Abstract
This study examines the static bending behavior of functionally graded beams using a newly developed modified Timoshenko beam element. The mixed finite element formulation and Timoshenko beam theory serve as the foundation for the formulation of the proposed beam element. There are two nodes and two degrees of freedom in each node of the new beam element. The suggested element is free of shear locking, without the need for reduced or selective integrations, because of the mixed finite element formulation. Comparative results demonstrate high accuracy in computations, even with both regular and irregular meshes, as well as coarse and fine discretization. Because of its rapid convergence rate, the proposed element is an excellent tool for analyzing beam structures with complex geometries and load conditions. Several examples are provided to demonstrate the accuracy and high convergence of the proposed beam element. Additionally, the effects of various parameters, such as the power-law index and thickness-to-length ratio, on the bending behavior of functionally graded beams are investigated. The findings highlight the robustness and versatility of the developed beam element, which makes it a useful contribution to research into the computational mechanics of beam structures.
Keywords:
Timoshenko beam theory; bending analysis; finite element method; functionally graded material MSC:
35A24; 65D25; 65F18; 74H15
1. Introduction
Beams, plates, and shells are the most common structures that are widely used in many fields of engineering, such as aerospace engineering, civil construction, automobile engineering, and so on (Koizumi [1], Reddy et al. [2,3,4]). Therefore, the static and dynamic response of FG structures has attracted increasing research efforts in the past decade, using analytical methods (Wang et al. [5] and Tian et al. [6]) including the finite element method, isogeometric analysis, and the meshless method (Chen et al. [7]), etc. For example, Chen et al. [8] developed a mixed method for analysis of static bending and free vibration in beams resting on elastic bases. Pu et al. [9] used a modified Fourier series to analyse the bending of an FG sandwich beam with general boundary conditions. Ghazwani [10] developed a mixed beam element for the bending analysis of an FG beam with porosity effects. Kapuria et al. [11] analysed the bending and free vibration behaviors of FG beams using a theoretical model and experimental validation. Kadoli et al. [12] applied higher-order shear deformation theory to analyse the static bending of FG beams. Giunta et al. [13] used classical and advanced theories to analyse the mechanical behaviors of FG beams. Li et al. [14] proposed a new higher-order shear deformation theory to study the static and dynamic responses of FG beams. Ying et al. [15] obtained exact solutions based on two-dimensional elasticity to calculate the bending and free vibration of FG beams resting on elastic foundations. Using the Ritz method [16], Simsek analysed the static bending of FG beams subjected to a uniformly distributed load. Thai et al. [17] applied various theories of higher-order shear deformation to study the bending and free vibration of FG beams. Adiyaman et al. [18] studied the bending and buckling behaviors of two-dimensional FG beams and the effects of porosity. Nguyen et al. [19] studied the static bending and free vibration of axially loaded FG beams using new first-order shear deformation theory. Mohammadi et al. [20] used isogeometric analysis to study the nonlinear behavior of a Timoshenko beam reinforced with carbon nanotubes of FG with temperature-dependent material properties. Huang et al. [21] developed a new exact solution for mechanical analysis of two-directional FG Timoshenko beams. Tang et al. [22] studied the free vibration of non-uniform FG Timoshenko beams using an exact solution. Free and forced vibration of a bi-directional FG Timoshenko beam were studied by Şimşek [23]. Vo et al. [24] developed a quasi-3D theory for the static bending analysis of FG beams. Chaaban and Hadeji [25,26] gave analytical solutions for the bending and free vibration analysis of FG beams resting on elastic foundations. Chen et al. [27] studied the buckling and bending behaviors of FG beams and considered their porosity. Fouda et al. [28] presented a finite element model for the analysis of bending, buckling, and free vibrations in FG porous beams. Chakraborty et al. [2] developed a new beam element and applied it to study the bending and free vibration of FG beams. Vo et al. [29] developed a finite element method based on a refined shear deformation theory to investigate the free vibration and buckling behaviors of FG beams. Glabisz et al. [30] studied the stability of Timoshenko beams with nonlocal parameters dependent on frequency and initial stress. Based on a quasi-3D theory and isogeometric analysis, Fang et al. [31] examined the mechanical behaviors of thick porous beams. More details on the analysis of FG beams can found in previous works [32,33,34,35,36].
