Efficacy and Safety of Cabozantinib in Patients with Advanced or Metastatic Renal Cell Carcinoma: A Multicenter Retrospective Cohort Study
Abstract
1. Introduction
2. Materials and Methods
2.1. Patients
2.2. Treatment Schedule of Cabozantinib
2.3. Patient Evaluation
2.4. Safety
2.5. Statistical Analysis
3. Results
3.1. Patients
3.2. Treatment Dose of Cabozantinib
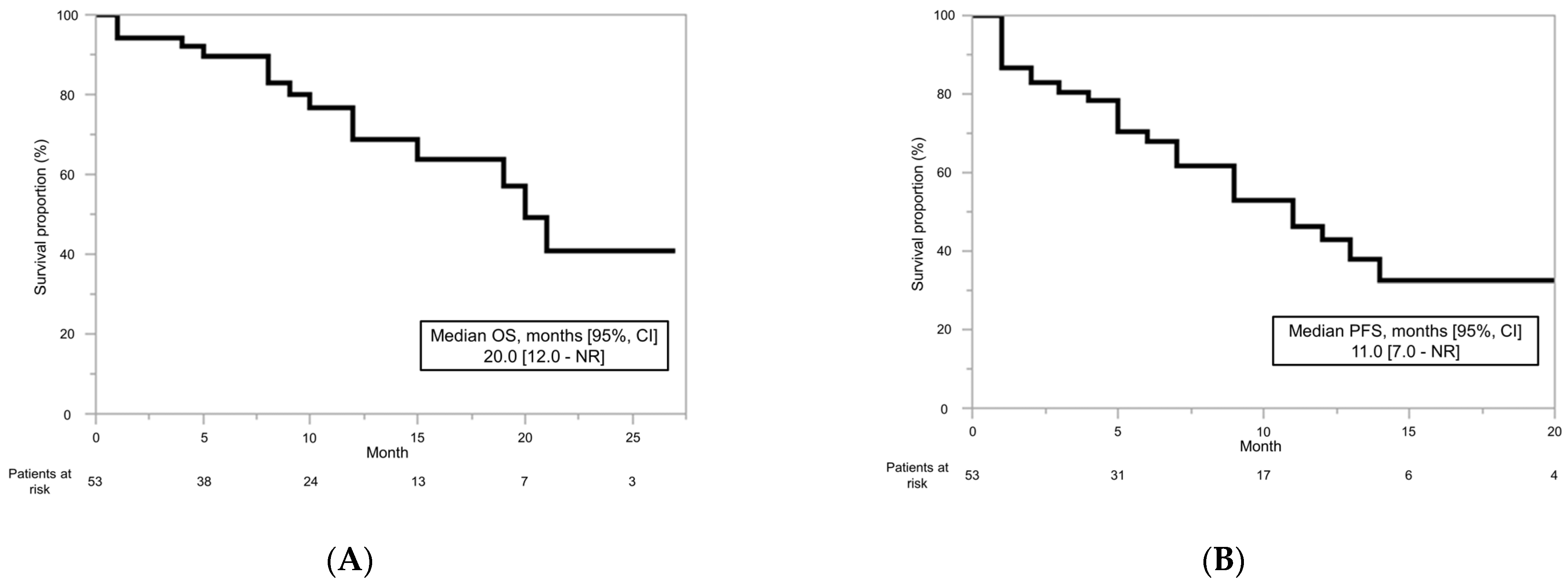
3.3. Efficacy and Oncological Outcomes
3.4. Safety
4. Discussion
5. Conclusions
Author Contributions
Funding
Institutional Review Board Statement
Informed Consent Statement
Data Availability Statement
Acknowledgments
Conflicts of Interest
References
- Cancer Information Service. Cancer Statistics in Japan. Available online: https://ganjoho.jp/reg_stat/statistics/stat/cancer/22_renal.html#anchor1 (accessed on 26 July 2019).
