Abstract
In this paper, an effective numerical method for the Dirichlet problem connected with the Helmholtz equation is proposed. We choose a single-layer potential approach to obtain the boundary integral equation with the density function, and then we deal with the weakly singular kernel of the integral equation via singular value decomposition and the Nystrom method. The direct problem with noisy data is solved using the Tikhonov regularization method, which is used to filter out the errors in the boundary condition data, although the problems under investigation are well-posed. Finally, a few examples are provided to demonstrate the effectiveness of the proposed method, including piecewise boundary curves with corners.
1. Introduction
Scattering problems are described by the boundary value problems governed by the partial differential equations and take place in many application of engineering and science, such as medical diagnosis, environmental science, and geological prospecting. The steady-state wave equation or Helmholtz equation is used to describe the motion of acoustic waves. In this paper, we establish a mathematical model described by the Dirichlet problem for the Helmholtz equation, which can be regarded as the direct solution to the Dirichlet boundary value problem for the Helmholtz equation. In fact, the data on the boundary are often found to contain noise, which may lead to the non-uniqueness of the solution []. Therefore, some regularization methods play the role of obtaining stable solutions.
The boundary element method has been developed since 1967 by Rizzo [] and has been widely used in potential [], acoustics [], elasticity [,,], and heat conduction problems [,]. Its main idea is to obtain the integral expression of the unknown function on the boundary by using the Green formula or potential theory and then limit the solution to the boundary of the region by using the idea of a limit to obtain the boundary integral equation. The boundary element method (BEM) can be used in direct and indirect problems. Sometimes, degenerate scale problems occur if the conventional BEM is used for solving problems. Thus, this method has been improved by many scholars. In order to solve the rank deficiency problem, hypersingular formulation and the Combined Helmholtz Exterior integral Equation Formulation(CHEEF) concept are adopted, which can avoid the zero singular value and promote the rank of the singular matrix. Chen et al. [,] not only employ the hypersingular formulation in the dual BEM to solve the degenerate scale problem but also build a bridge between the degenerate scale in BEM/BIEM and the unit logarithmic capacity in the theory of complex variables. Chen et al. [] introduced the Ficheras concept [,] into the indirect boundary element method (IBEM), which can solve the ill-posed problems resulting from a degenerate scale in the case of the two-dimensional Laplace equation with a Dirichlet boundary condition. Based on the Ficheras concept, Chen et al. [] studied the field of both interior and exterior problems. They added a complete base with a constant and an extra constraint to conventional BEM. The enriched IBEM is applicable not only to the interior two-dimensional problem in the case of a degenerate scale but also to the exterior problem of the infinite bounded potential on arbitrary scales. Alves and Valtchev [] used a set of special solutions to enrich the MFS approximation basis, overcoming the difficulties in the approximation of discontinuous functions. In [,], the author modified MFS with the normal derivatives and retained the MFS invariant property under minor coordinate changes. It is worth mentioning that a degenerate scale exists also in dynamics: in some cases, solving the Helmholtz equation also involves degenerate scales [], owing to the asymptotically dynamic singular kernel. Other boundary element methods have also been investigated. Turco [] successfully solved the linear equations based on the boundary element method via a stopping criterion based on the GCV Monte Carlo simulation and the conjugate gradient method (CGM). In [,], boundary elements were studied by decomposing the singular value and using land-weber iteration, respectively, by Marin and Lesnic. We can refer readers to the works by Li et al. [], Gu et al. [], and Zabaras et al. [] for further reading.
We considered a Dirichlet problem connected with the Helmholtz equation by a singer-layer potential approach, in which we were able to obtain the numerical approximation of the solution on the boundary as well as on the interior of the whole domain. For a given data point with a certain accuracy, the more accurate the output of the numerical solution, the better the results of the algorithm. From [], minor changes in the boundary data also have a small impact on the numerical solution. In practice, the boundary data contain noise. Here, the Tikhonov regularization method [] can be used to achieve a stable solution of the boundary data. By using the Tikhonov regularization method, the numerical solution obtains good accuracy and stability.
2. Mathematical Formulation and the Solution Method
Consider the following, which is the Helmholtz equation:
with the Dirichlet boundary condition:
where is a bounded and simply connected domain with a piecewise smooth boundary , and is given on the boundary . The problem presented in (1) and (2) is a boundary value problem.
