A Fast and Accurate Numerical Approach for Pricing American-Style Power Options
Abstract
1. Introduction
2. Exercise Regions
2.1. The Boundary Value at Maturity
- For a call option, if , then early exercise is never optimal, which is possible only when . If and , then .
- For a put option, if and , then .
2.2. Impact of the Power Value
- If , then
- (a)
- Call options: for , and for .
- (b)
- Put options: for every n.
- If , then
- (a)
- Call options: for , for , and for .
- (b)
- Put options: for , and for . The limit point is
2.3. Capped Options
2.4. European Options
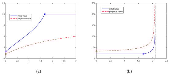
3. Perpetual Options
- The call optimal boundary tends to , as .
- The put optimal boundary tends to , as , and to the strike, as .
4. Finite Maturities
4.1. Optimal Boundary
4.2. Pricing as a Boundary Value Problem
4.3. Crank–Nicolson Finite Difference Approach
- We divide the space uniformly with M time nodes and N state nodes, and . We denote by the solution at the -th node, where i corresponds to time and j to the state variable. The values are the prices at maturity, while are the initial option prices; note that we work backwards.
- We approximate the boundary at points using the algorithm from Section 4.1. For a call option, corresponds to the upper boundary , while . For a put option, and . Note that we choose to be significantly lower than M in order to reduce computational time. We then estimate the entire boundary using a cubic spline interpolation.
- The terminal condition is incorporated by
- Let us denote by and the boundaries’ values at the grid nodes. Let be the largest j such that , and the smallest j such that . Then for call options, and for put options.
- For a call option, the lower and upper boundary conditions are incorporated byFor a put option,
5. Numerical Results
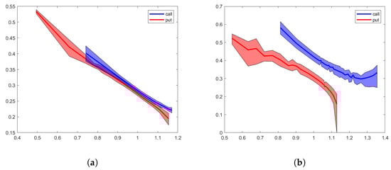
6. Some Evidence for the S&P 500 Index
Author Contributions
Funding
Data Availability Statement
Acknowledgments
Conflicts of Interest
Appendix A. Some Propositions
- If , then .
- If and , then .
Appendix B. Some Hitting Time Properties
- If , then .
- If , then .
Appendix C. Finite Difference Terms
- If , then
- If , then
- If , then
References
- Zhang, Q.; Song, H.; Hao, Y. Semi-implicit FEM for the valuation of American options under the Heston model. Comput. Appl. Math. 2022, 41, 73. [Google Scholar] [CrossRef]
- Kozpınar, S.; Uzunca, M.; Karasözen, B. Reduced-Order modeling for Heston stochastic volatility model. Hacet. J. Math. Stat. 2024, 53, 1515–1528. [Google Scholar] [CrossRef]
- Jeon, J.; Koo, H.; Park, K. Optimal finite horizon contract with limited commitment. Math. Financ. Econ. 2022, 16, 267–315. [Google Scholar] [CrossRef]
- Zaevski, T. On some generalized American style derivatives. Comput. Appl. Math. 2024, 43, 115. [Google Scholar] [CrossRef]
- Zaevski, T. Quadratic American Strangle Options in Light of Two-Sided Optimal Stopping Problems. Mathematics 2024, 12, 1449. [Google Scholar] [CrossRef]
- Palmowski, Z.; Pérez, J.; Yamazaki, K. Double continuation regions for American options under Poisson exercise opportunities. Math. Financ. 2021, 31, 722–771. [Google Scholar] [CrossRef]
