Treeformer: Deep Tree-Based Model with Two-Dimensional Information Enhancement for Multivariate Time Series Forecasting
Abstract
1. Introduction
- We propose an innovative architecture, Treeformer, which combines channel-independent (CI) and cross-channel modeling strategies to further extract the information across both time and feature dimensions. Additionally, it integrates the tree-based machine learning method with the Transformer-based forecasting model to enhance the performance on LSTF tasks;
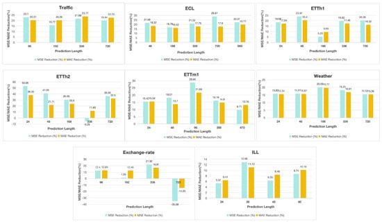
- We conducted experiments on multiple public datasets across five major domains, proving the performance of the model on LSTF tasks. In particular, on the Traffic dataset, the model’s improvement even reached 21.77% averaged MAE reduction and 20.13% in MSE, highlighting its adaptability on different types of datasets;
- We conducted in-depth ablation experiments on our model. The results show that our two proposed design components can effectively improve the forecasting performance of the original Transformer-based TSF model.
2. Related Work
3. Treeformer Architecture
3.1. Problem Definition
3.2. Treeformer Architecture
4. Experimental Results and Analysis
4.1. Datasets
- Traffic (https://pems.dot.ca.gov/ (accessed on 1 January 2023)): This dataset records the hourly road occupancy rates of San Francisco freeways and contains 862 variables. The dataset used in this study covers data sampled from 2016/07/01 02:00 AM to 2018/07/02 01:00 AM, with different sensors collecting data at hourly intervals. The prediction results can be applied to intelligent traffic scheduling, early warning systems, and related applications.
- Electricity Consumption Load (ECL) (https://archive.ics.uci.edu/dataset/321/electricityloaddiagrams20112014 (accessed on 1 January 2023)): It is an hourly-sampled electricity consumption dataset of 321 users, preprocessed by Informer [6]. This dataset includes 321 variables, with a time span from 2012/01/01 to 2014/12/31.
- ETT Series: They originate from Informer [6] and contains the ETTh {ETTh1, ETTh2}, and ETTm1 datasets, which provide hourly data and 15 min sampled data from 2016/07 to 2018/07, respectively. Those datasets contains seven variables including historical loads (covering different types of regions and hierarchical levels), oil temperature, etc. By predicting the oil temperature and studying the extreme load capacity of power transformers, the working conditions of the transformers can be better understood. This approach aims to reduce resource waste caused by decision-making based solely on experience, and indirectly supports power distribution efficiency, which involves demands requiring large-scale resource allocation.
- Weather: The dataset is cited from Informer [6] and has been preprocessed, which is based on U.S. climate records and covers the period from 2010/01/01 to 2013/12/31. It contains 12 meteorological variables, including visibility, wind speed, relative humidity, and station pressure. These indicators are sampled at an hourly resolution.
- Exchange-rate: Collected by LSTNet [17], comprises daily exchange rate data from eights countries including Singapore, Britain, Canada, etc., spanning 26 years since 1990. Each country’s exchange rate is treated as a variable, resulting in a total of eight variables.
- Influenza-like illness(ILI) (https://gis.cdc.gov/grasp/fluview/fluportaldashboard.html (accessed on 1 January 2023)): This dataset preprocessed by Autoformer, is based on the weekly ratio of influenza-like illness data collected by the U.S. CDC. It spans the period from 2002/01/01 to 2020/06/30, with a sampling interval of one week. The dataset includes seven variables, such as the number of medical facilities reporting influenza-related cases to the CDC each week, the number of cases across different age groups, and the total number of patients.