In addition, it is also assumed that the boundary condition is the noisy data represented by , and this assumption is consistent with real-life problems where the measured data contais noise. For another example of real-life applications of scattering problems, please see [].
Under the above assumption, we choose the form of a single-layer potential function (see []) to approximate the solution u of Equation (1), with the density function
where is given by , and is the zero-order Hankel function of the first kind.
Provided that the single-layer potential u given by (3) satisfies the Dirichlet boundary condition (2) on , i.e.,
then the single layer potential u given by (3) is the solution of the problem presented in Equations (1) and (2). Tjhis means that we have
In this paper, we assume that the boundary is regular analytic and periodic, the parametric expression of which is in the form of
Then, by direct calculation and by combining the parameter expression of , we transform Equation (5) into
where we have set and t, , respectively, to represent the parametrization value of the points x and y. The kernels are given by
For , we can see that the kernel M has logarithmic singularities at . Therefore, in order to properly numerically deal with these factors, we divide the kernels into two parts using the method from Martensen [] and Kussmaul [].
where
and
For , we can obtain
From [], we find
By direct calculation with the two formulas mentioned above, we can obtain
For , we note that although the kernel M is continuous, separating the logarithmic part of M is favorable for numerical accuracy because the derivative of M is discontinuous at .
Therefore, an integral equation of the following form needs to be numerically solved:
in which we can write the kernel in the form
where , , and f are analytic functions.
The Nystrm method is used to directly approximate the integral with the quadrature formula. In our case, we disperse the interval with a set of knots , , and use a quadrature ruler to calculate the periodic integrands.
Then, we use the quadrature weights given by
to calculate the weakly singular kernel and use the trapezoidal rule to calculate the smooth integral kernel
In the Nystrm method, combining Equations (7) and (8), the integral Equation (6) is replaced by
Equation (9) is an approximated form of Equation (6) made by dispersing and , respectively, with the quadrature rule (7) and the trapezoidal rule (8).
The solution of (9) is determined by solving a finite dimensional linear system.
i.e.,
where
3. Regularization Method
The purpose of the regularization method is to construct a stable algorithm. If an unstable algorithm is used to solve the problem, the error of the solution will be large, resulting in an unreliable solution. Next, system (10) is solved via the Tikhonov regularization method combined with the Morozov discrepancy principle. Generally speaking, the right vector b of the system (10) has a perturbed term, so it can be written as the perturbed vector ; therefore, the following perturbed equations should be considered.
To be more precise, with measured noisy data, is denoted by . is the amplitude of the disturbed data or the percentage of noise, and the number rand(i) is a pseudo-random number extracted from the standard uniform distribution in the interval [−1,1] produced by the Matlab command −1 + 2 rand (1,i).
The standard Tikhonov regularized solution of the system (10) is given by
where the regularization parameter is chosen by the Morozov discrepancy principle.
From Equation (13), we can observe that the regularization parameter plays a decisive role in the accuracy of the solution. In this paper, we use the Morozov discrepancy principle to achieve the regularization parameter . The calculation of can be performed with the Newton method, as shown below:
- Set , and give an initial regularization parameter ;
- Get from ;
- Get , from ;
- Get and by
- Set . If , end. Else, set and return to 2.
The regularization method is used to regularize Equation (11), which means solving Equation (12). From [], we can see that solution of Equation (12) is unique. Of course, it is very important to choose proper regularization parameters. When the regularization parameter is given the value , we can obtain the corresponding regularization solution.
4. Numerical Examples and Discussion
In this section, we list some numerical examples to explain the effectiveness of our algorithm. The realization of the algorithm is based on the Matlab software.