The purpose of the current work was to modify the Timoshenko beam element for static bending analysis. This element was established based on an idea discussed by Ghazwani [10]. The new beam element eliminates the requirement for reduced or selective integrations by providing two new parameters to account for the wrapping of rotations and the effects of boundary conditions. The number of degrees of freedom remains the same because these factors are removed at the element level. A comparative analysis was used to demonstrate the correctness of the suggested element and the rate of convergence. Next, the suggested beam element was used to examine the bending of FG beams. Careful consideration was also given to the implications of certain parameters, such as the slender ratio and the power-law index.
2. Functionally Graded Beams
A functionally graded (FG) beam with length and cross section was considered, as presented in Figure 1. The material of the beam was a mixture of ceramic and metal, that the volume fraction of the materials varied continuously through the thickness of the beam according to the following formula (Santos et al. [37], Li et al. [38]):
where are the volume fraction of the ceramic phase and metal phase, is the thickness of the beam, and is the power-law index. The Poisson’s ratio is constant, while the effective of Young’s modulus is calculated as follows:
Figure 1.
Model of an FG beam.
3. Development of the Modified Timoshenko Beam Element
3.1. Displacement Field and Strain Energy
In Timoshenko beam theory, the axial displacement is neglected, and the displacements at a point of the beam are given by:
The strain field of the beam is obtained as follows:
According to Hook’s law, the stresses of the beam are calculated as follows:
where are Young’s modulus and shear modulus, respectively, and is the shear correction factor, which usually equals 5/6. The variation of the strain energy of the beam can be obtained via the following formula:
where and are the resultant forces, which are calculated as follows:
and are the virtual bending and shear strains:
Substituting Equation (5) into Equation (7), we obtain:
where the following applies:
3.2. A New Modified Timoshenko Beam Element
Consider a Timoshenko element as shown in Figure 2, with two nodes per element and three degrees of freedom per node.
Figure 2.
The proposed Timoshenko beam element.
The vector of the nodal displacement of the beam element is given as follows:
The displacements within the beam element approximate via nodal displacement according to the following formula:
where is a parameter that is eliminated later, and are expressed as follows:
By substituting Equation (12) into Equation (8), we obtain:
where the following apply:
The resultant shear force is rewritten as follows:
Substituting Equation (18) into Equation (6), is calculated as follows:
The expression of is presented as follows:
where the following applies:
Hamilton’s principle is employed to establish the discretised equations of motion of the beams as follows:
Inserting into Equation (19), then into Equation (22), and rewritten in matrix form, we obtain:
where the following apply:
By eliminating the parameter from Equation (23), we obtain:
where the following apply:
The parameter is eliminated from Equation (33), and the static bending equations is obtained as the following formula:
where the following apply:
4. Results and Discussion
4.1. Validation Study
In this subsection, the deflection of the non-dimensional center in the FG beam calculated using the present beam elements and well-established Timoshenko elements are compared with those reported by Li et al. [14] and Thai et al. [17], as given in Table 1. The material properties of are , and those of are , . The deflection of the non-dimensional center of an FGM beam is computed as follows:
Table 1.
Comparison of the deflection of the non-dimensional center of the FG beams.
For all cases of the ratio and the power-law index , Table 1 demonstrates that the convergence of the modified Timoshenko beam elements is much higher than that of the classical Timoshenko beam elements with regular mesh.
The current results are consistent with those reported by Li et al. [14] and Thai et al. [17], despite the coarse mesh. Furthermore, Figure 3 shows the convergence of the modified Timoshenko beam element with irregular mesh. It can be seen that the numerical results for both the regular and irregular meshes are convergent. As a result, the suggested beam element is suitable for analysing the static bending behavior of FG beams.
Figure 3.
Convergence rate of the modified Timoshenko beam element with irregular meshes.
4.2. Numerical Results
In this section, an FG beam of subjected to uniform distributed load is considered. The length of beams is , the height is , and the material properties are , , . The non-dimensional displacement of the FGM beam is calculated as follows:
Table 2, Table 3 and Table 4 illustrate the non-dimensional maximum displacements of the FG beams under uniformly distributed load with various boundary conditions. It is clear that as the length-to-thickness ratio grows, the maximum deflections in the FG beams increase rapidly. Clamped beams have the smallest maximum deflections, whereas cantilever beams have the largest.
