Effects of Forest Trail and Ground Walking on Mental and Physical Health Promotion in Middle-Aged Women Living in Urban Areas
Abstract
1. Introduction
2. Materials and Methods
2.1. Study Area
2.2. Participants
2.3. Methods
2.3.1. Methods of Measurement
2.3.2. Mental Health Measurement
2.3.3. Physical Health Measurement
2.4. Analysis
3. Results and Discussion
3.1. EEG Results
3.1.1. Pre- and Post-Walking EEG Changes
3.1.2. EEG Changes by Electrode Site
3.2. Heart Rate Results
3.2.1. Heart Rate Statistical Analysis
3.2.2. Exercise Intensity Analysis
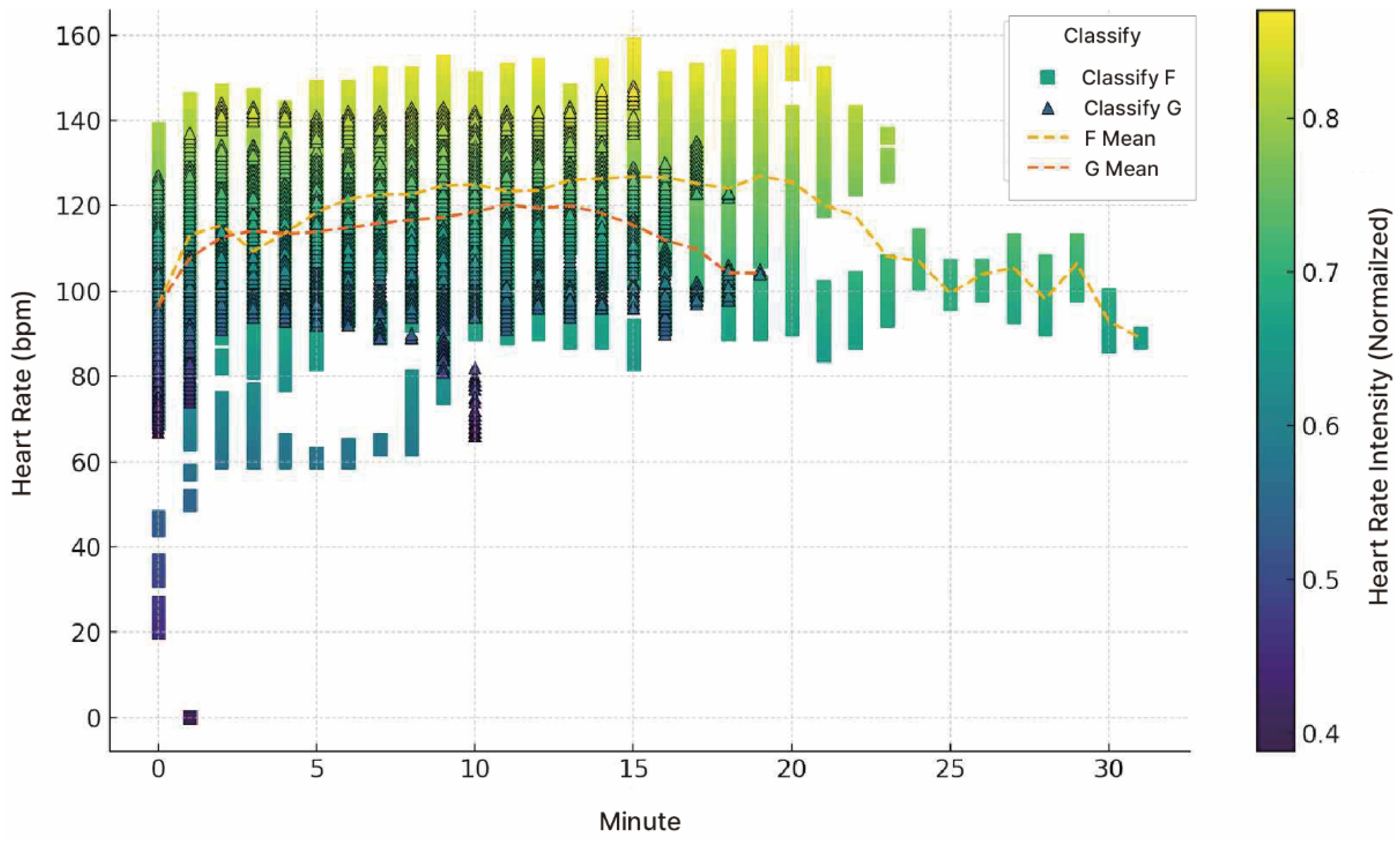
3.2.3. Time-Series Analysis of Heart Rate Changes
3.3. Discussion
4. Conclusions
Author Contributions
Funding
Institutional Review Board Statement
Informed Consent Statement
Data Availability Statement
Conflicts of Interest
References
- World Health Organization (WHO). Global Status Report on Physical Activity 2022; WHO: Geneva, Switzerland, 2022; Available online: https://www.who.int/teams/health-promotion/physical-activity/global-status-report-on-physical-activity-2022 (accessed on 14 September 2025).
