Research on the Impact of Regular Exercise Behavior of College Students on Academic Stress and Sleep Quality during the COVID-19 Pandemic
Abstract
1. Introduction
2. Literature Review
3. Research Method
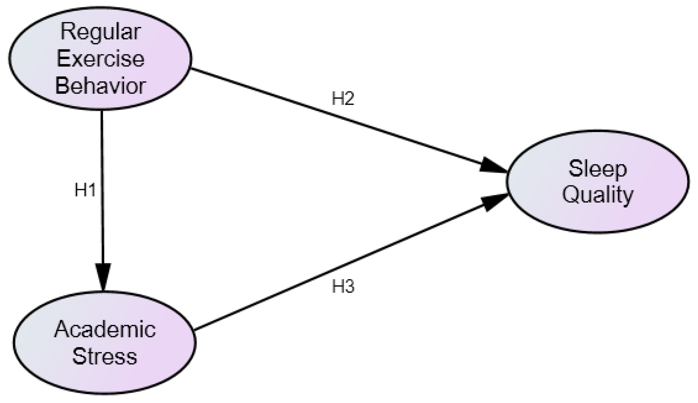
3.1. Research Structure
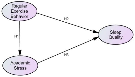
3.2. Research Hypotheses
3.3. Research Subjects
3.4. Research Tools
3.5. Research Processing and Analysis
3.6. Ethical Considerations
4. Research Results
4.1. Sample Characteristics
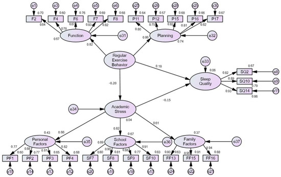
4.2. Measurement Model Analysis
- (1)
 - Verification of Convergent Validity
 