In this paper, is chosen for the numerical experiment. As mentioned in the above section, the boundary conditions are the measured noisy data satisfying . In order to check the accuracy of the numerical solution, we denote the analytical and numerical solution by and , respectively. We define the normalized relative RMS error on , the total relative error, and the relative errors of u in each knot , , , as follows:
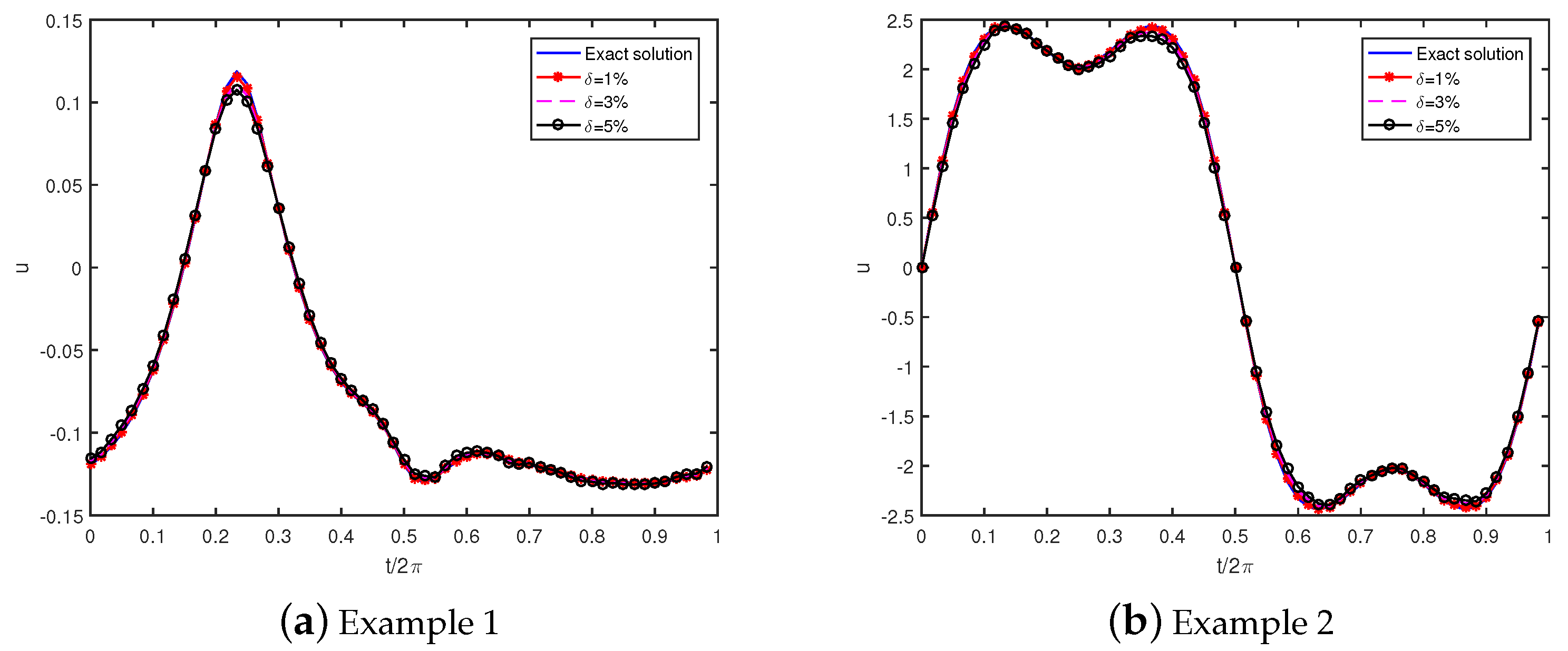
Example 1.
We consider that the exact solution of the Helmholtz equation is
y = (0, 1.5) is selected, which is a point outside the region D. D is a triangle-shaped, and the boundary is described by the parametric representation
Example 2.
Consider that the exact solution of the Helmholtz equation is
the boundary is a peanut-shaped curve and is described by the parametric representation
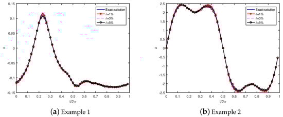
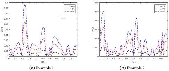
Figure 1 shows the numerical solutions with the percentages of noise for Examples 1 and 2, and Figure 2 shows the relative errors of u in each knot , , . We can observe that the numerical solutions can stably approximate and converge to the exact solution as the percentage of noise decreases.