- Nejade, R.M.; Grace, D.; Bowman, L.R. What is the impact of nature on human health? A scoping review of the literature. J. Glob. Health 2022, 12, 04099. [Google Scholar] [CrossRef]
- Frumkin, H. Beyond toxicity: Human health and the natural environment. Am. J. Prev. Med. 2001, 20, 234–240. [Google Scholar] [CrossRef] [PubMed]
- Thompson, C.W. Linking landscape and health: The recurring theme. Landsc. Urban Plan. 2011, 99, 187–195. [Google Scholar] [CrossRef]
- Yugo, T.; Lee, J. Psychological relaxation induced by brief exposure to forest environments. J. Environ. Psychol. 2013, 33, 37–45. [Google Scholar] [CrossRef]
- Nguyen, P.Y.; Astell-Burt, T.; Rahimi-Eichi, V.; Feng, X. Effect of Nature Prescriptions on Cardiometabolic and Mental Health: A Systematic Review. Lancet Planet. Health 2023, 7, e517–e531. [Google Scholar] [CrossRef]
- Ma, J.; Lin, P.; Williams, J. Effectiveness of Nature-Based Walking Interventions in Improving Mental Health in Adults: A Systematic Review. Curr. Psychol. 2024, 43, 9521–9539. [Google Scholar] [CrossRef]
- Rogerson, M.; Gladwell, V.F.; Gallagher, D.J.; Barton, J.L. Influences of green outdoors versus indoors environmental settings on psychological and social outcomes of controlled exercise. Int. J. Environ. Res. Public Health 2016, 13, 363. [Google Scholar] [CrossRef]
- Duncan, M.J.; Clarke, N.D.; Birch, S.L.; Tallis, J.; Hankey, J.; Bryant, E.; Eyre, E.L.J. The effect of green exercise on blood pressure, heart rate and mood state in primary school children. Int. J. Environ. Res. Public Health 2014, 11, 3678–3688. [Google Scholar] [CrossRef] [PubMed]
- Payne, M.; Delphinus, E. A review of the current evidence for the health benefits derived from forest bathing. Int. J. Health Wellness Soc. 2018, 9, 19–30. [Google Scholar] [CrossRef]
- Yu, C.P.; Lin, C.M.; Tsai, M.J.; Tsai, Y.C.; Chen, C.Y. Effects of short forest bathing program on autonomic nervous system activity and mood states in middle-aged and elderly individuals. Int. J. Environ. Res. Public Health 2017, 14, 897. [Google Scholar] [CrossRef]
- Berman, M.G.; Kross, E.; Krpan, K.M.; Askren, M.K.; Burson, A.; Deldin, P.J.; Kaplan, S.; Sherdell, L.; Gotlib, I.H.; Jonides, J. Interacting with nature improves cognition and affect for individuals with depression. J. Affect. Disord. 2012, 140, 300–305. [Google Scholar] [CrossRef]
- Ulrich, R.S.; Simons, R.F.; Losito, B.D.; Fiorito, E.; Miles, M.A.; Zelson, M. Stress recovery during exposure to natural and urban environments. J. Environ. Psychol. 1991, 11, 201–230. [Google Scholar] [CrossRef]
- Harper, C.L.; Snowden, M. Environment and Society: Human Perspectives on Environmental Issues, 6th ed.; Routledge: New York, NY, USA, 2017; pp. 17–76. [Google Scholar] [CrossRef]
- O’Brien, L.; Forster, J. Engaging with nature and health: The need for more quantitative evidence. Urban For. Urban Green. 2020, 54, 126770. [Google Scholar] [CrossRef]
- Tabunen, T. Systematic approaches for assessing the health benefits of nature. Environ. Health Perspect. 2011, 119, A286–A287. [Google Scholar] [CrossRef]
- Tourism Research Australia. Domestic Market Segments: Profiles of Potential Domestic Overnight Visitors; Australian Government: Canberra, Australia, 2009. Available online: https://www.tra.gov.au (accessed on 14 September 2025).