- (2)
 - Discriminant Validity
 
- (3)
 - Structural Model Analysis
 
- (4)
 - Research Results
 
- (5)
 - Discussion and Suggestions
 
- i.
 - Discussion
 
- ii.
 - Suggestions
 
- (1)
 - For college students
 
- (2)
 - For Event College-Related Units
 
- (3)
 - For Future Research
 
5. Conclusions
Author Contributions
Funding
Institutional Review Board Statement
Informed Consent Statement
Data Availability Statement
Conflicts of Interest
References
- Ho, K.C. Ball Study: Harvard Running Back Ho, K.C.’ Flipped Education; Commonwealth Publishing: Taipei, China, 2019. [Google Scholar]
 - Rahman, S.; Montero, M.T.V.; Rowe, K.; Kirton, R.; Kunik, F., Jr. Epidemiology, pathogenesis, clinical presentations, diagnosis and treatment of COVID-19: A review of current evidence. Expert Rev. Clin. Pharmacol. 2021, 14, 601–621. [Google Scholar] [CrossRef] [PubMed]
 - Sports Administration, Ministry of Education of Taiwan. Press Conference for Release of Results of Survey on Exercise Status in 2020, Success in Pandemic Prevention, Happy Sports Multi-Sports i Taiwan. 2020. Available online: https://www.edu.tw/News_Content.aspx?n=9E7AC85F1954DDA8ands=93E673EBC4211FC2 (accessed on 8 July 2021).
 - Aouissi, H.A.; Kechebar, M.S.A.; Ababsa, M.; Roufayel, R.; Neji, B.; Petrisor, A.-I.; Hamimes, A.; Epelboin, L.; Ohmagari, N. The Importance of Behavioral and Native Factors on COVID-19 Infection and Severity: Insights from a Preliminary Cross-Sectional Study. Healthcare 2022, 10, 1341. [Google Scholar] [CrossRef] [PubMed]
 - Mihalick, V.L.; Canada, J.M.; Abbate, R.A.; Kirkman, D.L. Cardiopulmonary exercise testing during the COVID-19 pandemic. Prog. Cardiovasc. Dis. 2021, 67, 35–39. [Google Scholar] [CrossRef] [PubMed]
 - Sports Administration, Ministry of Education of Taiwan. Student Participation in Sports in Schools at All Levels in 2019 School Year. 2019. Available online: https://www.sa.gov.tw/Resource/Ebook/637475177067642544.pdf (accessed on 8 July 2021).
 - Liu, S.Y. Life Pressure of College Students. Couns. Guid. 2012, 313, 38–41. [Google Scholar]
 - Kujala, U.M.; Kaprio, J.; Sarna, S.; Koskenvui, M. Relationship of leisure-time physical activity and mortality: The Finnish twin cohort. J. Am. Med. Assoc. 1998, 11, 440–444. [Google Scholar] [CrossRef]
 - Guo, C.T.; Kao, C.H. Study on Students’ Academic Stress and Adjustment Results of Sports and Leisure—A Case Study of Nanhua University Students. NCYU Phys. Educ. Health Recreat. J. 2008, 7, 23–34. [Google Scholar]
 - Tempesta, D.; Couyoumdjian, A.; Moroni, F.; Marzano, C.; De Gennaro, L.; Ferrara, M. The impact of one night of sleep deprivation on moral judgments. Soc. Neurosci. 2012, 7, 292–300. [Google Scholar] [CrossRef]
 - Lee, S.P.; Lee, S.D. Latest View: Two Key Factors Affecting Consolidation of Learning and Memory-Sleep and Exercise. Sport. Exerc. Res. 2016, 18, 1–3. [Google Scholar]
 - Chen, Y.T.; Cao, W.Y.; Huang, S.C. Exercise habit and sleep quality of Asia-Pacific Institute of Creativity Students. J. Sport Leis. Hosp. Res. 2017, 12, 1–14. [Google Scholar]
 - Sato, T.; Demura, S.; Murase, T.; Kobayashi, Y. Quantification of relationship between health status and physical fitness in middle-aged and elderly males and females. J. Sport. Med. Phys. Fit. 2005, 45, 561–569. [Google Scholar]
 - Li, Y.P.; Chen, Y.M.; Chiu, M.J. Exploring Regular Exercise Behaviors and Their Determinants in Residential Care Home Elderly. J. Evid. Based Nurs. 2007, 3, 300–308. [Google Scholar]
 - Teng, R.Y.; Lin, H.H. How to Use Transformational Leadership Strategy to Improve Regular Exercise Behavior of the Elderly. Q. Chin. Phys. Educ. 2011, 25, 283–289. [Google Scholar]
 - Chen, C.Y.; Chiang, Y.C.; Huang, Y.W.; Hu, Y.C. The effectiveness of regular exercise intervention program into community elders. Health Promot. Health Educ. J. 2016, 40, 79–101. [Google Scholar]
 - Hong, Y.C. Study on the Physical Activity of the Elderly in Taiwan. Taiwan J. Appl. Econ. 2020, 107, 177–218. [Google Scholar]
 - Wu, P.L. Study of Regular Exercise Behavior in Women. Arch. Univ. Educ. Sport. 2002, 223–230. [Google Scholar]