- Padala, S.A.; Barsouk, A.; Thandra, K.C.; Saginala, K.; Mohammed, A.; Vakiti, A.; Rawla, P.; Barsouk, A. Epidemiology of Renal Cell Carcinoma. World J. Oncol. 2020, 11, 79–87. [Google Scholar] [CrossRef] [PubMed]
- Thompson, R.H.; Kuntz, S.M.; Leibovich, B.C.; Dong, H.; Lohse, C.M.; Webster, W.S.; Sengupta, S.; Frank, I.; Parker, A.S.; Zincke, H.; et al. Tumor B7-H1 is associated with poor prognosis in renal cell carcinoma patients with long-term follow-up. Cancer Res. 2006, 66, 3381–3385. [Google Scholar] [CrossRef] [PubMed]
- Motzer, R.J.; Tannir, N.M.; McDermott, D.F.; Aren Frontera, O.; Melichar, B.; Choueiri, T.K.; Plimack, E.R.; Barthélémy, P.; Porta, C.; George, S.; et al. Nivolumab plus Ipilimumab versus Sunitinib in Advanced Renal-Cell Carcinoma. N. Engl. J. Med. 2018, 378, 1277–1290. [Google Scholar] [CrossRef] [PubMed]
- Rini, B.I.; Plimack, E.R.; Stus, V.; Gafanov, R.; Hawkins, R.; Nosov, D.; Pouliot, F.; Alekseev, B.; Soulières, D.; Melichar, B.; et al. Pembrolizumab plus Axitinib versus Sunitinib for Advanced Renal-Cell Carcinoma. N. Engl. J. Med. 2019, 380, 1116–1127. [Google Scholar] [CrossRef]
- Motzer, R.J.; Penkov, K.; Haanen, J.; Rini, B.; Albiges, L.; Campbell, M.T.; Venugopal, B.; Kollmannsberger, C.; Negrier, S.; Uemura, M.; et al. Avelumab plus Axitinib versus Sunitinib for Advanced Renal-Cell Carcinoma. N. Engl. J. Med. 2019, 380, 1103–1115. [Google Scholar] [CrossRef]
- Rini, B.I.; Powles, T.; Atkins, M.B.; Escudier, B.; McDermott, D.F.; Suarez, C.; Bracarda, S.; Stadler, W.M.; Donskov, F.; Lee, J.L.; et al. Atezolizumab plus bevacizumab versus sunitinib in patients with previously untreated metastatic renal cell carcinoma (IMmotion151): A multicentre, open-label, phase 3, randomised controlled trial. Lancet 2019, 393, 2404–2415. [Google Scholar] [CrossRef]
- Choueiri, T.K.; Powles, T.; Burotto, M.; Escudier, B.; Bourlon, M.T.; Zurawski, B.; Juárez, V.M.O.; Hsieh, J.J.; Basso, U.; Shah, A.Y.; et al. Nivolumab plus Cabozantinib versus Sunitinib for Advanced Renal-Cell Carcinoma. N. Engl. J. Med. 2021, 384, 829–841. [Google Scholar] [CrossRef]
- Motzer, R.; Alekseev, B.; Rha, S.-Y.; Porta, C.; Eto, M.; Powles, T.; Grünwald, V.; Hutson, T.E.; Kopyltsov, E.; Méndez-Vidal, M.J.; et al. Lenvatinib plus Pembrolizumab or Everolimus for Advanced Renal Cell Carcinoma. N. Engl. J. Med. 2021, 84, 1289–1300. [Google Scholar] [CrossRef]
- Iinuma, K.; Kameyama, K.; Kawada, K.; Fujimoto, S.; Takagi, K.; Nagai, S.; Ito, H.; Ishida, T.; Kawase, M.; Kawase, K.; et al. Efficacy and Safety of Nivolumab and Ipilimumab for Advanced or Metastatic Renal Cell Carcinoma: A Multicenter Retrospective Cohort Study. Curr. Oncol. 2021, 28, 20133. [Google Scholar] [CrossRef]