4.2. Implementation Details
4.3. Results and Analysis
4.4. Ablation Studies
4.4.1. Module-Level Ablation
4.4.2. Parameter-Level Ablation of Tree-Based Model Encoder
5. Future Directions
6. Conclusions
Author Contributions
Funding
Data Availability Statement
Conflicts of Interest
References
- Zheng, J.; Huang, M. Traffic Flow Forecast through Time Series Analysis Based on Deep Learning. IEEE Access 2020, 8, 82562–82570. [Google Scholar] [CrossRef]
- Zheng, C.; Fan, X.; Wang, C.; Qi, J. GMAN: A Graph Multi-Attention Network for Traffic Prediction. In Proceedings of the AAAI Conference on Artificial Intelligence, New York, NY, USA, 7–12 February 2020; Volume 34, pp. 1234–1241. [Google Scholar]
- Nguyen, T.; Shah, R.; Bansal, H.; Arcomano, T.; Maulik, R.; Kotamarthi, R.; Foster, I.; Madireddy, S.; Grover, A. Scaling Transformer Neural Networks for Skillful and Reliable Medium-Range Weather Forecasting. Adv. Neural Inf. Process. Syst. 2024, 37, 68740–68771. [Google Scholar]
- Sezer, O.B.; Gudelek, M.U.; Ozbayoglu, A.M. Financial Time Series Forecasting with Deep Learning: A Systematic Literature Review: 2005–2019. Appl. Soft Comput. 2020, 90, 106181. [Google Scholar] [CrossRef]
- Kim, A.; Yang, Y.; Lessmann, S.; Ma, T.; Sung, M.-C.; Johnson, J.E.V. Can Deep Learning Predict Risky Retail Investors? A Case Study in Financial Risk Behavior Forecasting. Eur. J. Oper. Res. 2020, 283, 217–234. [Google Scholar] [CrossRef]
- Zhou, H.; Zhang, S.; Peng, J.; Zhang, S.; Li, J.; Xiong, H.; Zhang, W. Informer: Beyond Efficient Transformer for Long Sequence Time-Series Forecasting. In Proceedings of the AAAI Conference on Artificial Intelligence, Virtual Event, 2–9 February 2021; Volume 35, Number 12. pp. 11106–11115. [Google Scholar]
- Liu, M.; Zeng, A.; Chen, M.; Xu, Z.; Lai, Q.; Ma, L.; Xu, Q. SCINet: Time Series Modeling and Forecasting with Sample Convolution and Interaction. In Proceedings of the Advances in Neural Information Processing Systems, New Orleans, LA, USA, 28 November–9 December 2022; Volume 35, pp. 5816–5828. [Google Scholar]
- Wang, H.; Peng, J.; Huang, F.; Wang, J.; Chen, J.; Xiao, Y. MICN: Multi-Scale Local and Global Context Modeling for Long-Term Series Forecasting. In Proceedings of the Eleventh International Conference on Learning Representations (ICLR 2023), Kigali, Rwanda, 1–5 May 2023. [Google Scholar]
- Woo, G.; Liu, C.; Sahoo, D.; Kumar, A.; Hoi, S. ETSFormer: Exponential Smoothing Transformers for Time-Series Forecasting. arXiv 2022, arXiv:2202.01381. [Google Scholar] [CrossRef]
- Liu, Y.; Hu, T.; Zhang, H.; Wu, H.; Wang, S.; Ma, L.; Long, M. iTransformer: Inverted Transformers Are Effective for Time Series Forecasting. In Proceedings of the Twelfth International Conference on Learning Representations (ICLR 2024), Vienna, Austria, 7–11 May 2024. [Google Scholar]
- Oreshkin, B.N.; Carpov, D.; Chapados, N.; Bengio, Y. N-BEATS: Neural Basis Expansion Analysis for Interpretable Time Series Forecasting. In Proceedings of the Eighth International Conference on Learning Representations (ICLR 2020), Virtual Conference, 26–30 April 2020. [Google Scholar]