 - Lee, C.F.; Lin, S.S.; Tung, C.D. Exploring Regular Exercise Behavior of Pregnant Women. J. Orient. Technol. 2012, 32, 189–200. [Google Scholar]
 - Chang, C.C.; Chen, S.F.; Lin, H.C. The Study of Behavior of Doing Exercise Regularly in Menopause Women-Application of the Theory of Planned Behavior. J. Healthy Life Success. Aging 2013, 5, 1–15. [Google Scholar]
 - Yao, Y.L. The Theory of Planned Behavior and Body Satisfaction for Predicting High School Student’s Intention of Regular Exercise. Master’s Thesis, Department of Psychology, Chung Yuan Christian University, Taoyuan, China, 2009. [Google Scholar]
 - Sports Administration. Office Workers Exercise Manual to Make You Move from the “Heart”. 2017. Available online: https://www.sa.gov.tw/News/NewsDetail?Type=3andpage=126andid=1384andn=92 (accessed on 8 July 2021).
 - Chao, L.Y.; Tseng, H.C. An Analysis of Development Trends in Physical Fitness for Taiwan’s Children and Adolescents; Taiwan Development Perspectives 2009; National Policy Foundation: Taipei, China, 2009. [Google Scholar]
 - Lee, Y.H.; Yu, C.L. Determinants of Theory of Planned Behavior on Regular Exercise Behavior among University Students. Sport. Exerc. Res. 2014, 16, 45–58. [Google Scholar] [CrossRef]
 - Sparling, B.P.; Snow, K.T. Physical activity pattern in recent college alumni. Res. Q. Exerc. Sport 2002, 73, 200–205. [Google Scholar] [CrossRef]
 - Lin, M.C. A Study on Elementary School Six-Grade Students’ Academic Stress, Coping and Social Support. Master’s Thesis, Graduate Institute of Education, National Chiayi University, Chiayi, China, 1998. [Google Scholar]
 - Lo, H.J.; Lee, H.T.; Tsai, J.J. The Study of the Senior High School Student’s Academic Stress and Health Status. Tai Zhong Xue Yuan Ti Yu 2011, 8, 145–156. [Google Scholar]
 - Lin, L.H.; Lin, C.W. The Study of the Relationship among Goal Orientation, Social Comparison, Self-Efficacy and Academic Stress. Guid. J. 2003, 25, 87–132. [Google Scholar]
 - Greening, L.; Dollinger, S.J. Rural adolescents perceived personal risks for suicide. J. Youth Adolesc. 1993, 22, 211–217. [Google Scholar] [CrossRef]
 - Wang, S.C. Study on Relationship between Parental Conflict, Parent-child Conflict, Academic Stress and Suicidal Idea of Middle School Students. Master’s Thesis, Graduate Institute of Family Education, National Chiayi University, Chiayi, China, 2004. [Google Scholar]
 - Wang, S.C.; Hong, Y.C.; Yeh, Y.H. Study on Factors Affecting Sleep quality, Physical and Mental Health of College Students. J. Eng. Technol. Educ. 2014, 11, 348–361. [Google Scholar]
 - Chiu, S.Y.; Lee, S.J. The Development and Analysis of Leisure Industries. Acad. J. Kang Ning 2008, 10, 261–272. [Google Scholar]
 - Li, C.Y.; Wu, C.B.; Lai, C.C.; Lin, W.H. The Relationship between Physical Activity and Sleep Quality of Female College Students. Phys. Educ. J. 2002, 32, 59–68. [Google Scholar]
 - Mahon, N.F. The contributions of sleep to perceived health status during adolescence. Public Health Nurs. 1995, 12, 127–133. [Google Scholar] [CrossRef]
 - Cherng, C.F.; Shiu, J. The relationships between civil pilots’ sleeping quality and flight performance. J. Aviat. Med. Sci. Repub. China 2014, 28, 83–96. [Google Scholar]
 - Wang, H.N.; Huang, S.Q. Effects of jogging on sleep quality and leisure benefits in middle-aged and elderly people. J. Sci. Humanit. 2020, 8, 1–12. [Google Scholar]
 - Lin, C.Y. A Study on the Junior High school Students’ Exercise Behavior and Academic Stress—An Example of ST. Master’s Thesis, Francis Xavier High School in Taoyuan County, Master’s Programs in Physical Education, Fu Jen Catholic University, New Taipei, China, 2012. [Google Scholar]
 - Jan, S.H. A Study of Relationship among Academic Pressure, Exercise Participation and the Sense of Well-Being of Senior High School Students under the Revision and Implementation of the New12-Year Basic Education Curriculum Guidelines. Master’s Thesis, Department of Sport and Health Management, Dayeh University, Changhua, China, 2020. [Google Scholar]
