You are currently viewing a new version of our website. To view the old version click .
Mathematics
  • This is an early access version, the complete PDF, HTML, and XML versions will be available soon.
  • Article
  • Open Access

28 December 2025

Improved Enterprise Development Optimization with Historical Trend Updating for High-Precision Photovoltaic Model Parameter Estimation

,
and
1
School of Business, Hubei University, Wuhan 430062, China
2
School of Economics and Management, University of Electronic Science and Technology of China, Chengdu 611731, China
3
Taizhou Institute of Zhejiang University, Taizhou 318000, China
*
Author to whom correspondence should be addressed.
Mathematics2026, 14(1), 121;https://doi.org/10.3390/math14010121 
(registering DOI)
This article belongs to the Special Issue Optimization Theory, Algorithms and Applications

Abstract

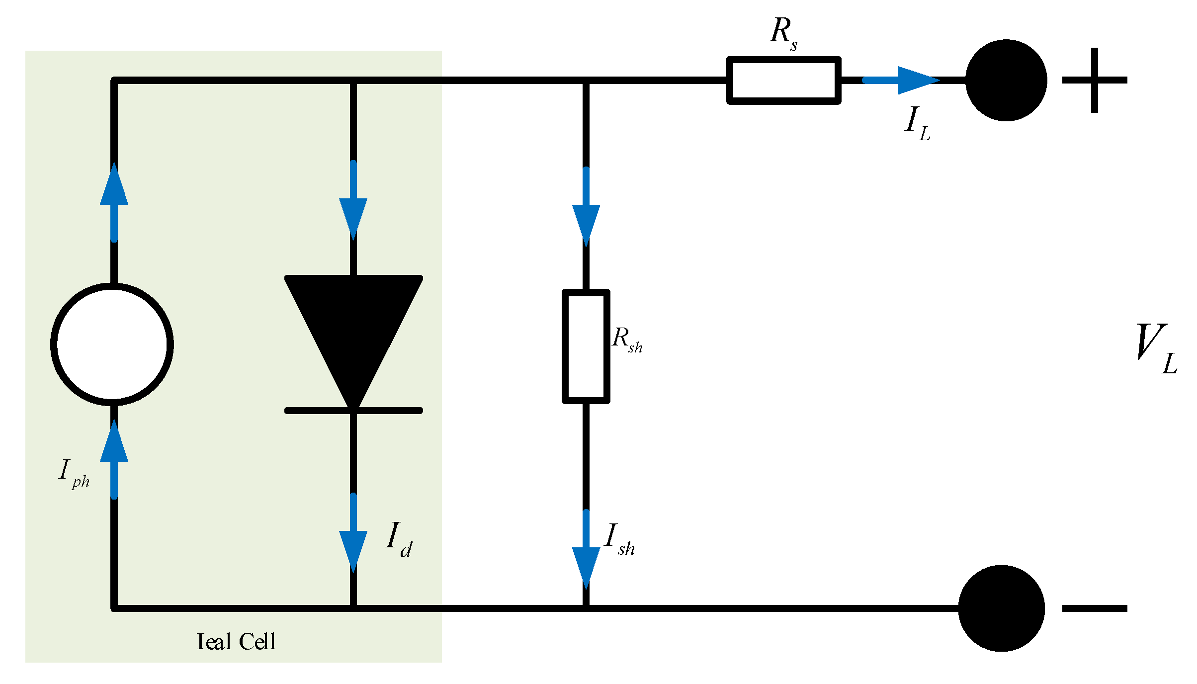
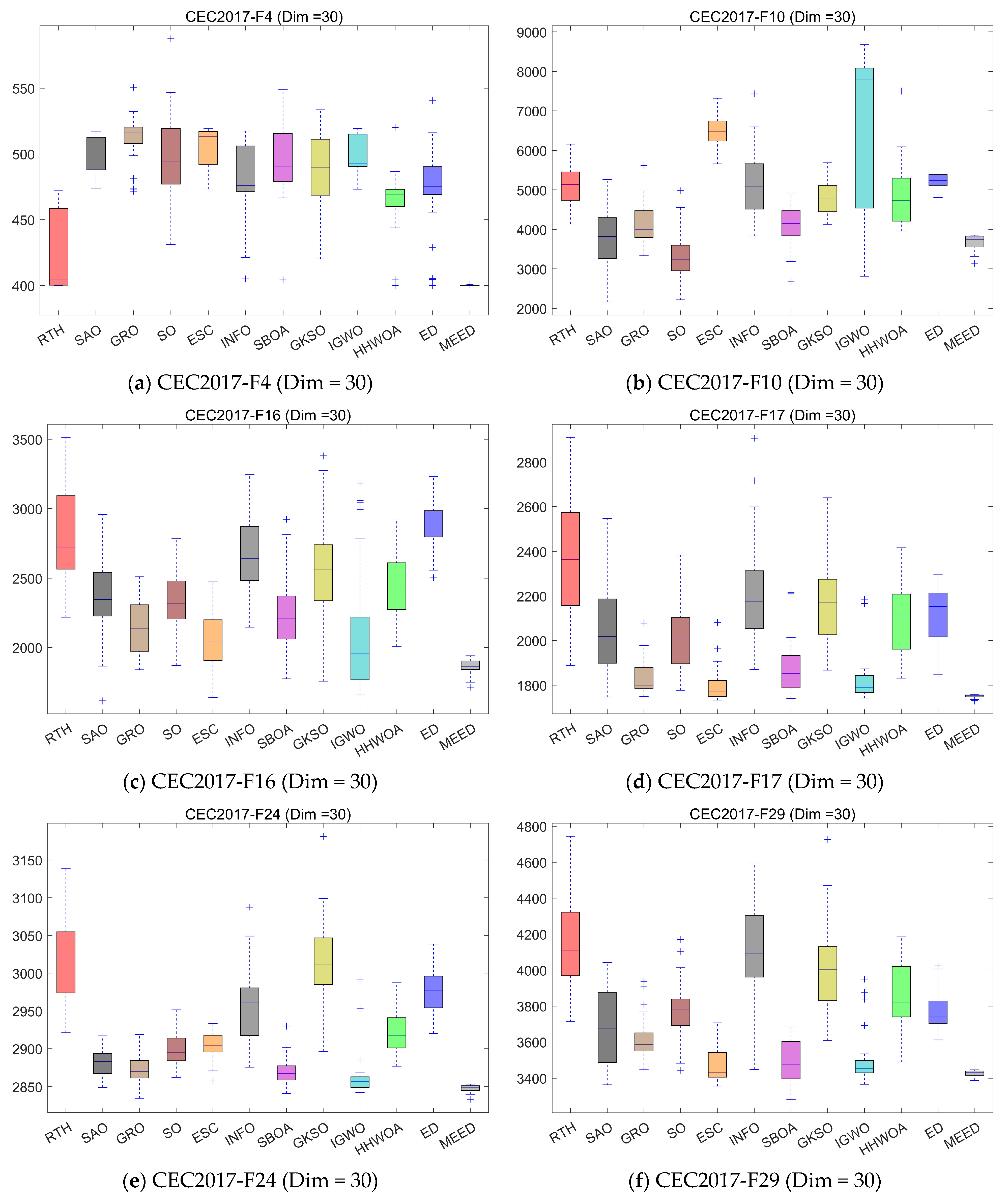
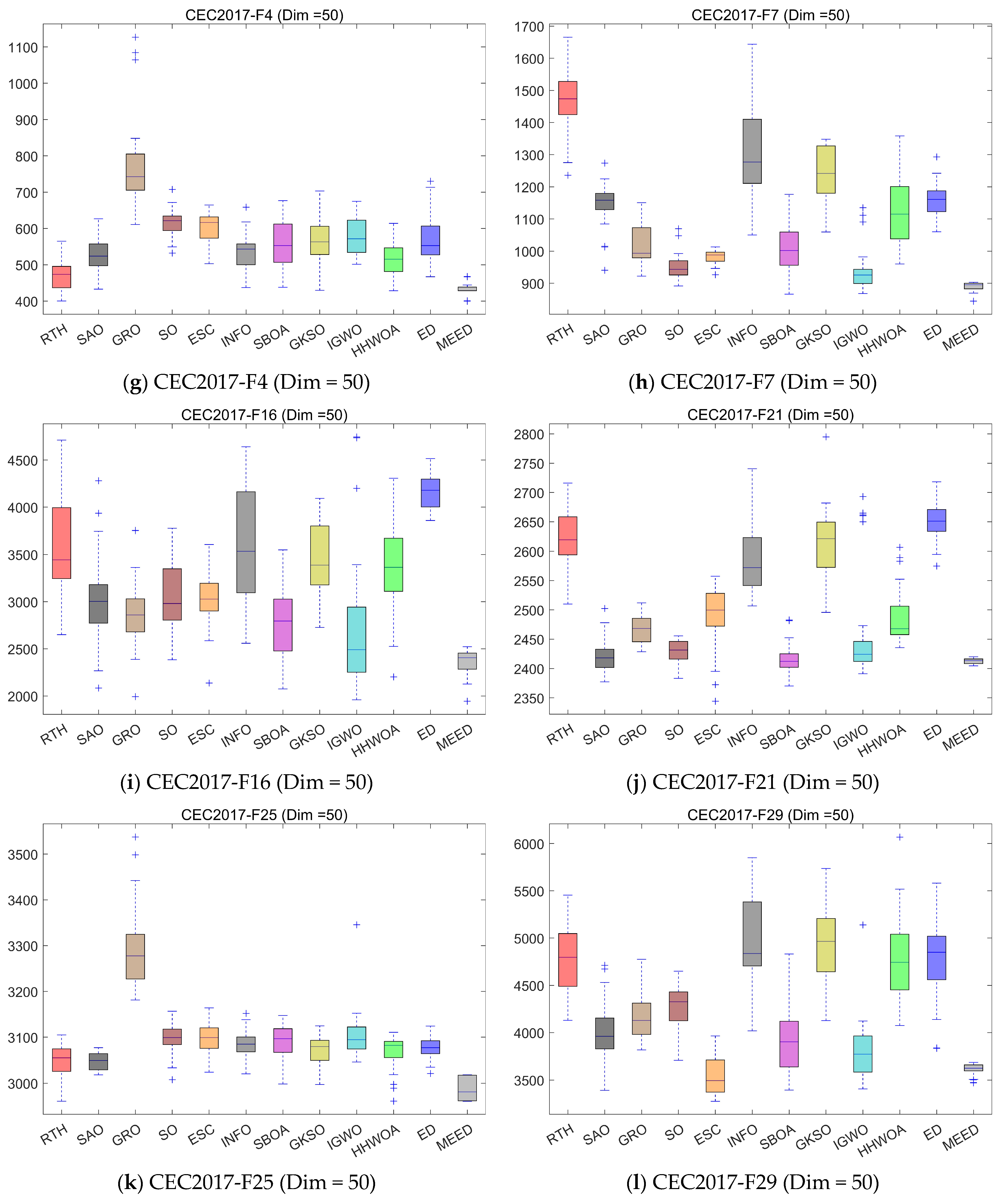
Accurate parameter estimation of photovoltaic (PV) models is fundamentally a challenging nonlinear optimization problem, characterized by strong nonlinearity, high dimensionality, and