- Iinuma, K.; Enomoto, T.; Kawada, K.; Fujimoto, S.; Ishida, T.; Takagi, K.; Nagai, S.; Ito, H.; Kawase, M.; Nakai, C.; et al. Utility of Neutrophil-to-Lymphocyte Ratio, Platelet-to-Lymphocyte Ratio, and Systemic Immune Inflammation Index as Prognostic, Predictive Biomarkers in Patients with Metastatic Renal Cell Carcinoma Treated with Nivolumab and Ipilimumab. J. Clin. Med. 2021, 10, 5325. [Google Scholar] [CrossRef]
- Iinuma, K.; Kameyama, K.; Taniguchi, T.; Kawada, K.; Ishida, T.; Takagi, K.; Nagai, S.; Enomoto, T.; Tomioka, M.; Kawase, M.; et al. Effectiveness and Safety of Molecular-Targeted Therapy after Nivolumab Plus Ipilimumab for Advanced or Metastatic Renal Cell Carcinoma: A Multicenter, Retrospective Cohort Study. Cancers 2022, 14, 4579. [Google Scholar] [CrossRef]
- Inamura, K. Renal Cell Tumors: Understanding Their Molecular Pathological Epidemiology and the 2016 WHO Classification. Int. J. Mol. Sci. 2017, 18, 2195. [Google Scholar] [CrossRef] [PubMed]
- Medina-Rico, M.; Ramos, H.L.; Lobo, M.; Romo, J.; Prada, J.G. Epidemiology of renal cancer in developing countries: Review of the literature. Can. Urol. Assoc. J. 2018, 12, E154–E162. [Google Scholar] [CrossRef]
- Na, X.; Wu, G.; Ryan, C.K.; Schoen, S.R.; di’Santagnese, P.A.; Messing, E.M. Overproduction of vascular endothelial growth factor related to von Hippel-Lindau tumor suppressor gene mutations and hypoxia-inducible factor-1 alpha expression in renal cell carcinomas. J. Urol. 2003, 177, 588–592. [Google Scholar] [CrossRef] [PubMed]
- Sennino, B.; McDonald, D.M. Controlling escape from angiogenesis inhibitors. Nat. Rev. Cancer 2012, 12, 699–709. [Google Scholar] [CrossRef] [PubMed]
- Yakes, F.M.; Chen, J.; Tan, J.; Yamaguchi, K.; Shi, Y.; Yu, P.; Qian, F.; Chu, F.; Bentzien, F.; Cancilla, B.; et al. Cabozantinib (XL184), a novel MET and VEGFR2 inhibitor, simultaneously suppresses metastasis, angiogenesis, and tumor growth. Mol. Cancer Ther. 2011, 10, 2298–2308. [Google Scholar] [CrossRef] [PubMed]
- Choueiri, T.K.; Escudier, B.; Powles, T.; Mainwaring, P.N.; Rini, B.I.; Donskov, F.; Hammers, H.; Hutson, T.E.; Lee, J.L.; Peltola, K.; et al. Cabozantinib versus Everolimus in Advanced Renal-Cell Carcinoma. N. Engl. J. Med. 2015, 373, 1814–1823. [Google Scholar] [CrossRef]
- Choueiri, T.K.; Escudier, B.; Powles, T.; Tannir, N.M.; Mainwaring, P.N.; Rini, B.I.; Hammers, H.J.; Donskov, F.; Roth, B.J.; Peltola, K.; et al. Cabozantinib versus everolimus in advanced renal cell carcinoma (METEOR): Final results from a randomised, open-label, phase 3 trial. Lancet Oncol. 2016, 17, 917–927. [Google Scholar] [CrossRef]
- Choueiri, T.K.; Halabi, S.; Sanford, B.L.; Hahn, O.; Michaelson, M.D.; Walsh, M.K.; Feldman, D.R.; Olencki, T.; Picus, J.; Small, E.J.; et al. Cabozantinib Versus Sunitinib as Initial Targeted Therapy for Patients with Metastatic Renal Cell Carcinoma of Poor or Intermediate Risk: The Alliance A031203 CABOSUN Trial. J. Clin. Oncol. 2017, 35, 591–597. [Google Scholar] [CrossRef]
