Zhao, Y.; Alexander, M.M.; Kane, J.M. Use of Remote Centralized Raters via Live 2-Way Video in a Multicenter Clinical Trial for Schizophrenia. J. Clin. Psychopharmacol. 2008, 28, 691–693. [Google Scholar] [CrossRef] [PubMed]
- Beasley, C.M.J.; Sanger, T.; Satterlee, W.; Tollefson, G.; Tran, P. Olanzapine versus Placebo: Results of a Double-Blind, Fixed Dose Olanzapine Trial. Psychopharmacology 1996, 124, 159–167. [Google Scholar] [CrossRef] [PubMed]
- Corrigan, M.H.; Gallen, C.C.; Bonura, M.L.; Merchant, K.M. Effectiveness of the Selective D4 Antagonist Sonepiprazole in Schizophrenia: A Placebo-Controlled Trial. Biol. Psychiatry 2004, 55, 445–451. [Google Scholar] [CrossRef]
- Schmidt, M.E.; Kent, J.M.; Daly, E.; Janssens, L.; Van Osselaer, N.; Husken, G.; Anghelescu, I.-G.; Van Nueten, L. A Double-Blind, Randomized, Placebo-Controlled Study with JNJ-37822681, a Novel, Highly Selective, Fast Dissociating D(2) Receptor Antagonist in the Treatment of Acute Exacerbation of Schizophrenia. Eur. Neuropsychopharmacol. 2012, 22, 721–733. [Google Scholar] [CrossRef]
- Shen, J.H.Q.; Zhao, Y.; Rosenzweig-Lipson, S.; Popp, D.; Williams, J.B.W.; Giller, E.; Detke, M.J.; Kane, J.M. A 6-Week Randomized, Double-Blind, Placebo-Controlled, Comparator Referenced Trial of Vabicaserin in Acute Schizophrenia. J. Psychiatr. Res. 2014, 53, 14–22. [Google Scholar] [CrossRef]
- Potkin, S.G.; Kunovac, J.; Silverman, B.L.; Simmons, A.; Jiang, Y.; DiPetrillo, L.; McDonnell, D. Efficacy and Safety of a Combination of Olanzapine and Samidorphan in Adult Patients with an Acute Exacerbation of Schizophrenia: Outcomes from the Randomized, Phase 3 ENLIGHTEN-1 Study. J. Clin. Psychiatry 2020, 81, 19m12769. [Google Scholar] [CrossRef]
- Beasley, C.M.J.; Tollefson, G.; Tran, P.; Satterlee, W.; Sanger, T.; Hamilton, S. Olanzapine versus Placebo and Haloperidol: Acute Phase Results of the North American Double-Blind Olanzapine Trial. Neuropsychopharmacology 1996, 14, 111–123. [Google Scholar] [CrossRef]
- Bugarski-Kirola, D.; Wang, A.; Abi-Saab, D.; Blattler, T. A Phase II/III Trial of Bitopertin Monotherapy Compared with Placebo in Patients with an Acute Exacerbation of Schizophrenia—Results from the CandleLyte Study. Eur. Neuropsychopharmacol. 2014, 24, 1024–1036. [Google Scholar] [CrossRef] [PubMed]
- Davidson, M.; Emsley, R.; Kramer, M.; Ford, L.; Pan, G.; Lim, P.; Eerdekens, M. Efficacy, Safety and Early Response of Paliperidone Extended-Release Tablets (Paliperidone ER): Results of a 6-Week, Randomized, Placebo-Controlled Study. Schizophr. Res. 2007, 93, 117–130. [Google Scholar] [CrossRef] [PubMed]
- Lauriello, J.; Lambert, T.; Andersen, S.; Lin, D.; Taylor, C.C.; McDonnell, D. An 8-Week, Double-Blind, Randomized, Placebo-Controlled Study of Olanzapine Long-Acting Injection in Acutely Ill Patients with Schizophrenia. J. Clin. Psychiatry 2008, 69, 790–799. [Google Scholar] [CrossRef] [PubMed]
- Fabre, L.F.J.; Arvanitis, L.; Pultz, J.; Jones, V.M.; Malick, J.B.; Slotnick, V.B. ICI 204,636, a Novel, Atypical Antipsychotic: Early Indication of Safety and Efficacy in Patients with Chronic and Subchronic Schizophrenia. Clin. Ther. 1995, 17, 366–378. [Google Scholar] [CrossRef] [PubMed]
