The Effect of Low Frequency Sound on Heart Rate Variability and Subjective Perception: A Randomized Crossover Study
Abstract
1. Introduction
2. Materials and Methods
- Determine the effect of constant LFV with sounds of nature (sounds of river in the forest) on heart rate variability.
- Determine the effect of LFV with nature sounds on subjective perception of acute stress.
- Determine the effect of LFV with nature sounds on participants’ mood.
- Voluntary participation in the study
- Czech or Slovak nationality
- Full-time students aged 18–30 years
- Psychiatric diagnosis, neurologic disease (e.g., epilepsy, cerebral palsy) or any known contraindication of VAT, such as muscle hypotonia, angina pectoris, psychotic or acute post-traumatic conditions and bleeding [16]
- Post-traumatic stress disorder or perceived pain
- Sleep deprivation
- Substance abuse (caffeine, nicotine) on the day of the experiment or, in the case of strong addictive substances (alcohol), one day before the experiment
- Vigorous physical activity one day before experiment
- Menstruation
- Consumption of food two hours before the experiment
- Medication or dietary supplements affecting the autonomous nervous system
- (Self-reported) cardiovascular or metabolic conditions.
2.1. The Description of the Research Experiment
- 20 min. stimulation with constant sinusoidal wave 40 Hz (carrier signal) LFV without modulation (generated on VIBRATICS I), accompanied by nature sounds (recording of river sounds in forest), in supine position (experimental intervention 1).
- 20 min. stimulation with specific modulation of LFV (40 Hz) (generated on Vibrobed) accompanied by nature sounds of river in forest, in supine position (experimental intervention 2). The detailed description of the amplitudes is below and in Appendix C (Figure A1 and Table A1).
- 20 min. without any LFV, supine position (control intervention), accompanied by nature sounds (recording of river sounds in forest). Measured on both types of vibroacoustic beds (half of the participants measured on Vibrobed, the other half measured on VIBRATICS I).
- Sequence 1: alternating AM 1 (14 s) + silence (14 s), length 5 min.
- Sequence 2: alternating AM 1 (10 s) + silence (10 s), length 5 min.
- Sequence 3: alternating AM 1 (6 s) + silence (6 s), length 5 min.
- Sequence 4: pure unmodulated signal 40 Hz (Carrier Signal or Carrier Wave), length 5 min.
2.2. Outcome Measures
2.3. Statistical Analysis
3. Results
3.1. The Effect of Low-Frequency Sound on the Heart Rate Variability in Pre Test/Post Test Measures
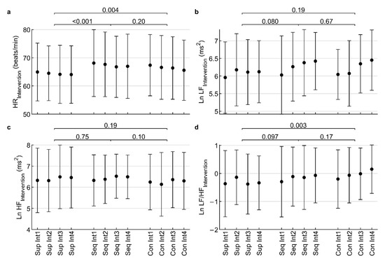
3.2. The Effect of Low-Frequency Sound on Hear Rate Variability during Intervention
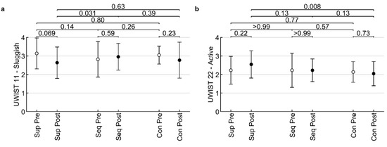
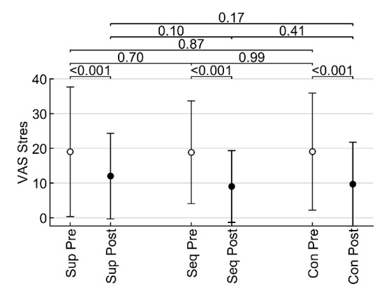
3.3. The Effect of Low-Frequency Sound on the Subjective Perception of Stress and Mood
4. Discussion
- To further investigate the effect of LFV on the autonomic nervous system, we recommend conducting an experimental study that would compare the effect of music versus LFV with music (or also only LFV without music) measured by HRV or similar outcome measures, to find out if the effect of LFV is influenced by various accompanying stimuli.
- We recommend that the specific part of the autonomic nervous system also be considered in future studies, as it is possible that the vagal response to LFV stimulation differs from the sympathetic response.