- Zeng, A.; Chen, M.; Zhang, L.; Xu, Q. Are Transformers Effective for Time Series Forecasting? In Proceedings of the Thirty-Seventh AAAI Conference on Artificial Intelligence (AAAI 2023), Washington, DC, USA, 7–14 February 2023; Volume 37, Number 9. pp. 11121–11128. [Google Scholar]
- Zhang, Y.; Yan, J. Crossformer: Transformer Utilizing Cross-Dimension Dependency for Multivariate Time Series Forecasting. In Proceedings of the Eleventh International Conference on Learning Representations (ICLR 2023), Kigali, Rwanda, 1–5 May 2023. [Google Scholar]
- Gao, J.; Hu, W.; Chen, Y. Client: Cross-Variable Linear Integrated Enhanced Transformer for Multivariate Long-Term Time Series Forecasting. arXiv 2023, arXiv:2305.18838. [Google Scholar] [CrossRef]
- Ke, G.; Meng, Q.; Finley, T.; Wang, T.; Chen, W.; Ma, W.; Ye, Q.; Liu, T.-Y. LightGBM: A Highly Efficient Gradient Boosting Decision Tree. In Proceedings of the 31st Conference on Neural Information Processing Systems (NeurIPS 2017), Long Beach, CA, USA, 4–9 December 2017; Volume 30. [Google Scholar]
- Friedman, J.H. Greedy Function Approximation: A Gradient Boosting Machine. Ann. Stat. 2001, 29, 1189–1232. [Google Scholar] [CrossRef]
- Lai, G.; Chang, W.-C.; Yang, Y.; Liu, H. Modeling Long- and Short-Term Temporal Patterns with Deep Neural Networks. In Proceedings of the 41st International ACM SIGIR Conference on Research and Development in Information Retrieval (SIGIR 2018), Ann Arbor, MI, USA, 8–12 July 2018; pp. 95–104. [Google Scholar]
- Smyl, S. A Hybrid Method of Exponential Smoothing and Recurrent Neural Networks for Time Series Forecasting. Int. J. Forecast. 2020, 36, 75–85. [Google Scholar] [CrossRef]
- Lin, S.; Lin, W.; Wu, W.; Zhao, F.; Mo, R.; Zhang, H. SegRNN: Segment Recurrent Neural Network for Long-Term Time Series Forecasting. arXiv 2023, arXiv:2308.11200. [Google Scholar]
- Jia, Y.; Lin, Y.; Hao, X.; Lin, Y.; Guo, S.; Wan, H. WITRAN: Water-Wave Information Transmission and Recurrent Acceleration Network for Long-Range Time Series Forecasting. In Advances in Neural Information Processing Systems, Proceedings of the Thirty-Seventh Conference on Neural Information Processing Systems (NeurIPS 2023), New Orleans, LA, USA, 10–16 December 2023; NeurIPS: San Diego, CA, USA, 2023. [Google Scholar]
- Lea, C.; Vidal, R.; Reiter, A.; Hager, G.D. Temporal Convolutional Networks: A Unified Approach to Action Segmentation. In Proceedings of the European Conference on Computer Vision (ECCV 2016) Workshops, Amsterdam, The Netherlands, 8–16 October 2016; Part III. pp. 47–54. [Google Scholar]
- Huang, S.; Wang, D.; Wu, X.; Tang, A. DSANet: Dual Self-Attention Network for Multivariate Time Series Forecasting. In Proceedings of the 28th ACM International Conference on Information and Knowledge Management (CIKM 2019), Beijing, China, 3–7 November 2019; pp. 2129–2132. [Google Scholar]
- Wu, H.; Hu, T.; Liu, Y.; Zhou, H.; Wang, J.; Long, M. TimesNet: Temporal 2D-Variation Modeling for General Time Series Analysis. In Proceedings of the Eleventh International Conference on Learning Representations (ICLR), Kigali, Rwanda, 1–5 May 2023. [Google Scholar]
- Wu, N.; Green, B.; Ben, X.; O’Banion, S. Deep Transformer Models for Time Series Forecasting: The Influenza Prevalence Case. arXiv 2020, arXiv:2001.08317. [Google Scholar] [CrossRef]