- Jeon, J.; Kim, G. Analytic Valuation Formula for American Strangle Option in the Mean-Reversion Environment. Mathematics 2022, 10, 2688. [Google Scholar] [CrossRef]
- Palmowski, Z.; Stȩpniak, P. Last-Passage American Cancelable Option in Lévy Models. J. Risk Financ. Manag. 2023, 16, 82. [Google Scholar] [CrossRef]
- Zhang, Q.; Wang, Q.; Song, H.; Hao, Y. Primal-dual active set method for evaluating American put options on zero-coupon bonds. Comput. Appl. Math. 2024, 43, 1–18. [Google Scholar] [CrossRef]
- Han, Y.; Zheng, X. A deep learning method for pricing high-dimensional American-style options via state-space partition. Comput. Appl. Math. 2024, 43, 152. [Google Scholar] [CrossRef]
- Song, H.; Xu, J.; Yang, J.; Li, Y. Primal-dual active set algorithm for valuating American options under regime switching. Numer. Methods Partial. Differ. Equ. 2024, 40, e23104. [Google Scholar] [CrossRef]
- Huang, C.; Song, H.; Yang, J.; Zhou, B. Error analysis of finite difference scheme for American option pricing under regime-switching with jumps. J. Comput. Appl. Math. 2024, 437, 115484. [Google Scholar] [CrossRef]
- Shen, J.; Huang, W.; Ma, J. An efficient and provable sequential quadratic programming method for American and swing option pricing. Eur. J. Oper. Res. 2024, 316, 19–35. [Google Scholar] [CrossRef]
- Song, H.; Xu, J.; Yang, J.; Li, Y. Projection and contraction method for the valuation of American options under regime switching. Commun. Nonlinear Sci. Numer. Simul. 2022, 109, 106332. [Google Scholar] [CrossRef]
- Zhang, Q.; Wang, Q.; Zuo, P.; Du, H.; Wu, F. Projection and Contraction Method for Pricing American Bond Options. Mathematics 2023, 11, 4689. [Google Scholar] [CrossRef]
- Reesor, R.; Stentoft, L.; Zhu, X. A critical analysis of the Weighted Least Squares Monte Carlo method for pricing American options. Financ. Res. Lett. 2024, 64, 105379. [Google Scholar] [CrossRef]
- Li, L.; Wu, Z. Defaultable perpetual American put option in a last passage time model. Stat. Probab. Lett. 2024, 209, 110018. [Google Scholar] [CrossRef]
- Battauz, A.; Donno, M.D.; Sbuelz, A. Real Options and American Derivatives: The Double Continuation Region. Manag. Sci. 2015, 61, 1094–1107. [Google Scholar] [CrossRef]
- Battauz, A.; Rotondi, F. American options and stochastic interest rates. Comput. Manag. Sci. 2022, 19, 567–604. [Google Scholar] [CrossRef]
- Goudenège, L.; Molent, A.; Zanette, A. Backward hedging for American options with transaction costs. Decis. Econ. Financ. 2024. [Google Scholar] [CrossRef]
- Battauz, A.; Staffolani, S. American options with acceleration clauses. Decis. Econ. Financ. 2024. [Google Scholar] [CrossRef]
- Lee, H.; Ha, H.; Kong, B. Pricing first-touch digitals with a multi-step double boundary and American barrier options. Financ. Res. Lett. 2024, 59, 104699. [Google Scholar] [CrossRef]
- Stepniak, P.; Palmowski, Z. Pricing time-capped American options using a least squares Monte Carlo method. J. Comput. Financ. 2025, 28, 43–64. [Google Scholar] [CrossRef]
