Abstract
In this paper, we analyze the problem of how to adapt the concept of priority to situations where several perfectly divisible resources have to be allocated among a certain set of agents that have exactly one claim that is used for all resources. In particular, we introduce constrained sequential priority rules and two constrained random arrival rules which extend the classical sequential priority rules and the random arrival rule to these situations. We also provide an axiomatic analysis of these rules. Finally, we present a numerical example to compare the constrained random arrival rule to other solutions in this context.
Keywords:
allocation problem; multi-issue bankruptcy problems; sequential priority rule; random arrival rule MSC:
91A12
1. Introduction
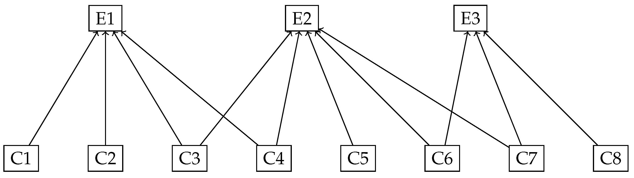
Resource management has always been of great interest due to its relevance to many social, economic, and production problems. In particular, resource allocation problems have been widely studied in the literature, especially when resources are scarce. In this work, we will study resource allocation problems in which a set of resources is used by a series of agents to produce their goods. This leads to a situation in which each agent demands those resources that are necessary to produce a series of goods. These situations can be modeled as a problem structured as shown in Figure 1, where, for example, there are three resources and eight agents that have claims on them. This resource allocation problem structure was already studied by [1,2] in the context of problems related to the management of pollutant emissions into the atmosphere and the management and control of water quality. These problems were called multi-issue bankruptcy problems with crossed claims. In addition to the problems already mentioned where this type of model arises, another problem where it could be applied is in the context of computer science, where our model could be extended to applications in the area of parallelism in multi-core processors. The estates could be thought of as the processing cores, shared memory, and communication bandwidth, while the agents (claimants) would be the tasks or threads of execution that require resources for processing. Each task can have requirements that span multiple resources simultaneously.
Figure 1.
Multi-issue problem with crossed claims with three issues and eight claimants.
Resource allocation mechanisms can be implemented from different points of view. On the one hand, a possible approach to resource allocation may be to optimize some objective function that responds to some criterion of interest. On the other hand, the allocation approach can be carried out using some kind of principle related to fairness that does not involve the optimization of any objective function but rather guarantees such a principle as far as possible. In this paper, we use the second approach, considering that there may be agents with higher priority than others when accessing resources. This gives rise to priority-based allocation mechanisms or rules. Furthermore, following this priority principle and when the priority is not clearly defined, it is also possible to consider all possible priorities, calculate the corresponding resource allocation for each of them, and then take the average of all these allocations. This is related to the well-known Shapley value [3] in cooperative game theory. In this paper, based on the ideas previously described, we introduce constrained sequential priority rules and the constrained random arrival rule for multi-issue bankruptcy problems with crossed claims.
For the introduced rules, an axiomatic analysis is performed, especially focusing on the constrained random arrival rule. This analysis is performed to find out which properties are satisfied by these rules in order to better understand their scope in their application to different problems. Although the constrained random arrival rule is based on the principles of the Shapley value, which is recognized as a paradigm of fairness (see [4]), it does not satisfy some common properties in the axiomatic characterization of the Shapley value and the solutions based on it. One of the reasons for this is the fact that in the context of multi-issue bankruptcy problems with crossed claims, the average operator does not preserve Pareto efficiency, which makes it difficult to accomplish with some of the usual properties of Shapley-type solutions. Thus, while constrained sequential priority rules satisfy Pareto efficiency, their average, the constrained random arrival rule, does not satisfy it, in general.
As already mentioned, the resource allocation problem addressed in this paper can appear, for example, in production, greenhouse emissions, water quality management, or computer science problems. Furthermore, the allocation mechanisms proposed in this paper are interesting enough since they are based on a relevant solution such as the Shapley value. Furthermore, in the last section, a numerical example is presented to illustrate two variants of the constrained random arrival rule in comparison to other solutions proposed for multi-issue bankruptcy problems with crossed claims.
The remainder of the paper is organized as follows. Section 2 reviews the literature related to resource allocation problems. Section 3 presents multi-issue bankruptcy problems with crossed claims (MBC) and the concept of the allocation rule for these problems. In Section 4, constrained sequential priority rules and their average, the constrained random arrival rule for multi-issue bankruptcy problems with crossed claims, are defined. In Section 5, we present several properties which are interesting in the context of MBC problems. In Section 6, an alternative definition of the constrained random arrival rule is presented. In Section 7, we present a numerical example to compare the constrained random arrival rule with other solutions in the literature. Section 8 concludes the paper.