- Beltagy, I.; Peters, M.E.; Cohan, A. Longformer: The Long-Document Transformer. arXiv 2020, arXiv:2004.05150. [Google Scholar] [CrossRef]
- Li, S.; Jin, X.; Xuan, Y.; Zhou, X.; Chen, W.; Wang, Y.-X.; Yan, X. Enhancing the Locality and Breaking the Memory Bottleneck of Transformer on Time Series Forecasting. In Proceedings of the 33rd Conference on Neural Information Processing Systems (NeurIPS 2019), Vancouver, BC, Canada, 8–14 December 2019; Volume 32. [Google Scholar]
- Wu, H.; Xu, J.; Wang, J.; Long, M. Autoformer: Decomposition Transformers with Auto-Correlation for Long-Term Series Forecasting. In Proceedings of the 35th Conference on Neural Information Processing Systems (NeurIPS 2021), Virtual Event, 6–14 December 2021; Volume 34, pp. 22419–22430. [Google Scholar]
- Du, D.; Su, B.; Wei, Z. Preformer: Predictive Transformer with Multi-Scale Segment-Wise Correlations for Long-Term Time Series Forecasting. In Proceedings of the IEEE International Conference on Acoustics, Speech and Signal Processing (ICASSP 2023), Rhodes Island, Greece, 4–10 June 2023; pp. 1–5. [Google Scholar]
- Cirstea, R.-G.; Guo, C.; Yang, B.; Kieu, T.; Dong, X.; Pan, S. Triformer: Triangular, Variable-Specific Attentions for Long Sequence Multivariate Time Series Forecasting. In Proceedings of the Thirty-First International Joint Conference on Artificial Intelligence (IJCAI 2022), Vienna, Austria, 23–29 July 2022; International Joint Conferences on Artificial Intelligence Organization: Vienna, Austria, 2022; pp. 1994–2001. [Google Scholar]
- Liu, S.; Yu, H.; Liao, C.; Li, J.; Lin, W.; Liu, A.X.; Dustdar, S. Pyraformer: Low-Complexity Pyramidal Attention for Long-Range Time Series Modeling and Forecasting. In Proceedings of the International Conference on Learning Representations (ICLR 2022), Virtual Event, 25–29 April 2022. [Google Scholar]
- Zhou, T.; Ma, Z.; Wen, Q.; Wang, X.; Sun, L.; Jin, R. Fedformer: Frequency Enhanced Decomposed Transformer for Long-Term Series Forecasting. In Proceedings of the 39th International Conference on Machine Learning (ICML 2022), Baltimore, MD, USA, 17–23 July 2022; pp. 27268–27286. [Google Scholar]
- Chen, Y.; Liu, S.; Yang, J.; Jing, H.; Zhao, W.; Yang, G. A Joint Time-Frequency Domain Transformer for Multivariate Time Series Forecasting. Neural Netw. 2024, 176, 106334. [Google Scholar] [CrossRef] [PubMed]
- Ye, H.; Chen, J.; Gong, S.; Jiang, F.; Zhang, T.; Chen, J.; Gao, X. ATFNet: Adaptive Time-Frequency Ensembled Network for Long-Term Time Series Forecasting. arXiv 2024, arXiv:2404.05192. [Google Scholar]
- Tolstikhin, I.; Houlsby, N.; Kolesnikov, A.; Beyer, L.; Zhai, X.; Unterthiner, T.; Yung, J.; Steiner, A.; Keysers, D.; Uszkoreit, J. MLP-Mixer: An All-MLP Architecture for Vision. In Advances in Neural Information Processing Systems, Proceedings of the Thirty-Fifth Conference on Neural Information Processing Systems (NeurIPS 2021), Virtual, 6–14 December 2021; NeurIPS: San Diego, CA, USA, 2021. [Google Scholar]
- Xu, Z.; Zeng, A.; Xu, Q. FITS: Modeling Time Series with 10k Parameters. arXiv 2023, arXiv:2307.03756. [Google Scholar]