- Tomita, Y.; Tatsugami, K.; Nakaigawa, N.; Osawa, T.; Oya, M.; Kanayama, H.; Nakayama Kondoh, C.; Sassa, N.; Nishimura, K.; Nozawa, M.; et al. Cabozantinib in advanced renal cell carcinoma: A phase II, open-label, single-arm study of Japanese patients. Int. J. Urol. 2020, 27, 952–959. [Google Scholar] [CrossRef]
- Heng, D.Y.; Xie, W.; Regan, M.M.; Harshman, L.C.; Bjarnason, G.A.; Vaishampayan, U.N.; Mackenzie, M.; Wood, L.; Donskov, F.; Tan, M.H.; et al. External validation and comparison with other models of the International Metastatic Renal-Cell Carcinoma Database Consortium prognostic model: A population-based study. Lancet Oncol. 2013, 14, 141–148. [Google Scholar] [CrossRef]
- Oken, M.M.; Creech, R.H.; Tormey, D.C.; Horton, J.; Davis, T.E.; McFadden, E.T.; Carbone, P.P. Toxicity and response criteria of the Eastern Cooperative Oncology Group. Am. J. Clin. Oncol. 1982, 5, 649–655. [Google Scholar] [CrossRef] [PubMed]
- Edge, S.B.; Compton, C.C. The American Joint Committee on Cancer: The 7th edition of the AJCC cancer staging manual and the future of TNM. Ann. Surg. Oncol. 2010, 17, 1471–1474. [Google Scholar] [CrossRef] [PubMed]
- Eisenhauer, E.A.; Therasse, P.; Bogaerts, J.; Schwartz, L.H.; Sargent, D.; Ford, R.; Dancey, J.; Arbuck, S.; Gwyther, S.; Mooney, M.; et al. New response evaluation criteria in solid tumours: Revised RECIST guideline (version 1.1). Eur. J. Cancer 2009, 45, 1128–1147. [Google Scholar] [CrossRef] [PubMed]
- Common Terminology Criteria for Adverse Events (CTCAE) v5.0. Available via DIALOG. Available online: https://ctep.cancer.gov/protocolDevelopment/electronic_applications/docs/CTCAE_v5_Quick_Reference_8.5x11.pdf (accessed on 27 November 2017).
- Perkins, N.J.; Schisterman, E.F. The inconsistency of “optimal” cutpoints obtained using two criteria based on the receiver operating characteristic curve. Am. J. Epidemiol. 2006, 163, 670–675. [Google Scholar] [CrossRef]
- Albiges, L.; Fléchon, A.; Chevreau, C.; Topart, D.; Gravis, G.; Oudard, S.; Tourani, J.M.; Geoffrois, L.; Meriaux, E.; Thiery-Vuillemin, A. Real-world evidence of cabozantinib in patients with metastatic renal cell carcinoma: Results from the CABOREAL Early Access Program. Eur. J. Cancer 2021, 142, 102–111. [Google Scholar] [CrossRef]
- Tomonari, T.; Tani, J.; Ogawa, C.; Deguchi, A.; Senoh, T.; Moriya, A.; Shibata, H.; Fukuno, H.; Tanaka, H.; Tanaka, T.; et al. Multicenter retrospective study of initial treatment outcome and feasibility of initiating dose reduction of cabozantinib in unresectable hepatocellular carcinoma. Hepatol. Res. 2022; online ahead of print. [Google Scholar]
- Gan, C.L.; Dudani, S.; Wells, J.C.; Donskov, F.; Pal, S.K.; Dizman, N.; Rathi, N.; Beuselinck, B.; Yan, F.; Lalani, A.A.; et al. Cabozantinib real-world effectiveness in the first-through fourth-line settings for the treatment of metastatic renal cell carcinoma: Results from the International Metastatic Renal Cell Carcinoma Database Consortium. Cancer Med. 2021, 10, 1212–1221. [Google Scholar] [CrossRef]