Table 2.
The non-dimensional maximum displacement of the clamped FG beams.
Table 3.
The non-dimensional maximum displacement of the simply supported FG beams.
Table 4.
The non-dimensional maximum displacement of the cantilever FG beams.
4.2.1. The Effects of the Length-to-Thickness Ratio on the Bending of FG Beams
Figure 4 depicts how the length-to-thickness ratio affects the FG beams’ non-dimensional maximum displacements. It is clear that as the length-to-thickness ratio increases, so do the maximum deflections in the FG beams. Specifically, the deflections in the cantilever FG beams grow rapidly as increases. The maximum deflections in the cantilever FG beams were found to be forty times greater than those of the clamped beams. Furthermore, the increase in deflections in the pure-ceramic beams was slower than that in the FG beams. The reason for this is that pure ceramic beams consist of only the ceramic component, while FG beams consist of both the ceramic and metal components; therefore, the rigidity of pure ceramic beams is higher than that of FG beams.
Figure 4.
The effects of L/h ratio on the deflection in FG beams: (a) CC beams; (b) CF beams.
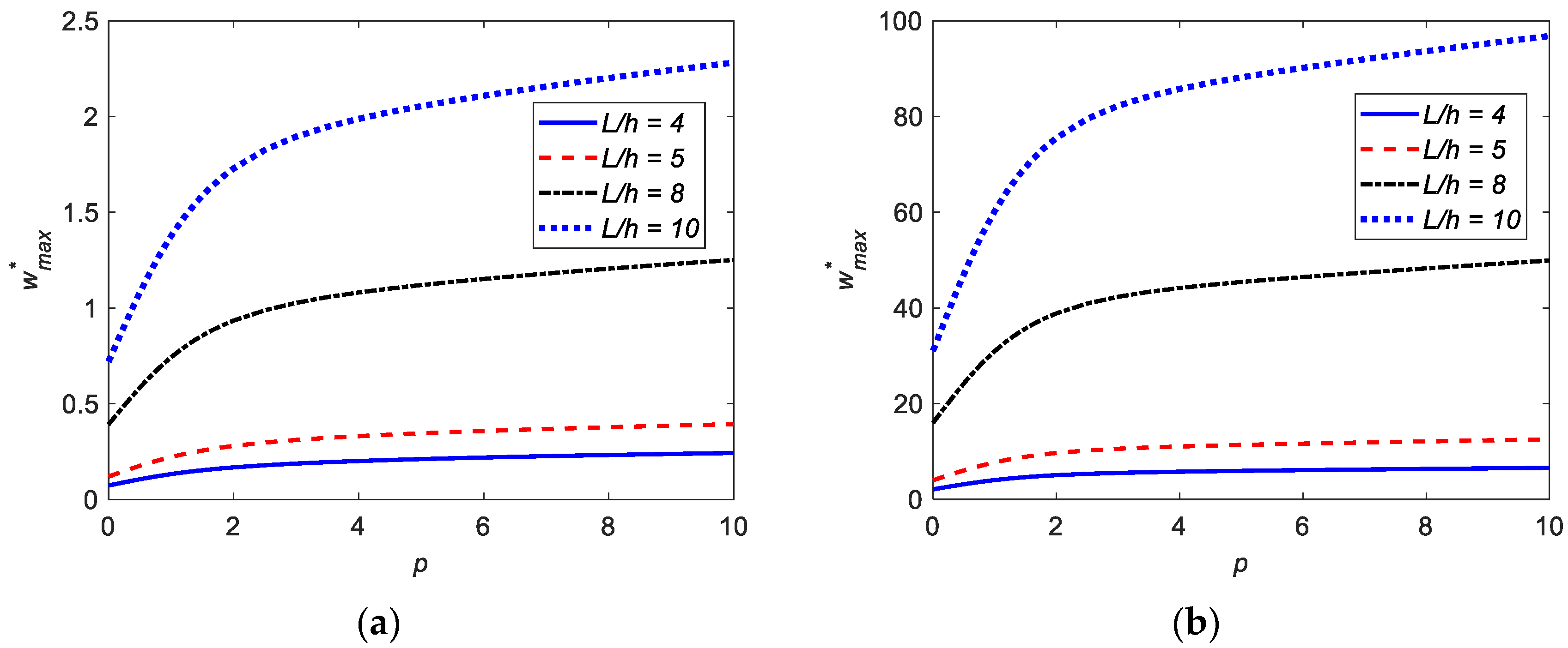
4.2.2. The Effects of the Power-Law Index on the Bending of FG Beams
Figure 5 displays the fluctuation of the displacement of the FG beams’ non-dimensional center as a function of the power-law index . The figure shows that the maximum deflections in the FG beams increased with an increase in the power-law index. The explanation is that as the value of the power-law index rises, the volume fraction of the metal increases and the volume fraction of the ceramic falls, resulting in a decrease in the stiffness of the FG beams. When the power-law index rises from 0 to 2, it significantly affects the deflection in the FG beams. Furthermore, the bending behavior of the FG beams is significantly influenced by the length-to-thickness ratio. Figure 6 presents the normal stress distribution through the thickness of an FG beam for two cases: CC and CF beams. It can be seen that the distribution of the normal stress is not symmetric and is non-linear through the thickness direction. The maximum normal stress appears at the upper surface and the minimum normal stress appears at the lower surface.
