You are currently viewing a new version of our website. To view the old version click .
Mathematics
  • Article
  • Open Access

6 October 2021

Pointwise k-Pseudo Metric Space

,
and
1
College of Science, North China University of Technology, Beijing 100144, China
2
Department of Mathematics and Computer Science, University of Latvia, LV-1459 Riga, Latvia
3
School of Mathematics and Statistics, Beijing Institute of Technology, Beijing 100081, China
*
Author to whom correspondence should be addressed.
This article belongs to the Special Issue Fuzzy Logic and Its Applications

Abstract

In this paper, the concept of a k-(quasi) pseudo metric is generalized to the L-fuzzy case, called a pointwise k-(quasi) pseudo metric, which is considered to be a map d : J ( L X ) × J ( L X ) [ 0 , ) satisfying some conditions. What is more, it is proved that the category of pointwise k-pseudo metric spaces is isomorphic to the category of symmetric pointwise k-remote neighborhood ball spaces. Besides, some L-topological structures induced by a pointwise k-quasi-pseudo metric are obtained, including an L-quasi neighborhood system, an L-topology, an L-closure operator, an L-interior operator, and a pointwise quasi-uniformity.

1. Introduction

Metric spaces play an important role in the research and applications of mathematics. Since Zadeh introduced fuzzy set theory, there have been many interesting and creative works in which different approaches to the concept of a fuzzy metric were introduced and corresponding theories were developed and used for various applications [1,2,3,4,5,6,7,8,9,10,11,12,13,14,15,16,17,18].
In 1979, Erceg [1] constructed the theory of fuzzy metrics by considering the Hausdorff distance function between L-subsets and studied their topological properties. Subsequently, Erceg’s fuzzy metric was widely studied, in particular, Deng [19], Liang [20], and Peng [21] greatly contributed to its development. However, Erceg failed to build the distance function between L-fuzzy points and his approach does not directly reflect the relationships between a fuzzy point and its quasi-neighborhood. Besides, the topologies induced by Erceg’s fuzzy metrics are not first countable that can be considered as a certain deficiency of this theory.
In order to solve these defects, Shi [11] introduced a new theory of pointwise metrics by treating a fuzzy metric as a mapping d : J ( L X ) × J ( L X ) [ 0 , ) , where the set J ( L X ) is the set of all L-fuzzy points on X. The theory of Shi’s pointwise metrics is different from Erceg’s fuzzy metric and has many advantages. Shi’s pointwise metrics are well coordinated with the corresponding pointwise topology. Besides, his methods seem more simpler and more immediate. Moreover, Shi’s pointwise metrics also solved the problem that the pointwise metric topology is first countable and showed that a Shi’s pointwise metric can induce an Erceg’s metric on L X .
As a generalization of metric spaces, the notion of metric-type spaces was introduced by Bakhtin [22] in 1989, and later was rediscovered by Czerwik [23] under the name of b-metric space in 1993. In order to describe the concept more vividly, Šostak [24] used the name “k-metric space” to replace metric-type spaces and b-metric spaces, which makes the triangle inequality to a more general axiom: d ( x , z ) k ( d ( x , y ) + d ( y , z ) ) , where k 1 is a fixed constant.
Recently, Hussain [25] and Nǎdǎban [26] introduced the concept of a fuzzy b-metric and discussed the corresponding fixed point theorem. A similar concept under the name of a fuzzy k-pseudo metric was independently introduced and some topological properties of fuzzy k-pseudo metric spaces were studied in [24]. Although definitions of (fuzzy) b-metric and (fuzzy) k-metric are very similar, there is a fundamental difference if we consider the categories of such spaces. For example, while countable products exist in the category of (fuzzy) b-metric spaces, the product of two (fuzzy) k-metric spaces may fail to be (fuzzy) k-metric.
By modifying the definition of a fuzzy k-pseudo metric in [24], Zhong and Šostak [27] proposed an alternative definition of a fuzzy k-pseudo metric, which is treated as a map M : X × X × [ 0 , ) [ 0 , 1 ] satisfying some modified conditions. Actually, a fuzzy k-pseudo metric can be viewed as a generalization of the fuzzifying case of a crisp k-pseudo metric. However, this approach prevents defining the distance function between L-fuzzy points and cannot induce any L-structures. Until now, researches about fuzzy k-pseudo metrics lack the L-fuzzy case of crisp k-pseudo metric; that is to say, there is no author that gives a definition of a pointwise k-pseudo metric and considers its induced L-topological structures. Therefore, these are our starting points for writing this paper.
The main aims of this paper are to introduce the concept of a pointwise k-(quasi) pseudo metric and to discuss its characterizations by a pointwise k-remote neighborhood ball system. Besides, we show that many L-topological structures can be induced by a pointwise k-quasi-pseudo metric.
This paper is organized as follows. In Section 2, some necessary definitions and results about k-pseudo metric spaces and L-topological spaces are recalled. In Section 3, the definitions of a pointwise k-(quasi) pseudo metric and a pointwise k-remote neighborhood ball system are introduced. Moreover, relationships between pointwise k-(quasi) pseudo metrics and pointwise k-remote neighborhood ball systems are discussed. In Section 4, some L-structures induced by a pointwise k-quasi-pseudo metric are constructed, including an L-quasi neighborhood system, an L-topology, an L-closure operator, an L-interior operator, and a pointwise quasi-uniformity.