- Yi, K.; Zhang, Q.; Fan, W.; Wang, S.; Wang, P.; He, H.; An, N.; Lian, D.; Cao, L.; Niu, Z. Frequency-Domain MLPs Are More Effective Learners in Time Series Forecasting. In Advances in Neural Information Processing Systems, Proceedings of the Thirty-Seventh Conference on Neural Information Processing Systems (NeurIPS 2023), New Orleans, LA, USA, 10–16 December 2023; NeurIPS: San Diego, CA, USA; Volume 36, pp. 76656–76679.
- Elsayed, S.; Thyssens, D.; Rashed, A.; Jomaa, H.S.; Schmidt-Thieme, L. Do We Really Need Deep Learning Models for Time Series Forecasting? arXiv 2021, arXiv:2101.02118. [Google Scholar] [CrossRef]
- Nie, Y.; Nguyen, N.H.; Sinthong, P.; Kalagnanam, J. A Time Series Is Worth 64 Words: Long-Term Forecasting with Transformers. arXiv 2022, arXiv:2211.14730. [Google Scholar]
- Chen, T.; Guestrin, C. XGBoost: A Scalable Tree Boosting System. In Proceedings of the 22nd ACM SIGKDD International Conference on Knowledge Discovery and Data Mining, San Francisco, CA, USA, 13–17 August 2016; pp. 785–794. [Google Scholar]
- Prokhorenkova, L.; Gusev, G.; Vorobev, A.; Dorogush, A.V.; Gulin, A. CatBoost: Unbiased Boosting with Categorical Features. Adv. Neural Inf. Process. Syst. 2018, 31, 6639–6649. [Google Scholar]
- Kitaev, N.; Kaiser, Ł.; Levskaya, A. Reformer: The Efficient Transformer. arXiv 2020, arXiv:2001.04451. [Google Scholar] [CrossRef]
- Gomez, A.N.; Ren, M.; Urtasun, R.; Grosse, R.B. The Reversible Residual Network: Backpropagation without Storing Activations. Adv. Neural Inf. Process. Syst. 2017, 30, 2211–2221. [Google Scholar]
- Wang, W. 15.7.6 t-Distributed Stochastic Neighbor Embedding. In Principles of Machine Learning; Springer: Berlin/Heidelberg, Germany, 2024; pp. 501–503. [Google Scholar]
- Liu, Y.; Wu, H.; Wang, J.; Long, M. Non-stationary Transformers: Exploring the Stationarity in Time Series Forecasting. In Advances in Neural Information Processing Systems (NeurIPS 2022), Proceedings of the Thirty-Sixth Annual Conference on Neural Information Processing Systems, New Orleans, LA, USA, 28 November–9 December 2022; NeurIPS: San Diego, CA, USA, 2022. [Google Scholar]







| Methods | Treeformer | Informer | LogTrans | Reformer | LSTnet | ||||||
|---|---|---|---|---|---|---|---|---|---|---|---|
| Metric | MSE | MAE | MSE | MAE | MSE | MAE | MSE | MAE | MSE | MAE | |
| Traffic | 96 | 0.526 | 0.306 | 0.736 | 0.402 | 0.684 | 0.384 | 0.732 | 0.423 | 1.107 | 0.685 |
| 192 | 0.577 | 0.311 | 0.786 | 0.423 | 0.685 | 0.390 | 0.733 | 0.420 | 1.157 | 0.706 | |
| 336 | 0.574 | 0.311 | 0.852 | 0.463 | 0.733 | 0.408 | 0.742 | 0.420 | 1.216 | 0.730 | |
| 720 | 0.574 | 0.306 | 0.856 | 0.465 | 0.717 | 0.396 | 0.755 | 0.423 | 1.481 | 0.805 | |
| ECL | 48 | 0.242 | 0.321 | 0.309 | 0.393 | 0.355 | 0.418 | 1.404 | 0.999 | 0.369 | 0.445 |
| 168 | 0.243 | 0.325 | 0.292 | 0.387 | 0.368 | 0.432 | 1.515 | 1.069 | 0.394 | 0.476 | |
| 336 | 0.248 | 0.329 | 0.314 | 0.400 | 0.373 | 0.439 | 1.601 | 1.104 | 0.419 | 0.477 | |
| 720 | 0.271 | 0.337 | 0.381 | 0.409 | 0.409 | 0.454 | 2.009 | 1.170 | 0.556 | 0.565 | |
| 960 | 0.296 | 0.353 | 0.381 | 0.440 | 0.477 | 0.589 | 2.141 | 1.387 | 0.605 | 0.599 | |
| ETTh1 | 24 | 0.457 | 0.453 | 0.562 | 0.548 | 0.686 | 0.604 | 0.991 | 0.754 | 1.293 | 0.901 |
| 48 | 0.549 | 0.515 | 0.722 | 0.647 | 0.766 | 0.757 | 1.313 | 0.906 | 1.456 | 0.960 | |