- Borison, R.L.; Arvanitis, L.A.; Miller, B.G. ICI 204,636, an Atypical Antipsychotic: Efficacy and Safety in a Multicenter, Placebo-Controlled Trial in Patients with Schizophrenia. J. Clin. Psychopharmacol. 1996, 16, 158–169. [Google Scholar] [CrossRef]
- Small, J.G.; Hirsch, S.R.; Arvanitis, L.A.; Miller, B.G.; Link, C.G. Quetiapine in Patients with Schizophrenia. A High- and Low-Dose Double-Blind Comparison with Placebo. Seroquel Study Group. Arch. Gen. Psychiatry 1997, 54, 549–557. [Google Scholar] [CrossRef]
- Potkin, S.G.; Gharabawi, G.M.; Greenspan, A.J.; Mahmoud, R.; Kosik-Gonzalez, C.; Rupnow, M.F.T.; Bossie, C.A.; Davidson, M.; Burtea, V.; Zhu, Y.; et al. A Double-Blind Comparison of Risperidone, Quetiapine and Placebo in Patients with Schizophrenia Experiencing an Acute Exacerbation Requiring Hospitalization. Schizophr. Res. 2006, 85, 254–265. [Google Scholar] [CrossRef]
- Canuso, C.M.; Dirks, B.; Carothers, J.; Kosik-Gonzalez, C.; Bossie, C.A.; Zhu, Y.; Damaraju, C.V.; Kalali, A.H.; Mahmoud, R. Randomized, Double-Blind, Placebo-Controlled Study of Paliperidone Extended-Release and Quetiapine in Inpatients with Recently Exacerbated Schizophrenia. Am. J. Psychiatry 2009, 166, 691–701. [Google Scholar] [CrossRef]
- Arvanitis, L.A.; Miller, B.G. Multiple Fixed Doses of “Seroquel” (Quetiapine) in Patients with Acute Exacerbation of Schizophrenia: A Comparison with Haloperidol and Placebo. The Seroquel Trial 13 Study Group. Biol. Psychiatry 1997, 42, 233–246. [Google Scholar] [CrossRef]
- Kahn, R.S.; Schulz, S.C.; Palazov, V.D.; Reyes, E.B.; Brecher, M.; Svensson, O.; Andersson, H.M.; Meulien, D. Efficacy and Tolerability of Once-Daily Extended Release Quetiapine Fumarate in Acute Schizophrenia: A Randomized, Double-Blind, Placebo-Controlled Study. J. Clin. Psychiatry 2007, 68, 832–842. [Google Scholar] [CrossRef]
- Lindenmayer, J.-P.; Brown, D.; Liu, S.; Brecher, M.; Meulien, D. The Efficacy and Tolerability of Once-Daily Extended Release Quetiapine Fumarate in Hospitalized Patients with Acute Schizophrenia: A 6-Week Randomized, Double-Blind, Placebo-Controlled Study. Psychopharmacol. Bull. 2008, 41, 11–35. [Google Scholar]
- Loebel, A.; Cucchiaro, J.; Sarma, K.; Xu, L.; Hsu, C.; Kalali, A.H.; Pikalov, A.; Potkin, S.G. Efficacy and Safety of Lurasidone 80 Mg/Day and 160 Mg/Day in the Treatment of Schizophrenia: A Randomized, Double-Blind, Placebo- and Active-Controlled Trial. Schizophr. Res. 2013, 145, 101–109. [Google Scholar] [CrossRef] [PubMed]
- Cooper, S.J.; Tweed, J.; Raniwalla, J.; Butler, A.; Welch, C. A Placebo-Controlled Comparison of Zotepine versus Chlorpromazine in Patients with Acute Exacerbation of Schizophrenia. Acta Psychiatr. Scand. 2000, 101, 218–225. [Google Scholar] [CrossRef] [PubMed]
- Cooper, S.J.; Butler, A.; Tweed, J.; Welch, C.; Raniwalla, J. Zotepine in the Prevention of Recurrence: A Randomised, Double-Blind, Placebo-Controlled Study for Chronic Schizophrenia. Psychopharmacology 2000, 150, 237–243. [Google Scholar] [CrossRef] [PubMed]