- Dai, J.; Tang, K.; Xiao, W.; Yu, G.; Zeng, J.; Li, W.; Zhang, Y.Q.; Xu, H.; Chen, Z.Q.; Ye, Z.Q. Prognostic significance of C-reactive protein in urological cancers: A systematic review and meta-analysis. Asian Pac. J. Cancer Prev. 2014, 15, 3369–3375. [Google Scholar] [CrossRef]
- Zhou, L.; Cai, X.; Liu, Q.; Jian, Z.Y.; Li, H.; Wang, K.J. Prognostic Role of C-Reactive Protein In Urological Cancers: A Meta-Analysis. Sci. Rep. 2015, 5, 12733. [Google Scholar] [CrossRef]
- Wang, Z.; Peng, S.; Wang, A.; Xie, H.; Guo, L.; Jiang, N.; Niu, Y. C-reactive protein is a predictor of prognosis in renal cell carcinoma patients receiving tyrosine kinase inhibitors: A meta-analysis. Clin. Chim. Acta 2017, 475, 178–187. [Google Scholar] [CrossRef]
- Saito, K.; Kihara, K. Role of C-reactive protein in urological cancers: A useful biomarker for predicting outcomes. Int. J. Urol. 2013, 20, 161–171. [Google Scholar] [CrossRef] [PubMed]
- Beuselinck, B.; Vano, Y.A.; Oudard, S.; Wolter, P.; De Smet, R.; Depoorter, L.; Teghom, C.; Karadimou, A.; Zucman-Rossi, J.; Debruyne, P.R.; et al. Prognostic impact of baseline serum C-reactive protein in patients with metastatic renal cell carcinoma (RCC) treated with sunitinib. BJU Int. 2014, 114, 81–89. [Google Scholar] [CrossRef] [PubMed]
- Ishiyama, Y.; Kondo, T.; Ishihara, H.; Yoshida, K.; Iizuka, J.; Tanabe, K.; Takagi, T. C-reactive protein kinetics to predict recurrence of high-risk renal cell carcinoma after radical surgery. Int. J. Clin. Oncol. 2022, 27, 969–976. [Google Scholar] [CrossRef]
- Saito, K.; Tatokoro, M.; Fujii, Y.; Iimura, Y.; Koga, F.; Kawakami, S.; Kihara, K. Impact of C-reactive protein kinetics on survival of patients with metastatic renal cell carcinoma. Eur. Urol. 2009, 55, 1145–1153. [Google Scholar] [CrossRef] [PubMed]
- Teishima, J.; Ohara, S.; Shinmei, S.; Inoue, S.; Hayashi, T.; Mochizuki, H.; Mita, K.; Shigeta, M.; Matsubara, A. Normalization of C-reactive protein levels following cytoreductive nephrectomy in patients with metastatic renal cell carcinoma treated with tyrosine kinase inhibitors is associated with improved overall survival. Urol Oncol. 2018, 36, 339. [Google Scholar] [CrossRef]
- Ishihara, H.; Takagi, T.; Kondo, T.; Fukuda, H.; Tachibana, H.; Yoshida, K.; Iizuka, J.; Okumi, M.; Ishida, H.; Tanabe, K. Predictive impact of an early change in serum C-reactive protein levels in nivolumab therapy for metastatic renal cell carcinoma. Urol. Oncol. 2020, 38, 526–532. [Google Scholar] [CrossRef]
- Lacquaniti, A.; Chirico, V.; Lupica, R.; Buemi, A.; Loddo, S.; Caccamo, C.; Salis, P.; Bertani, T.; Buemi, M. Apelin and copeptin: Two opposite biomarkers associated with kidney function decline and cyst growth in autosomal dominant polycystic kidney disease. Peptides 2013, 49, 1–8. [Google Scholar] [CrossRef]