- In this research experiment, the time span between the interventions was one week. Due to the fact that no statistically significant differences were found in the VSF values measured in the standing and lying positions after the intervention, the LFV effect seems to persist only for a short time after the end of the stimulus and is relatively quickly masked by environmental disturbances. Thus, the intervals between interventions could be only one day in future research studies.
- We recommend to only recruit students with high levels of stress in future studies focused on the research of stress.
- The use of VAT can be further explored in patients suffering from multiple diseases.
Strengths and Limits of the Study
Author Contributions
Funding
Institutional Review Board Statement
Informed Consent Statement
Data Availability Statement
Acknowledgments
Conflicts of Interest
Appendix A. Informed Consent
| INFORMED CONSENT |
| For research project: VAS (project IGA) Implementation period: 4-2019/2-2020 project leader: doc. Mgr. Jiří Kantor, Ph.D. Madam, sir, We are writing to you to ask you to collaborate on a research project involving an experiment involving listening to sounds and taking measurements before, during and after the experiment using the methods listed below. All procedures used during the experiment and measurements are non-invasive and safe, except for the risks listed below. Only nature sounds and low frequency sounds will be used in the experiment. The purpose of the study is to investigate the effect of the sounds used in the experiment on the human body. Measurement methods: The composition of data collection methods includes non-invasive instrumental and psychological test instruments:
Time Schedule: The total length of one session is 60 min and will take place once a week, always on the same day and time. There will be a total of three sessions, so the length of participation in the research is three weeks. The measurements will take place at two university departments, PdF and FTK. The results of the research will be shared after the study is completed. The following risks are known for the intervention implemented in the research experiment:
The participant of the study agrees:
Statement I declare that I agree to participate in the project mentioned above. I have been informed by the project leader about the nature of the research and have been informed about the objectives and the methods and procedures that will be used in the research, as well as the benefits and risks for me of participating in the project. I agree that all data collected will be used for research purposes only and that the results of the research may be published anonymously. I have had the opportunity to consider everything properly, calmly and in sufficient time. I have had the opportunity to ask the researcher everything I considered essential and necessary to know. I received a clear and understandable answer to these questions. I am informed that I have the possibility to withdraw from the project at any time, even without giving a reason. The researcher declares that personal information that could identify the research participant will not be passed on to anyone or appear in any publication outputs. Personal data will be protected in accordance with applicable legislation. This informed consent is made in two copies, each with the validity of an original, one of which will be given to me (or my legal representative) and the other to the project investigator. Name, surname and signature of the project leader: ____________________________________________________________ In______________________ on:_________________________________ Name, surname and signature of the participant in the project: ____________________________________________________________ In______________________ on:_________________________________ |
