A Tuning-Free Constrained Team-Oriented Swarm Optimizer (CTOSO) for Engineering Problems
Abstract
1. Introduction
- Structurally simplified constrained optimization framework:CTOSO eliminates recovery-based operators and algorithm-specific control parameters, reducing algorithmic complexity and minimizing tuning effort in constrained optimization problems.
- Feasibility-driven spiral exploitation mechanism:The linear exploiter movement of ETOSO is replaced with a single-center, adaptive spiral contraction around the global best solution, enabling controlled intensification without introducing additional control parameters.
- Consistent feasibility integration via Deb’s rule:Deb’s feasibility rule is applied uniformly across all solution comparisons, selections, and updates, ensuring stable convergence and reliable feasibility preservation when feasible regions are narrow or highly constrained.
- Design tailored for low evaluation budgets:CTOSO is explicitly designed and evaluated under fixed and limited function-evaluation budgets, making it suitable for black-box engineering problems where evaluation cost is high and rapid convergence is required.
2. Related Work
3. The CTOSO Algorithm
3.1. Population Definition and Team Architecture
- Exploiters: XE(t) = {x1(t), …, xps/2(t)}
- Explorers: XO(t) = {xps/2 + 1(t), …, xps(t)}
3.2. Constraint Handling via Deb’s Rule
- xi is feasible and xj is not.
- Both are feasible and f(xi) < f(xj).
- Both are infeasible and v(xi) < v(xj).
3.3. Exploiter Update Model: Spiral-Based Search
- Di,d = |xgbest,d(t) − xi,d(t)| is the distance from the individual to the global best in dimension d
- re,d is a random scalar uniformly distributed in [−1, 1]
- b = (t/FEmax) − 1 an internal adaptive state (not a user-tuned parameter) that deterministically transitions the search from global to local as the evaluation budget is consumed. At the beginning of a run, , so the exponent lies in [−1, 1] and the radial factor ranges from approximately to , allowing moderate contraction and expansion around . As FE approaches its maximum, converges to 0 and thus approaches 1, so the spiral reduces to small oscillations whose amplitude is governed mainly by the shrinking distance . This schedule produces a smooth transition from broader spiral search in early iterations to fine-grained exploitation near convergence, without introducing additional control parameters. All candidate solutions are clamped to the bounds lb and ub after the position update to maintain variable feasibility.
- Independent dimension-wise stochastic update vs. matrix-based operator: In the canonical SDA, spiral motion is defined through a rotation–contraction operator, where a rotation matrix is applied to the solution vector. This matrix operation couples the decision variables through a global transformation of the state vector [36]. In contrast, CTOSO does not construct or apply any rotation matrix. The exploiter update is computed using a scalar expression inside a loop over dimensions, where each coordinate is updated directly based on its own value and the corresponding coordinate of the global best. This results in an independent dimension-wise update rather than a coupled matrix-based transformation.
- Distance-modulated spiral amplitude: In CTOSO, the spiral step size in each dimension is explicitly proportional to the distance As a result, the spiral amplitude in each coordinate naturally decreases as that coordinate approaches the global best. In SDA, the spiral radius is controlled by predefined contraction parameters that are part of the rotation–contraction operator, rather than being derived from coordinate-wise distances to the current best solution [36,37].
- Decoupled stochastic spiral phase vs. deterministic spiral mapping: In CTOSO, stochasticity is introduced by independently sampling the spiral phase for each dimension during the exploiter update. Consequently, different dimensions of the position vector may follow distinct spiral trajectories around the global best solution. In canonical SDA formulations, once the rotation and contraction parameters of the spiral operator are fixed, the resulting spiral mapping is deterministic and applied as a single structured transformation of the position vector [36].
- Budget-driven spiral scheduling: CTOSO controls the spiral contraction strength through a budget-dependent schedule, where the spiral constant is updated based on the remaining number of function evaluations. This removes the need for user-defined spiral parameters. In SDA, spiral behavior is governed by explicitly defined rotation angles and contraction factors that must be selected in advance as part of the spiral operator [36,37].
3.4. Explorer Update Model: Adaptive Neighbor-Guided Movement
- is a D-dimensional vector of uniform random numbers in [0, 1].
- ⊙ denotes elementwise multiplication.
- w is an adaptive scaling factor that normalizes the movement based on the objective landscape of the explorer team: . This prevents excessively large moves that could destabilize the search, especially when objective values are large. Following the update, all new positions are clamped to the problem’s lower and upper bounds lb and ub.
3.5. Algorithmic Flow and Tuning-Free Design
| Algorithm 1. Pseudocode of the Constrained Team-Oriented Swarm Optimizer (CTOSO) |
| Input: Output: Step 1: Initialization
|
3.6. Rationale and Design Motivation of CTOSO
4. Evaluation on CEC 2017 Constrained Benchmark Problems
5. Comparative Evaluation of TOSO, ETOSO, and CTOSO
6. Engineering Design Optimization Studies
6.1. Benchmark Problems
gk(x) ≤ 0, for k = 1, …, m
hl(x) = 0, for l = 1, …, p
x ∈ [lb, ub]D
6.1.1. Speed Reducer Design [40]
6.1.2. Tension/Compression Spring Design [41]
6.1.3. Pressure Vessel Design [40]
6.1.4. Welded Beam Design [40]
6.1.5. Himmelblau’s Beam Design [40]
6.1.6. Cantilever Beam Design [41]
6.1.7. Tubular Column Design [40]
6.1.8. Piston Lever Design [42]
6.1.9. Car Side Impact Design [43]
6.1.10. Corrugated Bulkhead Design [41]
6.1.11. Three-Bar Truss Design [44]
6.1.12. Reinforced Concrete Beam Design [45]
6.2. Comparative Algorithms and Evaluation Metrics
7. Results and Comparative Analysis
7.1. Top Algorithm Selection via Composite Ranking
- Solution Quality: measured Via average rank of best feasible solutions across problems (60% weight for normalized rank score)
- Feasibility Rate: quantifying reliability in constraint satisfaction (30% weight for feasibility score)
- Robustness: assessing how often an algorithm reaches near-optimal solutions within 0.1% of known optima (10% weight for Success Score).
7.2. Detailed Performance on Benchmark Engineering Problems
- Algorithm: The name of the metaheuristic algorithm.
- Known Best: The known global optimum value for the problem.
- Best Found: The best feasible objective value found by the algorithm across all runs.
- Average: The mean of the best feasible objective values across 30 independent runs.
- Std Dev: The standard deviation of the best feasible objective values.
- Feasibility %: The percentage of the 30 runs that produced a feasible solution.