Figure 5.
The effects of on the deflection in FG beams: (a) CC beams; (b) CF beams.
Figure 6.
The effects of on the normal stress in FG beams: (a) CC beams; (b) CF beams.
5. Conclusions
In this study, a novel modified Timoshenko beam element was constructed to examine the static bending behavior of FG beams. There are only two nodes and two degrees of freedom in the suggested beam element. The current beam element has a straightforward formulation that does not make use of reduced or selective integration. Despite utilizing full Gaussian integration to produce the stiffness matrix and force vector, the suggested beam element can accurately forecast FG beam deflections with a limited number of elements. The FG beam’s static bending was examined using the current proposed beam element to show how several parameters affected its bending behavior. Several parameters were taken into consideration. The following conclusions can be drawn:
- -
- When the length-to-thickness ratio increases, the deflections in the FG beams increase rapidly.
- -
- When the power-law index increases, the deflections in the FG beams increase.
The modified Timoshenko beam elements were used for linear analysis only, and the application of the proposed elements for vibration, buckling, and nonlinear analysis should be studied in future works. The current findings demonstrate that the power-law index and the length-to-thickness ratio have a major impact on FG beams’ static bending behavior.
Author Contributions
Conceptualization, methodology, software, formal analysis, investigation, resources, validation, visualization, writing—original draft preparation, and writing—review and editing, M.H.G.; supervision and project administration, P.V.V.V. All authors have read and agreed to the published version of the manuscript.
Funding
This research received no external funding.
Data Availability Statement
No data were used in this paper.
Conflicts of Interest
The authors declare no conflicts of interest.
References
- Koizumi, M. FGM activities in Japan. Compos. Part B Eng. 1997, 28, 1–4. [Google Scholar] [CrossRef]
- Chakraborty, A.; Gopalakrishnan, S.; Reddy, J.N. A new beam finite element for the analysis of functionally graded materials. Int. J. Mech. Sci. 2003, 45, 519–539. [Google Scholar] [CrossRef]
- Reddy, J.N. A General Nonlinear Third-Order Theory of Functionally Graded Plates. Int. J. Aerosp. Light. Struct. 2011, 1, 1. [Google Scholar] [CrossRef]
- Reddy, J.N. Analysis of functionally graded plates. Int. J. Numer. Methods Eng. 2000, 47, 663–684. [Google Scholar] [CrossRef]
- Wang, L.; Liu, Y.; Zhou, Y.; Yang, F. Static and dynamic analysis of thin functionally graded shell with in-plane material inhomogeneity. Int. J. Mech. Sci. 2021, 193, 106165. [Google Scholar] [CrossRef]
- Tian, X.; Zhou, Y.; Ding, S.; Wang, L. Exploring the effects of finite size and indenter shape on the contact behavior of functionally graded thermoelectric materials. Int. J. Solids Struct. 2024, 305, 113089. [Google Scholar] [CrossRef]
- Cheng, H.; He, W.; Zhang, J.; Cheng, Y. The dimension coupling method for 3D transient heat conduction problem with variable coefficients. Eng. Anal. Bound. Elem. 2024, 166, 105839. [Google Scholar] [CrossRef]
- Chen, W.Q.; Lü, C.F.; Bian, Z.G. A mixed method for bending and free vibration of beams resting on a Pasternak elastic foundation. Appl. Math. Model. 2004, 28, 877–890. [Google Scholar] [CrossRef]