2. Literature Review
There is a vast amount of literature on problems in which a resource must be allocated among a set of claimants. A relevant allocation problem arises when there is a (perfectly divisible) resource (for example, money, water, time, etc.) over which there is a set of claimants who have rights or demands, but the resource is scarce. This problem is known as the bankruptcy problem [5,6]. Many allocation rules have been defined to provide a solution to this problem (see [7,8,9] for a detailed inventory of rules and their axiomatic analysis). One of the most prominent allocation rules is the random arrival rule [5] also known as the run-to-the-bank rule [10]. For this rule, the following dynamic interpretation can be given: The problem is solved by holding a race in such a way that the first claimant who arrives is satisfied with so much of the resource, the second is satisfied with as much of the resource as is left, and so on until the resource is exhausted. If we consider all orders of arrival equally likely, the random arrival rule is the expected value. Likewise, we can consider that each of these orders of arrival is a priority relationship defined ex ante over the claimants according to some criterion, and thus, we would have a rule for each of these orders; these rules are called sequential priority rules. Moreover, Ref. [11] extends the sequential priority rules and their average, the random arrival rule, to the case in which withdrawals are bounded from above.
An extension of bankruptcy problems are multi-issue allocation problems [12]. In these situations, there is also a (perfectly divisible) resource, but it can be distributed between several issues, and a (finite) number of agents have claims on each of those issues, so the total claim is greater than the available amount of the resource. This problem is also solved by means of allocation rules, and there are different ways to do so. Calleja et al. [12] introduced two extensions of the random arrival rule to the context of multi-issue allocation problems. Moreover, one of these rules, the proportional run-to-the-bank rule [12] is used in [13] to provide a novel allocation protocol for managing annual CO2-equivalent emissions in European Union countries. González-Alcón et al. [14] proposed a new extension of the random arrival rule to this context. An alternative approach to multi-issue bankruptcy problems considers a situation in which the resource has already been divided a priori into the issues according to exogenous criteria, but claimants continue having a claim for each issue [15]. Other allocation rules have also been extended to the case of multi-issue bankruptcy problems. For example, Lorenzo–Freire et al. [16] and Bergantiños et al. [17] extended the constrained equal awards rule and the constrained equal losses rule, and Bergantiños et al. [18] and Moreno–Ternero [19] studied extensions of the proportional rule.
However, the situation described in Figure 1 does not fit any of the multi-issue allocation problems referred to in the previous paragraph but does match with a multi-issue bankruptcy problem with crossed claims introduced by [1,2]. This problem describes situations in which there are several (perfectly divisible) resources and a (finite) set of agents who have claims on them, but only one claim (not a claim for each resource) by which one or more resources are requested, and the total claim for each resource exceeds its availability.
Refs. [1,2] proposed extensions of the constrained equal awards rule and the proportional rule for single-issue allocation problems (see, for example, [20]) to the context of multi-issue bankruptcy problems with crossed claims. However, in this paper, to solve allocation problems like those depicted in Figure 1, we introduce sequential priority rules and their average, the random arrival rule for multi-issue bankruptcy problems with crossed claims, that naturally extend both the sequential priority rules and the random arrival rule for single-issue allocation problems. In [1,2] and this work, an axiomatic analysis of the solutions introduced is carried out. In Section 7, these rules are compared.
3. Multi-Issue Bankruptcy Problems with Crossed Claims
Bankruptcy problems concern allocating the available resource (estate) to a number of individuals (claimants) according to their demands/claims when all of these demands add up to more than the available resource. Mathematically, a bankruptcy problem is given by a triplet , where N is the set of claimants, is a perfectly divisible amount of resources (the issue or estate) to be divided, and c is the demand vector such that . The set of all bankruptcy problems with set of agents N is denoted by .
The main goal in a bankruptcy problem is to find an allocation that is as fair as possible, taking into account the demands of the claimants. An allocation rule R is a function defined for each N from to such that for each , satisfies the following two conditions:
- 1.
- .
- 2.
- .
Many allocation rules have been proposed depending on the principle(s) of fairness or the rationale used. Allocation rules defined on the basis of the existence of a priority order of the claimants and that satisfy their demands sequentially according to that priority order are the following:
The sequential priority rule associated with () is defined by setting
where is the set of all possible orders of N. The family of sequential priority rules, SP-family, consists of all these rules.
The random arrival rule (RA) [5] is defined by setting
The random arrival rule coincides with the Shapley value [3] of the pessimistic bankruptcy game [5]. This is a relevant fact because the Shapley value is one of the most prominent solution concepts in cooperative game theory [4,21,22].
We now consider a situation, introduced in [1,2], in which there is a finite set of issues such that there is a perfectly divisible amount of each issue i. Let be the vector of available amounts of issues. There is a finite set of claimants such that each claimant j claims . Let be the vector of claims. However, in general, each claimant claims different sets of issues. Thus, let be a set-valued function that associates with every a set . In fact, represents the issues to which claimant j asks for. Furthermore, , for all , otherwise, those issues could be discarded from the problem because they do not impose any limitations, and so the allocation would be trivial. Therefore, a multi-issue bankruptcy problem with crossed claims (MBC in short) is defined by a 5-tuple , and the family of all these problems is denoted by .
Given a problem , a feasible allocation of it is a vector such that:
- 1.
- , for all .
- 2.
- , for all ,
and we denote by the set of all its feasible allocations.
An allocation rule for multi-issue bankruptcy problems with crossed claims is a mapping R that associates with every a unique feasible allocation .