2. Preliminaries

Throughout this paper, ( L , , , , ) denotes a complete, completely distributive De Morgan algebra, i.e., a completely distributive lattice with an order-reserving involution . Moreover, L and L be its smallest and largest elements, respectively. Let X be a non-empty set. L X denotes the set of all L-fuzzy subsets on X and L X is also a completely distributive De Morgan algebra when it inherits the structure of the lattice L in a natural way, by defining , , and pointwisely. The smallest element and the largest element in L X are denoted by L X and L X , respectively.
We say that a is wedge-below b in L, in symbols, a b , if for every subset D L , D b implies a d for some d D . The wedge below relation in a completely distributive lattice has the interpolation property, i.e., if a b , then there exists c L such that a c b . Moreover, it is easy to see that a i I b i implies a b i for any i I , whereas a i I b i implies a b i for some i I [28].
An element a in L is called a co-prime element if b c a implies b a or c a for any b , c L [28]. The set of all nonzero co-prime elements of L is denoted by J ( L ) , such as, if L = [ 0 , 1 ] , then J ( L ) = ( 0 , 1 ] . And the set of all nonzero co-prime elements of L X is denoted by J ( L X ) . It is easy to see that J ( L X ) is exactly the set of all L-fuzzy points x λ , namely J ( L X ) = { x λ L X x X , λ J ( L ) } , where x λ is an L-fuzzy set from X to L such that x λ ( x ) = λ , and = L otherwise. Let f : X Y be a map. Define f L : L X L Y and f L : L Y L X by A L X , f L ( A ) ( y ) = f ( x ) = y A ( x ) and B L Y , f L ( B ) = B f .
First, we recall the definition of k-metric as it was introduced in [24].
Definition 1
([24]). Let k 1 be a fixed constant and let d : X × X [ 0 , ) be a mapping such that x , y , z X ,
(D1) 
d ( x , x ) = 0 ;
(D2) 
d ( x , z ) k ( d ( x , y ) + d ( y , z ) ) .
Then, d is called a k-pseudo-quasi metric. A k-quasi-pseudo metric is called a k-pseudo metric if it is symmetric,
(D3) 
d ( x , y ) = d ( y , x ) ;
If the axiom (D1) is replaced by a stronger axiom:
(D1)* 
d ( x , y ) = 0 x = y ;
then d is called a k-metric and the pair ( X , d ) is called a k-metric space.
Example 1.
Let R be the set of real numbers and let d : R × R [ 0 , ) be a mapping defined by d ( x , y ) = | x y | 2 for all x , y R . Then, d is a 2-metric. Similarly, let ( X , ) be a normed space. There also exists 2-metric on X defined by d ( x , y ) = x y 2 for all x , y X .
Example 2.
Let X be the set of Lebesgue measurable functions on [ a , b ] such that a b | f ( x ) | 2 d x < . Define d : X × X [ 0 , ) by d ( f , g ) = a b | f ( x ) g ( x ) | 2 d x for any f , g X . Then, d is also a 2-metric.
The concept of neighborhood systems is very important and fundamental in topology. However, the situation is more complicated when it is generalized to the L-fuzzy case. The important work of Pu and Liu [29], in which they generalized crisp neighborhood systems to quasi neighborhood systems, has drive to a great development of the theory of L-topological spaces.
Chang [30] first introduced fuzzy theory into topology. The notion of Chang’s fuzzy topology was generalized to L-fuzzy setting by J.A. Goguen [31,32], which is now called an L-topology.
In what follows, the notions of an L-topology, an L-quasi neighborhood system, an L-closure operator and an L-interior operator are recalled.
Definition 2
([31,32]). An L-topology T on X is a subset of L X satisfying:
(LT1) L X , L X T ;
(LT2) A , B T A B T ;
(LT3) { A j } j J T j J A j T .
A continuous mapping from an L-topological space ( X , T X ) to an L-topological space ( Y , T Y ) is a mapping f : X Y such that B T Y , f L ( B ) T X , where f L ( B ) ( x ) = B ( f ( x ) ) for any x X . The category of L-topological spaces and their continuous mappings is denoted by L-Top.
We say that a fuzzy point x λ quasi-coincides with A if λ A ( x ) or equivalently x λ A [29,33]. In case L = [ 0 , 1 ] , x λ is quasi-coincident with A if and only if A ( x ) > 1 λ . Then, we have the following definition.
Definition 3
([33]). An L-quasi neighborhood system on X is a family of Q = { Q x λ L X x λ J ( L X ) } satisfying the following conditions:
(LQ1) L X Q x λ , L X Q x λ ;
(LQ2) U Q x λ x λ U ;
(LQ3) U Q x λ , U V V Q x λ ;
(LQ4) U , V Q x λ U V Q x λ
(LQ5) U Q x λ , there exists V L X such that x λ V U and V Q y μ . for all y μ V .
A continuous mapping from an L-quasi neighborhood space ( X , Q X ) to an L-quasi neighborhood space ( Y , Q Y ) is a mapping f : X Y such that x λ J ( L X ) , U Q f ( x ) λ Y , f L ( U ) Q x λ X . The category of L-quasi neighborhood spaces and their continuous mappings is denoted by L-QNS.
Remark 1.
In [33,34], it is shown that the category L-Top is isomorphic to the category of L-QNS. Specifically speaking, if T is an L-topology, then Q T = { Q x λ T x λ J ( L X ) } is an L-quasi neighborhood system, where Q x λ T = { U L X V T , s . t . , x λ V U } . Conversely, if Q = { Q x λ x λ J ( L X ) } is an L-quasi neighborhood system, then T Q = { U L X x λ U , U Q x λ } is an L-topology. In addition, T Q T = T , Q T Q = Q .
It is well known that the closure operator and the interior operator are convenient alternative approaches to characterize a topology. In the following, we recall the definitions of an L-closure operator and an L-interior operator.
Definition 4
([33,35]). An L-closure operator on X is a mapping c l : L X L X satisfying the following conditions:
  • (LC1) c l ( L X ) = L X ;
  • (LC2) A c l ( A ) ;
  • (LC3) c l ( A B ) = c l ( A ) c l ( B ) ;
  • (LC4) c l ( c l ( A ) ) = c l ( A ) .
Definition 5
([35]). An L-interior operator on X is a mapping i n t : L X L X satisfying the following conditions:
  • (LI1) i n t ( L X ) = L X ;
  • (LI2) i n t ( A ) A ;
  • (LI3) i n t ( A B ) = i n t ( A ) i n t ( B ) ;
  • (LI4) i n t ( i n t ( A ) ) = i n t ( A ) .
Remark 2.
In [33,34,35], it is shown that there is a one-to-one correspondence between L-topologies and L-closure operators. That is, if T is an L-topology, then c l T ( A ) = { x λ J ( L X ) x λ U A , U T } is an L-closure operator. Conversely, if c l is an L-closure operator, then T c l = { A L X x λ A , x λ c l ( A ) } is an L-topology. In addition, A L X , c l ( A ) = ( i n t ( A ) ) , i n t ( A ) = ( c l ( A ) ) .