Appendix B. Protocol for the Collection of Demographic/Personal Data
Appendix C. Visualisation of Amplitude Modulation Used by Vibrobed

| AM 1 (14 s) | AM 2 (10 s) | AM 3 (6 s) | Calibration 40 Hz | |||||
|---|---|---|---|---|---|---|---|---|
| Zone (Vibrobed) | dBmax | Pmax (W) | dBmax | Pmax (W) | dBmax | Pmax (W) | −15 dB RMS | W |
| Z1 | −9.15 | 0.89 | −9 | 0.92 | −10.1 | 0.71 | 0.68 | 0.23 |
| Z2 | −9.15 | 0.86 | −9 | 0.89 | −10.1 | 0.69 | 0.67 | 0.22 |
| Z3 | −9.15 | 1.02 | −9 | 1.06 | −10.1 | 0.82 | 0.73 | 0.27 |
| Z4 | −9.15 | 1.02 | −9 | 1.06 | −10.1 | 0.82 | 0.73 | 0.27 |
References
- Punkanen, M.; Ala-Ruona, E. Contemporary Vibroacoustic Therapy: Perspectives on Clinical Practice, Research, and Training. Music Med. 2012, 4, 128–135. [Google Scholar] [CrossRef]
- Kantor, J.; Campbell, E.A.; Kantorová, L.; Marečková, J.; Regec, V.; Karasová, K.; Sedláčková, D.; Klugar, M. Exploring vibroacoustic therapy in adults experiencing pain: A scoping review. BMJ Open 2022, 12, e046591. [Google Scholar] [CrossRef] [PubMed]
- Campbell, E.; Hynynen, J.; Burger, B.; Ala-Ruona, E. Exploring the use of Vibroacoustic treatment for managing chronic pain and comorbid mood disorders: A mixed methods study. Nord. J. Music Ther. 2019, 28, 291–314. [Google Scholar] [CrossRef]
- Ahonen, H. Low frequency research—Client populations and common frequencies used—Literature review. Laurier Cent. Music Ther. Res. Newsl. 2007, 4, 1–5. [Google Scholar]
- Bartel, L.R.; Chen, R.E.W.; Alain, C.; Ross, B. Vibroacoustic Stimulation and Brain Oscillation: From Basic Research to Clinical Application. Music Med. 2017, 9, 14. [Google Scholar] [CrossRef]
- Campbell, E.A.; Hynynen, J.; Ala-Ruona, E. Vibroacoustic treatment for chronic pain and mood disorders in a specialized healthcare setting. Music Med. 2017, 9, 187–197. [Google Scholar] [CrossRef]
- Rüütel, E.; Vinkel, I.; Eelmäe, P. The effects of short-term vibroacoustic treatment on spasticity and perceived health conditions of patients with spinal cord and brain injuries. Music Med. 2017, 9, 202–208. [Google Scholar] [CrossRef]
- Campbell, E.; Burger, B.; Ala-Ruona, E. A Single-Case, Mixed Methods Study Exploring the Role of Music Listening in Vibroacoustic Treatment. Voices A World Forum Music Ther. 2019, 19, 27. [Google Scholar] [CrossRef][Green Version]
- Campbell, E.A.; Kantor, J.; Kantorová, L.; Svobodová, Z.; Wosch, T. Tactile Low Frequency Vibration in Dementia Management: A Scoping Review Protocol. Int. J. Environ. Res. Public Health 2021, 18, 1904. [Google Scholar] [CrossRef]
- Skille, O. VibroAcoustic Therapy. J. Music Ther. 1989, 8, 61–77. [Google Scholar] [CrossRef][Green Version]
- Campbell, E.A.; Hynynen, J.; Burger, B.; Vainionpää, A.; Ala-Ruona, E. Vibroacoustic treatment to improve functioning and ability to work: A multidisciplinary approach to chronic pain rehabilitation. Disabil. Rehabil. 2019, 43, 2055–2070. [Google Scholar] [CrossRef]
- Delmastro, F.; Martino, F.D.; Dolciotti, C. Physiological Impact of Vibro-Acoustic Therapy on Stress and Emotions through Wearable Sensors. In Proceedings of the 2018 IEEE International Conference on Pervasive Computing and Communications Workshops, Athens, Greece, 19–23 March 2018; pp. 621–626. [Google Scholar] [CrossRef]