4. Constrained Sequential Priority Rules for Problems
Sequential priority rules are defined when there is a priority order defined over the set of claimants in such a way that if one claimant has a higher priority than another, the first claimant must be satisfied first in her demand. This rule simply allocates the resource according to the first-come-first-served scheme, where the order of arrival is given by the priority relationship. The question in problems is what “be satisfied with as much of the resource as is left” means. In the context of one-issue allocation problems, “be satisfied with as much of the resource as is left” is a simple idea since there is only one issue. Yet, how should one extrapolate this to MBC situations? To answer this question, we introduce the constrained sequential priority rule (CSP in short), which follows the same process as sequential priority rules but takes into account that there are several resources or issues. This rule is formally defined below:
Definition 1.
Let , and ; the constrained sequential priority rule associated with for , , is defined as follows:
where is the set of all possible orders of N.
For each , the iterative procedure of is well-defined and always leads to a single point. Moreover, by definition, it ends in a finite number of steps, at most . Finally, when we have a one-issue allocation problem, then we obtain . Therefore, this definition extends sequential priority rules to the context of MBC. The following example illustrates how CSP works:
Example 1.
Second, the resources are updated down , and claimant 3 is attended to:
Third, the resources are updated down , and claimant 5 is attended to:
Fourth, the resources are updated down , and claimant 7 is attended to:
Fifth, the resources are updated down , and claimant 2 is attended to:
Sixth, the resources are updated down , and claimant 4 cannot be attended to because the resources she claims are exhausted; as a result, she gets 0. Therefore, we move to the next in the priority order. Again, claimant 6 cannot be attended to because one of the resources she claims is exhausted; as a result, she gets 0. So, we move on to the next. Claimant 8 is attended to:
Seventh, the resources are updated down , and the sequential procedure ends. The final allocation is
Consider the situation described by Figure 1 with , , , , and . If we take for example the priority order , is calculated sequentially as follows:
- First, claimant 1 is attended to:
Once the constrained sequential priority rules associated with an order have been defined, the constrained random arrival rule is simply defined as their average.
Definition 2.
Let ; the constrained random arrival rule for , denoted as , is defined as follows:
where is the set of all possible orders of N.
Although the definition of the rule is simple, it is immediately apparent that the biggest problem is its computation. For Example 1, it would be necessary to calculate 8! = 40,320 sequential processes, which consumes a large amount of time.
5. Properties
In this section, we present several properties which are interesting in the context of MBC problems. These properties are related to efficiency, fairness, priority, monotonicity, and consistency.
First, we introduce two concepts related to the comparison of two claimants. In MBC situations, claimants are characterized by two elements: their claims and the issues to which they claim. Therefore, both should be taken into account when establishing comparisons among them.
Definition 3.
Let , and two claimants , we say that they are homologous, if ; and they are called equal, if they are homologous and .
Next, we give a set of properties which are very natural and reasonable for an allocation rule in MBC situations.
The first property relates to efficiency. In allocation problems, it is desirable that the resources be fully distributed, but in MBC situations, this is not always possible (see [1]). Therefore, a weaker alternative is considered in which it is only required that there be no feasible allocation in which at least one of the claimants receives more. This situation is established in the following axiom:
Axiom 1.
[PEFF] Given a rule R, Pareto efficiency is satisfied if, for every problem , there is no feasible allocation such that , with at least one strict inequality.
Note that implies that the available amount of at least one issue is fully distributed and that no amount of an issue is left undistributed, if such is possible. However, this does not require that all available amounts of the issues be fully distributed. On the other hand, a feasible allocation that satisfies the condition in Axiom 1 is called Pareto efficient.
The second property states that equal claimants should receive the same in the final allocation. This is a basic requirement of fairness and non-arbitrariness. This is defined in the following axiom:
Axiom 2.
[ETE] Given a rule R, equal treatment of equals is satisfied if, for every problem and every pair of equal claimants , .
The third property is a requirement of robustness when some agents leave the problem with their allocations (see [23,24]). In particular, when a subset of claimants leave the problem respecting the allocations to those who remain, then it seems reasonable that claimants who leave will receive the same in the new problem as they did in the original. This is formally formulated in the following axiom:
Axiom 3.
[CONS] Given a rule R, consistency is satisfied if, for every problem and , it holds that
where , called the reduced problem associated with , , so that , for all , and is the vector whose coordinates correspond to the claimants in .
The fourth property is related to the priority order.
Axiom 4.
[PRI] Given a rule R, it satisfies priority if, for every problem and every pair of homologous claimants , if , .
Theorem 1.
for multi-issue bankruptcy problems with crossed claims satisfies , , and .
Proof.
We go axiom by axiom.
- satisfies and by definition.
- Given and the reduced problem associated with . We assume that when some claimants leave the problem, they respect the priority order defined by σ in the new problem. Therefore, if we follow the sequential procedure when a claimant in has to be attended to, what she can get is exactly the same as what she got in the original problem, since what the claimants who remained in the original problem keep is exactly what corresponded to them according to the order of priority defined by σ. Therefore, satisfies .
□
It is well-known that the random arrival rule does not satisfy , so neither does the constrained random arrival rule.
Theorem 2.
for multi-issue bankruptcy problems with crossed claims satisfies .
Proof.
The proof is straightforward by definition of . □
In the context of multi-issue bankruptcy problems with crossed claims, the average operator does not preserve the property of Pareto efficiency, and, therefore, CRA does not satisfy this basic property, as shown in the following proposition:
Proposition 1.
rule does not satisfy .