multiple local optima. These characteristics significantly hinder the convergence accuracy, stability, and efficiency of conventional metaheuristic algorithms when applied to PV parameter identification. Although the enterprise development (ED) optimization algorithm has shown promising performance in various optimization tasks, it still suffers from slow convergence, limited solution precision, and poor robustness in complex PV parameter estimation scenarios. To overcome these limitations, this paper proposes a multi-strategy enhanced enterprise development (MEED) optimization algorithm for high-precision PV model parameter estimation. In MEED, a hybrid initialization strategy combining chaotic mapping and adversarial learning is designed to enhance population diversity and improve the quality of initial solutions. Furthermore, a historical trend-guided position update mechanism is introduced to exploit accumulated search information and accelerate convergence toward the global optimum. In addition, a mirror-reflection boundary control strategy is employed to maintain population diversity and effectively prevent premature convergence. The proposed MEED algorithm is first evaluated on the IEEE CEC2017 benchmark suite, where it is compared with 11 state-of-the-art metaheuristic algorithms under 30-, 50-, and 100-dimensional settings. Quantitative experimental results demonstrate that MEED achieves superior solution accuracy, faster convergence speed, and stronger robustness, yielding lower mean fitness values and smaller standard deviations on the majority of test functions. Statistical analyses based on Wilcoxon rank-sum and Friedman tests further confirm the significant performance advantages of MEED. Moreover, MEED is applied to the parameter estimation of single-diode and double-diode PV models using real measurement data. The results show that MEED consistently attains lower root mean square error (RMSE) and integrated absolute error (IAE) than existing methods while exhibiting more stable convergence behavior. These findings demonstrate that MEED provides an efficient and reliable optimization framework for PV model parameter estimation and other complex engineering optimization problems.

Article Metrics

Citations

Article Access Statistics

Article metric data becomes available approximately 24 hours after publication online.