- Torres, E.P.; Torres, E.A.; Hernández-Álvarez, M.; Yoo, S.G. EEG-based BCI emotion recognition: A survey. Sensors 2020, 20, 5083. [Google Scholar] [CrossRef]
- Ahtiainen, J.P.; Peltonen, H.; Alen, M.; Kraemer, W.J.; Häkkinen, K. Heart Rate Monitoring: Applications and Limitations. Sports Med. 2003, 33, 517–538. [Google Scholar] [CrossRef]
- Colabianchi, N.; Dowda, M.; Pfeiffer, K.A.; Porter, D.E.; Almeida, M.J.; Pate, R.R. Towards an understanding of salient neighborhood boundaries: Adolescent reports of an easy walking distance and convenient driving distance. Int. J. Behav. Nutr. Phys. Act. 2011, 8, 86. [Google Scholar] [CrossRef] [PubMed]
- Colabianchi, N.; Maslow, A.L.; Swayampakala, K.; Goble, P. Features and amenities of school playgrounds: A direct observation study of utilization and physical activity levels outside of school time. Int. J. Behav. Nutr. Phys. Act. 2011, 8, 32. [Google Scholar] [CrossRef]
- Dyment, J.E.; Bell, A.C. Grounds for movement: Green school grounds as sites for promoting physical activity. Health Educ. Res. 2007, 23, 952–962. [Google Scholar] [CrossRef] [PubMed]
- Lee, Y.-Y.; Hsieh, S. Classifying Different Emotional States by Means of EEG-Based Functional Connectivity Patterns. PLoS ONE 2014, 9, e95415. [Google Scholar] [CrossRef] [PubMed]
- Song, C.; Ikei, H.; Igarashi, M.; Miwa, M.; Takagaki, M.; Miyazaki, Y. Physiological and psychological responses of young males during spring-time walks in urban parks. J. Physiol. Anthropol. 2014, 33, 8. [Google Scholar] [CrossRef] [PubMed]
- Mikus, C.R.; Earnest, C.P.; Blair, S.N.; Church, T.S. Heart Rate and Exercise Intensity during Training: The DREW Study Observations. Br. J. Sports Med. 2009, 43, 750–755. [Google Scholar] [CrossRef] [PubMed]
- Kim, Y.H.; Lee, J.S.; Choi, Y. Effects of forest walking on cardiovascular responses: A comparison with urban walking in middle-aged women. Int. J. Environ. Res. Public Health 2021, 18, 11902. [Google Scholar] [CrossRef]
- Yang, S.; Jeong, S.; Kim, S.; Kang, S. Effects of a Walking Exercise-Focused Health Promotion Intervention on Middle-Aged Women. Int. J. Environ. Res. Public Health 2022, 19, 14947. [Google Scholar] [CrossRef]
- Lee, J.; Park, B.J.; Tsunetsugu, Y.; Kagawa, T.; Miyazaki, Y. Restorative effects of viewing real forest landscapes, based on a comparison with urban landscapes. Scand. J. For. Res. 2009, 24, 227–234. [Google Scholar] [CrossRef]
- Barry, R.J.; Clarke, A.R.; Johnstone, S.J.; Magee, C.A.; Rushby, J.A. EEG differences between eyes-closed and eyes-open resting conditions. Clin. Neurophysiol. 2007, 118, 2765–2773. [Google Scholar] [CrossRef]
- Herrmann, C.S.; Munk, M.H.J.; Engel, A.K. Cognitive functions of gamma-band activity: Memory match and utilization. Trends Cogn. Sci. 2004, 8, 347–355. [Google Scholar] [CrossRef]
- Berman, M.G.; Jonides, J.; Kaplan, S. The cognitive benefits of interacting with nature. Psychol. Sci. 2008, 19, 1207–1212. [Google Scholar] [CrossRef]