Proof.
Consider the problem with , , , , and . for each order and are given by Table 1.
Table 1.
CSP and CRA for Proposition 1.
Note that and ; therefore, we can improve up to the allocation of agent 1 without exceeding any estate. Consequently, does not satisfy . □
A property that is satisfied by most of the rules for bankruptcy problems is resource monotonicity, which is also used in the characterization of sequential priority rules (see [9], Th.11.11). This property simply states that if the available resource increases, allocations to claimants do not decrease. In the particular context of multi-issue bankruptcy problems with crossed claims, this property reads as follows:
Axiom 5.
[R-MON] Given a rule R, it satisfies resource monotonicity, if for every problem and , for all .
Although this property seems very weak, constrained sequential priority rules do not satisfy it, as the following proposition shows:
Proposition 2.
for multi-issue bankruptcy problems with crossed claims does not satisfy .
Proof.
Consider the problem with , , , , and . If we take, for example, the priority order ,
and there is nothing left.
However, if , we have that
Note that claimant 8 obtains less when the available resources increase. Therefore, does not satisfy . □
Another monotonicity property is population monotonicity, which states that if all claimants agree that a claimant j will obtain her claim, then the remaining claimants should be worse off after claimant j is fully compensated. This property is satisfied by many bankruptcy rules, including the random arrival rule. Moreover, the random arrival rule is characterized by using this property in Hwang and Wang ([25], Th.1). On the other hand, a property that appears recurrently related to the Shapley value and, therefore, to the random arrival rule is that of balanced contributions [26,27]. In the context of bankruptcy problems, this property was used by [28] to characterize the random arrival rule. Moreover, in the context of multi-issue bankruptcy problems, it was introduced by [29] and also used to characterize the random arrival rule. This property requires that claimant j imparts claimant k’s allocation what claimant k imparts to claimant j’s allocation. The following are natural extensions of population monotonicity and balanced contributions to the context of multi-issue bankruptcy problems with crossed claims:
Axiom 6.
[P-MON] Given a rule R, population monotonicity is satisfied if, for every problem and each ,
where is the set of issues for which claimants in have claims; so that if and otherwise; and is the vector of claims from which the i-th coordinate has been deleted.
Axiom 7.
[BAL] Given a rule R, balanced impact is satisfied if, for every problem and every pair of claimants ,
where is the set of issues for which claimants in have claims; so that if and otherwise; and is the vector of claims from which the h-th coordinate has been deleted.
As mentioned above, these types of properties are used to characterize Shapley-like solutions the same way random arrival is, but in the context of multi-issue bankruptcy problems with crossed claims, they are not satisfied by the constrained random arrival rule, as the following proposition shows:
Proposition 3.
rule satisfies neither nor .
Proof.
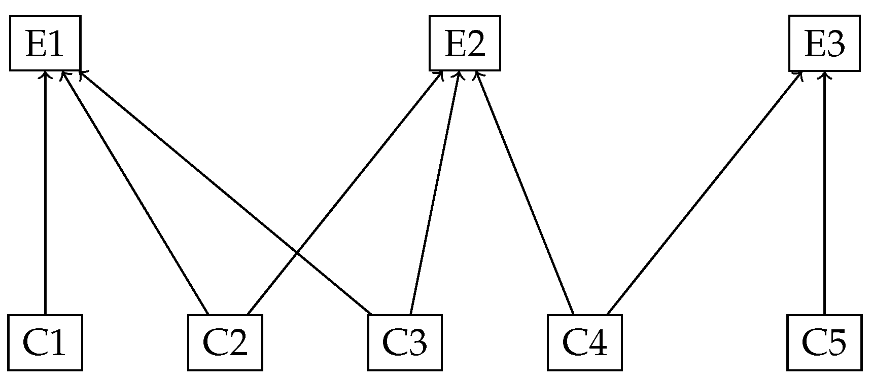
Consider the situation described by Figure 2 with three issues , and three claimants ; the available resources are given by , the claims are given by the vector , and, finally, .
Figure 2.
A multi-issue problem with crossed claims with three issues and three claimants.
In order to calculate , we need to consider all possible orders of arrival. These calculations are summarized in Table 2 below.
Table 2.
Constrained random arrival rule for Proposition 3.
In Table 3, the calculations used to obtain for the two claimants’ subproblems are shown.
Table 3.
The constrained random arrival rule for the two claimants’ subproblems in Proposition 3.
Now, we observe that . Therefore, claimant 1 is better off after claimant 3 leaves with her claim. Consequently, does not satisfy .
On the other hand, we have that
and
Therefore, does not satisfy . □
The previous results show the complexity of finding properties that allow for axiomatic characterizations of sequential priority rules and the random arrival rule in the context of multi-issue bankruptcy problems with crossed claims, so it is necessary to look for more specific properties (and likely more technical) to achieve this.