3. Pointwise k -Pseudo Metric Space

In this section, first, we will introduce the definition of a pointwise k-pseudo metric which is inspired by the idea of Shi’s pointwise pseudo metric. Second, we will prove that there is a bijection between pointwise k-pseudo metrics and pointwise k-remote neighborhood ball systems.
Definition 6.
Let k 1 be a fixed constant. Apointwise k-quasi-pseudo metricon L X is a map d : J ( L X ) × J ( L X ) [ 0 , ) satisfying the following conditions: x λ , y μ , z ν J ( L X )
  • (LKD1) d ( x λ , x λ ) = 0 ;
  • (LKD2) d ( x λ , z ν ) k ( d ( x λ , y μ ) + d ( y μ , z ν ) ) ;
  • (LKD3) d ( x λ , y μ ) = ν μ d ( x λ , y ν ) ;
  • (LKD4) γ λ , d ( x γ , y μ ) d ( x λ , y μ ) .
A pointwise k-quasi-pseudo metric d is called apointwise k-pseudo metricif it is symmetric, i.e., it satisfies
  • (LKD5) γ λ d ( x γ , y μ ) = ν μ d ( y ν , x λ )
Remark 3.
If L = { 0 , 1 } , then each fuzzy condition reduces to the corresponding condition of a crisp k-pseudo metric. To be specific, (LKD1) and (LKD2) correspond to (D1) and (D2), respectively. (LKD3) and (LKD4) are naturally hold when d is a crisp k-metric, which are essential in the later research content of this paper. (LKD5) is a generalization of fuzzy symmetry, since it will be reduced to the symmetry of a crisp k-metric when L = { 0 , 1 } . That is to say, the condition γ λ d ( x γ , y μ ) = ν μ d ( y ν , x λ ) reduces to d ( x 1 , y 1 ) = d ( y 1 , x 1 ) .
Example 3.
Let X be any set and L = [ 0 , 1 ] . Then, J ( L ) = ( 0 , 1 ] . Define d : J ( L X ) × J ( L X ) [ 0 , ) by x λ , y μ J ( L X ) ,
d ( x λ , y μ ) = | λ μ | 2 , λ > μ ; 0 , λ μ .
Then, d is a pointwise 2-pseudo metric and d is not a pointwise pseudo metric.
Proof. Step 1: we shall check d satisfies (LKD1)-(LKD5).
  • (LKD1)   d ( x λ , x λ ) = 0 is trivial.
  • (LKD2) It suffices to consider the case when d ( x λ , z ν ) > 0 , i.e., d ( x λ , z ν ) = | λ ν | 2 and λ > ν . If one of d ( x λ , y μ ) and d ( y μ , z ν ) equals 0, say d ( x λ , y μ ) = 0 , then λ μ . Thus, ν < μ . Therefore, d ( y μ , z ν ) = | μ ν | 2 . As | λ ν | 2 | μ ν | 2 2 | μ ν | 2 , it follows that d ( x λ , z ν ) 2 ( d ( x λ , y μ ) + d ( y μ , z ν ) ) . If d ( x λ , y μ ) = | λ μ | 2 , λ > μ and d ( y μ , z μ ) = | μ ν | 2 , μ > ν , then | λ ν | 2 | ( λ μ ) + ( μ ν ) | 2 ( | λ μ | + | μ ν | ) 2 2 ( | λ μ | 2 + | μ ν | 2 ) . This shows d ( x λ , z ν ) 2 ( d ( x λ , y μ ) + d ( y μ , z ν ) ) .
  • (LKD3) Suppose d ( x λ , y μ ) = 0 , i.e., λ μ . If λ = μ , then ν < μ d ( x λ , y ν ) = ν < μ | λ ν | 2 = 0 . If λ < μ , then there exists ν such that λ < ν < μ . Therefore, d ( x λ , y ν ) = 0 . Thus, ν < μ d ( x λ , y ν ) = 0 . This shows d ( x λ , y μ ) = ν < μ d ( x λ , y ν ) . Suppose d ( x λ , y μ ) > 0 , i.e., d ( x λ , y μ ) = | λ μ | 2 and λ > μ . For any ν < μ , we have λ > ν and ν < μ d ( x λ , y ν ) = ν < μ | λ ν | 2 = | λ μ | 2 . This shows d ( x λ , y μ ) = ν < μ d ( x λ , y ν ) .
  • (LKD4) The proof is similar to that of (LKD3) and omitted here.
  • (LKD5) It need to prove that s > 1 λ d ( x s , y μ ) = ν > 1 μ d ( y ν , x λ ) . If 1 λ μ 0 , then s > 1 λ > μ , ν > 1 μ > λ . Therefore, s > 1 λ d ( x s , y μ ) = s > 1 λ | s μ | 2 = | 1 λ μ | 2 and ν > 1 μ d ( y ν , x λ ) = ν > 1 μ | ν λ | 2 = | 1 μ λ | 2 . Thus, s > 1 λ d ( x s , y μ ) = ν > 1 μ d ( y ν , x λ ) . If 1 λ μ < 0 , then there exist s > 1 λ and v > 1 μ such that 1 λ < s < μ and 1 μ < ν < λ . Therefore, s > 1 λ d ( x s , y μ ) = 0 and ν > 1 μ d ( y ν , x λ ) = 0 . Thus, s > 1 λ d ( x s , y μ ) = ν > 1 μ d ( y ν , x λ ) .
Step 2: we shall show that d is not a pointwise pseudo metric. Let λ = 5 8 , μ = 3 8 and ν = 1 8 . Then,
d ( x λ , z ν ) = | 5 8 1 8 | 2 = 1 4 , d ( x λ , y μ ) = | 5 8 3 8 | 2 = 1 16 , d ( y μ , z ν ) = | 3 8 1 8 | 2 = 1 16 .
Therefore, d ( x λ , z ν ) 2 ( d ( x λ , y μ ) + d ( y μ , z ν ) ) and d ( x λ , z ν ) d ( x λ , y μ ) + d ( y μ , z ν ) . □
Definition 7.
A mapping f : X Y between pointwise k-quasi-pseudo metric spaces ( X , d X ) and ( Y , d Y ) is called non-expansive if x λ , y μ J ( L X ) ,
d Y f ( x ) λ , f ( y ) μ d X ( x λ , y μ ) .
It is easy to check that pointwise k-quasi-pseudo metric spaces and their non-expansive mappings form a category, denoted by L-KPQMS.
By Definition 6, it is not hard to get the following properties.
Proposition 1.
Let d be a pointwise k-quasi-pseudo metric on X. Then, the following statements hold.
  • (LKD1) * λ μ , d ( x λ , x μ ) = 0 .
  • (LKD3) * ν μ , d ( x λ , y ν ) d ( x λ , y μ ) .
In order to discuss some L-topological type structures induced by a pointwise k-pseudo metric, we need to introduce the concept of a pointwise k-remote neighborhood ball system, which is a generalization of the opposite of the crisp spherical neighborhood system R ( x , r ) = ( B ( x , r ) ) = { y X d ( x , y ) r } .
Definition 8.
Let k 1 be a fixed constant. Apointwise k-remote neighborhood ball systemon X is defined to be a set R = { R r r ( 0 , ) } of maps { R r : J ( L X ) L X } satisfying x λ , y μ , z ν J ( L X ) , r , s > 0 ,
  • (LKR1) r > 0 R r ( x λ ) = L X ;
  • (LKR2)   x λ R r ( x λ ) ;
  • (LKR3)   R s R r R k ( r + s ) , where ( R s R r ) ( x λ ) = { R s ( y μ ) y μ R r ( x λ ) } ;
  • (LKR3)   R r ( x λ ) = s < r R s ( x λ ) ;
  • (LKR4)   γ λ , R r ( x γ ) R r ( x λ ) .
The pair ( X , R ) is called a pointwise k-remote neighborhood ball space. R is calledsymmetric, if it satisfies
  • (LKR6)   y μ γ λ R r ( x γ ) x λ ν μ R r ( y ν ) .
Definition 9.
A mapping f : X Y between pointwise k-remote neighborhood ball spaces ( X , R X ) and ( Y , R Y ) is called continuous if r > 0 , x λ J ( L X ) ,
f L R r Y ( f ( x ) λ ) R r X x λ ) .
It is easy to check that pointwise k-remote neighborhood ball spaces and their continuous mappings form a category, denoted by L-KRNBS.
Proposition 2.
Let ( X , R ) be a pointwise k-remote neighborhood ball space. Then, for any x λ J ( L X ) and for all r , s ( 0 , ) ,
  • (LKR4) * s r R r ( x λ ) R s ( x λ ) .
In the following, the relationships between pointwise k-pseudo metrics and pointwise k-remote neighborhood ball systems are discussed.
Let d be a pointwise k-quasi-pseudo metric on X. For any r ( 0 , ) , define a mapping R r d : J ( L X ) L X by x λ J ( L X ) ,
R r d ( x λ ) = { y μ J ( L X ) d ( x λ , y μ ) r } .
Before proving that R d = { R r d r ( 0 , ) } is a pointwise k-remote neighborhood ball system, we need the following useful lemma.
Lemma 1.
Let d be a pointwise k-quasi-pseudo metric on X. For any r ( 0 , ) and for all x λ , y μ J ( L X ) ,
y μ R r d ( x λ ) d ( x λ , y μ ) r , i . e . , y μ R r d ( x λ ) d ( x λ , y μ ) < r .
Proof. 