- Cavallo, F.; Rovini, E.; Dolciotti, C.; Radi, L.; Della Ragione, R.; Bongioanni, P.; Fiorini, L. Physiological response to Vibro-Acoustic stimulation in healthy subjects: A preliminary study. In Proceedings of the 42nd Annual International Conference of the IEEE Engineering in Medicine & Biology Society (EMBC), Montreal, QC, Canada, 20–24 July 2020; pp. 5921–5924. [Google Scholar] [CrossRef]
- Rüütel, E. The psychophysiological effects of music and vibroacoustic stimulation. Nord. J. Music Ther. 2002, 11, 16–26. [Google Scholar] [CrossRef]
- Koike, Y.; Hoshitani, M.; Tabata, Y.; Seki, K.; Nishimura, R.; Kano, Y. Effects of Vibroacoustic Therapy on Elderly Nursing Home Residents with Depression. J. Phys. Ther. Sci. 2012, 24, 291–294. [Google Scholar] [CrossRef]
- Wigram, T. The Effects of Vibroacoustic Therapy on Clinical and Non-Clinical Populations. Ph.D. Thesis, London University, London, UK, 1996. [Google Scholar]
- Kantor, J.; Kantorová, L.; Marečková, J.; Peng, D.; Vilímek, Z. Potential of Vibroacoustic Therapy in Persons with Cerebral Palsy: An Advanced Narrative Review. Int. J. Environ. Res. Public Health 2019, 16, 3940. [Google Scholar] [CrossRef] [PubMed]
- Katusic, A.; Alimovic, S.; Mejaski-Bosnjak, V. The effect of vibration therapy on spasticity and motor function in children with cerebral palsy: A randomized controlled trial. NeuroRehabilitation 2013, 32, 1–8. [Google Scholar] [CrossRef] [PubMed]
- Brodsky, W. Post-exposure effects of music-generated vibration and whole-body acoustic stimulation among symphony orchestra musicians. Psychol. Music 2000, 28, 98–115. [Google Scholar] [CrossRef]
- Vilímek, Z.; Kořínková, J.; Kantor, J. The Impact of Vibroacoustic Therapy on Subjective Perception of University Students—Mixed Design Pilot Study. Univers. J. Educ. Res. 2021, 9, 1409–1420. [Google Scholar] [CrossRef]
- Ahonen, H.; Deek, P.; Kroeker, J. Low Frequency Sound Treatment Promoting Physical and Emotional Relaxation Qualitative Study. Int. J. Psychosoc. Rehabil. 2012, 17, 45–58. [Google Scholar]
- Bartel, L.; Mosabbir, A. Possible Mechanisms for the Effects of Sound Vibration on Human Health. Healthcare 2021, 9, 597. [Google Scholar] [CrossRef]
- Beiter, R.; Nash, R.; McCrady, M.; Rhoades, D.; Linscomb, M.; Clarahan, M.; Sammut, S. The Prevalence and Correlates of Depression, Anxiety, and Stress in a Sample of College Students. J. Affect. Disord. 2015, 173, 90–96. [Google Scholar] [CrossRef]
- Charles, N.E.; Strong, S.J.; Burns, L.C.; Bullerjahn, M.R.; Serafine, K.M. Increased mood disorder symptoms, perceived stress, and alcohol use among college students during the COVID-19 pandemic. Psychiatry Res. 2021, 296, 113706. [Google Scholar] [CrossRef] [PubMed]
- Task Force of the European Society of Cardiology and the North American Society of Pacing and Electrophysiology. Heart rate variability: Standards of measurement, physiological interpretation, and clinical use. Eur. Heart J. 1996, 17, 354–381. [Google Scholar] [CrossRef]
- Giles, D.; Draper, N.; Neil, W. Validity of the Polar V800 heart rate monitor to measure RR intervals at rest. Eur. J. Appl. Physiol. 2016, 116, 563–571. [Google Scholar] [CrossRef] [PubMed]
- Botek, M.; Krejčí, J.; Neuls, F.; Novotný, J. Effect of modified method of autonomic nervous system activity assessment on results of heart rate variability analysis. Acta Univ. Palacki. Olomuc. Gymn. 2013, 43, 39–46. [Google Scholar] [CrossRef]
- Ernst, G. Heart Rate Variability; Springer: London, UK, 2014. [Google Scholar]
