Next Article in Journal
Dirac Geometric Approach for the Unimodular Holst Action
Previous Article in Journal
Model and Algorithm for a Two-Machine Group Scheduling Problem with Setup and Transportation Time
 
 
Font Type:
Arial Georgia Verdana
Font Size:
Aa Aa Aa
Line Spacing:
Column Width:
Background:
Article

On the Square Root Computation in Liber Abaci and De Practica Geometrie by Fibonacci

Department of Informatics, University of Bergen, N–5006 Bergen, Norway
Mathematics 2024, 12(6), 889; https://doi.org/10.3390/math12060889
Submission received: 30 January 2024 / Revised: 14 March 2024 / Accepted: 15 March 2024 / Published: 18 March 2024

Abstract

We study the square root computation by Leonardo Fibonacci (or Leonardo of Pisa) in his MSS Liber Abaci from c1202 and c1228 and De Practica Geometrie from c1220. In this MSS, Fibonacci systematically describes finding the integer part of the square root of an integer in numerous examples with three to seven decimal digits. The results of these examples are summarized in a table in the paper. Liber Abaci also describes in detail finding an approximation to the fractional part of the square root. However, in other examples in Liber Abaci and De Practica Geometrie, only the approximate values of the fractional part of the square roots are stated. This paper further explores these approximate values using techniques like reverse engineering. Contrary to many claims that Fibonacci also used other methods or approximations, we show that all examples can be explained using one digit-by-digit method to compute the integer part of the square root and one approximation scheme for the fractional part. Further, it is shown that the approximation scheme is tied to the method to compute the integer part of the square root.

1. Introduction

Leonardo Fibonacci or Leonardo of Pisa lived around 1170 to 1250. He was born in Italy, but educated in North Africa. He travelled widely in the Mediterranean until around 1200 when he settled in Pisa. He wrote several books of which copies of Liber Abaci from around 1202 with a second edition from around 1228, De Practica Geometrie from around 1220, Flos from around 1225, and Liber quadratorum from around 1225. The books Liber Abaci and De Practica Geometrie contain numerous examples computing the integer part of square root of natural numbers. Fibonacci consider 16 examples, five in Chapter 14 of Liber Abaci and 11 in Chapter 2 of De Practica Geometrie: The only example where the technique is expanded compared with the other 15 examples is finding the square root of 7234. For this example, Fibonacci multiplies 7243 with 10 4 and finds the integer part of the square root of 7234 using the same technique as for the other examples. We find the spelling Liber Abbaci and Liber Abaci in the literature, though Abaci is used more often today [1] (p. 37).
The method used by Fibonacci to compute the integer part of the square root deviates from the technique later used by Cardano in 1539 [2] (Ch. 23) (see [3] and the references therein), Viéte in 1600 [4,5] or Horner in 1819 [6] where the number is divided in groups of two digits. Fibonacci is using a recursive technique where he assumes that only the last digit in the integer part of the square root needs to be determined [7]. So to determine the integer part 12,345 , the technique assumes that the integer part of the square root n = 123 , a = n ( · is the floor function) and the residual n a 2 are known. In his book on Liber Abaci, Lüneburg [8] (p. 258) writes “Hier wird man nun von Fibonacci wieder einmal überrascht. Er entwickelt nicht Schritt für Schritt vor unseren Augen den Tertianeralgorithmus (Algorithm taught in High School mathematics) zur berechnung von N , vielmehr sagt Fibonacci, man solle gemäss den obigen Entwicklungen 123 berechnen.” The recursive thinking is further evident in the example of 9,876,543 in De Practica Geometrie where Fibonacci consider the root of a seven digit number but first finds the root of the first five digits. The method used by Fibonacci is not the Hindu method described by Datta and Singh [9] (p. 169–175) as claimed in [10] (p. 35) or the computational method of al-Nasawī (c. 1011–c. 1075) where 57,342 is demonstrated [11]. In computing the integer part of the square root, a further misconception is that this is the Indian-Arabic algorithm [12]. It is a common misconception that Chapter 14 of Liber Abaci contains nothing significant not found in the Euclid’s Elements [13] (p. 10) [14] (p. 71). Early contributions to the History of Mathematics focus mainly on Fibonacci’s computation of the fractional part of the square root [15] (p. 30). The range of topics based on the works on Fibonacci is vast, ranging from recreational mathematics (see [14,16] and the references therein) to geometric constructions [17]. A comprehensive list is compiled by Charles K. Cook and Fibonacci Association [18].
It is common to regard computing the integer part of the square root and computing the fractional part as not dependent on each other. In the approximations, Fibonacci is not using a decimal fraction, but rely on fractions. It is shown that the actual implementation of computing the fractional part depends on the method used by Fibonacci to compute the integer part.
The remaining part of the paper is organized as follows. In Section 2, we introduce the notation and the technique used by Fibonacci to compute the integer part of the square root and summarizes the results from [19]. Section 3 introduces Fibonacci’s computation of an approximation of the fractional part of the square root and summarizes the calculated examples from [19]. The first part of the next section contains examples computing the approximations of the fractional part of the square root from Liber Abaci and in the second part examples from De Practica Geometrie.