From the definition of R r d , it is obvious that d ( x λ , y μ ) r implies y μ R r d ( x λ ) . On the other hand, suppose that y μ R r d ( x λ ) . For any y ν y μ , as
y ν R r d ( x λ ) = { y μ J ( L X ) d ( x λ , y μ ) r } ,
there exists y t J ( L X ) such that d ( x λ , y t ) r and y ν y t . By (LKD3) * , we know d ( x λ , y ν ) d ( x λ , y t ) r . Thus, d ( x λ , y μ ) = ν μ d ( x λ , y ν ) r . □
Theorem 1.
Let d be a pointwise k-quasi-pseudo metric on X. Then, R d = { R r d r ( 0 , ) } is a pointwise k-remote neighborhood ball system, where R r d ( x λ ) = { y μ J ( L X ) d ( x λ , y μ ) r } .
Proof. 
We need to check (LKR1)-(LKR5) in Definition 8.
  • (LKR1) Assume that r > 0 R r d ( x λ ) = B L X . For each y μ B , we have y μ R r d ( x λ ) for all r > 0 . By Lemma 1, we get d ( x λ , y μ ) r for any r > 0 , which contradicts with the fact that d ( x λ , y μ ) [ 0 , ) . Therefore, r > 0 R r d ( x λ ) = L X .
  • (LKR2) It follows from Lemma 1 and (LKD1).
  • (LKR3) Let x λ J ( L X ) .
Take any y μ J ( L X ) with
y μ ( R s d R r d ) ( x λ ) = { R s d ( z w ) z w R r d ( x λ ) } .
Then, there exists some z w J ( L X ) such that z w R r d ( x λ ) and y μ R s d ( z w ) . By Lemma 1, we have d ( x λ , z w ) < r and d ( z w , y μ ) < s . It follows that
d ( x λ , y μ ) k ( d ( x λ , z w ) + d ( z w , y μ ) ) < k ( r + s ) .
Therefore, y μ R k ( r + s ) d ( x λ ) . By the arbitrariness of y μ , we obtain ( R s d R r d ) ( x λ ) R k ( r + s ) d ( x λ ) , i.e., R s d R r d R k ( r + s ) d .
  • (LKR4) It can be obtained from the following equivalences:
    y μ R r d ( x λ ) d ( x λ , y μ ) r s < r , d ( x λ , y μ ) s s < r , y μ R s d ( x λ ) y μ s < r R s d ( x λ ) .
  • (LKR5) For any γ λ , we have d ( x γ , y μ ) d ( x λ , y μ ) . Thus,
    R r d ( x γ ) = { y μ d ( x γ , y μ ) r } { y μ d ( x λ , y μ ) r } = R r d ( x λ ) .
Theorem 2.
If f : ( X , d X ) ( Y , d Y ) is non-expansive between pointwise k-quasi-pseudo metric spaces, then f : ( X , R d X ) ( Y , R d Y ) is continuous between pointwise k-remote neighborhood ball spaces.
Proof. 
It needs to check that f L ( R r d Y ( f ( x ) λ ) ) R r d X ( x λ ) for all x λ J ( L X ) and for any r > 0 .
By the definition of R r d , the inequality can be proved from the following:
f L ( R r d Y ( f ( x ) λ ) ) = f L { z ν J ( L Y ) d Y ( f ( x ) λ , z ν ) r } = f L ( z ν ) J ( L X ) d Y ( f ( x ) λ , z ν ) r f 1 ( z ) ν J ( L X ) d X ( x λ , f 1 ( z ) ν ) r y μ J ( L X ) d X ( x λ , y μ ) r = R r d X ( x λ ) .
Now, we shall consider the opposite problem: whether a pointwise k-quasi-pseudo metric can be induced by a pointwise k-remote neighborhood ball system? The answer is positive and its construction is defined as follows.
Let R = { R r r ( 0 , ) } be a pointwise k-remote neighborhood ball system. Define a map d R : J ( L X ) × J ( L X ) [ 0 , ) by x λ , y μ J ( L X ) ,
d R ( x λ , y μ ) = { r ( 0 , ) y μ R r ( x λ ) } .
Before proving that d R is a pointwise k-quasi-pseudo metric, we need the following meaningful lemma.
Lemma 2.
Let R be a pointwise k-remote neighborhood ball system. For any r ( 0 , ) and for all x λ , y μ J ( L X ) ,
d R ( x λ , y μ ) < r y μ R r ( x λ ) i . e . , d R ( x λ , y μ ) r y μ R r ( x λ ) .
Proof. 
It can be obtained by the following implication:
d R ( x λ , y μ ) < r s < r such that y μ R s ( x λ ) y μ s < r R s ( x λ ) = R r ( x λ ) .
Theorem 3.
Let R = { R r r ( 0 , ) } be a pointwise k-remote neighborhood ball system. Then, d R is a pointwise k-quasi-pseudo metric.
Proof. Step 1: We show d R is well-defined, namely, d R ( x λ , y μ ) [ 0 , ) . If x λ y μ , then there exists some r > 0 such that y μ R r ( x λ ) . By Lemma 2, we have d R ( x λ , y μ ) < r . If x λ = y μ , then d R ( x λ , x λ ) = r > 0 r = 0 . Thus, d R ( x λ , y μ ) [ 0 , ) .
Step 2: we check d R satisfies (LKD1)-(LKD4).
  • (LKD1) d R ( x λ , x λ ) = { r ( 0 , ) x λ R r ( x λ ) } = r > 0 r = 0 .
  • (LKD2) Let s , t ( 0 , ) such that d R ( x λ , y μ ) < s and d R ( y μ , z ν ) < t . By Lemma 2, we know y μ R s ( x λ ) and z ν R t ( y μ ) , which implies
    z ν { R t ( y μ ) y μ R s ( x λ ) } = ( R t R s ) ( x λ ) .
    It follows from R t R s R k ( s + t ) that
    z ν R k ( s + t ) ( x λ ) , i . e . , d R ( x λ , z ν ) < k ( s + t ) .
    Thus, d R ( x λ , z ν ) k ( d R ( x λ , y μ ) + d R ( y μ , z ν ) ) by the arbitrariness of s and t.
  • (LKD3) Take any ν μ with y ν R r ( x λ ) . Then, y μ R r ( x λ ) and d R ( x λ , y ν ) d R ( x λ , y μ ) . This shows ν μ d R ( x λ , y ν ) d R ( x λ , y μ ) . On the other hand, suppose that d R ( x λ , y μ ) < r . Then y μ R r ( x λ ) , which implies there exists some ν μ such that y ν R r ( x λ ) . This means d R ( x λ , y ν ) < r . Further ν μ d R ( x λ , y ν ) < r . By the arbitrariness of r, we deduce ν μ d R ( x λ , y ν ) d R ( x λ , y μ ) .
  • (LKD4) It is easy to be proved from (LKR5) and the Definition of d R .
Theorem 4.
If f : ( X , R X ) ( Y , R Y ) is continuous between pointwise k-remote neighborhood ball spaces, then f : ( X , d R X ) ( Y , d R Y ) is non-expansive between pointwise k-quasi-pseudo metric spaces.
Proof. 
It needs to prove that x λ , y μ J ( L X ) , d R Y ( f ( x ) λ , f ( y ) μ ) d R X ( x λ , y μ ) . By the definition of d R and the continuity of pointwise k-remote neighborhood ball systems, the inequality can be proved from the following:
d R X ( x λ , y μ ) = r > 0 y μ R r X ( x λ ) r > 0 y μ f L R r Y ( f ( x ) λ ) r > 0 f ( y ) μ R r Y ( f ( x ) λ ) = d R Y ( f ( x ) λ , f ( y ) μ )
By Lemmas 1 and 2, it is easy to see that R d R = R and d R d = d . Therefore, we can get the following theorem.
Theorem 5.
The categoryL-KPQMSis isomorphic to the categoryL-KRNBS.
Finally, we shall study the relationship between symmetric versions of pointwise k-quasi-pseudo metric spaces and pointwise k-remote neighborhood ball spaces.
Theorem 6.
Let ( X , d ) be a pointwise k-pseudo metric space. Then, R d is symmetric.
Proof. 
The symmetry of R d can be derived from the following.
y μ γ λ R r d ( x γ ) γ λ , y μ R r d ( x γ ) γ λ , d ( x γ , y μ ) < r γ λ d ( x γ , y μ ) = ν μ d ( y ν , x λ ) < r ν μ , d ( y ν , x λ ) < r ν μ , x λ R r d ( y ν ) x λ ν μ R r d ( y ν ) .
Theorem 7.
Let ( X , R ) be a pointwise k-remote neighborhood ball space. If R is symmetric, then d R is symmetric.
Proof. 
The symmetry of d R can be deduced by the following implications.
γ λ d R ( x γ , y μ ) = γ λ y μ R r ( x λ ) r = y μ γ λ R r ( x λ ) r = x λ ν μ R r ( y ν ) r = ν μ x λ R r ( y ν ) r = ν μ d ( y ν , x λ )
In Figure 1, we present a diagram visualizing the obtained relations between the concepts considered here.
Figure 1. The relationship between d and R .