- Lesage, F.X.; Berjot, S.; Deschamps, F. Clinical stress assessment using a visual analogue scale. Occup. Med. 2012, 62, 600–605. [Google Scholar] [CrossRef]
- Matthews, G.; Jones, D.M.; Chamberlain, A.G. Refining the measurement of mood: The UWIST Mood Adjective Check List. Br. J. Psychol. 1990, 81, 17–42. [Google Scholar] [CrossRef]
- Cohen, S.; Williamson, G. Perceived stress in a probability sample of the U.S. In The Social Psychology of Health: Claremont Symposium on Applied Social Psychology; Spacapam, S., Oskamp, S., Eds.; Sage: Newbury Park, CA, USA, 1998; pp. 31–67. [Google Scholar]
- Buršíková Brabcová, D.; Kohout, J. Psychometrické ověření české verze Škály vnímaného stresu. E-Psychologie 2018, 12, 37–52. [Google Scholar] [CrossRef]
- Ghasemi, A.; Zahediasl, S. Normality tests for statistical analysis: A guide for non-statisticians. Int. J. Endocrinol. Metab. 2012, 10, 486–489. [Google Scholar] [CrossRef]
- Veternik, M.; Misek, J.; Jakus, J.; Tonhajzerova, I.; Jakusova, V.; Hudeckova, H. The impact of sound exposure on heart rate variability in adolescent students. Physiol. Res. 2018, 67, 695–702. [Google Scholar] [CrossRef]
- Taylor, D.B. Biomedical Foundations of Music as Therapy, 2nd ed.; ECPrinting: Bruxelles, Belgium, 2010. [Google Scholar]







| Variable | Time | Intervention | Interaction |
|---|---|---|---|
| p | p | p | |
| HRStanding (beats/min) | 0.010 | 0.21 | 0.76 |
| HRSupine (beats/min) | <0.001 | 0.054 | 0.68 |
| Ln LFStanding (ms2) | <0.001 | 0.11 | 0.28 |
| Ln LFSupine (ms2) | 0.072 | 0.63 | 0.90 |
| Ln HFStanding (ms2) | <0.001 | 0.12 | 0.99 |
| Ln HFSupine (ms2) | 0.019 | 0.88 | 0.85 |
| Ln LF/HFStanding | <0.001 | 0.31 | 0.076 |
| Ln LF/HFSupine | 0.57 | 0.80 | 0.98 |
| Variable | Time | Intervention | Interaction |
|---|---|---|---|
| p | p | p | |
| HRInt (beats/min) | 0.42 | <0.001 | >0.99 |
| Ln LFInt (ms2) | 0.041 | 0.19 | 0.84 |
| Ln HFInt (ms2) | 0.35 | 0.23 | >0.99 |
| Ln LF/HFInt | 0.20 | 0.011 | 0.76 |
Publisher’s Note: MDPI stays neutral with regard to jurisdictional claims in published maps and institutional affiliations. |
© 2022 by the authors. Licensee MDPI, Basel, Switzerland. This article is an open access article distributed under the terms and conditions of the Creative Commons Attribution (CC BY) license (https://creativecommons.org/licenses/by/4.0/).
Share and Cite
Vilímek, Z.; Kantor, J.; Krejčí, J.; Janečka, Z.; Jedličková, Z.; Nekardová, A.; Botek, M.; Bucharová, M.; Campbell, E.A. The Effect of Low Frequency Sound on Heart Rate Variability and Subjective Perception: A Randomized Crossover Study. Healthcare 2022, 10, 1024. https://doi.org/10.3390/healthcare10061024
Vilímek Z, Kantor J, Krejčí J, Janečka Z, Jedličková Z, Nekardová A, Botek M, Bucharová M, Campbell EA. The Effect of Low Frequency Sound on Heart Rate Variability and Subjective Perception: A Randomized Crossover Study. Healthcare. 2022; 10(6):1024. https://doi.org/10.3390/healthcare10061024
Chicago/Turabian StyleVilímek, Zdeněk, Jiří Kantor, Jakub Krejčí, Zbyněk Janečka, Zuzana Jedličková, Anna Nekardová, Michal Botek, Monika Bucharová, and Elsa A. Campbell. 2022. "The Effect of Low Frequency Sound on Heart Rate Variability and Subjective Perception: A Randomized Crossover Study" Healthcare 10, no. 6: 1024. https://doi.org/10.3390/healthcare10061024
APA StyleVilímek, Z., Kantor, J., Krejčí, J., Janečka, Z., Jedličková, Z., Nekardová, A., Botek, M., Bucharová, M., & Campbell, E. A. (2022). The Effect of Low Frequency Sound on Heart Rate Variability and Subjective Perception: A Randomized Crossover Study. Healthcare, 10(6), 1024. https://doi.org/10.3390/healthcare10061024