| 168 | 1.038 | 0.756 | 1.096 | 0.837 | 1.002 | 0.846 | 1.824 | 1.138 | 1.997 | 1.214 | |
| 336 | 1.031 | 0.756 | 1.286 | 0.916 | 1.362 | 0.952 | 2.117 | 1.280 | 2.655 | 1.369 | |
| 720 | 1.092 | 0.795 | 1.371 | 0.950 | 1.397 | 1.291 | 2.145 | 1.520 | 2.143 | 1.380 | |
| ETTh2 | 24 | 0.338 | 0.410 | 0.720 | 0.665 | 0.828 | 0.750 | 1.531 | 1.613 | 2.742 | 1.457 |
| 48 | 1.435 | 0.981 | 2.436 | 1.253 | 1.806 | 1.034 | 1.871 | 1.735 | 3.567 | 1.687 | |
| 168 | 3.242 | 1.403 | 4.671 | 1.834 | 4.070 | 1.681 | 4.660 | 1.846 | 3.242 | 2.513 | |
| 336 | 2.685 | 1.240 | 2.857 | 1.408 | 3.875 | 1.763 | 4.028 | 1.688 | 2.544 | 2.591 | |
| 720 | 2.443 | 1.137 | 3.851 | 1.687 | 3.913 | 1.552 | 5.381 | 2.015 | 4.625 | 3.709 | |
| ETTm1 | 24 | 0.351 | 0.375 | 0.415 | 0.444 | 0.419 | 0.412 | 0.724 | 0.607 | 1.968 | 1.170 |
| 48 | 0.390 | 0.403 | 0.476 | 0.467 | 0.507 | 0.583 | 1.098 | 0.777 | 1.999 | 1.215 | |
| 96 | 0.513 | 0.473 | 0.719 | 0.604 | 0.768 | 0.792 | 1.433 | 0.945 | 2.762 | 1.542 | |
| 288 | 0.797 | 0.645 | 0.951 | 0.757 | 1.462 | 1.320 | 1.820 | 1.094 | 1.257 | 2.076 | |
| 672 | 0.902 | 0.686 | 0.999 | 0.790 | 1.669 | 1.461 | 2.187 | 1.232 | 1.917 | 2.941 | |
| Weather | 24 | 0.282 | 0.326 | 0.335 | 0.386 | 0.435 | 0.477 | 0.655 | 0.583 | 0.615 | 0.545 |
| 48 | 0.333 | 0.366 | 0.396 | 0.434 | 0.426 | 0.495 | 0.729 | 0.666 | 0.660 | 0.589 | |
| 168 | 0.517 | 0.479 | 0.647 | 0.597 | 0.727 | 0.671 | 1.318 | 0.855 | 0.748 | 0.647 | |
| 336 | 0.560 | 0.521 | 0.685 | 0.627 | 0.754 | 0.670 | 1.930 | 1.167 | 0.782 | 0.683 | |
| 720 | 0.566 | 0.518 | 0.670 | 0.612 | 0.885 | 0.773 | 2.726 | 1.575 | 0.851 | 0.757 | |
| Exchange | 96 | 0.777 | 0.658 | 0.887 | 0.755 | 0.968 | 0.812 | 1.065 | 0.829 | 1.551 | 1.058 |
| 192 | 1.026 | 0.745 | 1.157 | 0.857 | 1.040 | 0.851 | 1.188 | 0.906 | 1.477 | 1.028 | |
| 336 | 1.293 | 0.846 | 1.656 | 1.017 | 1.659 | 1.081 | 1.357 | 0.976 | 1.507 | 1.031 | |
| 720 | 2.326 | 1.185 | 2.472 | 1.301 | 1.941 | 1.127 | 1.510 | 1.016 | 2.285 | 1.243 | |
| ILI | 24 | 4.166 | 1.293 | 6.327 | 1.751 | 4.480 | 1.444 | 4.400 | 1.382 | 6.026 | 1.770 |
| 36 | 4.162 | 1.287 | 5.527 | 1.623 | 4.799 | 1.467 | 4.783 | 1.448 | 5.340 | 1.668 | |
| 48 | 4.496 | 1.341 | 5.249 | 1.573 | 4.800 | 1.468 | 4.832 | 1.465 | 6.080 | 1.787 | |
| 60 | 4.456 | 1.332 | 5.297 | 1.566 | 5.278 | 1.560 | 4.882 | 1.483 | 5.548 | 1.720 | |
| Methods | Treeformer | FEDformer | Autoformer | Pyraformer | TimesNet | ETSformer | Non-Stationary | DLinear | |||||||||
|---|---|---|---|---|---|---|---|---|---|---|---|---|---|---|---|---|---|
| Metric | MSE | MAE | MSE | MAE | MSE | MAE | MSE | MAE | MSE | MAE | MSE | MAE | MSE | MAE | MSE | MAE | |
| Traffic | 96 | 0.526 | 0.306 | 0.576 | 0.359 | 0.613 | 0.388 | 2.085 | 0.468 | 0.593 | 0.321 | 0.607 | 0.392 | 0.612 | 0.338 | 0.650 | 0.396 |
| 192 | 0.577 | 0.311 | 0.610 | 0.380 | 0.616 | 0.382 | 0.867 | 0.467 | 0.617 | 0.336 | 0.621 | 0.399 | 0.613 | 0.340 | 0.598 | 0.370 | |
| 336 | 0.574 | 0.311 | 0.608 | 0.375 | 0.622 | 0.337 | 0.869 | 0.469 | 0.629 | 0.336 | 0.622 | 0.396 | 0.618 | 0.328 | 0.605 | 0.373 | |
| 720 | 0.574 | 0.306 | 0.621 | 0.375 | 0.660 | 0.408 | 0.881 | 0.473 | 0.640 | 0.350 | 0.632 | 0.396 | 0.653 | 0.355 | 0.645 | 0.394 | |