4. L -Structures Induced by a Pointwise k -Quasi-Pseudo Metric

In this section, we shall give some L-structures induced by a pointwise k-quasi-pseudo metric.
At first, let us recall some facts about crisp k-metric spaces. Let ( X , d ) be a k-metric space. Define B ( x , r ) = { y X d ( x , y ) < r } . Then, the set N d = { N x d x X } is a neighborhood system, where N x d = { A X r > 0 , B ( x , r ) A } . Moreover, T d = { A X x A , r > 0 , B ( x , r ) A } is a topology.
However, S d = { A X A = i I B ( x i , ε i ) } is not a topology, is only a supratopology (or called a pre-topology) and T d S d . The reason is that every open ball B ( x , r ) need not to be an open set in T d because of the violation of triangle inequality in a k-metric space. Readers can refer to the following counterexample.
Example 4
([24]). Let X = { a } [ b , c ] and the length of [ b , c ] is s. Let d t [ b , c ] with d t b = t for any t ( 0 , s ) . The distance on [ b , c ] is the usual Euclidean metric and define d ( a , b ) = s , d ( a , c ) = 2 s , d ( a , d t ) = 2 s t . Then, d is a 2-metric. However, B ( b , δ ) B ( a , s + ε ) for any ε > 0 and δ > 0 .
Through the relationships between pointwise k-quasi-pseudo metrics and pointwise k-remote neighborhood ball systems (see Figure 1), we would like to generalize crisp conclusions to L-fuzzy cases.
First, we introduce an L-quasi neighborhood system induced by a pointwise k-remote neighborhood ball system in the following theorem.
Theorem 8.
Let ( X , R ) be a pointwise k-remote neighborhood ball space. For any x λ J ( L X ) , define Q x λ R L X as follows:
Q x λ R = { A L X r ( 0 , ) , A R r ( x λ ) } .
Then, Q R = { Q x λ R x λ J ( L X ) } is an L-quasi neighborhood system.
Proof. 
We need to check that Q R satisfies (LQ1)-(LQ5) in Definition 3.
  • (LQ1)–(LQ3) hold obviously.
  • (LQ4) For any A , B Q x λ R , there exist r and s such that A R r ( x λ ) and B R s ( x λ ) . Let t = r s . Then R r ( x λ ) R t ( x λ ) and R s ( x λ ) R t ( x λ ) . It follows that ( A B ) = A B R t ( x λ ) . This shows A B Q x λ R .
  • (LQ5) For any A Q x λ R , there exist r > 0 such that A R r ( x λ ) . Let
    B = { R s 2 k ( z ν ) R r ( x λ ) R s ( z ν ) } .
    Then, it is not difficult to get y μ B R r ( x λ ) R s ( z ν ) , y μ R s 2 k ( z ν ) .
Next, we shall show x λ B A and y μ B , B Q y μ .
(i) 
As x λ R r 2 k ( x λ ) , it follows that x λ B . Take any y μ J ( L X ) with y μ A , we have y μ R r ( x λ ) R r 2 k ( x λ ) . Therefore, y μ B . This implies A B . Thus, x λ B A .
(ii) 
For any y μ B , there exists s 2 k > 0 and z ν J ( L X ) such that y μ R s 2 k ( z ν ) and R r ( x λ ) R s ( z ν ) . Note that
R s 2 k ( y μ ) { R s 2 k ( w l ) w l R s 2 k ( z ν ) } = R s 2 k R s 2 k ( z ν ) R k s 2 k + s 2 k ( z ν ) = R s ( z ν ) R r ( x λ ) .
This shows R s 4 k 2 ( y μ ) { R s 2 k ( z ν ) R r ( x λ ) R s ( z ν ) } . Then, B R s 4 k 2 ( y μ ) . Thus, B Q y μ . Combining (i) and (ii), (LQ5) holds.
Theorem 9.
If f : ( X , R X ) ( Y , R Y ) is continuous between pointwise k-remote neighborhood ball spaces, then f : ( X , Q R X ) ( Y , Q R Y ) is continuous between L-quasi neighborhood spaces.
Proof. 
It needs to check that x λ J ( L X ) , U Q f ( x ) λ R Y , f L ( U ) Q x λ R X . For any U Q f ( x ) λ R Y , there exists r > 0 such that U R r Y ( f ( x ) λ ) .
By the continuity of pointwise k-remote neighborhood ball spaces and the order-preserving property of f L , we have
f L ( U ) = f L ( U ) f L R r Y ( f ( x ) λ ) R r X ( x λ ) .
This shows f L ( U ) Q x λ R X . □
As the category L-Top is isomorphic to the category of L-QNS [33,36], it is easy to obtain an L-topology induced by R , that is,
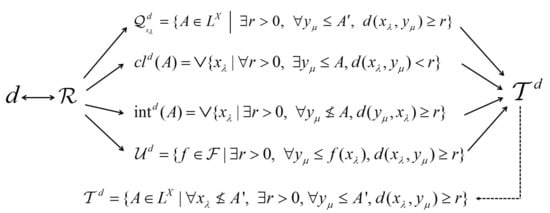
T R = { A L X x λ A , r > 0 , A R r d ( x λ ) } .
Further, we can get an L-topology induced by a pointwise k-pseudo-quasi metric through Figure 1 as a link,
T d = { A L X x λ A , r > 0 , y μ A , d ( x λ , y μ ) r } .
In [33,36], it is also shown that there is a one-to-one correspondence between L-quasi neighborhood systems and L-closure operators. Precisely speaking, if Q is an L-quasi neighborhood system, then
c l Q ( A ) = { x λ J ( L X ) A Q x λ }
is an L-closure operator induced by Q . Conversely, if c l is an L-closure operator, then Q c l = { Q x λ c l x λ J ( L X ) } is an L-quasi neighborhood system induced by c l , in which Q x λ c l = { A L X x λ c l ( A ) } .
As we have already gotten Q x λ R = { A L X r ( 0 , ) , A R r ( x λ ) } in Theorem 8, we have the following conclusions.
Theorem 10.
Let ( X , R ) be a pointwise k-remote neighborhood ball space. Define c l R : L X L X by
c l R ( A ) = { x λ J ( L X ) r > 0 , A R r ( x λ ) } .
Then, c l R is an L-closure operator.
By Figure 1, we know that an L-closure operator induced by a pointwise k-pseudo metric d can be expressed by
c l d ( A ) = { x λ J ( L X ) r > 0 , y μ A , d ( x λ , y μ ) < r } .
In the following, we shall give a formula of i n t R .
Theorem 11.
Let ( X , R ) be a pointwise k-remote neighborhood ball space. Define i n t R : L X L X by