- Pu, Y.; Jia, S.; Luo, Y.; Shi, S. Bending analysis of functionally graded sandwich beams with general boundary conditions using a modified Fourier series method. Arch. Appl. Mech. 2023, 93, 3741–3760. [Google Scholar] [CrossRef]
- Ghazwani, M.H. New Enriched Beam Element for Static Bending Analysis of Functionally Graded Porous Beams Resting on Elastic Foundations. Mech. Solids 2023, 58, 1878–1893. [Google Scholar] [CrossRef]
- Kapuria, S.; Bhattacharyya, M.; Kumar, A.N. Bending and free vibration response of layered functionally graded beams: A theoretical model and its experimental validation. Compos. Struct. 2008, 82, 390–402. [Google Scholar] [CrossRef]
- Kadoli, R.; Akhtar, K.; Ganesan, N. Static analysis of functionally graded beams using higher order shear deformation theory. Appl. Math. Model. 2008, 32, 2509–2525. [Google Scholar] [CrossRef]
- Giunta, G.; Belouettar, S.; Carrera, E. Analysis of FGM beams by means of classical and advanced theories. Mech. Adv. Mater. Struct. 2010, 17, 622–635. [Google Scholar] [CrossRef]
- Li, X.F.; Wang, B.L.; Han, J.C. A higher-order theory for static and dynamic analyses of functionally graded beams. Arch. Appl. Mech. 2010, 80, 1197–1212. [Google Scholar] [CrossRef]
- Ying, J.; Lü, C.F.; Chen, W.Q. Two-dimensional elasticity solutions for functionally graded beams resting on elastic foundations. Compos. Struct. 2008, 84, 209–219. [Google Scholar] [CrossRef]
- Şimşek, M. Static analysis of a functionally graded beam under a uniformly distributed load by Ritz method. Int. J. Eng. Appl. Sci. 2009, 1, 1–11. [Google Scholar]
- Thai, H.T.; Vo, T.P. Bending and free vibration of functionally graded beams using various higher-order shear deformation beam theories. Int. J. Mech. Sci. 2012, 62, 57–66. [Google Scholar] [CrossRef]
- Adiyaman, G.; Turan, M. Bending and Buckling Analysis of Porous 2D Functionally Graded Beams with Exponential Material Property Variation. Iran. J. Sci. Technol. Trans. Civ. Eng. 2024. [Google Scholar] [CrossRef]
- Nguyen, T.K.; Vo, T.P.; Thai, H.T. Static and free vibration of axially loaded functionally graded beams based on the first-order shear deformation theory. Compos. Part B Eng. 2013, 55, 147–157. [Google Scholar] [CrossRef]
- Mohammadi, H.; Kiani, Y. Isogeometric nonlinear free vibration analysis of FG-GRC laminated Timoshenko beams with temperature-dependent material properties. Structures 2024, 67, 106910. [Google Scholar] [CrossRef]
- Huang, Y.; Ouyang, Z.Y. Exact solution for bending analysis of two-directional functionally graded Timoshenko beams. Arch. Appl. Mech. 2020, 90, 1005–1023. [Google Scholar] [CrossRef]
- Tang, A.Y.; Wu, J.X.; Li, X.F.; Lee, K.Y. Exact frequency equations of free vibration of exponentially non-uniform functionally graded Timoshenko beams. Int. J. Mech. Sci. 2014, 89, 1–11. [Google Scholar] [CrossRef]
- Şimşek, M. Bi-directional functionally graded materials (BDFGMs) for free and forced vibration of Timoshenko beams with various boundary conditions. Compos. Struct. 2015, 133, 968–978. [Google Scholar] [CrossRef]
- Vo, T.P.; Thai, H.T.; Nguyen, T.K.; Inam, F.; Lee, J. Static behaviour of functionally graded sandwich beams using a quasi-3D theory. Compos. Part B Eng. 2015, 68, 59–74. [Google Scholar] [CrossRef]
- Chaabane, L.A. Analytical study of bending and free vibration responses of functionally graded beams resting on elastic foundation. Struct. Eng. Mech. 2019, 71, 185–196. [Google Scholar]