- Möller, H.J.; Riedel, M.; Müller, N.; Fischer, W.; Kohnen, R. Zotepine versus Placebo in the Treatment of Schizophrenic Patients with Stable Primary Negative Symptoms: A Randomized Double-Blind Multicenter Trial. Pharmacopsychiatry 2004, 37, 270–278. [Google Scholar] [CrossRef]
- Emsley, R.; Rabinowitz, J.; Medori, R. Time Course for Antipsychotic Treatment Response in First-Episode Schizophrenia. Am. J. Psychiatry 2006, 163, 743–745. [Google Scholar] [CrossRef]
- Gallego, J.A.; Robinson, D.G.; Sevy, S.M.; Napolitano, B.; McCormack, J.; Lesser, M.L.; Kane, J.M. Time to Treatment Response in First-Episode Schizophrenia: Should Acute Treatment Trials Last Several Months? J. Clin. Psychiatry 2011, 72, 1691–1696. [Google Scholar] [CrossRef]
- Skovlund, E. Should the Single-Blind Placebo Responder Exclusion Phase Be Omitted from Clinical Trials? Nord. J. Psychiatry 1994, 48, 159–165. [Google Scholar] [CrossRef]



| SGA 1 | Number of Meta-Analyses | Follow-Up Time Points for the Meta-Analyses, Weeks after Baseline | Number of Studies | Number of Participants | Summary Estimate (SMD 1 [CI95%]) |
|---|---|---|---|---|---|
| Immediate release and transdermal drug delivery | 6 | 1 | 18 | 3068 | −0.20 [−0.28, −0.13] |
| 2 | 19 | 3125 | −0.31 [−0.38, −0.24] | ||
| 3 | 15 | 2508 | −0.42 [−0.50, −0.34] | ||
| 4 | 19 | 3105 | −0.45 [−0.55, −0.34] | ||
| 5 | 11 | 1960 | −0.55 [−0.69, −0.41] | ||
| 6 | 22 | 4097 | −0.53 [−0.62, −0.44] | ||
| Asenapine | 6 | 1 | 2 | 345 | −0.23 [−0.44, −0.02] |
| 2 | 2 | 345 | −0.25 [−0.47, −0.04] | ||
| 3 | 2 | 345 | −0.34 [−0.55, −0.13] | ||
| 4 | 2 | 345 | −0.29 [−0.50, −0.07] | ||
| 5 | 2 | 345 | −0.37 [−0.59, −0.16] | ||
| 6 | 4 | 907 | −0.47 [−0.60, −0.33] | ||
| Asenapine, TDD 1 | 6 | 1 | 1 | 406 | −0.10 [−0.29, 0.09] |
| 2 | 1 | 406 | −0.20 [−0.39, −0.00] | ||
| 3 | 1 | 406 | −0.21 [−0.41, −0.02] | ||
| 4 | 1 | 406 | −0.20 [−0.40, −0.00] | ||
| 5 | 1 | 406 | −0.25 [−0.45, −0.06] | ||
| 6 | 1 | 406 | −0.30 [−0.50, −0.11] | ||
| Olanzapine | 7 | 1 | 9 | 1466 | −0.27 [−0.38, −0.17] |
| 2 | 9 | 1460 | −0.40 [−0.51, −0.30] | ||
| 3 | 9 | 1455 | −0.50 [−0.60, −0.39] | ||
| 4 | 12 | 1839 | −0.52 [−0.65, −0.38] | ||
| 5 | 6 | 919 | −0.70 [−0.84, −0.57] | ||
| 6 | 11 | 1892 | −0.66 [−0.76, −0.57] | ||
| 26 | 1 | 104 | −0.12 [−0.53, 0.29] | ||
| Quetiapine | 6 | 1 | 5 | 745 | −0.08 [−0.23, 0.07] |
| 2 | 5 | 689 | −0.20 [−0.36, −0.05] | ||
| 3 | 3 | 302 | −0.40 [−0.63, −0.17] | ||
| 4 | 2 | 290 | −0.47 [−0.71, −0.24] | ||
| 5 | 2 | 290 | −0.49 [−0.72, −0.25] | ||
| 6 | 5 | 786 | −0.37 [−0.51, −0.22] | ||
| Zotepine | 8 | 1 | 1 | 106 | −0.42 [−0.80, −0.03] |
| 2 | 2 | 225 | −0.35 [−0.61, −0.08] | ||
| 4 | 2 | 225 | −0.30 [−0.56, −0.03] | ||
| 6 | 1 | 106 | −0.77 [−1.17, −0.37] | ||
| 8 | 3 | 304 | −0.50 [−0.73, −0.27] | ||
| 16 | 1 | 119 | −0.40 [−0.76, −0.03] | ||
| 20 | 1 | 119 | −0.43 [−0.80, −0.07] | ||
| 26 | 1 | 119 | −0.46 [−0.83, −0.10] | ||
| Olanzapine, LAI 1 | 8 | 1 | 1 | 196 | −0.23 [−0.51, 0.05] |
| 2 | 1 | 196 | −0.36 [−0.65, −0.08] | ||
| 3 | 1 | 196 | −0.48 [−0.77, −0.20] | ||