6. An Alternative Extension of the Random Arrival Rule for MBC
In this section, we introduce a modification of the constrained random arrival rule for multi-issue bankruptcy problems with crossed claims, which we call CRA*. In particular, the CRA* consists of two levels of arrival orders. However, for this rule to be well defined, it is first necessary that the claims be truncated by the minimum of their associated endowments in order to avoid inconsistencies, i.e., we must take as claims , and this must be achieved before calculating each RA with the updated estates and claims. Once the claims have been truncated, all possible orders of the issues are established. For the first issue in the order, we calculate the RA rule; then, the estates and claims are updated down, and the RA rule is calculated for the second issue in line and so on until the last issue in the order is reached. Once we have obtained an allocation for each possible order of issues we take their average. Note that CRA* can be seen as a new and different allocation from CRA, but we use the same rationale. Moreover, it is also an extension of the random arrival rule since, for one-issue bankruptcy problems, both coincide. The following example illustrates how CRA* works:
Example 2.
Consider the situation described by Figure 3 with , , , , and .
Figure 3.
Multi-issue bankruptcy problem with crossed claims in Example 2.
- Consider the order of issues 123.We start with issue 1. The bankruptcy problem associated with this issue is . There is no need to truncate claims.
Order/Claimant 1 2 3 123 3 4 2 132 3 3 3 213 3 4 2 231 2 4 3 312 3 3 3 321 2 4 3 RA UPDATE PHASE:- 1.
- We update the estates and claims: .
- 2.
- We truncate the claims by the estates: .
Now, we continue with issue 2. The bankruptcy problem associated with this issue is . Therefore, .UPDATE PHASE:- 1.
- We update the estates and claims: .
- 2.
- We truncate the claims by the estates: .
We end with issue 3. The bankruptcy problem associated with this issue is . Therefore, .Therefore, the allocation for the order of issues 123 is . - Consider the order of issues 132.We start with issue 1. This case is identical to order 123. Therefore, . The update phase is also the same, but we write it down for the sake of completeness.UPDATE PHASE:
- 1.
- We update the estates and claims: .
- 2.
- We truncate the claims by the estates: .
Now, we continue with issue 3. The bankruptcy problem associated with this issue is . Therefore, .UPDATE PHASE:- 1.
- We update the estates and claims: .
- 2.
- We truncate the claims by the estates: .
We end with issue 2, but there is no bankruptcy problem since .Therefore, the allocation for the order of issues 132 is . - Consider the order of issues 213.We start with issue 2. The bankruptcy problem associated with this issue is . There is no need to truncate claims.
Order/Claimant 2 3 4 234 4 3 3 243 4 0 6 324 4 3 3 342 1 3 6 423 4 0 6 432 1 3 6 RA 3 2 5 UPDATE PHASE:- 1.
- We update the estates and claims: .
- 2.
- We truncate the claims by the estates: .
Now, we continue with issue 1 and then issue 3, but in these cases, it is immediately clear that and .Therefore, the allocation for the order of issues 213 is . - Consider the order of issues 231. This case is completely identical to the order of issues 213; therefore, the allocation for the order of issues 231 is .
- Consider the order of issues 312.We start with issue 3. The bankruptcy problem associated with this issue is . There is no need to truncate claims.
Order/Claimant 4 5 45 6 2 54 3 5 RA UPDATE PHASE:- 1.
- We update the estates and claims: .
- 2.
- We truncate the claims by the estates: .
Now, we continue with issue 1. The bankruptcy problem associated with this issue is (Table 4).
Table 4. (a) Claimant 3 cannot receive 2 units because the sum of the allocations of claimants 2 and 3 would exceed . (b) Claimant 2 cannot receive 3 units because the sum of the allocations of claimants 2 and 3 would exceed . (c) Claimant 1 can receive more than 2 because, due to claimants 2 and 3 receiving less, she can receive more.Table 4. (a) Claimant 3 cannot receive 2 units because the sum of the allocations of claimants 2 and 3 would exceed . (b) Claimant 2 cannot receive 3 units because the sum of the allocations of claimants 2 and 3 would exceed . (c) Claimant 1 can receive more than 2 because, due to claimants 2 and 3 receiving less, she can receive more.Order/Claimant 1 2 3 123 3 4 1.5 a 132 3 2.5 b 3 213 3 4 1.5 a 231 3 c 4 1.5 a 312 3 2.5 b 3 321 3 c 2.5 b 3 RA 3 UPDATE PHASE:- 1.
- We update the estates and claims: .
- 2.
- We truncate the claims by the estates: .
We end with issue 2, but there is no bankruptcy problem.Therefore, the allocation for the order of issues 312 is . - Consider the order of issues 321.We start with issue 3. The situation is the same as the order 312. Therefore, .UPDATE PHASE:
- 1.
- We update the estates and claims: .
- 2.
- We truncate the claims by the estates: .
Now, we continue with issue 2. The bankruptcy problem associated with this issue is . .UPDATE PHASE:- 1.
- We update the estates and claims: .
- 2.
- We truncate the claims by the estates: .
We end with issue 1, but there is no bankruptcy problem, and .Therefore, the allocation for the order of issues 321 is .