- Time (s): The average computation time in seconds. The experiments were conducted using MATLAB 2024 on a system equipped with a relatively fast Intel(R) Core (TM) Ultra 9 185H processor (2.30 GHz), 32.0 GB RAM, and a 64-bit operating system.
7.3. Statistical Significance Analysis
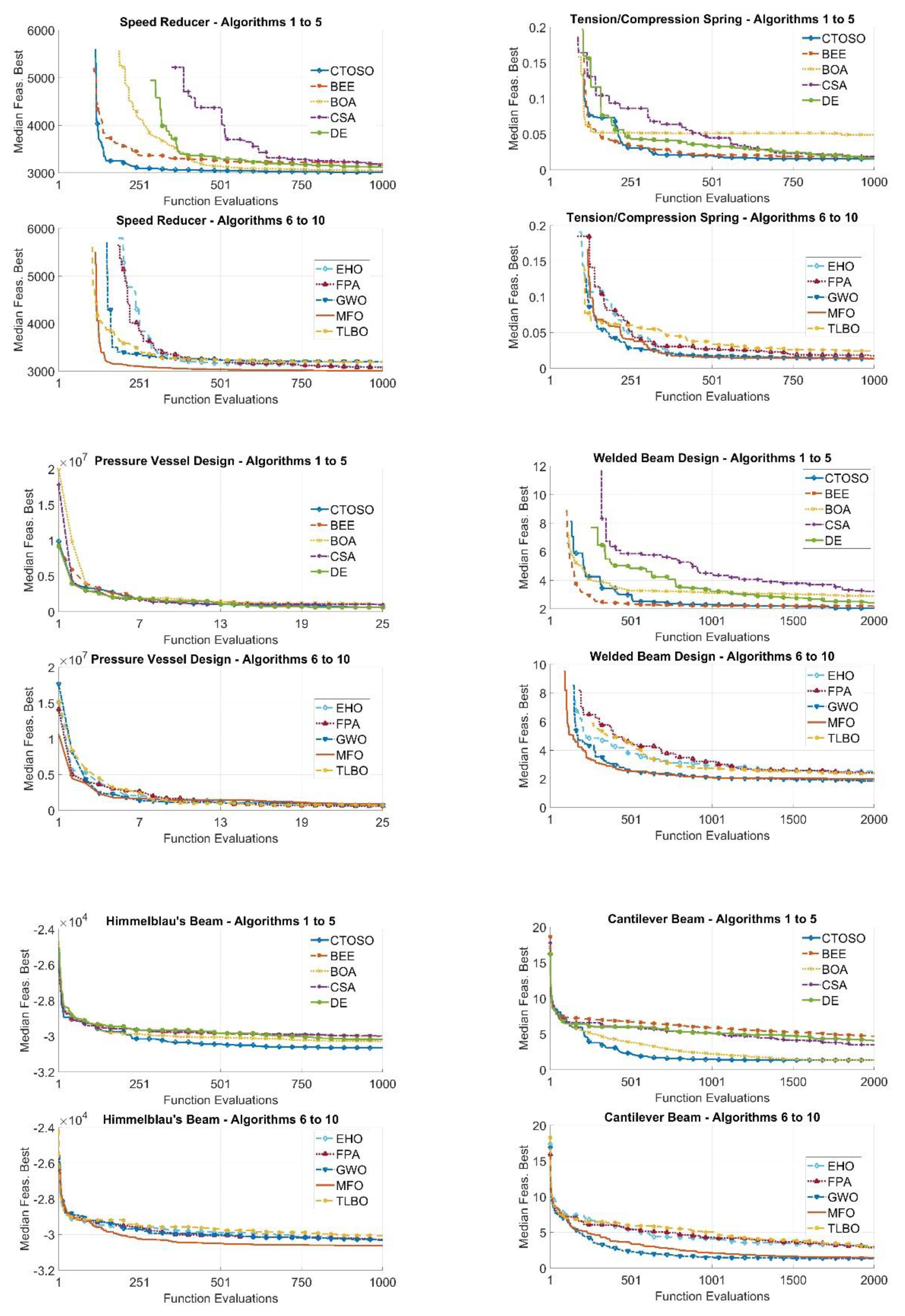
7.4. Convergence Behavior
7.5. Computational Complexity
7.6. Performance Visualization and Win Analysis
8. Discussion
9. Conclusions and Future Work
Author Contributions
Funding
Data Availability Statement
Acknowledgments
Conflicts of Interest
References
- Hafiz, F.M.F.; Abdennour, A. A team-oriented approach to particle swarms. Appl. Soft Comput. 2013, 13, 3776–3791. [Google Scholar] [CrossRef]
- BenAbdennour, A. An Enhanced Team-Oriented Swarm Optimization Algorithm (ETOSO) for Robust and Efficient High-Dimensional Search. Biomimetics 2025, 10, 222. [Google Scholar] [CrossRef]
- Liang, J.; Ban, X.; Yu, K.; Qu, B.; Qiao, K.; Yue, C.; Chen, K.; Tan, K.C. A Survey on Evolutionary Constrained Multiobjective Optimization. IEEE Trans. Evol. Comput. 2023, 27, 201–221. [Google Scholar] [CrossRef]
- Rahimi, I.; Gandomi, A.H.; Chen, F.; Mezura-Montes, E. A Review on Constraint Handling Techniques for Population-based Algorithms: From single-objective to multi-objective optimization. Arch. Comput. Methods Eng. 2023, 30, 2181–2209. [Google Scholar] [CrossRef]
- Yun, Y.; Gen, M.; Erdene, T.N. Applying GA-PSO-TLBO approach to engineering optimization problems. Math. Biosci. Eng. 2022, 20, 552–571. [Google Scholar] [CrossRef]
- Yi, W.; Lin, Z.; Chen, Y.; Pei, Z.; Lu, J. An Enhanced Adaptive Differential Evolution Approach for Constrained Optimization Problems. Comput. Model. Eng. Sci. 2023, 136, 2841–2860. [Google Scholar] [CrossRef]
- Guo, E.; Gao, Y.; Hu, C.; Zhang, J. A Hybrid PSO-DE Intelligent Algorithm for Solving Constrained Optimization Problems Based on Feasibility Rules. Mathematics 2023, 11, 522. [Google Scholar] [CrossRef]
- Mirjalili, S.; Mirjalili, S.M.; Lewis, A. Grey Wolf Optimizer. Adv. Eng. Softw. 2014, 69, 46–61. [Google Scholar] [CrossRef]
- Mirjalili, S. Moth-flame optimization algorithm: A novel nature-inspired heuristic paradigm. Knowl.-Based Syst. 2015, 89, 228–249. [Google Scholar] [CrossRef]
- Mirjalili, S.; Lewis, A. The Whale Optimization Algorithm. Adv. Eng. Softw. 2016, 95, 51–67. [Google Scholar] [CrossRef]
- Rao, R.V.; Waghmare, G.G. Complex constrained design optimisation using an elitist teaching-learning-based optimisation algorithm. Int. J. Metaheuristics 2014, 3, 81. [Google Scholar] [CrossRef]
- Hao, Y.; Zhao, C.; Zhang, Y.; Cao, Y.; Li, Z. Constrained multi-objective optimization problems: Methodologies, algorithms and applications. Knowl.-Based Syst. 2024, 299, 111998. [Google Scholar] [CrossRef]
- Rezk, H.; Ghani Olabi, A.; Wilberforce, T.; Taha Sayed, E. Metaheuristic optimization algorithms for real-world electrical and civil engineering application: A review. Results Eng. 2024, 23, 102437. [Google Scholar] [CrossRef]
- Dalmaz, H.; Erdal, E.; Murat Unver, H. A New Hybrid Approach Using GWO and MFO Algorithms to Detect Network Attack. Comput. Model. Eng. Sci. 2023, 136, 1277–1314. [Google Scholar] [CrossRef]
- Veloso de Melo, V.; Moreira Nascimento, A.; Iacca, G. A co-evolutionary algorithm with adaptive penalty function for constrained optimization. Soft Comput. 2024, 28, 11343–11376. [Google Scholar] [CrossRef]
- Wang, B.-C.; Guo, J.-J.; Huang, P.-Q.; Meng, X.-B. A two-stage adaptive penalty method based on co-evolution for constrained evolutionary optimization. Complex Intell. Syst. 2023, 9, 4615–4627. [Google Scholar] [CrossRef]
- Innocente, M.S.; Sienz, J. Constraint-Handling Techniques for Particle Swarm Optimization Algorithms. In Proceedings of the 7th ASMO UK Conference on Engineering Design Optimization, Bath, UK, 23–24 July 2021. [Google Scholar] [CrossRef]
- Coelho, C.; Costa, M.F.P.; Ferrás, L.L. A Self-Adaptive Penalty Method for Integrating Prior Knowledge Constraints into Neural ODEs. arXiv 2024, arXiv:2307.14940. [Google Scholar] [CrossRef]
- Deb, K. An efficient constraint handling method for genetic algorithms. Comput. Methods Appl. Mech. Eng. 2000, 186, 311–338. [Google Scholar] [CrossRef]
- Rahimi, I.; Gandomi, A.H.; Nikoo, M.R.; Mousavi, M.; Chen, F. Efficient implicit constraint handling approaches for constrained optimization problems. Sci. Rep. 2024, 14, 4816. [Google Scholar] [CrossRef]