2. Integer Part of the Square Root

Let the decimal representation of a positive integer N be
N = i = 0 2 k 1 β i 10 i
where β 2 k 1 + β 2 ( k 1 ) > 0 (not both equal 0). Since
β 2 k 1 10 + β 2 ( k 1 ) 10 2 ( k 1 ) N < β 2 k 1 10 + β 2 ( k 1 ) + 1 10 2 ( k 1 ) ,
the integer part of the square root of N has k digits. Partition N so that N = n 10 2 + β 1 10 + β 0 , n = j = 2 2 k 1 β j 10 j 2 . The integer part of n will have k 1 digits and assume that the decimal representation of the integer part of n is known
n = i = 1 k 1 α i 10 i 1 ,
and put a = n . The decimal representation of the integer part of N must then be
N = 10 a + α 0 ,
where α 0 is the next digit to be determined. Consider the remainder or residual using the binomial expansion
N ( 10 a + α 0 ) 2 = ( n a 2 ) 10 2 + β 1 10 + β 0 2 · 10 a α 0 α 0 2 .
The α 0 will be largest integer in { 0 , 1 , , 9 } so that
( n a 2 ) 10 2 + β 1 10 + β 0 2 · 10 a α 0 α 0 2 0 .
Since α 0 is the largest integer that satisfies (2), the next integer in sequence α 0 + 1 will satisfy N ( 10 a + α 0 + 1 ) 2 < 0 . Then
( n a 2 ) 10 2 + β 1 10 + β 0 2 · 10 a α 0 α 0 2 2 ( 10 a + α 0 ) < 1 .
Since all terms on the left side of the inequality (3) are integers, we have
( n a 2 ) 10 2 + β 1 10 + β 0 2 · 10 a α 0 α 0 2 2 ( 10 a + α 0 ) .
The last digit α 0 will be the smallest α 0 so that (4) holds. The left hand side of (4) is the remainder or residual (1) and the right hand side is twice the computed root. The two inequalities (2) and (4) uniquely determine the integer α 0 . A third inequality on α 0 is based on (2)
α 0 ( n a 2 ) 10 2 + β 1 10 + β 0 2 · 10 a + α 0 ( n a 2 ) 10 2 + β 1 10 + β 0 2 · 10 a .
Approximations to this upper bound are
( n a 2 ) 10 + β 1 2 a ,
and
n a 2 2 a 10 ,
and
( n a 2 ) / 10 2 a / 100 .
The upper bound and the approximations need not be calculated accurately, only the first digit in the fraction is needed. For the last example in De Practica Geometrie, Fibonacci is using (8), which uses even fewer decimal digits in the nominator and denominator than (6) and (7). Fibonacci’s method to compute the integer part of the square root is in a wider class of digit-by-digit methods. Contrary to methods often called evolution methods [20,21] which evolve one digit at the time, Fibonacci’s method is a (front-end) recursion.
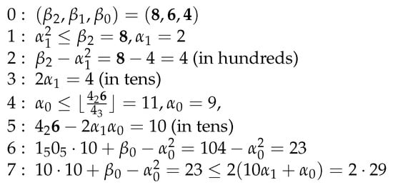
In Hughes’ translation of De Practica Geometrie [10] (p. 36), he demonstrates Fibonacci’s square root computation of 864 in seven steps all based on the binomial expansion (1).
1:
The root will be a two-digit number. The square of the first digit α 1 is immediately less than the first digit 8 ( = n ) of N. So place 2 ( = a = α 1 ) under the 6.
2:
Subtract 2 2 from 8 and put the remainder 4 ( = n a 2 ) over the 8.
3:
Double 2 and put it under 2.
4:
An approximation to α 0 is (6), α 0 46 / 4 = 11 . Largest digit less than 11 is 9, probably the last digit α 0 of the root. Put 9 in the first place under 4.
5:
Multiply 9 by 4 (under 2) and subtract 36 from 46 to obtain 10. Place 10 on the diagonal.
6:
Square 9, subtract 81 from 104 (on the diagonal), to obtain the remainder 23.
7:
The root is verified by showing that α 0 satisfies the second bound (4), i.e., that the remainder does not exceed twice the root found:
( n a 2 ) 10 2 + β 1 10 + β 0 2 · 10 a α 0 α 0 2 = 23 2 ( 10 a + α 0 ) = 2 · 29 .
Hughes [10] (p. 36) illustrates Fibonacci’s computation with an evolution of Tables 1 to 6 in Figure 1.
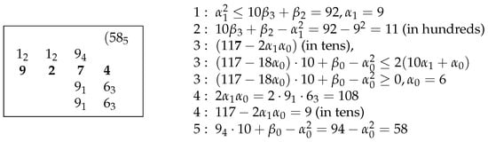
With the notation used in this paper, the corresponding computation is given in Figure 2 where the numbered lines correspond to the seven steps and to the tables in Figure 1. The subscripts where the digit is inserted in Figure 3 correspond to table in Figure 1 and line number in Figure 2. Note that 4 2 6 is the number 46 (in tens) where 4 (in hundreds) is computed in line 2 and 6 is the second digit in 864.
The sequence of tables in Figure 1 can readily be reconstructed from the table in Figure 3. The table on the left in Figure 3 is first used by Ball [22].
The integer part of square root of 864 is 29 with remainder 23 which is marked as 23 in Figure 1 and 23 6 in Figure 3. Fibonacci’s computation of the remainder is just an rearrangement of the binomial expression for N ( α 1 10 + α 0 ) 2 which is shown below.
N ( 10 α 1 + α 0 ) 2 = β 2 10 2 + β 1 10 + β 0 ( 10 α 1 + α 0 ) 2 = ( β 2 α 1 2 ) 10 2 + β 1 10 ( 2 α 1 ) α 0 10 + β 0 α 0 2 = ( 4 ) 10 2 + β 1 10 ( 2 α 1 ) α 0 10 + β 0 α 0 2 by 2 : = ( 4 ) 10 + β 1 10 ( 4 ) α 0 10 + β 0 α 0 2 by 3 : = 46 ( 4 ) α 0 · 10 + β 0 α 0 2 by 4 : = 10 · 10 + 4 α 0 2 by 5 : = ( 104 ) 9 2 = 23 by 6 : .
Hughes [10] translates to English De Practica Geometrie in 2008 based on the transcript of Boncompagni from 1862 [24]. The following example from De Practica Geometrie of computing the integer part of 864 is based on [10] (p. 39), via the use of Google translate from Latin of [24] (p. 19), and OpenAI. The blue inserted text in the quoted material below, [L:x] refers to line x in the table for the square root computation in Figure 2. The line number is the subscript in the table in Figure 3.
If you wish to find the root of 864,
1.
put 2 under the 6 because 2 is the whole root of 8 [L:1, line 1 in Figure 2].
2.
Put the remainder 4 above the 8 [L:2].
3.
Then double 2 to obtain 4 placing it under the 2 [L:3].
4.
Form 46 from the 4 above the 8 and the 6 in the second place. Now divide the new number 46 by 4 to obtain 11. From this division we obtain an idea of the following first digit which must be multiplied by twice the digit you already found. Afterwards, square it. The digit is a little less or exactly as much as what comes from the division. Practice with this procedure will perfect you. So we choose 9 since it is less than 11, and put it under the first digit [L:4].
5.
Multiply 9 by 4 which is two times the second digit and subtract the product from 46. The remainder is 10. Put 0 over the 6 and 1 above the 4 [L:5].
6.
Join 10 with 4 in the first place to make 104. Subtract the square of 9 from it to obtain 23 [L:6.1] which is less than twice the root found [L:6.2].
More on notation:
  • Boldface digits are the digits of the number to be taken square root of.
  • The columns in the tables in Figure 1 and Figure 3 correspond to hundreds, tens, and ones.
  • In both editions of Liber Abaci the digits of the root are written two times to compute the sum, while in De Practica Geometrie the digits are multiplied by 2 (except the last digit of the root).
  • Fibonacci calls α 1 the last digit (second digit) and α 0 the first digit.