- Homan, R.W.; Herman, J.; Purdy, P. Cerebral location of international 10–20 system electrode placement. Electroencephalogr. Clin. Neurophysiol. 1987, 66, 376–382. [Google Scholar] [CrossRef]
- Schaefer, R.S.; Farquhar, J.; Blokland, Y.; Sadakata, M.; Desain, P. Name that tune: Decoding music from the listening brain. NeuroImage 2011, 56, 843–849. [Google Scholar] [CrossRef]
- Gonzalez, C.L.R.; Ganel, T.; Whitwell, R.L.; Morrissey, B.; Goodale, M.A. Practice makes perfect, but only with the right hand: Sensitivity to perceptual illusions with awkward grasps decreases over time in the right but not the left hand. Neuropsychologia 2008, 46, 624–631. [Google Scholar] [CrossRef]
- Huster, R.J.; Debener, S.; Eichele, T.; Herrmann, C.S. Methods for simultaneous EEG-fMRI: An updated review. Front. Hum. Neurosci. 2017, 11, 615. [Google Scholar] [CrossRef]
- Oathes, D.J.; Bruce, J.M.; Nitschke, J.B. Worry facilitates cortico-cortical synchrony during elaborative emotional processing: A functional magnetic resonance imaging and electroencephalography study. NeuroImage 2008, 40, 566–578. [Google Scholar] [CrossRef]
- Hartig, T.; Evans, G.W.; Jamner, L.D.; Davis, D.S.; Garling, T. Tracking restoration in natural and urban field settings. J. Environ. Psychol. 2003, 23, 109–123. [Google Scholar] [CrossRef]
- Benton, M.J.; Swan, P.D.; Wagner, C.L. Walking uphill versus downhill: Effects on energy expenditure and exercise intensity in midlife adults. J. Strength Cond. Res. 2020, 34, 1432–1437. [Google Scholar] [CrossRef]
- Pretty, J.; Peacock, J.; Sellens, M.; Griffin, M. The mental and physical health outcomes of green exercise. Int. J. Environ. Health Res. 2005, 15, 319–337. [Google Scholar] [CrossRef]
- Davidson, R.J. Well-being and affective style: Neural substrates and biobehavioral correlates. Philos. Trans. R. Soc. B Biol. Sci. 2004, 359, 1395–1411. [Google Scholar] [CrossRef] [PubMed]
- Kim, J.; Kim, M.; Jang, M.; Lee, J. The effect of Juingong meditation on the theta-to-alpha ratio in the temporoparietal and anterior frontal EEG recordings. Int. J. Environ. Res. Public Health 2022, 19, 1721. [Google Scholar] [CrossRef]
- Shookster, D.; Lindsey, B.; Cortes, N.; Martin, J.R. Accuracy of commonly used age-predicted maximal heart rate equations. Int. J. Exerc. Sci. 2020, 13, 1242–1250. [Google Scholar] [CrossRef]







| Study Site | Green | ||
|---|---|---|---|
| Green | Null | ||
| Slope | Uphill | GU | NU |
| Flat | GF | NF | |
| Category | Age | Physical Activity Status (Days/Week) | Mental Health Status (Days/2 Weeks) | |||||||
|---|---|---|---|---|---|---|---|---|---|---|
| Frequency of Physical Activity ≥ 10 min | Moderate-Intensity Exercise | Vigorous-Intensity Exercise | Resistance Training | Flexibility Training | Perceived Stress Level | Perceived Chest Tightness | Headache Severity | Anger Level | ||