- Liu, B.-J.; Bi, X.-J. Adaptive ε-Constraint Multi-Objective Evolutionary Algorithm Based on Decomposition and Differential Evolution. IEEE Access 2021, 9, 17596–17609. [Google Scholar] [CrossRef]
- Liu, Z.; Han, F.; Ling, Q.; Han, H.; Jiang, J. Constraint-Pareto Dominance and Diversity Enhancement Strategy based Evolutionary Algorithm for Solving Constrained Multiobjective Optimization Problems. IEEE Trans. Evol. Comput. 2025, 29, 2771–2784. [Google Scholar] [CrossRef]
- Liu, Z.; Shan, G.; Chen, Z.; Yang, Y. Physics-Guided Neural Surrogate Model with Particle Swarm-Based Multi-Objective Optimization for Quasi-Coaxial TSV Interconnect Design. Micromachines 2025, 16, 1134. [Google Scholar] [CrossRef] [PubMed]
- Chen, X.; Fang, S.; Li, K. Reinforcement-Learning-Based Multi-Objective Differential Evolution Algorithm for Large-Scale Combined Heat and Power Economic Emission Dispatch. Energies 2023, 16, 3753. [Google Scholar] [CrossRef]
- Ming, F.; Gong, W.; Wang, L.; Jin, Y. Constrained Multi-objective Optimization with Deep Reinforcement Learning Assisted Operator Selection. arXiv 2024, arXiv:2402.12381. [Google Scholar] [CrossRef]
- Wang, C.; Liu, Z.; Qiu, J.; Zhang, L. Adaptive constraint handling technique selection for constrained multi-objective optimization. Swarm Evol. Comput. 2024, 86, 101488. [Google Scholar] [CrossRef]
- Li, Y.; Gong, W.; Hu, Z.; Li, S. A Competitive and Cooperative Evolutionary Framework for Ensemble of Constraint Handling Techniques. IEEE Trans. Syst. Man Cybern Syst. 2024, 54, 2440–2451. [Google Scholar] [CrossRef]
- Wu, G.; Wen, X.; Wang, L.; Pedrycz, W.; Suganthan, P.N. A Voting-Mechanism-Based Ensemble Framework for Constraint Handling Techniques. IEEE Trans. Evol. Comput. 2022, 26, 646–660. [Google Scholar] [CrossRef]
- Mohd Tumari, M.Z.; Ahmad, M.A.; Suid, M.H.; Ghazali, M.R.; Tokhi, M.O. An improved marine predators algorithm tuned data-driven multiple-node hormone regulation neuroendocrine-PID controller for multi-input–multi-output gantry crane system. J. Low Freq. Noise Vib. Act. Control 2023, 42, 1666–1698. [Google Scholar] [CrossRef]
- Chen, Y.; Dong, W.; Hu, X. IMATSA—An improved and adaptive intelligent optimization algorithm based on tunicate swarm algorithm. AI Commun. 2024, 37, 1–22. [Google Scholar] [CrossRef]
- Meraihi, Y.; Gabis, A.B.; Mirjalili, S.; Ramdane-Cherif, A. Grasshopper Optimization Algorithm: Theory, Variants, and Applications. IEEE Access 2021, 9, 50001–50024. [Google Scholar] [CrossRef]
- Heidari, A.A.; Mirjalili, S.; Faris, H.; Aljarah, I.; Mafarja, M.; Chen, H. Harris hawks optimization: Algorithm and applications. Future Gener. Comput. Syst. 2019, 97, 849–872. [Google Scholar] [CrossRef]
- Yu, H.; Wang, Y.; Jia, H.; Abualigah, L. Modified prairie dog optimization algorithm for global optimization and constrained engineering problems. Math. Biosci. Eng. 2023, 20, 19086–19132. [Google Scholar] [CrossRef] [PubMed]
- Brabazon, A.; Cui, W.; O’Neill, M. The raven roosting optimisation algorithm. Soft Comput 2016, 20, 525–545. [Google Scholar] [CrossRef]
- Li, S.; Chen, H.; Wang, M.; Heidari, A.A.; Mirjalili, S. Slime mould algorithm: A new method for stochastic optimization. Future Gener. Comput. Syst. 2020, 111, 300–323. [Google Scholar] [CrossRef]
- Tamura, K.; Yasuda, K. Spiral Dynamics Inspired Optimization. J. Adv. Comput. Intell. Intell. Inform. 2011, 15, 1116–1122. [Google Scholar] [CrossRef]
- Omar, M.B.; Bingi, K.; Prusty, B.R.; Ibrahim, R. Recent Advances and Applications of Spiral Dynamics Optimization Algorithm: A Review. Fractal Fract 2022, 6, 27. [Google Scholar] [CrossRef]
- Wu, G.; Mallipeddi, R.; Suganthan, P.N. Problem Definitions and Evaluation Criteria for the CEC 2017 Competition on Constrained Real-Parameter Optimization; National University of Defense Technology: Changsha, China, 2017. [Google Scholar]
- Yang, H.; Xie, X.; Bi, Y.; Qu, B.; Liang, J.; Huang, K.; Yan, L. LCO-LSHADE-GSRL: An enhanced differential evolution algorithm with chaotic orthogonal initialization and GAN-driven specular reflection learning for engineering optimization. Expert Syst. Appl. 2025, 302, 130561. [Google Scholar] [CrossRef]