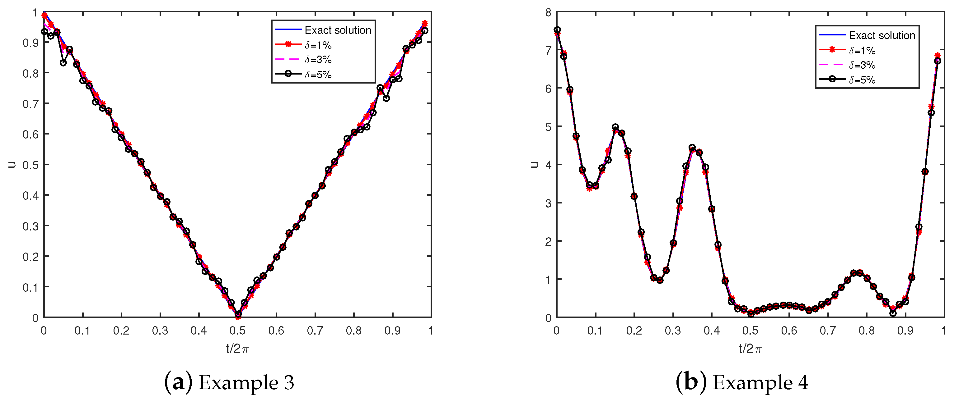
Example 3.
The f on the boundary is given by
is a kite-shaped curve, and has the parameter expression
Example 4.
is an irregular amoeba-like domain (see Figure 3) and is described by the parametric representation

Figure 1.
The numerical solutions with the percentages of noise increasing from 1% to 5% on .

Figure 2.
The relative errors of u in each knot with the percentages of noise increasing from 1% to 5% on .

Figure 3.
Irregular amoeba-like domain.
The f on the boundary is given by .
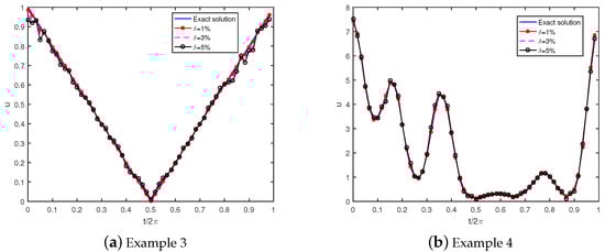
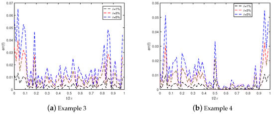
We can observe that the exact solution is not available for this Dirichlet boundary value problem. Figure 4 and Figure 5 show the numerical solutions and the relative errors in each knot , , , for computing on the computing domain , which are obtained using the proposed method. Table 1 shows the total relative error with percentages of noise increasing from 1% to 5% in the boundary data. From the figures and tables, we can observe that the numerical solution stably approximates to the exact solution on the computing domain . Compared with the case of the available analytical solution, we can find that this total relative error increases, especially when the noise level increases.

Figure 4.
The numerical solutions with the percentages of noise increasing from 1% to 5% on .

Figure 5.
The relative errors of u in each knot with the percentages of noise increasing from 1% to 5% on .

Table 1.
The total errors with the percentages of noise increasing from 1% to 5% on for Examples 1–4.
To study the accuracy of the proposed method, Table 1 lists the total relative errors, , obtained using the the proposed method when the percentage of noise increases from 1% to 5% for Examples 1–4.
In the previous problems, we obtained the numerical results on . In this example, we consider the numerical results for the interior of the region D.