- Lacquaniti, A.; Altavilla, G.; Picone, A.; Donato, V.; Chirico, V.; Mondello, P.; Aloisi, C.; Marabello, G.; Loddo, S.; Buemi, A.; et al. Apelin beyond kidney failure and hyponatremia: A useful biomarker for cancer disease progression evaluation. Clin. Exp. Med. 2015, 15, 97–105. [Google Scholar] [CrossRef]


| Covariates | |
|---|---|
| Age (year, median, interquartile range) | 72.0 (67.0–78.5) |
| Gender (number, %) | |
| Male | 44 (83.0) |
| Female | 9 (17.0) |
| The Eastern Cooperative Oncology Group performance status (number, %) | |
| 0 | 18 (34.0) |
| 1 | 17 (32.1) |
| 2 | 9 (17.0) |
| 3 | 8 (15.0) |
| 4 | 1 (1.9) |
| Primary IMDC risk classification (number, %) | |
| Favorable | 12 (22.6) |
| Intermediate-risk | 17 (51.0) |
| Poor-risk | 14 (26.4) |
| Histology | |
| Clear cell renal cell carcinoma | 31 (58.5) |
| Papillary renal cell carcinoma | 7 (13.2) |
| Xp11.2 translocation carcinomas | 1 (1.9) |
| Fumarate hydratase-deficient renal cell carcinoma | 1 (1.9) |
| Unknown | 13 (24.5) |
| C-reactive protein (mg/dL, median, interquartile range) | 0.55 (0.14–3.63) |
| The patients who underwent surgery before administration of cabozantinib (number, %) | 37 (69.8) |
| Number of treatment regimens before administration of cabozantinib (number, %) | |
| 0 | 8 (15.1) |
| 1 | 16 (30.2) |
| 2 | 9 (17.0) |
| 3 | 8 (15.1) |
| ≥4 | 12 (22.6) |
| Number of prior tyrosine kinase inhibitor agents before administration of cabozantinib (number, %) | |
| 0 | 22 (41.5) |
| 1 | 11 (20.8) |
| ≥2 | 20 (37.7) |
| Prior therapy with anti-PD1, anti-CTLA4, and anti-PD-L1 agents before administration of cabozantinib (number, %) | |
| Nivolumab | 32 (60.4) |
| Ipilimumab | 16 (30.2) |
| Pembrolizumab | 2 (3.8) |
| Avelumab | 1 (1.9) |
| Number of metastatic sites | |
| 1 | 17 (32.1) |
| 2 | 19 (35.8) |
| 3 | 7 (13.2) |
| ≥4 | 10 (18.9) |
| Total number of metastatic sites (number, %) | |
| Lung | 38 (71.7) |
| Lymph node | 23 (43.4) |
| Bone | 16 (30.2) |
| Liver | 8 (15.1) |
| Adrenal gland | 7 (13.2) |
| Pancreas | 6 (11.3) |
| Others | 14 (26.4) |
| Total (n = 53) | |
|---|---|
| Objective response rate (CR + PR, number, %) | 21 (39.6) |
| Disease control rate (CR + PR + SD, number, %) | 44 (83.0) |
| Best overall response (number, %) | |
| CR | 0 |
| PR | 21 (39.6) |
| SD | 23 (43.4) |
| PD | 9 (17.0) |
| Univariate Analysis | Multivariate Analysis | ||||||
|---|---|---|---|---|---|---|---|
| n | HR | 95% CI | p | HR | 95% CI | p | |
| Age | |||||||
| <72 years | 24 | 1 (ref.) | - | - | 1 (ref.) | - | - |
| ≥72 years | 29 | 0.81 | 0.27–2.40 | 0.71 | 1.24 | 0.29–5.40 | 0.77 |
| Gender | |||||||
| Male | 44 | 1 (ref.) | - | - | 1 (ref.) | - | - |
| Female | 9 | 0.26 | 0.05–1.40 | 0.12 | 0.42 | 0.04–4.28 | 0.47 |
| International Metastatic Renal Cell Carcinoma Database Consortium | |||||||
| Favorable risk | 12 | 1 (ref.) | - | - | 1 (ref.) | - | - |
| Intermediate risk | 27 | 3.40 | 0.15–4.24 | 0.09 | 7.98 | 1.0–63.9 | 0.051 |
| Poor risk | 14 | 0.79 | 0.15–4.24 | 0.79 | 2.96 | 0.32–27.1 | 0.34 |