- Altay, E.V.; Altay, O.; Özçevik, Y. A Comparative Study of Metaheuristic Optimization Algorithms for Solving Real-World Engineering Design Problems. Comput. Model. Eng. Sci. 2024, 139, 1039–1094. [Google Scholar] [CrossRef]
- Maiti, B.; Biswas, S.; Ezugwu, A.E.-S.; Bera, U.K.; Alzahrani, A.I.; Alblehai, F.; Abualigah, L. Enhanced crayfish optimization algorithm with differential evolution’s mutation and crossover strategies for global optimization and engineering applications. Artif. Intell. Rev. 2025, 58, 69. [Google Scholar] [CrossRef]
- Xu, D.; Yin, J. An Improved Black Widow Optimization Algorithm for Engineering Constrained Optimization Problems. IEEE Access 2023, 11, 32476–32495. [Google Scholar] [CrossRef]
- Guo, W.; Hou, Z.; Dai, F.; Wang, X.; Qiang, Y. Bald Eagle Search Optimization Algorithm Combined with Spherical Random Shrinkage Mechanism and Its Application. J. Bionic. Eng. 2024, 21, 572–605. [Google Scholar] [CrossRef]
- Wang, S.; Hussien, A.G.; Jia, H.; Abualigah, L.; Zheng, R. Enhanced Remora Optimization Algorithm for Solving Constrained Engineering Optimization Problems. Mathematics 2022, 10, 1696. [Google Scholar] [CrossRef]
- Kim, T.-H.; Cho, M.; Shin, S. Constrained Mixed-Variable Design Optimization Based on Particle Swarm Optimizer with a Diversity Classifier for Cyclically Neighboring Subpopulations. Mathematics 2020, 8, 2016. [Google Scholar] [CrossRef]
- Yang, X.-S. A New Metaheuristic Bat-Inspired Algorithm. arXiv 2010, arXiv:1004.4170. [Google Scholar] [CrossRef]
- Pham, D.T.; Ghanbarzadeh, A.; Koç, E.; Otri, S.; Rahim, S.; Zaidi, M. The Bees Algorithm—A Novel Tool for Complex Optimisation Problems. In Intelligent Production Machines and Systems; Elsevier: Amsterdam, The Netherlands, 2006; pp. 454–459. ISBN 978-0-08-045157-2. [Google Scholar]
- Arora, S.; Singh, S. Butterfly optimization algorithm: A novel approach for global optimization. Soft Comput. 2019, 23, 715–734. [Google Scholar] [CrossRef]
- Askarzadeh, A. A novel metaheuristic method for solving constrained engineering optimization problems: Crow search algorithm. Comput. Struct. 2016, 169, 1–12. [Google Scholar] [CrossRef]
- Yang, X.-S.; Deb, S. Cuckoo Search via Levy Flights. arXiv 2010, arXiv:1003.1594. [Google Scholar] [CrossRef]
- Storn, R.; Price, K. Differential Evolution—A simple and efficient adaptive scheme for global optimization over continuous spaces. J. Glob. Optim. 1997, 11, 341–359. [Google Scholar] [CrossRef]
- Hakli, H. A Nover approach based on elephant herding optimization for constrained optimization problems. Selcuk Univ. J. Eng. Sci. Technol. 2019, 7, 405–419. [Google Scholar] [CrossRef]
- Yu, S.; Zhu, S.; Ma, Y.; Mao, D. A variable step size firefly algorithm for numerical optimization. Appl. Math. Comput. 2015, 263, 214–220. [Google Scholar] [CrossRef]
- Yang, X.-S.; Karamanoglu, M.; He, X. Flower pollination algorithm: A novel approach for multiobjective optimization. Eng. Optim. 2014, 46, 1222–1237. [Google Scholar] [CrossRef]
- Rashedi, E.; Nezamabadi-pour, H.; Saryazdi, S. GSA: A Gravitational Search Algorithm. Inf. Sci. 2009, 179, 2232–2248. [Google Scholar] [CrossRef]
- Zhao, R.; Tang, W. Monkey Algorithm for Global Numerical Optimization. J. Uncertain Syst. 2008, 2, 165–176. [Google Scholar]
- Mirjalili, S. SCA: A Sine Cosine Algorithm for solving optimization problems. Knowl.-Based Syst. 2016, 96, 120–133. [Google Scholar] [CrossRef]
- Rao, R.V.; Patel, V. An improved teaching-learning-based optimization algorithm for solving unconstrained optimization problems. Sci. Iran. 2012, 20, 710–720. [Google Scholar] [CrossRef]
- Lagaros, N.D.; Kournoutos, M.; Kallioras, N.A.; Nordas, A.N. Constraint handling techniques for metaheuristics: A state-of-the-art review and new variants. Optim. Eng. 2023, 24, 2251–2298. [Google Scholar] [CrossRef]
- Gorbunov, E.; Dvurechensky, P.; Gasnikov, A. An Accelerated Method for Derivative-Free Smooth Stochastic Convex Optimization. arXiv 2020, arXiv:1802.09022. [Google Scholar] [CrossRef]
- Zhu, J.; Wang, L.; Spall, J.C. Efficient Implementation of Second-Order Stochastic Approximation Algorithms in High-Dimensional Problems. IEEE Trans. Neural Netw. Learn. Syst. 2020, 31, 3087–3099. [Google Scholar] [CrossRef]
- Pachal, S.; Bhatnagar, S.; Prashanth, L.A. Generalized Simultaneous Perturbation-Based Gradient Search With Reduced Estimator Bias. IEEE Trans. Automat. Control 2025, 70, 4687–4702. [Google Scholar] [CrossRef]