| Methods | TreeformerT | TreeformerC | Treeformer | Informer | LogTrans | Reformer | LSTnet | ||||||||
|---|---|---|---|---|---|---|---|---|---|---|---|---|---|---|---|
| Metric | MSE | MAE | MSE | MAE | MSE | MAE | MSE | MAE | MSE | MAE | MSE | MAE | MSE | MAE | |
| Traffic | 96 | 0.655 | 0.363 | 0.613 * | 0.334 * | 0.526 | 0.658 | 0.736 | 0.402 | 0.684 | 0.384 | 0.732 | 0.423 | 1.107 | 0.685 |
| 192 | 0.675 | 0.369 | 0.615 * | 0.333 * | 0.577 | 0.311 | 0.786 | 0.423 | 0.685 | 0.390 | 0.733 | 0.420 | 1.157 | 0.706 | |
| 336 | 0.684 | 0.377 | 0.643 * | 0.345 * | 0.574 | 0.311 | 0.852 | 0.463 | 0.733 | 0.408 | 0.742 | 0.420 | 1.216 | 0.730 | |
| 720 | 0.764 | 0.420 | 0.655 * | 0.356 * | 0.574 | 0.306 | 0.856 | 0.465 | 0.717 | 0.396 | 0.755 | 0.423 | 1.481 | 0.805 | |
| ECL | 48 | 0.427 | 0.464 | 0.268 * | 0.352 * | 0.242 | 0.321 | 0.309 | 0.393 | 0.355 | 0.418 | 1.404 | 0.999 | 0.369 | 0.445 |
| 168 | 0.265 | 0.352 * | 0.263 * | 0.352 * | 0.243 | 0.325 | 0.292 | 0.387 | 0.368 | 0.432 | 1.515 | 1.069 | 0.394 | 0.476 | |
| 336 | 0.281 | 0.364 | 0.272 * | 0.357 * | 0.248 | 0.329 | 0.314 | 0.400 | 0.373 | 0.439 | 1.601 | 1.104 | 0.419 | 0.477 | |
| 720 | 0.324 | 0.392 | 0.289 * | 0.364 * | 0.271 | 0.337 | 0.381 | 0.440 | 0.409 | 0.454 | 2.009 | 1.170 | 0.556 | 0.565 | |
| 960 | 0.723 | 0.646 | 0.301 * | 0.369 * | 0.296 | 0.353 | 0.460 | 0.548 | 0.477 | 0.589 | 2.141 | 1.387 | 0.605 | 0.599 | |
| ETTh1 | 24 | 0.526 | 0.526 | 0.501 * | 0.497 * | 0.457 | 0.453 | 0.562 | 0.548 | 0.686 | 0.604 | 0.991 | 0.754 | 1.293 | 0.901 |
| 48 | 0.496 * | 0.501 * | 0.657 | 0.591 | 0.549 | 0.515 | 0.722 | 0.647 | 0.766 | 0.757 | 1.313 | 0.906 | 1.456 | 0.960 | |
| 168 | 1.012 * | 0.809 * | 1.113 | 0.811 | 1.038 | 0.756 | 1.096 | 0.837 | 1.002 | 0.846 | 1.824 | 1.138 | 1.997 | 1.214 | |
| 336 | 1.153 * | 0.844 * | 1.161 | 0.835 | 1.031 | 0.756 | 1.286 | 0.916 | 1.362 | 0.952 | 2.117 | 1.280 | 2.655 | 1.369 | |
| 720 | 1.204 * | 0.871 * | 1.251 | 0.879 | 1.092 | 0.795 | 1.371 | 0.950 | 1.397 | 1.291 | 2.145 | 1.520 | 2.143 | 1.380 | |
| ETTh2 | 24 | 0.525 | 0.539 | 0.475 * | 0.513 * | 0.338 | 0.410 | 0.720 | 0.665 | 0.828 | 0.750 | 1.531 | 1.613 | 2.742 | 1.457 |
| 48 | 1.989 | 1.101 | 2.262 | 1.176 | 1.435 | 0.981 | 2.436 | 1.253 | 1.806 * | 1.034 * | 1.871 | 1.735 | 3.567 | 1.687 | |
| 168 | 3.706 * | 1.555 * | 3.954 | 1.618 | 3.242 | 1.403 | 4.671 | 1.834 | 4.070 | 1.681 | 4.660 | 1.846 | 3.242 | 2.513 | |
| 336 | 2.763 | 1.345 * | 2.924 | 1.373 | 2.685 * | 1.240 | 2.857 | 1.408 | 3.875 | 1.763 | 4.028 | 1.688 | 2.544 | 2.591 | |
| 720 | 2.818 | 1.298 | 2.469 * | 1.159 * | 2.443 | 1.137 | 3.851 | 1.687 | 3.913 | 1.552 | 5.381 | 2.015 | 4.625 | 3.709 | |
| ETTm1 | 24 | 0.371 | 0.415 | 0.359 * | 0.394 * | 0.351 | 0.375 | 0.415 | 0.444 | 0.419 | 0.412 | 0.724 | 0.607 | 1.968 | 1.170 |
| 48 | 0.479 | 0.453 * | 0.470 * | 0.506 | 0.390 | 0.403 | 0.476 | 0.467 | 0.507 | 0.583 | 1.098 | 0.777 | 1.999 | 1.215 | |
| 96 | 0.563 * | 0.525 | 0.568 | 0.507 * | 0.513 | 0.473 | 0.719 | 0.604 | 0.768 | 0.792 | 1.433 | 0.945 | 2.762 | 1.542 | |
| 288 | 0.892 | 0.706 | 0.869 * | 0.678 * | 0.797 | 0.645 | 0.951 | 0.757 | 1.462 | 1.320 | 1.820 | 1.094 | 1.257 | 2.076 | |