2.1. Example Computing 927,435 in Liber Abaci

The following emphasized text is based on the transcripts by Boncompagni [25] (p. 355) and Giusti [26] (p. 551), the translation by Sigler [13] (p. 492, 493).
Again if you wish to find the root of a six-digit number, as 927,435, which must have a root with three digits, …you therefore find the root of the number made of the last four digits, namely the 9274, and this you do according to that we demonstrated above in the finding of a root of a number of four digits.
To follow Fibonacci’s recursive thinking, we compute 9274 in Figure 4.
The two successive inequalities in Figure 4 uniquely determine the last digit α 0 . In the example N = 927,435 and n = 9274 and inequality (4) is used to determine the last digit in the integer part of square root of N. A reference [L:2] refers to line two (for the second number inserted in the table) in Figure 5 and [L:3.1] refers to the first of the lines marked 3:
1.
You therefore twice put the 96 below the third and second places [L:1, line 1 in Figure 5].
2.
You put the 58 above the 74 of the 9274 [L:2].
3.
You will couple the 58 with the preceding digit, namely the 3 that is in the second place; there will be 583 for which you put in the first place of the root, namely before the 96, twice such a digit when multiplied crosswise by the 96 [L:3.1], and the products subtracted from the 583 leave a number which when coupled with the first digit, namely the 5, and subtracted from this is the figure multiplied by itself, there is not left a number greater than double the found root, and it will be 3 that is put before both of the 96 [L:3.2].
4.
You multiply the 3 by the 96 crosswise; there will be 576 [L:4.1] that you subtract from the 583; there remains 7 above the 3 [L:4.2].
5.
Which coupled with the 5 of the first place makes 75; from this you subtract the product of the 3 and the 3, namely 9; there remains 66 [L:5].
The figure in Figure 5 without the subscripts is found in manuscripts [27] or [28].

2.2. Summary of Computing the Integer Part of the Square Root

Table 1 summarizes the finding in [19] and gives an overview of the different examples and the inequalities used to determine the last digit α 0 . The first column contains the number to be taken square root of, N, the second column contains a reduced number consisting of the digits of N except the two last digits, n, the third and fourth columns contain the integer part of the square root of the reduced number, a, and its remainder n a 2 . The first five examples are from Liber Abaci, while the remaining eleven examples are from De Practica Geometrie.

3. Computing the Fractional Part

Let a be an approximation to the square root of positive integer N (not a perfect square) and let r be the residual r = N a 2 . A common approximation is
N = a 2 + r , a 1 = a + r 2 a .
The residual (or remainder) is a measure on how good the solution is. If the approximation a 1 is not sufficiently close to the solution, the iteration is repeated
a 2 = a 1 + r 1 2 a 1 where r 1 = N a 1 2 .
We will say that r 2 a is a correction to a and similarly, r 1 2 a 1 is a correction term to a 1 . In a digit-by-digit method, common choices are a = N or a = N + 1 . In the first case the residual r is positive, while in the other case the residual will be negative. In the calculated examples in Liber Abaci, Fibonacci chooses a = N while other places in Liber Abaci and in De Practica Geometrie the choice a = N + 1 is also used. The same iterates are generated by Heron’s method (also called the Babylonial method). Heron of Alexandra (active around 60 AD) computed the iterates as [29] (pp. 323, 324)
a 1 = 1 2 a + N a , a 2 = 1 2 a 1 + N a 1 .
Further, from the equation defining a 1
a 1 2 N = N a 2 2 a 2 ,
so the new residual r 1 is the negative of the square of the correction r 2 a of a. The computation by Fibonacci is then given by
a 1 = a + r 2 a , a 2 = a 1 ( r / 2 a ) 2 2 a 1 when a = N .
The term 2 a is twice the root found and is the sum of the two last rows in the tables in Liber Abaci and is on the last row in the tables in De Practica Geometrie (except the last digit) so the nominator and denominator for a 1 are computed. The computational procedure used by Fibonacci is very natural and makes the computation by hand very efficient.
In his work on approximation methods of Fibonacci, Glushkov 1976 [30] points out that (12) is used. However, without giving any examples. Cantor [15] shows the two approximations (12) and takes the example 927,435
927,435 963 + 11 321 11 321 2 2 ( 963 + 11 321 ) .
Table 2 summarizes the worked out examples in Liber Abaci using the notation in the paper.
We observe that Fibonacci never uses three or more iterations and for the two first iterations results from the computation of the integer part are used.
Computing an approximation to 7234 deviates somewhat from the examples presented in Table 2. First 72,340,000 = 100 7234 is computed using the digit-by-digit method. Let N = 72,340,000 , a = N = 8505 and N a 2 = 4975 computed using the digit-by-digit method). The correction is N a 2 2 a 1 4 . The approximation of 72,340,000 is then 8505 1 4 and the approximation of 7234 is 85 + 1 20 + 1 400 .