| CTOSO | GA | PSO | LSHADE | DE | MFO | TLBO | GWO | |
|---|---|---|---|---|---|---|---|---|
| f01 | 2.07 × 10−5 | 21.15736 | 0.272625 | 1.33 × 10−9 | 1006.123 | 0.0003 | 3.445277 | 0.081434 |
| f02 | 1.49 × 10−5 | 10.69442 | 0.325351 | 2.91 × 10−10 | 754.3456 | 0.001072 | 1.80341 | 0.063298 |
| f03 | 3956.399 | 3178.555 | — | — | — | 29,388.24 | — | — |
| f04 | 40.79311 | 34.70913 | 47.42172 | 16.28481 | 2014.517 | 20.23924 | 103.8898 | 19.35096 |
| f05 | 0.039222 | 79.47138 | 2.090526 | 0.344004 | — | 0.000418 | 34.18892 | 1.944388 |
| f06 | 903.1204 | — | — | — | — | — | — | — |
| f07 | −332.212 | −157.042 | — | — | — | −27.5699 | — | — |
| f08 | 0.000111 | — | — | −9.2 × 10−5 | — | — | — | — |
| f09 | 0.156965 | — | 97.0689 | −0.0005 | — | 0.320292 | — | — |
| f10 | −4.4 × 10−5 | — | — | −4.8 × 10−5 | — | −3.1 × 10−5 | — | — |
| f11 | — | — | — | −2.38898 | — | — | — | — |
| f12 | 3.987955 | 20.23622 | 4.219791 | 4.039389 | — | 3.987948 | 13.60401 | 10.61497 |
| f13 | 0.00437 | 142.7698 | 1.545034 | 0.000192 | — | 0.002884 | 96.98268 | 10.5451 |
| f14 | 3.304776 | — | — | 3.39774 | — | 3.30349 | — | — |
| f15 | 11.78097 | 8.639379 | 11.78097 | 11.78097 | — | 11.78097 | 18.06416 | — |
| AvgFR (%) | 79.77778 | 52.88889 | 41.55556 | 63.77778 | 20 | 66.22222 | 38.22222 | 38.66667 |
| No. FeasibleProblems | 14 | 9 | 8 | 12 | 3 | 12 | 7 | 6 |
| AvgRank | 2.4 | 5.133333 | 5.1 | 2.6 | 6.766667 | 2.9 | 5.933333 | 5.166667 |
| Wins | 2 | 2 | 0 | 8 | 0 | 3 | 0 | 0 |
| Versus | p | Verdict | |
|---|---|---|---|
| CTOSO | GA | 0.25 | No significant difference |
| CTOSO | PSO | 0.0078 | CTOSO better |
| CTOSO | LSHADE | 0.5771 | No significant difference |
| CTOSO | DE | 0.25 | No significant difference |
| CTOSO | MFO | 0.7002 | No significant difference |
| CTOSO | TLBO | 0.0157 | CTOSO better |
| CTOSO | GWO | 0.4375 | No significant difference |
| Metric/Function | CTOSO | ETOSO | TOSO |
|---|---|---|---|
| f01 | 2.07106 × 10−5 | 5725.951149 | 888.2916486 |
| f02 | 1.48756 × 10−5 | 6781.844391 | 598.8760425 |
| f03 | 3956.399228 | — | — |
| f04 | 40.79310902 | 608.4204647 | 772.7285459 |
| f05 | 0.039222331 | — | — |
| f06 | 903.1203672 | — | — |
| f07 | −332.2117729 | — | — |
| f08 | 0.000110564 | — | — |
| f09 | 0.156964729 | — | — |
| f10 | −4.35889 × 10−5 | — | — |
| f11 | — | — | — |
| f12 | 3.987954704 | — | — |
| f13 | 0.004370377 | — | — |
| f14 | 3.304775761 | — | — |
| f15 | 11.78097174 | — | — |
| AvgFR (%) | 79.77777778 | 20 | 20 |
| No. Feasible Problems | 14 | 3 | 3 |
| AvgRank | 1.000000 | 2.535714286 | 2.464285714 |
| Wins | 14 | 0 | 0 |
| ID | Problem Name | Dimension | Complexity Type |
|---|---|---|---|
| 1 | Speed Reducer | 7 | Nonlinear, Mixed Terms |
| 2 | Tension/Compression Spring | 3 | Nonlinear |
| 3 | Pressure Vessel | 4 | Nonlinear |
| 4 | Welded Beam | 4 | Highly Coupled |
| 5 | Himmelblau’s Beam | 5 | Polynomial Mixed |
| 6 | Cantilever Beam | 5 | Rational Function |
| 7 | Tubular Column | 2 | Analytical, Simple |
| 8 | Piston Lever | 4 | Trigonometric, Nonlinear |
| 9 | Car Side Impact | 11 | Mixed Linear & Nonlinear |
| 10 | Corrugated Bulkhead | 4 | Nonconvex, Engineering |
| 11 | Three-Bar Truss | 2 | Rational Fractions |
| 12 | Reinforced Concrete Beam | 3 | Discrete, Quadratic |
| Algorithm | Avg. Rank | Rank Score | Feasibility % | Feasibility Score | Success% | Success Score | Composite Score | In Top 10 |
|---|---|---|---|---|---|---|---|---|
| CTOSO | 1.92 | 1.00 | 100.00 | 1.00 | 91.67 | 1.00 | 1.00 | Yes |
| BEE | 10.00 | 0.57 | 100.00 | 1.00 | 25.00 | 0.27 | 0.67 | Yes |
| BOA | 10.08 | 0.57 | 100.00 | 1.00 | 25.00 | 0.27 | 0.67 | Yes |
| CSA | 10.50 | 0.55 | 100.00 | 1.00 | 25.00 | 0.27 | 0.66 | Yes |
| CS | 15.00 | 0.31 | 100.00 | 1.00 | 8.33 | 0.09 | 0.49 | No |
| DE | 10.67 | 0.54 | 100.00 | 1.00 | 33.33 | 0.36 | 0.66 | Yes |
| EHO | 4.08 | 0.89 | 98.33 | 0.94 | 50.00 | 0.55 | 0.87 | Yes |
| FA | 18.83 | 0.11 | 91.11 | 0.67 | 0.00 | 0.00 | 0.26 | No |
| FPA | 7.25 | 0.72 | 100.00 | 1.00 | 33.33 | 0.36 | 0.77 | Yes |
| GOA | 10.58 | 0.54 | 97.78 | 0.92 | 41.67 | 0.45 | 0.65 | No |
| GSA | 13.83 | 0.37 | 91.11 | 0.67 | 16.67 | 0.18 | 0.44 | No |
| GWO | 5.67 | 0.80 | 100.00 | 1.00 | 41.67 | 0.45 | 0.83 | Yes |
| HHO | 10.00 | 0.57 | 93.33 | 0.75 | 33.33 | 0.36 | 0.61 | No |
| MFO | 2.58 | 0.96 | 100.00 | 1.00 | 58.33 | 0.64 | 0.94 | Yes |