Finally, CRA* is determined by calculating the average of all the allocations obtained.
| Order/Claimant | 1 | 2 | 3 | 4 | 5 |
| 123 | |||||
| 132 | |||||
| 213 | 3 | 3 | 2 | 5 | 3 |
| 231 | 3 | 3 | 2 | 5 | 3 |
| 312 | 3 | 3.25 | 2.25 | 4.5 | 3.5 |
| 321 | 3 | 3.25 | 2.25 | 4.5 | 3.5 |
| CRA* |
Note that issue 3 is completely distributed, but issues 1 and 2 are not. Moreover, it is easy to check that the allocation given by CRA* is not Pareto efficient.
Formally, CRA* is defined as follows:
Definition 4.
Let ; is defined as follows:
- Let be a one-to-one application, and the set of all those applications. Let . Let be a one-to-one application, and the set of all those applications.
- For each :
- -
- Initialization:
- 1.
- , and .
- 2.
- .
- -
- From to , do
- 1.
- For , we consider the bankrupty problem .
- 2.
- We calculate as follows:
- 3.
- We calculate
- 4.
- UPDATE PHASE
- (a)
- ; and .
- (b)
- .
- -
- The last step is to calculate the allocation associated with ω:where if and 0 otherwise.
- Finally, we calculate CRA* for each as follows:
The following examples show that CRA and CRA* do not coincide in general.
Example 3.
Consider the multi-issue bankruptcy problem with crossed claims in Proposition 3. The allocation for each order of issues and the CRA* are shown in the following table:
| Order of Issues/Claimant | 1 | 2 | 3 |
| 123 | 3 | 2 | 5 |
| 132 | 3 | 2 | 5 |
| 213 | 2 | 3 | 4 |
| 231 | 2 | 3 | 4 |
| 312 | 2 | 3 | 4 |
| 321 | 2 | 3 | 4 |
| CRA* |
We observe that CRA and CRA* coincide. Moreover, if claimant 3 leaves the problem with her claim, then the CRA* of the new problem is ; therefore, CRA* does not satisfy P-MON. Furthermore, if claimant 1 leaves the problem with her claim, the CRA* of the new problem is ; and if claimant 2 leaves the problem with her claim, then the CRA* of the new problem is . Therefore, CRA* does not satisfy BAL.
Example 4.
Consider the multi-issue bankruptcy problem with crossed claims in Proposition 3. The allocation for each order of issues and the CRA* are shown in the following table:
| Order of Issues/Claimant | 1 | 2 | 3 |
| 12 | 1 | 3 | 5 |
| 21 | 1.5 | 2.5 | 5.5 |
| CRA* |
We now observe that CRA and CRA* do not coincide. Moreover, for this example, CRA* is Pareto efficient, but CRA is not.
Finally, we observe that we have the same problems with the properties as for CRA; therefore, it is not easy to find a characterization of CRA* using the usual properties in the characterizations of the random arrival rule for bankruptcy problems.
7. Numerical Example
A company has 4 factories, , , , and , that manufacture different perfectly divisible products. Different raw materials are needed to manufacture the products, but only three of them are limited by their availability; these are denoted by A, B, and C. Factory 1 uses materials A and B, Factory 2 and Factory 3 use the three scarce raw materials, and Factory 4 uses materials B and C. For all factories to produce one unit of their goods, they need one unit of each of the scarce materials they use in manufacturing. The goals of production of the factories are 1000, 750, 500, and 750 units, respectively. Finally, the availability of the three scarce resources is 2100, 2600, and 1600 units, respectively. All this information is summarized in the table below.
| Factories/Raw Materials | Demands | |||
| Yes | Yes | No | 1000 | |
| Yes | Yes | Yes | 750 | |
| Yes | Yes | Yes | 500 | |
| No | Yes | Yes | 750 | |
| Availability | 2100 | 2600 | 1600 |
It is evident that the demand for each of the raw materials A, B, and C is greater than their availability; therefore, we would be faced with three problems of allocation of scarce resources, but the three problems are not independent of each other and must be treated jointly. This problem has the characteristics of a multi-issue bankruptcy problem with crossed claims, where , , , ; and , and .
When solving this problem, different principles could be applied, such as equality, proportionality, or priority. For the latter, if there was no clearly defined priority, all possible priority orders could be considered and their average calculated (this is what the Shapley value does, [3]). In order to compare the allocation with all of the mentioned principles, we consider the following order of priority of the factories when satisfying their resource needs: .
To apply the principle of equality, we use the constrained equal awards rule for multi-issue bankruptcy problems with crossed claims (CEA) [1], and to apply the principle of proportionality, we will use the proportional rule for multi-issue bankruptcy problems with crossed claims (CPA) [2].
In this particular situation, the allocation of resources corresponds to the units that each of the factories can manufacture. The table below shows the allocations obtained when each of the rules mentioned above is applied and can be used to compare them.
| Factories/Rules | |||||
| 1000 | 1000 | 850 | 975 | 983.333 | |
| 550 | 600 | 750 | 604.167 | 640.278 | |
| 500 | 400 | 500 | 354.167 | 390.278 | |
| 550 | 600 | 350 | 641.667 | 569.444 | |
| Allocated | 2600 | 2600 | 2450 | 2575 | 2583.333 |
| Surplus resources | |||||
| A | 50 | 100 | 0 | 166.667 | 86.111 |
| B | 0 | 0 | 150 | 25 | 16.667 |
| C | 0 | 0 | 0 | 0 | 0 |
Apart from the concrete values of the allocations, the first thing that can be observed is that the allocations provided by rules , , and are Pareto efficient, while and are not. For example, allocations could be proposed to improve the allocation to Factory 1 from 975 to 1000 and from 983,333 to 1000, respectively, while maintaining what the other three factories receive and reducing the amount of surplus resources.