3.1. Other Examples of Square Root Computation in Liber Abaci

While the examples in Table 2 are worked out in details, other approximate fractions of square roots in Liber Abaci are just explicitly stated. There is no evidence that Fibonacci has used other than the two formulas (12) for computing an approximation of the fractional part of the square root. Three examples are given below.
  • To show that
    448 + 23 = 4 + 7
    Fibonacci first gives a geometric proof and then verifies the computation with approximate numbers [13] (p. 500). Fibonacci states that 448 is a little less than 21 1 6 , and that 21 1 6 + 23 = 44 1 6 is a little less than 6 2 3 . Further, 7 is a little less than 2 2 3 . Thus he has
    4 + 7 a little less than 6 2 3 and 448 + 23 a little less than 44 1 6 which is a little less than 6 2 3 .
    To see the approximations observe 2 = 7 < 3 , but 7 is closer to 3 than 2.
    a = 7 + 1 = 3 , a 1 = a + r 2 a = 3 + 7 9 2 · 3 = 2 2 3 ,
    and 4 + 7 is a little less than 6 2 3 . For
    a = 448 = 21 , then a 1 = a + r 2 a = 21 + 448 441 2 · 21 = 21 1 6 .
    Further
    a = 23 + 21 1 6 + 1 = 7 , r = 7 2 44 1 6 ,
    so
    a 1 = a r 2 a = 7 4 5 6 14 = 7 29 3 · 28 < 7 28 3 · 28 = 6 2 3
  • Fibonacci consider two ways to compute 4 + 10 [13] (p. 503). First, what Fibonacci calls the common way, to observe that 10 is a little less than 1 4 5 , hence 4 + 10 is a little less than 5 4 5 . The second way, what Fibonacci calls the masterly way, is to observe that ( 4 + 10 ) 2 = 16 + 40,960 + 10 . The two last terms can be approximated and Fibonacci observes that 10 is a little less than 3 1 6 and that 40,960 is about 14 1 4 . The sum of the three terms is a little more than 33 and Fibonacci observes that 33 is about 5 4 5 .
    The approximations are for a = 10 = 3 and 10 is a little less than a + 10 a 2 2 a = 3 1 6 . First, observe 40,960 = 202 and 40,960 < 40,960 + 1 = 203 . For a = 203 = 14 then 203 is a little less than a + 203 a 2 2 a = 14 1 4 . The sum of the three terms 16, 3 1 6 , and 14 1 4 , is a little more than 33 and for a = 33 = 5 , a 1 = a + 33 a 2 2 a = 5 4 5 which is a little larger than 33 .
    A possible derivation of 10 could be using (13) 10 = 250 5 a little less than 16/5. For a = 3 1 5 + 1 = 2 then a + ( 16 / 5 a 2 ) / ( 2 a ) = 1 4 5 and 3 1 5 is a little less so 10 will be a little less than 1 4 5 and 4 + 10 is a little less than 5 4 5 . Another explanation is given by in Høyrup [31] (p. 28) which uses 10 a little less than 3 1 6 and for a = 2 we have for 3 1 6 that a a 2 3 1 6 2 a = 2 5 24 a little less than 2 5 25 = 1 4 5 .
  • To compute 12 + 10 , Fibonacci again does this in two ways. Fibonacci states that 12 is a little less than 3 13 28 [13] (p. 504) and 10 a little less than 1 4 5 and the sum is the desired result. The way according to the art, writes Fibonacci, is to observe that ( 12 + 10 ) 2 = 12 + 10 + 23,040 which is shown geometrically. However, no approximation of 23,040 is given.
    Let a = 12 = 3 , r = 3 and a 1 = a + r / ( 2 a ) = 3 1 2 . For the next iteration r 1 = ( r / ( 2 a ) ) 2 = 1 / 4 then 12 is a little less than a 1 r 1 / ( 2 a 1 ) = 3 13 28 .
There is no evidence that Fibonacci has used other than two formulas (12) for computing an approximation of the fractional part of the square root in Liber Abaci. Natural rounding in hand calculation like 29 3 · 28 28 3 · 28 = 1 3 is needed to reproduce the results. Fibonacci also used (12) for rational N. The derivation and justification is a case of reverse engineering, in that no such derivation is in the source materials.