| Mean | 51.2 | 5.2 | 2.1 | 1.7 | 0.37 | 1.9 | 3.3 | 1.3 | 1.27 | 2 |
| SD | 3.20 | 1.97 | 2.15 | 2.20 | 0.81 | 1.63 | 2.07 | 1.71 | 1.60 | 1.95 |
| Site | Episode 1–2 (Ground) | Episode 3–4 (Forest Trail) | Physiological Impact |
|---|---|---|---|
| TP9 | Delta and Alpha waves decreased or showed no change | Alpha and Theta waves increased | Sensitive to emotional responses |
| Increased responsiveness to forest trails | |||
| AF7 | Increased responsiveness to forest trails | Increase in Alpha, Theta, Gamma waves | Enhanced responsiveness to emotional and auditory stimuli |
| AF8 | Slight decrease in Alpha, Theta waves | Increase in Alpha, Theta waves | Promotes attention recovery and relaxation |
| TP10 | Slight decrease in Alpha, Theta waves | Increase in Alpha, Theta waves | Promotes attention recovery and emotional stability responses |
| Category | Sample | Mean HR (bpm) | SD | Var |
|---|---|---|---|---|
| Before (B) | 30 | 73.78 | 7.45 | 55.44 |
| Ground (G) | 30 | 114.78 | 9.68 | 93.72 |
| Forest trail (F) | 30 | 120.69 | 11.12 | 123.64 |
| Category | Mean HR (bpm) | % of HRmax | Exercise Intensity |
|---|---|---|---|
| Before (B) | 73.78 | 43.4 | Resting Level (<50%) |
| Ground (G) | 114.78 | 67.5 | Moderate Intensity (60~70%) |
| Forest trail (F) | 120.69 | 71.0 | High-Intensity (70~85%) |
Disclaimer/Publisher’s Note: The statements, opinions and data contained in all publications are solely those of the individual author(s) and contributor(s) and not of MDPI and/or the editor(s). MDPI and/or the editor(s) disclaim responsibility for any injury to people or property resulting from any ideas, methods, instructions or products referred to in the content. |
© 2025 by the authors. Licensee MDPI, Basel, Switzerland. This article is an open access article distributed under the terms and conditions of the Creative Commons Attribution (CC BY) license (https://creativecommons.org/licenses/by/4.0/).
Share and Cite
Nam, E.; Jeon, S. Effects of Forest Trail and Ground Walking on Mental and Physical Health Promotion in Middle-Aged Women Living in Urban Areas. Healthcare 2025, 13, 2876. https://doi.org/10.3390/healthcare13222876
Nam E, Jeon S. Effects of Forest Trail and Ground Walking on Mental and Physical Health Promotion in Middle-Aged Women Living in Urban Areas. Healthcare. 2025; 13(22):2876. https://doi.org/10.3390/healthcare13222876
Chicago/Turabian StyleNam, Eunheui, and Seongwoo Jeon. 2025. "Effects of Forest Trail and Ground Walking on Mental and Physical Health Promotion in Middle-Aged Women Living in Urban Areas" Healthcare 13, no. 22: 2876. https://doi.org/10.3390/healthcare13222876
APA StyleNam, E., & Jeon, S. (2025). Effects of Forest Trail and Ground Walking on Mental and Physical Health Promotion in Middle-Aged Women Living in Urban Areas. Healthcare, 13(22), 2876. https://doi.org/10.3390/healthcare13222876