We also observe that clearly benefits those factories with higher priority when receiving resources, while all the other rules are more balanced in distribution. Among all the rules, the most beneficial for factories with lower resource demands is , as it could not be otherwise. Furthermore, we observe that the rules , , and have similar behaviors with the difference that is Pareto efficient and and are not, although, in this case, they are easily extended to Pareto efficient allocations as seen before.
Another issue that can be highlighted is the fact that by allocating the same amount to the factories, the surplus resources may be different. This is also a characteristic of multi-issue bankruptcy problems with crossed claims.
8. Conclusions
In many allocation problems, the concept of priority is relevant. For example, in legislation related to the liquidation of a company through bankruptcy in many countries, an order of priority is established to satisfy the claims. First, wage claims are settled, then taxes are paid. Creditor claims are then satisfied, and finally, shareholder claims are addressed. Therefore, sequential priority rules, although simple, are not strange in real life. In this work, an extension of the sequential priority rules has been introduced in the context of multi-issue bankruptcy problems with crossed claims. Next, by means of the average of all these rules, the extension of the random arrival rule to this new context is defined.
In the analysis of the properties satisfied by the sequential priority rules and the random arrival rule, it has been shown that the natural extensions of the properties used in the characterization of these rules in the context of bankruptcy problems and multi-issue bankruptcy problems are not satisfied by the constrained sequential priority rules and the constrained random arrival rule. Moreover, does not satisfy the usual properties in the characterization of the random arrival rule either. Therefore, the characterizations of the rules introduced in this work will require properties that are perhaps too technical or very ad hoc, which could detract from a simple interpretation.
The reason that these properties are not satisfied is that there is no efficiency in the context of multi-issue problems with crossed claims but rather a weaker concept such as Pareto efficiency. This means that the total quantity distributed can change from one problem to another, so the results from one problem to another are not easily comparable. This is a difficulty, but it also indicates that these problems are of theoretical interest and have big potential since they are not a mere and simple extension of bankruptcy problems but instead have a different structure that makes them interesting for further study.
Author Contributions
Conceptualization, R.A.-V., E.A. and J.S.-S.; methodology, R.A.-V., E.A. and J.S.-S.; formal analysis, R.A.-V., E.A. and J.S.-S.; investigation, R.A.-V., E.A. and J.S.-S.; writing-original draft preparation, R.A.-V., E.A. and J.S.-S.; writing-review and editing, R.A.-V., E.A. and J.S.-S.; funding acquisition, E.A. and J.S.-S. All authors have read and agreed to the published version of the manuscript.
Funding
This research received funding of the R&D&I project grant PGC2018-097965-B-I00, funded by MCIN/AEI/10.13039/501100011033/ and by “ERDF A way of making Europe”/EU. Joaquín Sánchez-Soriano also acknowledges financial support from the Generalitat Valenciana under the project PROMETEO/2021/063. This paper is an invited paper free of Article Processing Charge (APC).
Data Availability Statement
The original contributions presented in this study are included in the article. Further inquiries can be directed to the corresponding author.
Acknowledgments
The authors thank three anonymous reviewers for their detailed remarks and comments which have been very helpful to improve the paper. This work is part of the R&D&I project grant PGC2018-097965-B-I00, funded by MCIN/AEI/10.13039/501100011033/ and by “ERDF A way of making Europe”/EU. The authors are grateful for this financial support. Joaquín Sánchez-Soriano also acknowledges financial support from the Generalitat Valenciana under the project PROMETEO/2021/063.
Conflicts of Interest
The authors declare no conflict of interest.