| Prior tyrosine kinase inhibitor agents | |||||||
| ≤1 | 33 | 1 (ref.) | - | - | 1 (ref.) | - | - |
| ≥2 | 20 | 6.90 | 1.97–24.2 | 0.003 | 10.4 | 1.96–54.8 | 0.006 |
| C-reactive protein | |||||||
| <1.27 mg/dL | 33 | 1 (ref.) | - | - | 1 (ref.) | - | - |
| ≥1.27 mg/dL | 20 | 6.90 | 1.97–24.2 | 0.003 | 11.4 | 2.26–57.5 | 0.003 |
| Event | All Grades (n, %) | Grades 3–4 (n, %) |
|---|---|---|
| Any events | 42 (79.2) | 10 (18.9) |
| Diarrhea | 14 (26.4) | 2 (3.8) |
| Hepatobiliary disorders | 12 (22.6) | 1 (1.9) |
| Hypertension | 11 (20.8) | 1 (1.9) |
| Palmar–plantar erythrodysesthesia syndrome | 9 (17.0) | 3 |
| Hypothyroidism | 9 (17.0) | 0 |
| Anemia | 3 (5.7) | 1 (1.9) |
| Creatinine increased | 3 (5.7) | 1 (1.9) |
| Proteinuria | 3 (5.7) | 1 (1.9) |
| Dysgeusia | 2 (3.8) | 0 |
| Hoarseness | 2 (3.8) | 0 |
| Erythema multiforme | 2 (3.8) | 0 |
| Rectal ulcer | 1 (1.9) | 1 (1.9) |
| Peripheral sensory neuropathy | 1 (1.9) | 0 |
| Anorexia | 1 (1.9) | 0 |
| Periodontal disease | 1 (1.9) | 0 |
Publisher’s Note: MDPI stays neutral with regard to jurisdictional claims in published maps and institutional affiliations. |
© 2022 by the authors. Licensee MDPI, Basel, Switzerland. This article is an open access article distributed under the terms and conditions of the Creative Commons Attribution (CC BY) license (https://creativecommons.org/licenses/by/4.0/).
Share and Cite
Iinuma, K.; Tomioka-Inagawa, R.; Kameyama, K.; Taniguchi, T.; Kawada, K.; Ishida, T.; Nagai, S.; Enomoto, T.; Ueda, S.; Kawase, M.; et al. Efficacy and Safety of Cabozantinib in Patients with Advanced or Metastatic Renal Cell Carcinoma: A Multicenter Retrospective Cohort Study. Biomedicines 2022, 10, 3172. https://doi.org/10.3390/biomedicines10123172
Iinuma K, Tomioka-Inagawa R, Kameyama K, Taniguchi T, Kawada K, Ishida T, Nagai S, Enomoto T, Ueda S, Kawase M, et al. Efficacy and Safety of Cabozantinib in Patients with Advanced or Metastatic Renal Cell Carcinoma: A Multicenter Retrospective Cohort Study. Biomedicines. 2022; 10(12):3172. https://doi.org/10.3390/biomedicines10123172
Chicago/Turabian StyleIinuma, Koji, Risa Tomioka-Inagawa, Koji Kameyama, Tomoki Taniguchi, Kei Kawada, Takashi Ishida, Shingo Nagai, Torai Enomoto, Shota Ueda, Makoto Kawase, and et al. 2022. "Efficacy and Safety of Cabozantinib in Patients with Advanced or Metastatic Renal Cell Carcinoma: A Multicenter Retrospective Cohort Study" Biomedicines 10, no. 12: 3172. https://doi.org/10.3390/biomedicines10123172
APA StyleIinuma, K., Tomioka-Inagawa, R., Kameyama, K., Taniguchi, T., Kawada, K., Ishida, T., Nagai, S., Enomoto, T., Ueda, S., Kawase, M., Takeuchi, S., Kawase, K., Kato, D., Takai, M., Nakane, K., & Koie, T. (2022). Efficacy and Safety of Cabozantinib in Patients with Advanced or Metastatic Renal Cell Carcinoma: A Multicenter Retrospective Cohort Study. Biomedicines, 10(12), 3172. https://doi.org/10.3390/biomedicines10123172