3.2. Fractional Square Root Computation in De Practica Geometrie

Fibonacci demonstrates in detail in Liber Abaci how to compute an approximation to the fractional part summarized in Table 2. These examples are not in De Practica Geometrie. However, in some cases there are explicit uses of (9) and (10). In De Practica Geometrie Fibonacci is also demonstrating square root of fractions. To compute (an approximation) of the square root of a fraction, multiply the fraction with a large number; the larger the number is, the more accurate solution. Let p , q , and k be positive integers then
p q = k 2 p q k
where k is large and q divides k.
More than 20 examples of approximation to the square root are given in De Practica Geometrie.
  • Ref. [10] (p. 47, §18) [24] (p. 23): To compute 67 in unit rods Fibonacci first converts to inches (1 rod is 6 feet and 1 foot is 18 inches)) 67 · 6 · 18 = 781,488 and 781,488 = 884 with remainder 781,488 884 2 = 32 . The correction term computed by Fibonacci is 32 2 · 884 = 4 221 < 4 220 = 1 55 and 781,488 is (approximately) 884 1 55 inches or 49 feet and 2 1 55 inches which is or 8 rods, 1 foot and 2 1 55 inches. Fibonacci is here computing a 1 in (12).
  • Ref. [10] (p. 47, §20.2) [24] (p. 24): Compute 67 in unit rods is 67 = 8 with a remainder of 3. The correction term is 3 2 · 8 in rods or 1 1 8 foot. Fibonacci approximates this to 1 foot equal 1 6 rod. The new approximation is then 8 1 6 rods. The remainder is 67 ( 8 1 6 ) 2 = 11 36 . The next correction is 11 36 2 · 8 1 6 in rods or 99 49 in unit inches or approximately 2 inches which is 2 108 rods. New approximation to the square root is then 8 + 1 6 + 2 108 with remainder 67 ( 8 + 1 6 + 2 108 ) 2 = ( 2 3 ) 3 / 108 . This is approximately 1 3 in inches which is the approximation mentioned by Fibonacci. This approximate value will give the second correction 1 3 2 · 8 = 1 48 . However, using the computed values gives the correction in inches
    ( 2 3 ) 3 2 ( 8 + 1 6 + 2 108 ) = 4 221 4 220 = 1 55
    which is the second correction in [24] (p. 24). The correction is 1 18 in [10] (p. 47, §20.2) and 1 55 in [24] (p. 24), [23] (Folie 14v), and [32] (Folie 20v).
  • Ref. [10] (p. 48, §21) [24] (p. 24): To compute 111 rods the integral part of the square root is 111 = 10 with remainder 111 10 2 = 11 . The first correction term is 11 2 · 10 · 6 = 3 3 10 3 feet or 1 2 rod. New approximation is 10 1 2 with remainder 111 ( 10 1 2 ) 2 = 3 4 . New correction is 3 4 2 · 10 1 2 = 1 56 rods or 108 56 = 3 6 7 inches. Fibonacci writes the fraction 6 7 is too large so simply call it a little less 5 6 and the approximation to the root is 10 rods, 3 feet, and 3 5 6 inches. In [10] (p. 48, §21) it is 10 rods, 3 feet, and 5 6 inches while in the transcription [24] (p. 24) the number of inches is 3 5 6 .
  • Ref. [10] (p. 48, §22): The exercise is to compute 1234 rods. The integral part of the square root is 1234 = 35 with a remainder of 9 = 1234 35 2 . Correction to be added to 35 is 9 · 108 2 · 35 = 13 62 70 in inches. The approximation used is 13 7 8 , but ( 35 · 108 + 3 7 8 ) 2 > 1234 · 108 so Fibonacci writes use 6 7 , 5 6 , 4 5 or 3 4 , but this will decrease the accuracy.
  • Ref. [10] (p. 52, §32): To compute 30 + 20 take the square which is 50 + 2400 . Fibonacci states 2400 a little less than 49 1 98 . To see this let a = 2400 + 1 = 49 then a + 2400 a 2 2 a = 49 1 98 and the result 50 + 2400 is a little less than 99 1 98 .