| MKA | 16.33 | 0.24 | 100.00 | 1.00 | 0.00 | 0.00 | 0.44 | No |
| PDO | 20.83 | 0.00 | 73.06 | 0.00 | 0.00 | 0.00 | 0.00 | No |
| RRO | 14.25 | 0.35 | 100.00 | 1.00 | 8.33 | 0.09 | 0.52 | No |
| SCA | 11.83 | 0.48 | 91.67 | 0.69 | 25.00 | 0.27 | 0.52 | No |
| SMA | 13.83 | 0.37 | 100.00 | 1.00 | 25.00 | 0.27 | 0.55 | No |
| TLBO | 10.67 | 0.54 | 100.00 | 1.00 | 25.00 | 0.27 | 0.65 | Yes |
| TOSO | 12.42 | 0.44 | 99.72 | 0.99 | 25.00 | 0.27 | 0.59 | No |
| Algorithm | Known Best | Best Found | Average | Std Dev | Feasibility % | Time (s) |
|---|---|---|---|---|---|---|
| CTOSO | 2994.42256 | 2994.43022 | 3009.98229 | 18.28088 | 100.00000 | 0.00799 |
| BEE | 3402.16526 | 4109.66421 | 828.96543 | 13.33333 | 0.00511 | |
| BOA | 2998.60450 | 3013.54627 | 16.83084 | 100.00000 | 0.00642 | |
| CSA | 3014.54906 | 3043.39636 | 12.24176 | 100.00000 | 0.00902 | |
| DE | 3010.43154 | 3026.90970 | 9.62804 | 100.00000 | 0.00939 | |
| EHO | 3009.45844 | 3084.07376 | 117.39808 | 100.00000 | 0.00606 | |
| FPA | 3002.76888 | 3015.16978 | 9.85771 | 100.00000 | 0.00985 | |
| GWO | 3025.16695 | 3044.75405 | 10.86458 | 100.00000 | 0.02451 | |
| MFO | 2994.55111 | 2998.92267 | 9.89997 | 100.00000 | 0.00698 | |
| TLBO | 3044.16490 | 3101.99308 | 45.33784 | 100.00000 | 0.00668 |
| Algorithm | Known Best | Best Found | Average | Std Dev | Feasibility % | Time (s) |
|---|---|---|---|---|---|---|
| CTOSO | 0.01266 | 0.01268 | 0.01650 | 0.00508 | 100.00000 | 0.01179 |
| BEE | 0.03261 | 0.07289 | 0.03827 | 43.33333 | 0.00820 | |
| BOA | 0.01272 | 0.04881 | 0.03045 | 100.00000 | 0.00971 | |
| CSA | 0.01275 | 0.01471 | 0.00170 | 100.00000 | 0.01456 | |
| DE | 0.01283 | 0.01377 | 0.00082 | 100.00000 | 0.01210 | |
| EHO | 0.01267 | 0.01326 | 0.00140 | 100.00000 | 0.00899 | |
| FPA | 0.01277 | 0.01326 | 0.00083 | 100.00000 | 0.01200 | |
| GWO | 0.01274 | 0.01337 | 0.00100 | 100.00000 | 0.03478 | |
| MFO | 0.01268 | 0.01378 | 0.00157 | 100.00000 | 0.03881 | |
| TLBO | 0.01313 | 0.01636 | 0.00259 | 100.00000 | 0.03923 |
| Algorithm | Known Best | Best Found | Average | Std Dev | Feasibility % | Time (s) |
|---|---|---|---|---|---|---|
| CTOSO | 5885.33280 | 5885.36543 | 6665.59614 | 561.98063 | 100.00000 | 0.04927 |
| BEE | 61,261.59527 | 286,910.42601 | 153,258.51664 | 96.66667 | 0.03783 | |
| BOA | 6403.00266 | 27,150.86275 | 45,676.80253 | 100.00000 | 0.04274 | |
| CSA | 10,438.84287 | 20,235.74230 | 6044.29053 | 100.00000 | 0.06959 | |
| DE | 13,099.04062 | 22,977.19519 | 5439.74015 | 100.00000 | 0.05339 | |
| EHO | 5922.95265 | 26,126.86180 | 51,467.62641 | 100.00000 | 0.04030 | |
| FPA | 7779.07475 | 12,510.58836 | 2677.35331 | 100.00000 | 0.03897 | |
| GWO | 5973.92289 | 6526.91214 | 411.40888 | 100.00000 | 0.07358 | |
| MFO | 5924.55315 | 6693.85946 | 575.36999 | 100.00000 | 0.03811 | |
| TLBO | 7187.54770 | 12,546.10337 | 4363.66476 | 100.00000 | 0.04009 |
| Algorithm | Known Best | Best Found | Average | Std Dev | Feasibility % | Time (s) |
|---|---|---|---|---|---|---|
| CTOSO | 1.72485 | 1.72596 | 2.21985 | 0.52940 | 100.00000 | 0.05618 |
| BEE | 3.11375 | 5.37952 | 1.69375 | 40.00000 | 0.04848 | |
| BOA | 1.84662 | 2.75130 | 0.50826 | 100.00000 | 0.05559 | |
| CSA | 2.04664 | 2.73409 | 0.34587 | 100.00000 | 0.07470 | |
| DE | 1.94475 | 2.18405 | 0.12798 | 100.00000 | 0.05872 | |
| EHO | 1.75153 | 2.49167 | 0.62229 | 96.66667 | 0.04540 | |
| FPA | 1.86269 | 2.16848 | 0.19531 | 100.00000 | 0.05769 | |
| GWO | 1.73362 | 1.74921 | 0.00883 | 100.00000 | 0.11098 | |
| MFO | 1.74370 | 2.06702 | 0.39453 | 100.00000 | 0.03879 | |
| TLBO | 2.06438 | 2.18894 | 0.10541 | 100.00000 | 0.03249 |
| Algorithm | Known Best | Best Found | Average | Std Dev | Feasibility % | Time (s) |
|---|---|---|---|---|---|---|
| CTOSO | −30665.53900 | −30,665.53932 | −30,635.43189 | 163.30138 | 100.00000 | 0.04606 |
| BEE | −29,962.25656 | −29,273.66802 | 303.73524 | 96.66667 | 0.03641 | |
| BOA | −30,662.58116 | −30,493.40983 | 151.10401 | 100.00000 | 0.04828 | |
| CSA | −30,650.80310 | −30,479.80552 | 92.05694 | 100.00000 | 0.07075 | |
| DE | −30,618.59428 | −30,536.50208 | 56.47780 | 100.00000 | 0.05395 | |
| EHO | −30,665.53832 | −30,439.96609 | 244.06583 | 100.00000 | 0.04613 | |
| FPA | −30,660.44229 | −30,598.05113 | 30.68531 | 100.00000 | 0.04565 | |
| GWO | −30,659.87004 | −30,625.75881 | 24.38995 | 100.00000 | 0.07824 | |