i n t R ( A ) = { x λ J ( L X ) r > 0 , y μ A , x λ R r ( y μ ) } .
Then i n t R is an L-interior operator.
Proof. 
We need to check (LI1)-(LI4) in Definition 5.
  • (LI1), (LI2) are obvious.
  • (LI3) It is clear that i n t R ( A B ) i n t R ( A ) i n t R ( B ) , since i n t R : L X L X is order-preserving. What remains is to prove i n t R ( A B ) i n t R ( A ) i n t R ( B ) . Take any x λ J ( L X ) with x λ i n t R ( A ) i n t R ( B ) , we have x λ i n t R ( A ) and x λ i n t R ( B ) . Then there exist r > 0 , s > 0 such that x λ R r ( y μ ) for any y μ A and x λ R s ( z ν ) for any z ν B .
    Let t = r s . Suppose that w l A B (i.e., w l A or w l B ). If w l A , then x λ R r ( w l ) R t ( w l ) . If w l B , then x λ R s ( w l ) R t ( w l ) . Hence x λ R t ( w l ) for any w l A B . This shows x λ i n t R ( A B ) . From the arbitrariness of x λ , we obtain i n t R ( A ) i n t R ( B ) i n t R ( A B ) .
  • (LI4) It suffices to prove that i n t R ( A ) i n t R ( i n t R ( A ) ) .
Take any x λ J ( L X ) with x λ i n t R ( A ) , there exist r > 0 such that x λ R r ( y μ ) for any y μ A . In order to show x λ i n t R ( i n t R ( A ) ) , we need to prove whether there exists r ˜ > 0 such that x λ R r ˜ ( z ν ) for any z ν i n t R ( A ) . Let r ˜ = r 2 k . For any z ν i n t R ( A ) , there exists y μ ˜ A such that z ν R s ( y μ ˜ ) for all s > 0 . Fix s = r 2 k > 0 . Then, z ν R r 2 k ( y μ ˜ ) and x λ R r ( y μ ˜ ) . As
( R r 2 k R r 2 k ) ( y μ ˜ ) = { R r 2 k ( z ν ) z ν R r 2 k ( y μ ˜ ) }
and (LKR3), it follows that
x λ R r ( y μ ˜ ) ( R r 2 k R r 2 k ) ( y μ ˜ ) R r 2 k ( z ν ) .
Thus, x λ R r 2 k ( z ν ) . Therefore, x λ i n t ( i n t ( A ) ) . From the arbitrariness of x λ , we obtain i n t R ( A ) i n t R ( i n t R ( A ) ) . □
By Figure 1, we know that an L-interior operator induced by a pointwise k-pseudo metric d can be expressed by
i n t d ( A ) = { x λ r > 0 , y μ A , d ( y μ , x λ ) r } .
Finally, we shall discuss whether a pointwise k-remote neighborhood ball system can induce a pointwise quasi-uniformity or not. Before answering this question, some concepts related to a pointwise quasi-uniformity introduced in [37] are recalled.
Let F = { f : J ( L X ) L X | f is order-preserving } such that x λ f ( x λ ) . For any f , g F , define
(1)
f g x λ J ( L X ) , f ( x λ ) g ( x λ ) ;
(2)
( f g ) ( x λ ) = f ( x λ ) g ( x λ ) ;
(3)
( f g ) ( x λ ) = { f ( y μ ) y μ g ( x λ ) } .
It is not difficult to prove that f g F , f g F and the operators ∨ and ⊙ satisfy the associativity law.
Definition 10
([37]). A mapping f F is said to be symmetric if it satisfies the following condition:
y μ γ λ f ( x γ ) x λ ν μ f ( y ν ) .
Definition 11
([37]). A non-empty subset U F is called a pointwise quasi-uniformity on L X if it satisfies
  • (LU1) f F , g U , f g implies f U ;
  • (LU2) f , g U implies f g U ;
  • (LU3) f U implies g U such that g g f .
A subset A U is called a basis of U if f U , g A such that f g , namely, U = { f F g A , s . t . f g } . A pointwise quasi-uniformity is called a pointwise uniformity if it has a symmetric basis.
Definition 12
([37]). An order homomorphism F : X Y is said to be pointwise quasi-uniformly continuous with respect to pointwise quasi-uniformities U X and U Y if for each g U Y , there exists f U X such that
x λ , y μ J ( L X ) , y μ f ( x λ ) F L ( y μ ) g ( F L ( x λ ) ) .
Theorem 12
([37]). Let F : X Y be an order homomorphism. Then, F : ( X , U X ) ( Y , U Y ) is quasi-uniformly continuous if and only if g U Y , f U X such that F L g F L f .
By the conditions in Definition 8 and Proposition 2, it is easy to know that a (symmetric) pointwise k-remote neighborhood ball system R = { R r : J ( L X ) L X r > 0 } is a (symmetric) basis of a pointwise uniformity. Then, we have the following theorems.
Theorem 13.
Let ( X , R ) be a (symmetric) pointwise k-remote neighborhood ball space. Define U R F by
U R = { f F r > 0 , f R r }
Then, U R is a pointwise quasi-uniformity (pointwise uniformity).
By Figure 1, we know that a pointwise (quasi)-uniformity induced by a pointwise k-(quasi) pseudo metric d can be expressed by
U d = { f F r > 0 , y μ f ( x λ ) , d ( x λ , y μ ) r } .
Theorem 14.
If F : ( X , R X ) ( Y , R Y ) is continuous between pointwise k-remote neighborhood ball spaces, then F : ( X , U R X ) ( Y , U R Y ) is quasi-uniformly continuous between pointwise quasi-uniform spaces.
Proof. 
For any g U R Y , there exists r > 0 such that g R r Y . By the continuity of pointwise k-remote neighborhood ball spaces and the order-preserving property of F L , we have
( F L g F L ) ( x λ ) = F L g ( F ( x ) λ ) F L ( R r Y ( F ( x ) λ ) ) R r X ( F L ( F ( x ) λ ) ) = R r X ( x λ )
As R r X U R X , it follows that F is quasi-uniformly continuous between pointwise uniform spaces ( X , U R X ) and ( Y , U R Y ) . □
At the end of the paper, we present a diagram illustrating the obtained here results about L-structures induced by k-quasi-pseudo metrics (see Figure 2).
Figure 2. L-structures induced by d.