| 672 | 0.978 * | 0.731 * | 1.066 | 0.777 | 0.902 | 0.686 | 0.999 | 0.790 | 1.669 | 1.461 | 2.187 | 1.232 | 1.917 | 2.941 | |
| Weather | 24 | 0.308 * | 0.363 | 0.315 | 0.324 * | 0.282 | 0.326 | 0.335 | 0.386 | 0.435 | 0.477 | 0.655 | 0.583 | 0.615 | 0.545 |
| 48 | 0.358 | 0.397 | 0.308 * | 0.355 * | 0.333 | 0.366 | 0.396 | 0.434 | 0.426 | 0.495 | 0.729 | 0.666 | 0.660 | 0.589 | |
| 168 | 0.596 | 0.555 | 0.569 * | 0.533 * | 0.517 | 0.479 | 0.647 | 0.597 | 0.727 | 0.671 | 1.318 | 0.855 | 0.748 | 0.647 | |
| 336 | 0.616 | 0.565 | 0.609 * | 0.559 * | 0.560 | 0.521 | 0.685 | 0.627 | 0.754 | 0.670 | 1.930 | 1.167 | 0.782 | 0.683 | |
| 720 | 0.631 | 0.574 | 0.626 * | 0.568 * | 0.566 | 0.518 | 0.670 | 0.612 | 0.885 | 0.773 | 2.726 | 1.575 | 0.851 | 0.757 | |
| Exchange | 96 | 0.849 | 0.717 | 0.825 * | 0.707 * | 0.777 | 0.658 | 0.887 | 0.755 | 0.968 | 0.812 | 1.065 | 0.829 | 1.551 | 1.058 |
| 192 | 1.066 * | 0.793 * | 1.118 | 0.813 | 1.026 | 0.745 | 1.157 | 0.857 | 1.040 | 0.851 | 1.188 | 0.906 | 1.477 | 1.028 | |
| 336 | 1.469 | 0.921 * | 1.496 | 0.939 | 1.293 | 0.846 | 1.656 | 1.017 | 1.659 | 1.081 | 1.357 * | 0.976 | 1.507 | 1.031 | |
| 720 | 2.602 | 1.312 | 2.274 | 1.209 | 2.326 | 1.185 | 2.472 | 1.301 | 1.941 * | 1.127 * | 1.510 | 1.016 | 2.285 | 1.243 | |
| ILI | 24 | 4.911 | 1.479 | 5.733 | 1.605 | 4.166 | 1.293 | 6.327 | 1.751 | 4.480 | 1.444 | 4.400 * | 1.382 * | 6.026 | 1.770 |
| 36 | 4.881 | 1.452 | 5.384 | 1.556 | 4.162 | 1.287 | 5.527 | 1.623 | 4.799 | 1.467 | 4.783 * | 1.448 * | 5.340 | 1.668 | |
| 48 | 4.790 * | 1.435 * | 4.831 | 1.452 | 4.496 | 1.341 | 5.249 | 1.573 | 4.800 | 1.468 | 4.832 | 1.465 | 6.080 | 1.787 | |
| 60 | 4.967 | 1.470 * | 5.145 | 1.499 | 4.456 | 1.332 | 5.297 | 1.566 | 5.278 | 1.560 | 4.882 * | 1.483 | 5.548 | 1.720 | |
Disclaimer/Publisher’s Note: The statements, opinions and data contained in all publications are solely those of the individual author(s) and contributor(s) and not of MDPI and/or the editor(s). MDPI and/or the editor(s) disclaim responsibility for any injury to people or property resulting from any ideas, methods, instructions or products referred to in the content. |
© 2025 by the authors. Licensee MDPI, Basel, Switzerland. This article is an open access article distributed under the terms and conditions of the Creative Commons Attribution (CC BY) license (https://creativecommons.org/licenses/by/4.0/).
Share and Cite
Liu, X.; Wang, W. Treeformer: Deep Tree-Based Model with Two-Dimensional Information Enhancement for Multivariate Time Series Forecasting. Mathematics 2025, 13, 2818. https://doi.org/10.3390/math13172818
Liu X, Wang W. Treeformer: Deep Tree-Based Model with Two-Dimensional Information Enhancement for Multivariate Time Series Forecasting. Mathematics. 2025; 13(17):2818. https://doi.org/10.3390/math13172818
Chicago/Turabian StyleLiu, Xinhe, and Wenmin Wang. 2025. "Treeformer: Deep Tree-Based Model with Two-Dimensional Information Enhancement for Multivariate Time Series Forecasting" Mathematics 13, no. 17: 2818. https://doi.org/10.3390/math13172818
APA StyleLiu, X., & Wang, W. (2025). Treeformer: Deep Tree-Based Model with Two-Dimensional Information Enhancement for Multivariate Time Series Forecasting. Mathematics, 13(17), 2818. https://doi.org/10.3390/math13172818