- Tompkins, R. Power options: Hedging nonlinear risks. J. Risk 2000, 2, 29–46. [Google Scholar] [CrossRef]
- Heynen, R.; Kat, H. Pricing and hedging power options. Financ. Eng. Jpn. Mark. 1996, 3, 253–261. [Google Scholar] [CrossRef]
- Esser, A. General valuation principles for arbitrary payoffs and applications to power options under stochastic volatility. Financ. Mark. Portf. Manag. 2003, 17, 351. [Google Scholar] [CrossRef]
- Kim, J.; Kim, B.; Moon, K.S.; Wee, I.S. Valuation of power options under Heston’s stochastic volatility model. J. Econ. Dyn. Control 2012, 36, 1796–1813. [Google Scholar] [CrossRef]
- Macovschi, S.; Quittard-Pinon, F. On the pricing of power and other polynomial options. J. Deriv. 2006, 13, 61–71. [Google Scholar] [CrossRef]
- Zhang, Z.; Liu, W.; Sheng, Y. Valuation of power option for uncertain financial market. Appl. Math. Comput. 2016, 286, 257–264. [Google Scholar] [CrossRef]
- Fadugba, S.; Nwozo, C. Mellin Transform Method for the Valuation of the American Power Put Option with Non-Dividend and Dividend Yields. J. Math. Financ. 2015, 5, 249. [Google Scholar] [CrossRef]
- Fadugba, S.; Nwozo, C. Perpetual American power put options with non-dividend yield in the domain of Mellin transforms. Palest. J. Math. 2020, 9, 371–385. [Google Scholar]
- Lee, J.K. A simple numerical method for pricing American power put options. Chaos Solitons Fractals 2020, 139, 110254. [Google Scholar] [CrossRef]
- Blenman, L.P.; Clark, S.P. Power exchange options. Financ. Res. Lett. 2005, 2, 97–106. [Google Scholar] [CrossRef]
- Miao, D.; Lin, X.; Yu, S. A note on the never-early-exercise region of American power exchange options. Oper. Res. Lett. 2016, 44, 129–135. [Google Scholar] [CrossRef]
- Healy, J. Pricing American options under negative rates. J. Comput. Financ. 2014, 25, 1–27. [Google Scholar] [CrossRef]
- Shiryaev, A.; Kabanov, Y.; Kramkov, D.; Mel’nikov, A. Toward the theory of pricing of options of both European and American types. II. Continuous time. Theory Probab. Its Appl. 1995, 39, 61–102. [Google Scholar] [CrossRef]
- Zaevski, T. Discounted perpetual game call options. Chaos Solitons Fractals 2020, 131, 109503. [Google Scholar] [CrossRef]
- Zaevski, T. A new approach for pricing discounted American options. Commun. Nonlinear Sci. Numer. Simul. 2021, 97, 105752. [Google Scholar] [CrossRef]
- Zaevski, T. Pricing discounted American capped options. Chaos Solitons Fractals 2022, 156, 111833. [Google Scholar] [CrossRef]
- Zaevski, T. Some limits for the Laplace transform of the Brownian motion’s first hit to a linear function. Serdica Math. J. 2024, 50, 183–202. [Google Scholar] [CrossRef]
- Zaevski, T. Laplace transforms for the first hitting time of a Brownian motion. Comptes Rendus l’Acad. Bulg. Sci. 2020, 73, 934–941. [Google Scholar] [CrossRef]
- Cox, J.; Ross, S.; Rubinstein, M. Option pricing: A simplified approach. J. Financ. Econ. 1979, 7, 229–263. [Google Scholar] [CrossRef]
- Wang, L.; Pötzelberger, K. Boundary crossing probability for Brownian motion and general boundaries. J. Appl. Probab. 1997, 34, 54–65. [Google Scholar] [CrossRef]