5. Conclusions

In this paper, the definition of a pointwise k-(quasi) pseudo metric and a pointwise k-remote neighborhood ball system were introduced. We showed that the category of pointwise k-pseudo metric spaces is isomorphic to the category of symmetric pointwise k-remote neighborhood ball spaces. Besides, we discussed some L-topological structures induced by a pointwise k-quasi-pseudo metric and investigated their properties.
Some research works about the concept of an ( L , M ) -fuzzy k-metric and its induced ( L , M ) -fuzzy structures would be our interest in the future. Furthermore, we plan to generalize an ( L , M ) -fuzzy k-metric to an ( L , M ) -fuzzy partial k-metric and study its properties.

Author Contributions

Y.Z., A.Š. and F.-G.S. contributed equally to this work. All authors have read and agreed to the published version of the manuscript.

Funding

This work is supported by the National Natural Science Foundation of China (No. 11901007, No. 11871097), Beijing Natural Science Foundation (No. 1204029), North China University of Technology Research Fund Program for Young Scholars (No. 110051360002), Fundamental Research Funds of Beijing Municipal Education Commission (No. 110052972027/143), and North China University of Technology Research Fund Program for Key Discipline (No. 110052972027/014).

Data Availability Statement

Not applicable.

Acknowledgments

The authors would like to express their sincere thanks to the anonymous reviewers for their careful reading and constructive comments.

Conflicts of Interest

The authors declare no conflict of interest.