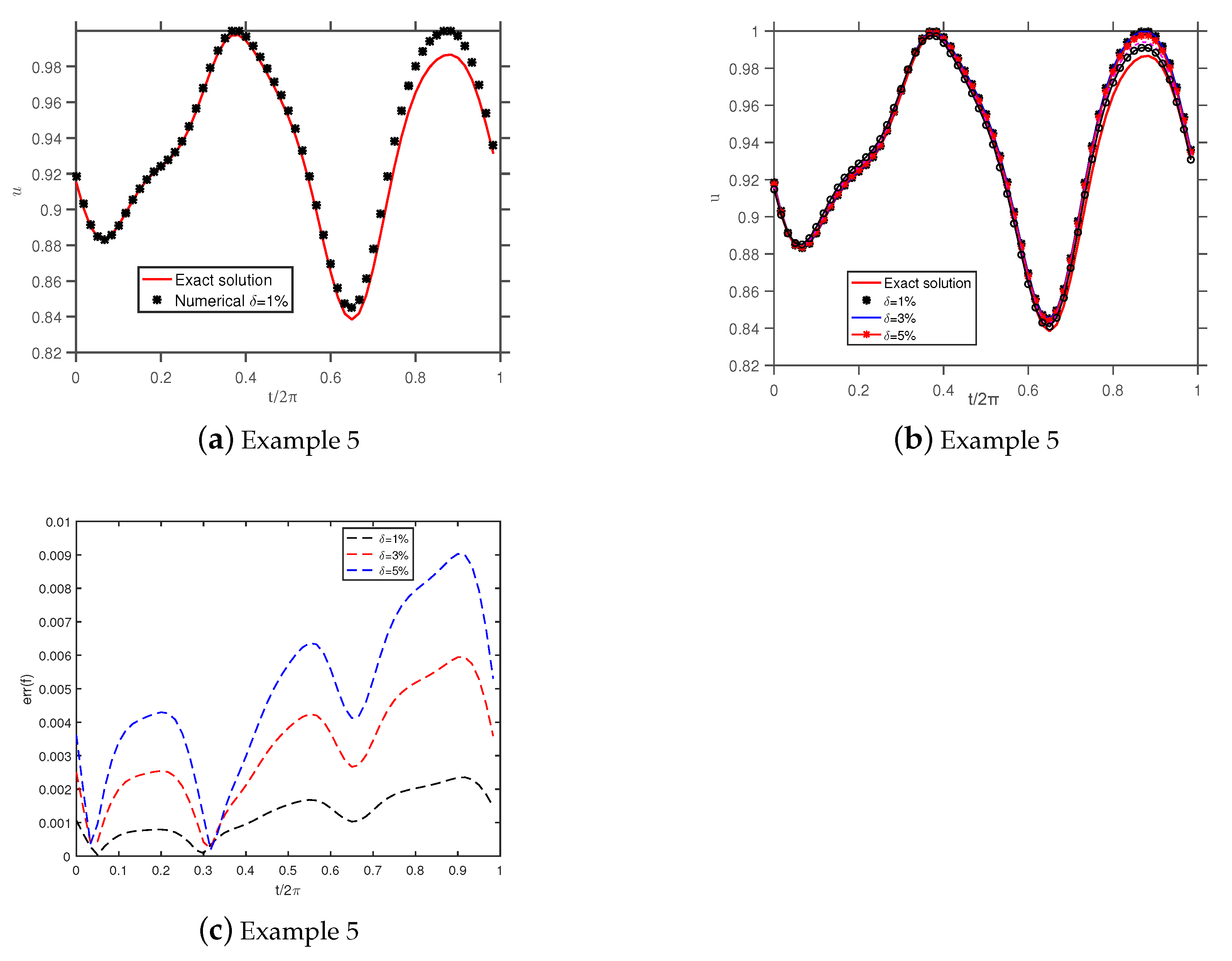
Example 5.
Consider that the exact solution of the Helmholtz equation is
We choose . D is a triangle-shaped domain, and the boundary has a parametric representation
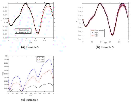
D is an apple-shaped domain with the curve Γ;, where the numerical results are computed. In fact, the numerical results can be achieved on any interior point of the region. To test the effectiveness of the method on the interior of the region, we take Γ as an example to compute the numerical solutions . Here, we consider a curve that is defined parametrically by
In order to show the effectiveness of the presented method, we also present a comparative study about the proposed method and the method of fundamental solution (MFS) for . Figure 6a shows the numerical solution for the MFS. Figure 6b shows the numerical solution of u for Example 5. From Figure 6a,b, we can see that the method presented in this paper gives results with greater accuracy than the MFS. Figure 6c shows the relative errors of u in each knot , , on with the percentages of noise increasing from 1% to 5% in the boundary data. Table 2 lists the total errors , which are achieved by using the presented method when the amounts of noise added to the boundary data increase from 1% to 5% for Example 5. From these figures, we can observe that the numerical solutions achieved by the proposed method also yield accurate, convergent, and stable numerical solutions for the interior of the region .

Figure 6.
Apple-shaped domain; the numerical solutions and the relative errors of u in each knot with the the percentages of noise increasing from 1% to 5% on for Example 5.

Table 2.
The total errors with the percentages if noise increasing from 1% to 5% on for Example 5.