- Gordon, R. Values of Mills’ Ratio of Area to Bounding Ordinate and of the Normal Probability Integral for Large Values of the Argument. Ann. Math. Stat. 1941, 12, 364–366. [Google Scholar] [CrossRef]
- Borodin, A.; Salminen, P. Probability and Its Applications. In Handbook of Brownian Motion—Facts and Formulae; Birkhäuser: Basel, Switzerland, 2015. [Google Scholar]




| our approach | one step | two steps | three steps | four steps |
| price | 4.1081 | 4.1141 | 4.1147 | 4.1148 |
| time in seconds | 0.008572 | 0.032991 | 0.163783 | 1.615244 |
| binomial trees | grid length | grid length | grid length | grid length |
| 0.1 | 0.005 | 0.0005 | 0.0001 | |
| price | 4.0836 | 4.1132 | 4.1147 | 4.1148 |
| time | 0.008564 | 0.079593 | 4.630226 | 161.668976 |
| Strike | C/P | Maturity | Real | I.V. | ||||||
|---|---|---|---|---|---|---|---|---|---|---|
| AM | EU | AM | EU | AM | EU | |||||
| 26 September 2008, | ||||||||||
| 1200 | C | 30.09.2008 | 30.85 | 0.5498 | 5.9395 | 5.9374 | 30.85 | 30.85 | 153.8870 | 153.8870 |
| 1200 | C | 03.10.2008 | 35.90 | 0.4228 | 6.9023 | 6.8999 | 35.90 | 35.90 | 179.3238 | 179.3238 |
| 1200 | C | 18.10.2008 | 50.05 | 0.3526 | 9.5866 | 9.5829 | 50.05 | 50.05 | 250.9715 | 250.9715 |
| 1200 | C | 22.11.2008 | 66.60 | 0.3035 | 12.6989 | 12.6950 | 66.60 | 66.60 | 335.4794 | 335.4794 |
| 1200 | C | 20.12.2008 | 75.80 | 0.2863 | 14.4165 | 14.4129 | 75.80 | 75.80 | 382.7927 | 382.7927 |
| 1200 | C | 17.01.2009 | 83.50 | 0.2827 | 15.8482 | 15.8437 | 83.50 | 83.50 | 422.5867 | 422.5867 |
| 1200 | C | 21.03.2009 | 98.70 | 0.2689 | 18.6552 | 18.6506 | 98.70 | 98.70 | 501.6477 | 501.6477 |
| 1200 | C | 20.06.2009 | 116.70 | 0.2608 | 21.9497 | 21.9430 | 116.70 | 116.70 | 596.1868 | 596.1868 |
| 1200 | C | 19.09.2009 | 132.20 | 0.2542 | 24.7599 | 24.7510 | 132.20 | 132.20 | 678.4027 | 678.4027 |
| 1200 | C | 19.12.2009 | 145.70 | 0.2500 | 27.1877 | 27.1758 | 145.70 | 145.70 | 750.6416 | 750.6416 |
| 1200 | C | 18.12.2010 | 195.10 | 0.2503 | 35.9213 | 35.8747 | 195.10 | 195.10 | 1020.4562 | 1020.4562 |
| 1200 | P | 30.09.2008 | 15.60 | 0.5043 | 3.0381 | 3.0381 | 15.6013 | 15.60 | 76.9366 | 76.8992 |
| 1200 | P | 03.10.2008 | 21.10 | 0.4028 | 4.1152 | 4.1152 | 21.1045 | 21.10 | 103.9476 | 103.8625 |
| 1200 | P | 18.10.2008 | 33.60 | 0.3314 | 6.5742 | 6.5743 | 33.6209 | 33.60 | 165.1373 | 164.8645 |
| 1200 | P | 22.11.2008 | 49.70 | 0.2931 | 9.7657 | 9.7648 | 49.7683 | 49.70 | 243.6060 | 242.8737 |
| 1200 | P | 20.12.2008 | 57.80 | 0.2764 | 11.3833 | 11.3799 | 57.9118 | 57.80 | 282.9874 | 281.8824 |
| 1200 | P | 17.01.2009 | 64.80 | 0.2737 | 12.7863 | 12.7808 | 64.9492 | 64.80 | 316.9138 | 315.4716 |
| 1200 | P | 21.03.2009 | 78.70 | 0.2630 | 15.5913 | 15.5776 | 78.9611 | 78.70 | 384.1912 | 381.8228 |
| 1200 | P | 20.06.2009 | 94.70 | 0.2234 | 18.8845 | 18.8254 | 95.3293 | 94.70 | 462.3773 | 457.5418 |
| 1200 | P | 19.12.2009 | 118.30 | 0.2463 | 23.7229 | 23.6543 | 119.1421 | 118.30 | 575.1595 | 568.3797 |
| 1200 | P | 18.12.2010 | 149.30 | 0.2351 | 30.2710 | 30.0954 | 151.0575 | 149.30 | 724.8998 | 711.8362 |