| MFO | −30,665.51035 | −30,645.17326 | 87.53560 | 100.00000 | 0.04049 | |
| TLBO | −30,645.18615 | −30,473.82089 | 121.25306 | 100.00000 | 0.03946 |
| Algorithm | Known Best | Best Found | Average | Std Dev | Feasibility % | Time (s) |
|---|---|---|---|---|---|---|
| CTOSO | 1.33996 | 1.34016 | 1.34191 | 0.00175 | 100.00000 | 0.02628 |
| BEE | 3.41957 | 6.94688 | 1.47072 | 100.00000 | 0.01611 | |
| BOA | 1.34067 | 1.36801 | 0.12802 | 100.00000 | 0.02046 | |
| CSA | 1.83228 | 2.47104 | 0.29989 | 100.00000 | 0.02310 | |
| DE | 2.03405 | 3.42562 | 0.61963 | 100.00000 | 0.03132 | |
| EHO | 1.38933 | 3.19498 | 1.42424 | 100.00000 | 0.02205 | |
| FPA | 1.58736 | 2.15174 | 0.31028 | 100.00000 | 0.02847 | |
| GWO | 1.34004 | 1.34102 | 0.00062 | 100.00000 | 0.06784 | |
| MFO | 1.34444 | 1.36886 | 0.01649 | 100.00000 | 0.01776 | |
| TLBO | 1.62927 | 2.16094 | 0.32001 | 100.00000 | 0.01735 |
| Algorithm | Known Best | Best Found | Average | Std Dev | Feasibility % | Time (s) |
|---|---|---|---|---|---|---|
| CTOSO | 26.48630 | 26.49949 | 26.50071 | 0.00480 | 100.00000 | 0.04424 |
| BEE | 26.85545 | 29.02514 | 1.56285 | 100.00000 | 0.03574 | |
| BOA | 26.50111 | 26.50722 | 0.00375 | 100.00000 | 0.04733 | |
| CSA | 26.49421 | 26.57613 | 0.06240 | 100.00000 | 0.05395 | |
| DE | 26.50653 | 26.56346 | 0.03414 | 100.00000 | 0.04790 | |
| EHO | 26.49950 | 26.49969 | 0.00047 | 100.00000 | 0.03854 | |
| FPA | 26.50440 | 26.53293 | 0.03144 | 100.00000 | 0.04634 | |
| GWO | 26.51061 | 26.53719 | 0.02009 | 100.00000 | 0.07977 | |
| MFO | 26.49949 | 26.49977 | 0.00054 | 100.00000 | 0.03923 | |
| TLBO | 26.51657 | 26.63795 | 0.08282 | 100.00000 | 0.04903 |
| Algorithm | Known Best | Best Found | Average | Std Dev | Feasibility % | Time (s) |
|---|---|---|---|---|---|---|
| CTOSO | 8.41270 | 8.41270 | 86.62171 | 87.61831 | 100.00000 | 0.05120 |
| BEE | 555.62173 | 14,022.58125 | 19,172.81065 | 100.00000 | 0.03951 | |
| BOA | 226.67109 | 552.76981 | 223.59413 | 100.00000 | 0.03993 | |
| CSA | 74.78814 | 274.43840 | 71.45653 | 100.00000 | 0.04790 | |
| DE | 24.79565 | 141.35404 | 67.24652 | 100.00000 | 0.05920 | |
| EHO | 9.37145 | 330.96262 | 181.72972 | 100.00000 | 0.03993 | |
| FPA | 14.77209 | 189.06532 | 83.15320 | 100.00000 | 0.05122 | |
| GWO | 8.43224 | 110.63247 | 79.01639 | 100.00000 | 0.09884 | |
| MFO | 8.41833 | 120.78746 | 74.73346 | 100.00000 | 0.02912 | |
| TLBO | 14.73820 | 189.60583 | 81.56745 | 100.00000 | 0.03640 |
| Algorithm | Known Best | Best Found | Average | Std Dev | Feasibility % | Time (s) |
|---|---|---|---|---|---|---|
| CTOSO | 22.84297 | 27.92469 | 30.02881 | 1.92685 | 100.00000 | 0.05107 |
| BEE | Inf | NaN | NaN | 0.00000 | 0.03887 | |
| BOA | 29.01693 | 31.22205 | 1.30467 | 100.00000 | 0.05152 | |
| CSA | 29.15435 | 30.56327 | 0.68335 | 100.00000 | 0.07011 | |
| DE | 28.62434 | 30.12540 | 0.57927 | 100.00000 | 0.06029 | |
| EHO | 29.58585 | 32.42696 | 3.12805 | 66.66667 | 0.04442 | |
| FPA | 28.69990 | 29.60509 | 0.62486 | 100.00000 | 0.05643 | |
| GWO | 28.24233 | 29.10644 | 0.66774 | 100.00000 | 0.11014 | |
| MFO | 28.11378 | 28.94354 | 0.74435 | 100.00000 | 0.04111 | |
| TLBO | 28.99566 | 30.32304 | 0.78456 | 100.00000 | 0.03429 |
| Algorithm | Known Best | Best Found | Average | Std Dev | Feasibility % | Time (s) |
|---|---|---|---|---|---|---|
| CTOSO | 6.84296 | 6.84297 | 6.89546 | 0.27283 | 100.00000 | 0.04922 |
| BEE | 7.90937 | 11.12998 | 1.82991 | 100.00000 | 0.04833 | |
| BOA | 6.85104 | 7.22045 | 0.39607 | 100.00000 | 0.04814 | |
| CSA | 6.97449 | 7.38823 | 0.25567 | 100.00000 | 0.07832 | |
| DE | 7.10367 | 7.60323 | 0.31234 | 100.00000 | 0.06253 | |
| EHO | 6.86392 | 7.09830 | 0.38665 | 100.00000 | 0.05045 | |
| FPA | 6.99358 | 7.25039 | 0.19522 | 100.00000 | 0.05481 | |
| GWO | 6.86545 | 6.90424 | 0.04063 | 100.00000 | 0.09829 | |
| MFO | 6.84477 | 6.85111 | 0.00631 | 100.00000 | 0.03887 | |
| TLBO | 7.03625 | 7.41446 | 0.16978 | 100.00000 | 0.04257 |
| Algorithm | Known Best | Best Found | Average | Std Dev | Feasibility % | Time (s) |
|---|---|---|---|---|---|---|
| CTOSO | 263.89580 | 263.89874 | 271.60509 | 4.48839 | 100.00000 | 0.04946 |
| BEE | 329.23104 | 872.63628 | 334.28303 | 100.00000 | 0.03225 | |
| BOA | 263.91885 | 264.26650 | 0.35916 | 100.00000 | 0.05173 | |
| CSA | 264.06106 | 265.89242 | 1.88533 | 100.00000 | 0.07390 | |