  • Ref. [10] (p. 54, §37): To compute 30 20 take the square which is 50 2400 . But from above example, 2400 is a little less than 49 1 98 and the result 1 1 98 is a close approximation.
  • Ref. [10] (pp. 55, 56, §41): 2 3 = 2 · 60 · 60 3 60 = 2400 60 and from above 2400 is a little less than 49 1 98 which must be divided by 60. Here, Fibonacci is using (13).
  • Ref. [10] (p. 56, §41) 2 3 in rods is 2 · 108 2 3 = 7776 inches. For a = 7776 = 88 then a + 7776 a 2 2 a = 88 + 2 11 and the root is a little less than 88 2 11 inches.
  • Ref. [10] (p. 56, §41): Square root of 4/5 of one degree in seconds is 60 · 60 · 4 5 = 2880 . Then 2880 · 60 2 / 60 = 10,368,000 / 60 and 10,368,000 a little less than 3220 so 2880 a little less than 3220 / 60 = 53 2 3 . Here Fibonacci is using (13). In his translation Hughes [10] (pp. 55, 56, §41) points out in a footnote that there is too much information in the transcribed version [24] (p. 30).
  • Ref. [10] (p. 56, §42) [24] (p. 30): Find the number of feet of 2 3 given in rods. 2 3 = 36 · 2 3 / 6 = 24 / 6 (in rods) and 24 = 4 (in feet) with remainder 24 4 2 = 8 (in feet). The correction converted to inches is
    8 · 18 2 · 4 = 18 .
    Fibonacci states that the correction is 16. In a footnote this error is pointed out and the error invalidates the computation [10] (p. 56). However, the method used is the same as in the other cases. The new approximation by Fibonacci is therefore 4 feet and 16 inches or 4 16 18 feet with remainder 24 ( 4 16 18 ) 2 = 8 81 . The next correction will then be in feet
    8 81 2 · 4 16 18 = 1 99
    or 18 1 99 = 2 11 in inches which is the final given correction.
  • Ref. [10] (p. 56, §42) [24] (p. 30): An alternative method to find the number of feet of 2 3 given in rods is given in the same paragraph. Let a = 24 + 1 and the correction is 24 5 2 2 · 5 = 1 10 in feet or 18 1 10 = 1 4 5 in inches. The approximation is then 5 feet minus 1 4 5 inches or 4 feet and 16 1 5 inches. In [10] (p. 56, §42) it is 4 5 and in [24] (p. 30) it is 1 4 5 .
  • Ref. [10] (p. 72, §15) [24] (p. 34): To find the area of a triangle, Fibonacci gives that 75 a little less than 8 2 3 and 5 75 = 1875 approximately 43 1 3 1 36 . Let N = 75 and a = 75 + 1 = 9 , then the correction will be 75 81 2 · 9 = 1 3 and the approximation is a little less than 9 1 3 = 8 2 3 . The next correction will be 1 3 2 / ( 2 · 8 2 3 ) > 1 / 9 2 · 10 = 1 180 . It follows that 5 75 is a little less than 5 ( 9 1 3 1 180 ) = 43 1 3 1 36 which is the result by Fibonacci. An alternative approach leading to the same result will be for N = 1875 and a = 43 1 3 the correction is
    43 1 3 2 1875 2 · 43 1 3 = 25 18 · 43 1 3 > 25 18 · 50 = 1 36 .
  • Ref. [10] (p. 86, §40) [24] (p. 43): It is stated that 17,496 is a bit more than 132 1 4 . Note that for a = 17,496 = 132 and residual r = 17,496 132 2 = 72 the correction is r 2 a = 3 11 > 3 12 = 1 4 . Further 132 3 11 is a little larger than the square root and 132 1 4 is a little smaller than the root.
  • Ref. [10] (p. 89, §47) [24] (p. 45): 65 13 36 is a little more 8 1 12 . For a = 65 13 36 = 8 with residual r = 1 13 36 , the correction is r 2 a = 49 / 576 > 1 / 12 and the square root is a little larger than 8 1 12 . The text [24] (p. 45) has 65 12 49 , but context requires 65 13 36 [10] (Footnote p. 89).