| 29 September 2008, | ||||||||||
| 1200 | C | 03.10.2008 | 6.90 | 0.6182 | 1.3281 | 1.3275 | 6.90 | 6.90 | 34.4304 | 34.4304 |
| 1200 | C | 18.10.2008 | 20.00 | 0.4851 | 3.8318 | 3.8286 | 20.00 | 20.00 | 100.3090 | 100.3090 |
| 1200 | C | 22.11.2008 | 35.00 | 0.3940 | 6.6744 | 6.6666 | 35.00 | 35.00 | 176.4388 | 176.4388 |
| 1200 | C | 20.12.2008 | 44.90 | 0.3707 | 8.5373 | 8.5253 | 44.90 | 44.90 | 227.0824 | 227.0824 |
| 1200 | C | 17.01.2009 | 50.45 | 0.3531 | 9.5768 | 9.5624 | 50.45 | 50.45 | 255.6114 | 255.6114 |
| 1200 | C | 21.03.2009 | 64.00 | 0.3262 | 12.1010 | 12.0794 | 64.00 | 64.00 | 325.6877 | 325.6877 |
| 1200 | C | 20.06.2009 | 104.10 | 0.3731 | 19.4701 | 19.4000 | 104.10 | 104.10 | 536.8327 | 536.8327 |
| 1200 | C | 19.12.2009 | 106.30 | 0.2876 | 19.8560 | 19.8000 | 106.30 | 106.30 | 548.4694 | 548.4694 |
| 1200 | C | 18.12.2010 | 201.80 | 0.3570 | 36.7313 | 36.4060 | 201.80 | 201.80 | 1077.6160 | 1077.6160 |
| 1200 | P | 22.11.2008 | 102.30 | 0.2931 | 20.1159 | 20.1140 | 102.4501 | 102.30 | 501.1520 | 499.5529 |
| 1200 | P | 20.12.2008 | 111.40 | 0.2764 | 21.9729 | 21.9726 | 111.5755 | 111.40 | 544.3233 | 542.3102 |
| 1200 | P | 31.12.2008 | 114.30 | 0.2764 | 22.5652 | 22.5652 | 114.4770 | 114.30 | 558.0388 | 555.9327 |
| 1200 | P | 17.01.2009 | 117.30 | 0.2737 | 23.1797 | 23.1795 | 117.5039 | 117.30 | 572.3521 | 569.9970 |
| 1200 | P | 21.03.2009 | 129.60 | 0.2630 | 25.7060 | 25.7043 | 129.8921 | 129.60 | 630.7909 | 627.5267 |
| 1200 | P | 20.06.2009 | 144.30 | 0.2234 | 28.7438 | 28.7391 | 144.7150 | 144.30 | 700.4051 | 695.9071 |
| 1200 | P | 19.12.2009 | 166.60 | 0.2463 | 33.4016 | 33.3838 | 167.2934 | 166.60 | 805.7800 | 798.7695 |
Disclaimer/Publisher’s Note: The statements, opinions and data contained in all publications are solely those of the individual author(s) and contributor(s) and not of MDPI and/or the editor(s). MDPI and/or the editor(s) disclaim responsibility for any injury to people or property resulting from any ideas, methods, instructions or products referred to in the content. |
© 2025 by the authors. Licensee MDPI, Basel, Switzerland. This article is an open access article distributed under the terms and conditions of the Creative Commons Attribution (CC BY) license (https://creativecommons.org/licenses/by/4.0/).
Share and Cite
Zaevski, T.S.; Sariev, H.; Savov, M. A Fast and Accurate Numerical Approach for Pricing American-Style Power Options. Mathematics 2025, 13, 2031. https://doi.org/10.3390/math13122031
Zaevski TS, Sariev H, Savov M. A Fast and Accurate Numerical Approach for Pricing American-Style Power Options. Mathematics. 2025; 13(12):2031. https://doi.org/10.3390/math13122031
Chicago/Turabian StyleZaevski, Tsvetelin S., Hristo Sariev, and Mladen Savov. 2025. "A Fast and Accurate Numerical Approach for Pricing American-Style Power Options" Mathematics 13, no. 12: 2031. https://doi.org/10.3390/math13122031
APA StyleZaevski, T. S., Sariev, H., & Savov, M. (2025). A Fast and Accurate Numerical Approach for Pricing American-Style Power Options. Mathematics, 13(12), 2031. https://doi.org/10.3390/math13122031