Finally, we check the effectiveness of the regularization method in constructing a stable algorithm. From Figure 7, we can see that if we do not use the regularization, the numerical result is very different from the exact solution.

Figure 7.
The numerical solutions for Example 5: (a) noisy data, (b) the errors for , (c) the numerical solutions.
5. Conclusions
In this paper, we use a singer-layer potential approach to deal with the Dirichlet problem connected with the Helmholtz equation. Combining Tikhonov regularization with the Morozov discrepancy principle, we solve the direct problem with noisy data. Here, the regularization filters out the errors in the boundary condition data for the problems under investigation. Finally, some numerical examples are given, including the case in which there is no analytical solution. From the analysis of numerical examples, we can see that our proposed method exhibits effectiveness and stability.
Author Contributions
Conceptualization, Y.S.; methodology, Y.S.; software, S.H.; writing—original draft preparation, S.H.; writing—review and editing, Y.S. Both authors have read and agreed to the published version of the manuscript.
Funding
The research was supported by the fundamental Research Funds for the Central Universities (No. 3122019159).
Institutional Review Board Statement
Not applicable.
Informed Consent Statement
Not applicable.
Data Availability Statement
Not applicable.
Conflicts of Interest
The authors declare no conflict of interest.
References
- Kress, R. Linear Integral Equations; Springer: Berlin/Heidelberg, Germany, 1989. [Google Scholar]
- Rizzo, F.J. An integral equation approach to boundary value problems in classical elastostatics. Q. Appl. Math. 1967, 25, 83–95. [Google Scholar] [CrossRef]
- Chen, J.T.; Chen, K.H.; Chen, I.L.; Liu, L.W. A new concept of modal participation factor for numerical instability in the dual BEM for exterior acoustics. Mech. Res. Commun. 2003, 30, 161–174. [Google Scholar] [CrossRef]
- He, W.J.; Ding, H.J.; Hu, H.C. Non-equivalence of the conventional boundary integral formulation and its elimination for two-dimensional mixed potential problems. Comput. Struct. 1996, 60, 1029–1035. [Google Scholar] [CrossRef]
- Marin, L.; Lesnic, D. Boundary element solution for the Cauchy problem in linear elasticity using singular value decomposition. Comput. Methods Appl. Mech. Eng. 2002, 191, 3257–3270. [Google Scholar] [CrossRef]
- Marin, L.; Lesnic, D. Regularized boundary element solution for an inverse boundary value problem in linear elasticity. Commun. Numer. Methods Eng. 2002, 18, 817–825. [Google Scholar] [CrossRef]
- Marin, L.; Lesnic, D. Boundary element-Landweber method for the Cauchy problem in linear elasticity. IMA J. Appl. Math. 2005, 18, 817–825. [Google Scholar] [CrossRef]
- Wang, F.; Chen, W.; Qu, W.; Gu, Y. A BEM formulation in conjunction with parametric equation approach for three-dimensional Cauchy problems of steady heat conduction. Eng. Anal. Bound. Elem. 2016, 63, 1–14. [Google Scholar] [CrossRef]
- Sun, Y. Indirect boundary integral equation method for the Cauchy problem of the Laplace equation. J. Sci. Comput. 2017, 71, 469–498. [Google Scholar] [CrossRef]
- Chen, J.T.; Kuo, S.R.; Lin, J.H. Analytical study and numerical experiments for degenerate scale problems in the boundary element method for two-dimensional elasticity. Int. J. Numer. Methods Eng. 2002, 54, 1669–1681. [Google Scholar] [CrossRef]
- Kuo, S.R.; Chen, J.T.; Kao, S.K. Linkage between the unit logarithmic capacity in the theory of complex variables and the degenerate scale in the BEM/BIEMs. Appl. Math. Lett. 2013, 26, 929–938. [Google Scholar] [CrossRef]
- Chen, J.T.; Lee, Y.T.; Kuo, S.R.; Chen, Y.W. Analytical derivation and numerical experiments of degenerate scale for an ellipse in BEM. Eng. Anal. Bound. Elem. 2012, 36, 1397–1405. [Google Scholar] [CrossRef]