References

  1. Erceg, M.A. Metric spaces in fuzzy set theory. J. Math. Anal. Appl. 1979, 69, 205–230. [Google Scholar] [CrossRef] [Green Version]
  2. Gutiérrez García, J.; de Prada Vicente, M.A. Hutton [0, 1]-quasi-uniformities induced by fuzzy (quasi-)metric spaces. Fuzzy Sets Syst. 2006, 157, 755–766. [Google Scholar] [CrossRef]
  3. George, A.; Veeramani, P. On some results in fuzzy metric spaces. Fuzzy Sets Syst. 1994, 64, 395–399. [Google Scholar] [CrossRef] [Green Version]
  4. Grabiec, M. Fixed points in fuzzy metric spaces. Fuzzy Sets Syst. 1988, 27, 385–389. [Google Scholar] [CrossRef]
  5. Kaleva, O.; Seikkala, S. On fuzzy metric spaces. Fuzzy Sets Syst. 1984, 12, 215–229. [Google Scholar] [CrossRef]
  6. Kramosil, I.; Michalek, J. Fuzzy metrics and statistical metric spaces. Kybernetika 1975, 11, 336–344. [Google Scholar]
  7. Pang, B. Categorical properties of L-fuzzifying convergence spaces. Filomat 2018, 32, 4021–4036. [Google Scholar] [CrossRef]
  8. Mardones-Pérez, I.; de Prada Vicente, M.A. A representation theorem for fuzzy pseudo metrics. Fuzzy Sets Syst. 2012, 195, 90–99. [Google Scholar] [CrossRef]
  9. Mardones-Pérez, I.; de Prada Vicente, M.A. Fuzzy pseudometric spaces vs. fuzzifying structures. Fuzzy Sets Syst. 2015, 267, 117–132. [Google Scholar] [CrossRef]
  10. Morsi, N.N. On fuzzy pseudo-normed vector spaces. Fuzzy Sets Syst. 1988, 27, 351–372. [Google Scholar] [CrossRef]
  11. Shi, F.G. Pointwise pseudo-metric in L-fuzzy set theory. Fuzzy Sets Syst. 2001, 121, 209–216. [Google Scholar] [CrossRef]
  12. Shi, Y.; Shen, C.; Shi, F.G. L-partial metrics and their topologies. Int. J. Approx. Reason. 2020, 121, 125–134. [Google Scholar] [CrossRef]
  13. Shi, Y. Betweenness relations and gated sets in fuzzy metric spaces. Fuzzy Sets Syst. 2021, in press. [Google Scholar] [CrossRef]
  14. Xiu, Z.Y. Convergence structures in L-concave spaces. J. Nonlinear Convex Anal. 2020, 21, 2693–2703. [Google Scholar]
  15. Xiu, Z.Y.; Li, L.; Zhu, Y. A degree approach to special mappings between (L, M)-fuzzy convex spaces. J. Nonlinear Convex Anal. 2020, 21, 2625–2635. [Google Scholar]
  16. Yue, Y.; Shi, F.G. On fuzzy pseudo-metric spaces. Fuzzy Sets Syst. 2010, 161, 1105–1116. [Google Scholar] [CrossRef]
  17. Zhang, L.; Pang, B. Strong L-concave structures and L-convergence structures. J. Nonlinear Convex Anal. 2020, 21, 2759–2769. [Google Scholar]
  18. Zhang, L.; Pang, B. The category of residuated lattice valued filter spaces. Quaest. Math. 2021. [Google Scholar] [CrossRef]
  19. Deng, Z.K. Fuzzy pseudo metric spaces. J. Math. Anal. Appl. 1982, 86, 74–95. [Google Scholar] [CrossRef] [Green Version]
  20. Liang, J.H. Some questions on fuzzy metrics. Ann. Math. 1984, 1, 59–67. (In Chinese) [Google Scholar]
  21. Peng, Y.W. Pointwise p.q. metrics and its induced the family of mappings on completely distributive lattices. Ann. Math. 1992, 3, 353–359. (In Chinese) [Google Scholar]
  22. Bakhtin, I.A. The contraction mapping principle in almost metric spaces. Funct. Anal. 1989, 30, 26–37. [Google Scholar]
  23. Czerwik, S. Contraction mapping in b-metric spaces. Acta Math. Inform. Univ. Ostrav. 1993, 1, 5–11. [Google Scholar]
  24. Šostak, A.P. Some remarks on fuzzy k-pseudometric spaces. Filomat 2018, 32, 3567–3580. [Google Scholar] [CrossRef]
  25. Hussain, N.; Salimi, P.; Parvaneh, V. Fixed point results for various contractions in parametric and fuzzy b-metric spaces. J. Nonlinear Sci. Appl. 2015, 8, 719–739. [Google Scholar] [CrossRef]
  26. Nǎdxaxban, S. Fuzzy b-metric spaces. Int. J. Comput. Commun. Control 2016, 11, 273–281. [Google Scholar]
  27. Zhong, Y.; Šostak, A.P. A new definition of fuzzy k-pseudo metric and its induced fuzzifying structures. Iran. J. Fuzzy Syst. 2020. accepted. [Google Scholar]
  28. Gierz, G.; Hofmann, K.H.; Keimel, K. A Compendium of Continuous Lattices; Springer: Berlin/Heidelberg, Germany, 1980. [Google Scholar]
  29. Pu, B.M.; Liu, Y.M. Fuzzy topology (I), Neighborhood structures of a fuzzy point and Moore-smith convergence. J. Math. Anal. Appl. 1980, 76, 571–599. [Google Scholar]
  30. Chang, C.L. Fuzzy topological spaces. J. Math. Anal. Appl. 1968, 24, 182–190. [Google Scholar] [CrossRef] [Green Version]
  31. Goguen, J.A. L-fuzzy sets. J. Math. Anal. Appl. 1967, 18, 145–174. [Google Scholar] [CrossRef] [Green Version]
  32. Goguen, J.A. The fuzzy Tychonoff theorem. J. Math. Anal. Appl. 1973, 43, 737–742. [Google Scholar] [CrossRef] [Green Version]
  33. Liu, Y.M.; Luo, M.K. Fuzzy Topology; World Scientific Publication: Singapore, 1998. [Google Scholar]
  34. Fang, J. Categories isomorphic to L-FTOP. Fuzzy Sets Syst. 2006, 157, 820–831. [Google Scholar]
  35. Shi, F.G. L-fuzzy interiors and L-fuzzy closures. Fuzzy Sets Syst. 2009, 160, 1218–1232. [Google Scholar] [CrossRef]
  36. Shi, F.G. (L,M)-fuzzy metric spacs. Indian J. Math. 2010, 52, 231–250. [Google Scholar]
  37. Shi, F.G. Pointwise uniformities in fuzzy set theory. Fuzzy Sets Syst. 1998, 98, 141–146. [Google Scholar]
Publisher’s Note: MDPI stays neutral with regard to jurisdictional claims in published maps and institutional affiliations.

Article Metrics

Citations

Article Access Statistics

Multiple requests from the same IP address are counted as one view.