 - Singh, N.A.; Clements, K.M.; Fiatarone, M.A. Sleep, sleep deprivation, and daytime activities: A randomized controlled trial of the effect of exercise on sleep. Sleep 1997, 20, 95–101. [Google Scholar] [CrossRef]
 - Lin, W.H. Study on Healthy Life Style of Elementary School Students in Taipei City; Shta Books: Taipei City, China, 1991. [Google Scholar]
 - Chu, C.H.; Fang, C.L. Discussion on Sports and Sleep Quality. Q. Chin. Phys. Educ. 1997, 11, 98–108. [Google Scholar]
 - Liu, L.; Su, C.H. Review of Physical Activity on College Students’ Sleep Quality. J. Phys. Educ. Sport Sci. 2019, 28, 83–92. [Google Scholar]
 - Chen, Y.R. A Comparison Study of Sleep Quality between Middle-Aged Male Long Distance Runners and Non-Regular Exercise Peers. Master’s Thesis, Institute of Physical Education, Health and Leisure Studies, National Cheng Kung University, Tainan, China, 2021. [Google Scholar]
 - Huang, W.L. Study on Related Factors Affecting Sleep Quality of Students in a Complete Middle School. Master’s Thesis, Graduate Institute of Health Education, National Taiwan Normal University, Taipei, China, 2003. [Google Scholar]
 - Lin, C. Study on Sleep Quality and Related Factors of High School Students—Case Study of a High School in Tainan City. Master’s Thesis, In-service Master’s Program of Department of Health Promotion and Health Education, National Taiwan Normal University, Taipei, China, 2011. [Google Scholar]
 - Chen, P.L.; Chen, C.Y. Study on Sleep Quality and the Related Factors of Junior and Senior High School Students in Taipei City. Chin. J. Sch. Health 2015, 66, 45–66. [Google Scholar]
 - Chiu, H.C. Quantitative Research and Statistical Analysis: Analysis of Data Analysis Examples of SPSS Chinese Window Version; Wu Nan Books: Taipei City, China, 2006. [Google Scholar]
 - Anderson, J.; Gerbing, D. Structural equation modeling in practice: A review and recommended two-step approach. Psychol. Bull. 1988, 103, 411. [Google Scholar] [CrossRef]
 - Bagozzi, R.P.; Yi, Y. On the evaluation of structural equation models. J. Acad. Mark. Sci. 1988, 16, 74–94. [Google Scholar] [CrossRef]
 - Fornell, C.; Larcker, D.F. Structural Equation Models with Unobservable Variables and Measurement Error: Algebra and statistics. J. Mark. Res. 1981, 18, 382–388. [Google Scholar] [CrossRef]
 - Wu, C.N. Study on Physical Fitness Training on Body Composition, Regular Exercise Cognition and Behavior—A Case Study of College Students without Exercise Habits. Master’s Thesis, Department of Physical Education, University of Taipei, Taipei, China, 2019. (Unpublished). [Google Scholar]
 - Huang, H.Y. Image of Academic Stress, Leisure Participation and Interpersonal Relationship on Life Satisfaction of Middle College Students in Changhua Area. Master’s Thesis, Department of Leisure and Recreation Management, Da-Yeh University, Changhua, China, 2021. (Unpublished). [Google Scholar]
 - Wu, D.H. Study on Correlation between Firefighters’ Work Pressure, Sleep Quality and Degree of Vascular Sclerosis. Master’s Thesis, Department of Physical Education, National Pingtung University, Pingtung, China, 2021. (Unpublished). [Google Scholar]
 - Chen, S.Y. Amos Operation of Structural Equation Model, 1st ed.; San Ming Book Company Ltd.: Taipei, China, 2007. [Google Scholar]
 - Hairs, J.F.; Anderson, R.E.; Tatham, R.L.; Black, W.C. Multivariate Data Analysis; Printice Hall: Englewood Cliffs, NJ, USA, 1998. [Google Scholar]
 - Torkzadeh, G.; Koufteros, X.; Pflughoeft, K. Confirmatory analysis of computer self-efficacy. Struct. Equ. Model. 2003, 10, 263–275. [Google Scholar] [CrossRef]
 - Browne, M.W.; Cudeck, R. Alternative ways of assessing model fit. In Testing Structural Equation Models; Bollen, K.A., Long, J.S., Eds.; Sage: Thousand Oaks, CA, USA, 1993; pp. 136–162. [Google Scholar]
 - Common Wealth Magazine. Accustomed to Exercise at Night? No Need to Worry about not Falling Asleep for Exercise at “This” Time. 2020. Available online: https://www.cw.com.tw/article/5101344 (accessed on 12 July 2021).
 