| 4 | 1 | 196 | −0.57 [−0.86, −0.29] | ||
| 5 | 1 | 196 | −0.60 [−0.89, −0.32] | ||
| 6 | 1 | 196 | −0.66 [−0.95, −0.38] | ||
| 7 | 1 | 196 | −0.72 [−1.01, −0.43] | ||
| 8 | 1 | 196 | −0.74 [−1.03, −0.45] | ||
| Quetiapine, ER 1 | 6 | 1 | 1 | 236 | −0.24 [−0.50, 0.01] |
| 2 | 1 | 236 | −0.46 [−0.72, −0.20] | ||
| 3 | 1 | 236 | −0.62 [−0.88, −0.36] | ||
| 4 | 1 | 236 | −0.76 [−1.02, −0.49] | ||
| 5 | 1 | 236 | −0.86 [−1.12, −0.59] | ||
| 6 | 3 | 631 | −0.57 [−0.90, −0.25] |
| SGA 1 | Dose Regimens Investigated in Included Studies, mg | Chosen Dose Regimens for Included Studies, mg |
|---|---|---|
| Asenapine, n = 4 [25,26,30,31] | 5 10 20 | 10–20 |
| Asenapine, TDD 1, n = 1 [32] | 3.8 7.6 | 7.6 |
| Olanzapine, n = 18 [31,33,34,35,36,37,38,39,40,41,42,43,44,45,46,47,48,49] | 1 5 2.5; 5; 7.5 (flexible dosing) 10 7.5; 10; 12.5 (flexible dosing) 15 12.5; 15; 17.5 (flexible dosing) 10–20 (flexible dosing) 20 | 10–20 |
| Olanzapine LAI 1, n = 1 [50] | 210/2 weeks 300/2 weeks 405/4 weeks | 300/2 weeks |
| Quetiapine, n = 8 [51,52,53,54,55,56,57,58] | 75 150 Max 250 mg (flexible dosing) 250 300 400 600 750 Max 750 mg (flexible dosing) 600; 800 (flexible dosing) | Max 250–800 |
| Quetiapine ER 1, n = 3 [57,58,59] | 300 400 600 800 | 600–800 |
| Zotepine, n = 3 [60,61,62] | Max 225 (flexible dosing) 300 | Max 225–300 |
Disclaimer/Publisher’s Note: The statements, opinions and data contained in all publications are solely those of the individual author(s) and contributor(s) and not of MDPI and/or the editor(s). MDPI and/or the editor(s) disclaim responsibility for any injury to people or property resulting from any ideas, methods, instructions or products referred to in the content. |
© 2022 by the authors. Licensee MDPI, Basel, Switzerland. This article is an open access article distributed under the terms and conditions of the Creative Commons Attribution (CC BY) license (https://creativecommons.org/licenses/by/4.0/).
Share and Cite
Meyer, R.; Skov, K.; Dhillon, I.K.; Olsson, E.; Graudal, N.A.; Baandrup, L.; Jürgens, G. Onset of Action of Selected Second-Generation Antipsychotics (Pines)–A Systematic Review and Meta-Analyses. Biomedicines 2023, 11, 82. https://doi.org/10.3390/biomedicines11010082
Meyer R, Skov K, Dhillon IK, Olsson E, Graudal NA, Baandrup L, Jürgens G. Onset of Action of Selected Second-Generation Antipsychotics (Pines)–A Systematic Review and Meta-Analyses. Biomedicines. 2023; 11(1):82. https://doi.org/10.3390/biomedicines11010082
Chicago/Turabian StyleMeyer, Rikke, Kenneth Skov, Inderjeet Kaur Dhillon, Emilie Olsson, Niels Albert Graudal, Lone Baandrup, and Gesche Jürgens. 2023. "Onset of Action of Selected Second-Generation Antipsychotics (Pines)–A Systematic Review and Meta-Analyses" Biomedicines 11, no. 1: 82. https://doi.org/10.3390/biomedicines11010082
APA StyleMeyer, R., Skov, K., Dhillon, I. K., Olsson, E., Graudal, N. A., Baandrup, L., & Jürgens, G. (2023). Onset of Action of Selected Second-Generation Antipsychotics (Pines)–A Systematic Review and Meta-Analyses. Biomedicines, 11(1), 82. https://doi.org/10.3390/biomedicines11010082