| DE | 263.89648 | 264.31322 | 0.29849 | 100.00000 | 0.04331 | |
| EHO | 263.89589 | 264.24102 | 1.38562 | 100.00000 | 0.04396 | |
| FPA | 263.91726 | 265.55814 | 2.21588 | 100.00000 | 0.04065 | |
| GWO | 263.89730 | 263.94505 | 0.03789 | 100.00000 | 0.07332 | |
| MFO | 263.89976 | 269.81182 | 5.16554 | 100.00000 | 0.03946 | |
| TLBO | 263.98009 | 264.59121 | 0.53620 | 100.00000 | 0.04116 |
| Algorithm | Known Best | Best Found | Average | Std Dev | Feasibility % | Time (s) |
|---|---|---|---|---|---|---|
| CTOSO | 359.20800 | 359.20796 | 360.05451 | 1.40914 | 100.00000 | 0.04526 |
| BEE | 363.11596 | 373.93852 | 6.58367 | 100.00000 | 0.02741 | |
| BOA | 359.20834 | 364.49939 | 4.84366 | 100.00000 | 0.04557 | |
| CSA | 359.16516 | 360.05412 | 0.96460 | 100.00000 | 0.06112 | |
| DE | 359.21403 | 359.53435 | 0.35829 | 100.00000 | 0.05969 | |
| EHO | 359.20800 | 360.39324 | 1.69635 | 100.00000 | 0.03257 | |
| FPA | 359.21081 | 359.79091 | 1.07844 | 100.00000 | 0.04153 | |
| GWO | 359.21043 | 360.04425 | 1.37822 | 100.00000 | 0.06801 | |
| MFO | 359.20796 | 360.98368 | 1.58284 | 100.00000 | 0.02405 | |
| TLBO | 359.22485 | 360.04466 | 0.91562 | 100.00000 | 0.03279 |
| Versus | p-Value | Verdict | |
|---|---|---|---|
| CTOSO | BEE | 0.000488281 | CTOSO better |
| BOA | 0.000488281 | CTOSO better | |
| CSA | 0.004882813 | CTOSO better | |
| DE | 0.001464844 | CTOSO better | |
| EHO | 0.009277344 | CTOSO better | |
| FPA | 0.000488281 | CTOSO better | |
| GWO | 0.004882813 | CTOSO better | |
| MFO | 0.000488281 | CTOSO better | |
| TLBO | 0.000488281 | CTOSO better |
| Versus | Avg Rank 1 | Avg Rank 2 | Abs Rank Diff | Critical Difference | Significant | |
|---|---|---|---|---|---|---|
| CTOSO | BEE | 1.58 | 10.00 | 8.42 | 4.08 | TRUE |
| BOA | 5.00 | 3.42 | FALSE | |||
| CSA | 6.42 | 4.83 | TRUE | |||
| DE | 7.08 | 5.50 | TRUE | |||
| EHO | 3.75 | 2.17 | FALSE | |||
| FPA | 6.00 | 4.42 | TRUE | |||
| GWO | 4.50 | 2.92 | FALSE | |||
| MFO | 2.92 | 1.33 | FALSE | |||
| TLBO | 7.75 | 6.17 | TRUE |
| Algorithm | Big-O Complexity (ps = 100) | Key Overhead Drivers | Overall Complexity Tier |
|---|---|---|---|
| CTOSO | O(FE · (D + ps)) | ps/2 spiral (exp, cos) per D; O(ps) max operation for weight w | Moderate |
| BEE | O(FE · D) | Sort ps bees each gen (ps log ps); Gaussian site search | Moderate |
| BOA | O(FE · D) | Lightweight fragrance calculation; no population sorting | Low |
| CSA | O(2FE · D) | Awareness move + memory copy per agent | High |
| DE | O(FE · (D + ps)) | randperm on ps agents; mutation & crossover vectors | Moderate |
| EHO | O(FE · D) | Two rand calls + clan mean per update | Low |
| FPA | O(FE · D) | Lévy flight (three variables) per D | Low |
| GWO | O(FE · (D + ps log ps)) | Sort ps wolves every eval; updates three variables | High |
| MFO | O(FE · D) | exp + cos per D; flame re-rank once/generation | Low |
| TLBO | O(FE · D) | Teacher/learner vector operations; one start-up sort | Low |
Disclaimer/Publisher’s Note: The statements, opinions and data contained in all publications are solely those of the individual author(s) and contributor(s) and not of MDPI and/or the editor(s). MDPI and/or the editor(s) disclaim responsibility for any injury to people or property resulting from any ideas, methods, instructions or products referred to in the content. |
© 2026 by the authors. Licensee MDPI, Basel, Switzerland. This article is an open access article distributed under the terms and conditions of the Creative Commons Attribution (CC BY) license.
Share and Cite
BenAbdennour, A.; Alenezi, A.M. A Tuning-Free Constrained Team-Oriented Swarm Optimizer (CTOSO) for Engineering Problems. Mathematics 2026, 14, 176. https://doi.org/10.3390/math14010176
BenAbdennour A, Alenezi AM. A Tuning-Free Constrained Team-Oriented Swarm Optimizer (CTOSO) for Engineering Problems. Mathematics. 2026; 14(1):176. https://doi.org/10.3390/math14010176
Chicago/Turabian StyleBenAbdennour, Adel, and Abdulmajeed M. Alenezi. 2026. "A Tuning-Free Constrained Team-Oriented Swarm Optimizer (CTOSO) for Engineering Problems" Mathematics 14, no. 1: 176. https://doi.org/10.3390/math14010176
APA StyleBenAbdennour, A., & Alenezi, A. M. (2026). A Tuning-Free Constrained Team-Oriented Swarm Optimizer (CTOSO) for Engineering Problems. Mathematics, 14(1), 176. https://doi.org/10.3390/math14010176