| Variable | Category | Number | Percentage | 
|---|---|---|---|
| Gender | Male | 112 | 36.8 | 
| Female | 192 | 63.2 | |
| Age | 18–20 years old | 154 | 50.7 | 
| 21–30 years old | 121 | 39.8 | |
| 24–26 years old | 13 | 4.3 | |
| Over 27 years old | 16 | 5.3 | |
| Grade | Freshman | 29 | 9.5 | 
| Sophomore | 90 | 29.6 | |
| Junior | 64 | 21.1 | |
| Senior | 98 | 32.2 | |
| Other | 23 | 7.6 | |
| Average weekly expenses spent on leisure activities | North | 98 | 32.2 | 
| Central | 157 | 51.6 | |
| South | 31 | 10.2 | |
| East | 12 | 3.9 | |
| Outlaying island | 6 | 2.0 | |
| Weekly petty cash | NTD 500 or lower | 47 | 15.5 | 
| NTD 501–1000 | 82 | 27.0 | |
| NTD 1001–1500 | 62 | 20.4 | |
| NTD 1501–2000 | 36 | 11.8 | |
| NTD 2001 or more | 77 | 25.3 | |
| University nature | Public university | 179 | 58.9 | 
| Private university | 125 | 41.1 | |
| University education system | Science and technology university | 167 | 54.9 | 
| General university | 134 | 45.1 | 
| Perspective | Index | Standardized Factor Loading | Nonstandardized Factor Loading | S.E. | C.R. (t-Value)  | p | SMC | C.R. | AVE | 
|---|---|---|---|---|---|---|---|---|---|
| Function | F2 Regular exercise improves my mental health. | 0.84 | 1.00 | 0.70 | 0.91 | 0.68 | |||
| F4 Regular exercise helps people to be physically and mentally happy. It helps them forget their troubles. | 0.78 | 0.89 | 0.06 | 15.63 | *** | 0.60 | |||
| F6 Regular exercise gives people a high sense of achievement. | 0.87 | 1.08 | 0.06 | 18.78 | *** | 0.76 | |||
| F7 Regular exercise helps relieve stress. | 0.83 | 0.94 | 0.05 | 17.17 | *** | 0.69 | |||
| F8 Regular exercise helps people maintain a good figure. | 0.82 | 0.91 | 0.05 | 17.36 | *** | 0.68 | |||
| Planning | P11 Failing to do regular exercise makes me feel uncomfortable. | 0.80 | 1.00 | 0.64 | 0.89 | 0.64 | |||
| P12 I do leisure sports and activities with my family or friends. | 0.75 | 0.89 | 0.06 | 14.14 | *** | 0.57 | |||
| P15 Everyone should develop an exercise plan. | 0.82 | 1.01 | 0.06 | 15.70 | *** | 0.68 | |||
| P16 I take the initiative to collect information related to leisure sports and activities. | 0.81 | 1.06 | 0.07 | 15.45 | *** | 0.66 | |||
| P17 I try to find time to do regular exercise (at least three times a week and 30 min each time). | 0.82 | 1.10 | 0.07 | 15.47 | *** | 0.67 | 
| Perspective | Index | Standardized Factor Loading  | Nonstandardized Factor Loading | S.E. | C.R. (t-Value)  | p | SMC | C.R. | AVE | 
|---|---|---|---|---|---|---|---|---|---|
| Personal factors | PF1 I feel uneasy if I cannot concentrate when preparing for an exam. | 0.77 | 1.00 | 0.60 | 0.89 | 0.67 | |||
| PF2 I worry about not getting good results in my exams. | 0.88 | 1.16 | 0.07 | 16.33 | *** | 0.77 | |||
| PF3 I feel very depressed when my academic performance declines. | 0.81 | 1.03 | 0.07 | 14.47 | *** | 0.65 | |||
| PF4 I frequently worry about poor academic performance. | 0.82 | 1.10 | 0.07 | 14.68 | *** | 0.68 | |||
| School factors | SF7 I frequently feel the heavy amount of schoolwork is more than I can bear. | 0.89 | 1.00 | 0.80 | 0.94 | 0.80 | |||
| SF8 I frequently feel very stressed because there are too many exams in school. | 0.90 | 1.00 | 0.04 | 23.88 | *** | 0.81 | |||
| SF9 I feel very stressed because my teachers give too much homework. | 0.88 | 1.02 | 0.05 | 22.46 | *** | 0.77 | |||
| SF10 I frequently feel drained because I must study so many subjects. | 0.91 | 1.03 | 0.04 | 24.46 | *** | 0.83 | |||
| family factors | FF13 I feel stressed when my parents often compare my accomplishments to the accomplishments of others. | 0.80 | 1.00 | 0.63 | 0.92 | 0.80 | |||