References
- Acosta, R.K.; Algaba, E.; Sánchez-Soriano, J. Multi-issue bankruptcy problems with crossed claims. Ann. Oper. Res. 2022, 318, 749–772. [Google Scholar] [CrossRef]
- Acosta-Vega, R.K.; Algaba, E.; Sánchez-Soriano, J. Design of water quality policies based on proportionality in multi-issue problems with crossed claims. Eur. J. Oper. Res. 2023, 311, 777–788. [Google Scholar] [CrossRef]
- Shapley, L.S. A value for n-person games. Ann. Math. Stud. 1953, 28, 307–317. [Google Scholar]
- Algaba, E.; Fragnelli, V.; Sánchez-Soriano, J. The Shapley value, a paradigm of fairness. In Handbook of the Shapley Value; Algaba, E., Fragnelli, V., Sánchez-Soriano, J., Eds.; CRC Press, Taylor & Francis Group: Boca Raton, FL, USA, 2019; Chapter 2. [Google Scholar]
- O’Neill, B. A Problem of Rights Arbitration from the Talmud. Math. Soc. Sci. 1982, 2, 345–371. [Google Scholar] [CrossRef]
- Aumann, R.J.; Maschler, M. Game theoretic analysis of a bankruptcy problem from the Talmud. J. Econ. Theory 1985, 36, 195–213. [Google Scholar] [CrossRef]
- Thomson, W. Axiomatic and game-theoretic analysis of bankruptcy and taxation problems: A survey. Math. Soc. Sci. 2003, 45, 249–297. [Google Scholar] [CrossRef]
- Thomson, W. Axiomatic and Game-Theoretic Analysis of Bankruptcy and Taxation Problems: An Update. Math. Soc. Sci. 2015, 74, 41–59. [Google Scholar] [CrossRef]
- Thomson, W. How to Divide When There Isn’t Enough. From Aristotle, the Talmud, and Maimonides to the Axiomatics of Resource Allocation. Econometric Society Monographs; Cambridge University Press: Cambridge, UK, 2019. [Google Scholar]
- Young, H. Equity. In Theory and Practice; Princeton University Press: Princeton, NJ, USA, 1994. [Google Scholar]
- Sánchez-Soriano, J. Families of sequential priority rules and random arrival rules with withdrawal limits. Math. Soc. Sci. 2021, 113, 136–148. [Google Scholar] [CrossRef]
- Calleja, P.; Borm, P.; Hendrickx, R. Multi-issue allocation situations. Eur. J. Oper. Res. 2005, 164, 730–747. [Google Scholar] [CrossRef]
- Algaba, E.; Márquez, G.; Martínez-Lozano, J.; Sánchez-Soriano, J. A novel methodology for public management of annual greenhouse gas emissions in the European Union. Socio-Econ. Plan. Sci. 2023, 89, 101697. [Google Scholar] [CrossRef]
- González-Alcón, C.; Borm, P.; Hendrickx, R. A composite run-to-the-bank rule for multi-issue allocation situations. Math. Methods Oper. Res. 2007, 65, 339–352. [Google Scholar] [CrossRef]
- Izquierdo, J.M.; Timoner, P. Constrained Multi-Issue Rationing Problems; UB Economics Working Papers 2016/347; University of Barcelona School of Economics: Barcelona, Spain, 2016. [Google Scholar]
- Lorenzo-Freire, S.; Casas-Méndez, B.; Hendrickx, R. The two stage constrained equal awards and losses rules for multi-issue allocation situations. Top 2010, 18, 465–480. [Google Scholar] [CrossRef]
- Bergantiños, G.; Lorenzo, L.; Lorenzo-Freire, S. New characterizations of the constrained equal awards rule in multi-issue allocation problems. Math. Methods Oper. Res. 2011, 74, 311–325. [Google Scholar] [CrossRef]
- Bergantiños, G.; Lorenzo, L.; Lorenzo-Freire, S. A characterization of the proportional rule in multiissue allocation situations. Oper. Res. Lett. 2010, 38, 17–19. [Google Scholar] [CrossRef]
- Moreno-Ternero, J. The proportional rule for multi-issue bankruptcy problems. Econ. Bull. 2009, 29, 483–490. [Google Scholar]
- Herrero, C.; Villar, A. The three musketeers: Four classical solutions to bankruptcy problems. Math. Soc. Sci. 2001, 42, 307–328. [Google Scholar] [CrossRef]
- Roth, A. (Ed.) The Shapley Value: Essays in Honor of Lloyd S. Shapley; Cambridge University Press: Cambridge, UK, 1988. [Google Scholar]
- Algaba, E.; Fragnelli, V.; Sánchez-Soriano, J. Handbook of the Shapley Value; CRC Press, Taylor & Francis Group: Boca Raton, FL, USA, 2019. [Google Scholar]
- Thomson, W. Consistency and its converse: An introduction. Rev. Econ. Des. 2011, 15, 257–291. [Google Scholar] [CrossRef][Green Version]
- Thomson, W. Consistent Allocation Rules; Cambridge University Press: Cambridge, UK, 2018. [Google Scholar]
- Hwang, Y.; Wang, T. Population monotonicity, consistency and the random arrival rule. Econ. Bull. 2009, 29, 2816–2821. [Google Scholar]
- Myerson, R. Conference structure and fair allocation rules. Int. J. Game Theory 1980, 9, 169–182. [Google Scholar] [CrossRef]
- Hart, S.; Mas-Colell, A. Potential, value and consistency. Econometrica 1989, 57, 589–614. [Google Scholar] [CrossRef]
- Bergantiños, G.; Méndez-Naya, L. New Properties in Bankruptcy Problems; University of Vigo Discussion Paper; University of Vigo: Vigo, Spain, 1997. [Google Scholar]
- Lorenzo-Freire, S.; Alonso-Meijide, J.M.; Casas-Méndez, B.; Hendrickx, R. Balanced contributions for TU games with awards and applications. Eur. J. Oper. Res. 2007, 182, 958–964. [Google Scholar] [CrossRef]
Disclaimer/Publisher’s Note: The statements, opinions and data contained in all publications are solely those of the individual author(s) and contributor(s) and not of MDPI and/or the editor(s). MDPI and/or the editor(s) disclaim responsibility for any injury to people or property resulting from any ideas, methods, instructions or products referred to in the content. |
© 2025 by the authors. Licensee MDPI, Basel, Switzerland. This article is an open access article distributed under the terms and conditions of the Creative Commons Attribution (CC BY) license (https://creativecommons.org/licenses/by/4.0/).