- Hsiao, G.; Maccamy, R.C.; Kuo, S.R. Solution of boundary value problems by integral equations of the first kind. SIAM Rev. 1973, 15, 687–705. [Google Scholar] [CrossRef]
- Fichera, G. Linear elliptic equations of higher order in two independent variables and singular integral equations. In Proceedings Conference on Partial Differential Equations and Continuum Mechanics; University of Wisconsin Press: Madison, WI, USA, 1961. [Google Scholar]
- Chen, J.T.; Chang, Y.L.; Kao, S.K.; Jian, J. Revisit of the Indirect Boundary Element Method: Necessary and Sufficient Formulation. J. Sci. Comput. 2015, 65, 467–485. [Google Scholar] [CrossRef]
- Alves, C.J.S.; Valtchev, S.S. On the application of the method of fundamental solutions to boundary value problems with jump discontinuties. Appl. Math. Comput. 2018, 320, 61–74. [Google Scholar]
- Sun, Y. A meshless method based on the method of fundamental solution for solving the steady-state heat conduction problems. Int. J. Heat Mass Transf. 2016, 97, 891–907. [Google Scholar] [CrossRef]
- Sun, Y. Modified method of fundamental solutions for the Cauchy problem connected with the Laplace equation. Int. J. Comput. Math. 2014, 91, 2185–2198. [Google Scholar] [CrossRef]
- Kress, R.; Spassov, W.T. On the condition number of boundary integral operators for the exterior Dirichlet problem for the Helmholtz equation. Numer. Math. 1983, 42, 77–85. [Google Scholar] [CrossRef]
- Turco, E. An effective algorithm for reconstructing boundary conditions in elastic solids. Comput. Methods Appl. Mech. Eng. 2001, 190, 3819–3829. [Google Scholar] [CrossRef]
- Li, J.; Chen, W.; Qin, Q.; Fu, Z. A modified dual-level fast multipole boundary element method for large-scale three-dimensional potential problems. Comput. Phys. Commun. 2018, 233, 51–61. [Google Scholar] [CrossRef]
- Gu, Y.; Hua, Q.; Zhang, C.; He, X. The generalized finite difference method for long-time transient heat conduction in 3D anisotropic composite materials. Appl. Math. Model. 2019, 71, 316–330. [Google Scholar] [CrossRef]
- Zabaras, N.; Morellas, V.; Schnur, D. Spatially regularized solution of inverse elasticity problems using the BEM. Commun. Appl. Numer. Methods 1989, 5, 547–553. [Google Scholar] [CrossRef]
- Garabedian, P.R. Partial Differential Equations; American Mathematical Society: Providence, RI, USA, 1998. [Google Scholar]
- Kirsch, A. An Introduction to the Mathematical Theory of Inverse Problems; Springer: New York, NY, USA, 1996. [Google Scholar]
- Khoa, V.A.; Bidney, G.W.; Klibanov, M.V.; Nguyen, L.H.; Nguyen, L.H.; Sullivan, A.J.; Astratov, V.N. Convexification and experimental data for a 3D inverse scattering problem with the moving point source. Inverse Probl. 2020, 36, 085007. [Google Scholar] [CrossRef]
- Sun, Y.; Zhang, D.; Ma, F. Apotential function method for Cauchy problem of elliptic operators. J. Math. Anal. Appl. 2012, 395, 164–174. [Google Scholar] [CrossRef][Green Version]
- Kussmaul, R. Ein numerisches Verfahren zur Lösung des Neumannschen Aussenraumproblems fü; die Helmholtzsche Schwingungsgleichung. Computing 1969, 4, 246–273. [Google Scholar] [CrossRef]
- Martensen, E. Über eine Methode zum räumlichen Neumannschen Problem mit einer Anwendung für torusartige Beranddunge. Acta Math. 1963, 109, 75–135. [Google Scholar] [CrossRef]
- Colton, D.; Kress, R. Inverse Acoustic and Electromagnetic Scattering Theory; Wiley-Interscience: New York, NY, USA, 1983. [Google Scholar]
Publisher’s Note: MDPI stays neutral with regard to jurisdictional claims in published maps and institutional affiliations. |
© 2021 by the authors. Licensee MDPI, Basel, Switzerland. This article is an open access article distributed under the terms and conditions of the Creative Commons Attribution (CC BY) license (https://creativecommons.org/licenses/by/4.0/).