| FF15 I feel very stressed because my parents have high expectations for my performance. | 0.95 | 1.14 | 0.06 | 20.15 | *** | 0.91 | |||
| FF16 I feel very stressed because my parents expect me to be serious about studying. | 0.94 | 1.12 | 0.06 | 19.61 | *** | 0.88 | 
| Perspective | Index | Standardized Factor Loading  | Nonstandardized Factor Loading | S.E. | C.R. (t-Value)  | p | SMC | C.R. | AVE | 
|---|---|---|---|---|---|---|---|---|---|
| Sleep Quality | SQ2 I often wake up in the middle of the night or early morning. | 0.81 | 1.00 | 0.66 | 0.90 | 0.77 | |||
| SQ10 I have had poor sleep quality in the past month. | 0.89 | 1.07 | 0.06 | 18.40 | *** | 0.79 | |||
| SQ14 I would evaluate my overall sleep quality as poor over the past month. | 0.93 | 1.15 | 0.06 | 18.91 | *** | 0.86 | 
| Parameter | Estimate | Bias-Corrected | Percentile Method | ||||
|---|---|---|---|---|---|---|---|
| Lower Boundary | Upper Boundary  | Lower Boundary | Upper Boundary  | ||||
| Function | <--> | Planning | 0.70 | 0.55 | 0.82 | 0.54 | 0.82 | 
| Parameter | Estimate | Bias-Corrected | Percentile Method | ||||
|---|---|---|---|---|---|---|---|
| Lower Boundary | Upper Boundary  | Lower Boundary | Upper Boundary  | ||||
| Personal factors | <--> | School factors | 0.55 | 0.45 | 0.65 | 0.44 | 0.64 | 
| Personal factors | <--> | Family factors | 0.37 | 0.26 | 0.48 | 0.26 | 0.48 | 
| School factors | <--> | Family factors | 0.51 | 0.39 | 0.62 | 0.39 | 0.62 | 
| Fitness Indicator | Acceptable Criteria | After Mode Revision | Model Fitness Judgment | 
|---|---|---|---|
| χ2 (Chi-square) | The smaller the better | 393.43 | |
| Ratio of χ2 | <3 | 1.61 | Fit | 
| GFI | >0.80 | 0.90 | Fit | 
| AGFI | >0.80 | 0.88 | Fit | 
| RMSEA | <0.08 | 0.04 | Fit | 
| CFI | >0.90 | 0.97 | Fit | 
| PCFI | >0.50 | 0.86 | Fit | 
| Hypotheses | Path | Path Coefficient | Remarks | 
|---|---|---|---|
| 1 | Regular Exercise Behavior->Academic Stress | −0.20 | accepted | 
| 2 | Regular Exercise Behavior->Sleep Quality | 0.18 | accepted | 
| 3 | Academic Stress->Sleep Quality | −0.15 | accepted | 
Publisher’s Note: MDPI stays neutral with regard to jurisdictional claims in published maps and institutional affiliations.  | 
© 2022 by the authors. Licensee MDPI, Basel, Switzerland. This article is an open access article distributed under the terms and conditions of the Creative Commons Attribution (CC BY) license (https://creativecommons.org/licenses/by/4.0/).
Share and Cite
Yuan, M.-Z.; Chen, C.-C.; Chen, I.-S.; Yang, C.-C.; Hsu, C.-H. Research on the Impact of Regular Exercise Behavior of College Students on Academic Stress and Sleep Quality during the COVID-19 Pandemic. Healthcare 2022, 10, 2534. https://doi.org/10.3390/healthcare10122534
Yuan M-Z, Chen C-C, Chen I-S, Yang C-C, Hsu C-H. Research on the Impact of Regular Exercise Behavior of College Students on Academic Stress and Sleep Quality during the COVID-19 Pandemic. Healthcare. 2022; 10(12):2534. https://doi.org/10.3390/healthcare10122534
Chicago/Turabian StyleYuan, Ming-Zhu, Chao-Chien Chen, I-Shen Chen, Cheng-Chia Yang, and Chin-Hsien Hsu. 2022. "Research on the Impact of Regular Exercise Behavior of College Students on Academic Stress and Sleep Quality during the COVID-19 Pandemic" Healthcare 10, no. 12: 2534. https://doi.org/10.3390/healthcare10122534
APA StyleYuan, M.-Z., Chen, C.-C., Chen, I.-S., Yang, C.-C., & Hsu, C.-H. (2022). Research on the Impact of Regular Exercise Behavior of College Students on Academic Stress and Sleep Quality during the COVID-19 Pandemic. Healthcare, 10(12), 2534. https://doi.org/10.3390/healthcare10122534
        