- Hadji, L.; Bernard, F. Bending and Free Vibration Analysis of Functionally Graded Beams on Elastic Foundations With Analytical Validation. Adv. Mater. Res. 2020, 9, 63–98. [Google Scholar] [CrossRef]
- Chen, D.; Yang, J.; Kitipornchai, S. Elastic buckling and static bending of shear deformable functionally graded porous beam. Compos. Struct. 2015, 133, 54–61. [Google Scholar] [CrossRef]
- Fouda, N.; El-midany, T.; Sadoun, A.M. Bending, buckling and vibration of a functionally graded porous beam using finite elements. J. Appl. Comput. Mech. 2017, 3, 274–282. [Google Scholar] [CrossRef]
- Vo, T.P.; Thai, H.T.; Nguyen, T.K.; Maheri, A.; Lee, J. Finite element model for vibration and buckling of functionally graded sandwich beams based on a refined shear deformation theory. Eng. Struct. 2014, 64, 12–22. [Google Scholar] [CrossRef]
- Glabisz, W.; Jarczewska, K.; Hołubowski, R. Stability of Timoshenko beams with frequency and initial stress dependent nonlocal parameters. Arch. Civ. Mech. Eng. 2019, 19, 1116–1126. [Google Scholar] [CrossRef]
- Fang, W.; Yu, T.; Van Lich, L.; Bui, T.Q. Analysis of thick porous beams by a quasi-3D theory and isogeometric analysis. Compos. Struct. 2019, 221, 110890. [Google Scholar] [CrossRef]
- Burlayenko, V.N.; Altenbach, H.; Dimitrova, S.D. Modal characteristics of functionally graded porous Timoshenko beams with variable cross-sections. Compos. Struct. 2024, 342, 118273. [Google Scholar] [CrossRef]
- Turan, M.; Adiyaman, G. Free Vibration and Buckling Analysis of Porous Two-Directional Functionally Graded Beams Using a Higher-Order Finite Element Model. J. Vib. Eng. Technol. 2024, 12, 1133–1152. [Google Scholar] [CrossRef]
- Ling, T.; Wu, X.; Huang, F.; Xiao, J.; Sun, Y.; Feng, W. Variable cross sections functionally grad beams on Pasternak foundations: An enhanced interaction theory for construction applications. Arch. Appl. Mech. 2024, 94, 1005–1020. [Google Scholar] [CrossRef]
- Aribas, U.N.; Atalay, M.; Omurtag, M.H. Warping included mixed finite elements for bending and stresses of functionally graded exact curved beams. Mech. Adv. Mater. Struct. 2024, 31, 5040–5056. [Google Scholar] [CrossRef]
- Benmalek, H.; Bouziane, S.; Bouzerd, H.; Suleiman, H. Innovative mixed finite element method for bending analysis of functionally graded beams: Modelling, validation, and applications. Eng. Res. Express 2024, 6, 15055. [Google Scholar] [CrossRef]
- Santos, H.; Mota Soares, C.M.; Mota Soares, C.A.; Reddy, J.N. A semi-analytical finite element model for the analysis of cylindrical shells made of functionally graded materials. Compos. Struct. 2009, 91, 427–432. [Google Scholar] [CrossRef]
- Li, L.; Li, X.; Hu, Y. Free vibration analysis of nonlocal strain gradient beams made of functionally graded material. Int. J. Eng. Sci. 2016, 102, 77–92. [Google Scholar] [CrossRef]
Disclaimer/Publisher’s Note: The statements, opinions and data contained in all publications are solely those of the individual author(s) and contributor(s) and not of MDPI and/or the editor(s). MDPI and/or the editor(s) disclaim responsibility for any injury to people or property resulting from any ideas, methods, instructions or products referred to in the content. |
© 2024 by the authors. Licensee MDPI, Basel, Switzerland. This article is an open access article distributed under the terms and conditions of the Creative Commons Attribution (CC BY) license (https://creativecommons.org/licenses/by/4.0/).