  • Ref. [10] (p. 98,99, §66) [24] (p. 51) [23] (Folie 30v): To compute 1000 288,000 Fibonacci first computes 288,000 to be approximately 536 2 3 1 96 . Then 1000 536 2 3 + 1 96 = 463 11 32 approximately 21 1 2 + 1 40 . Note that for N = 288,000 then a = N = 536 and the correction term is N a 2 2 a = 44 67 < 44 66 = 2 3 . The second correction term is
    536 2 3 2 288,000 2 · 536 2 3 = 5 483 < 5 480 = 1 96 .
    For N = 1000 536 2 3 + 1 96 = 463 11 32 , then a = N = 21 and the first correction term is N a 2 2 a = 715 1344 1 2 and the second correction will be 463 11 32 21 1 2 2 2 · 21 1 2 = 35 1376 > 35 1400 = 1 40
  • Ref. [10] (p. 155, §194) [24] (p. 89) [23] (Folie 54r): Fibonacci states that 675 (in rods) is 26 rods and 2 1 13 inches. Let a = 675 + 1 = 26 , then the correction will be 675 a 2 2 a = 1 52 which is 108 52 = 2 1 13 in inches.
  • Ref. [10] (p. 156, §196) [24] (p. 91): Fibonacci states that the square root of 3359 rods minus 16 2 3 inches or 3359 16 2 3 / 108 is 58 rods minus 4 4 5 inches. Let N = 3359 16 2 3 / 108 , the for a = N + 1 = 58 the correction in inches is 108 a 2 N 2 a = 835 174 = 4 + 139 174 4 + 140 175 = 4 4 5 .
  • Ref. [10] (p. 159, §203) [24] (p. 93): Fibonacci gives 41,472 a little less than 203 2 3 . Choose N = 414,720 and a = N + 1 = 204 . The correction term will be a 2 N 2 a = 144 408 = 6 17 a little larger than 1 3 so the new iterate 204 1 3 will be a little less than the square root of N.
  • Ref. [10] (p. 170, §233), [24] (p. 104), [32] (Folie 84r), and [23] (Folie 64r): Fibonacci gives 432 approximately 20 rods 4 feet and 12 3 4 inches. A possible derivation is a = 432 + 1 = 21 . Then r = 9 and the square root is a little less than 21 9 2 · 21 = 20 11 14 rods. But 11 14 rods is 84 6 7 inches or 4 feet and 12 6 7 inches or approximately 12 3 4 inches.
  • Ref. [10] (p. 172, §203): Fibonacci gives 320 a little less than 18 1 9 . Choose N = 320 and a = N + 1 = 18 . The correction term will be a 2 n 2 a = 4 2 · 18 = 1 9 , so 18 1 9 is a little larger than 320 .
  • Ref. [10] (p. 197, §16) [24] (p. 118): 686 14 is a little less than 12 1 5 . Let N = 686 , and a = 686 = 26 then the correction is N a 2 2 a = 10 2 · 26 < 10 2 · 25 = 1 5 .
  • Ref. [10] (p. 293, §27) [24] (p. 169) [23] (Folie 107v): Fibonacci writes that 41,472 is a bit more than 203 3 5 but less than an additional 1 20 and larger than an additional 1 21 . To see the first part consider for a = 203 3 5 the remainder will be 19 1 25 and the correction is
    19 1 25 2 · 203 3 5 < 20 2 · 200 = 1 20
    which added to 203 3 5 will be an upper bound on the square root of 41,472. A lower bound will be with the addition of 1 22 (and not 1 21 ).
  • Ref. [10] (p. 384, §28*) [24] (p. 222): A curiosity of this last example is the use of sexagesimal numbers. In the comments, Hughes questions whether this part is Fibonacci’s work or that of another [10] (p. 363). Further, there is some confusion on the actual numerical values. The integer part of the square root of 4444 4 9 · 533 1 3 = 2,370,370 10 27 is 1539 and the fractional part in sexagesimal digits is given as 26 I 2 I I 35 I I I (in minutes, seconds and thirds) [24] (p. 222). The fractional part should have been 36 I 2 I I 35 I I I , which is consistent with the remaining paragraph. The first time the integer and fraction appears in [32] (Folie 172v, 173r) and [23] (Folie 144r), it is written in the Arabic fashion 1 3 3 9 2,370,370 which in modern notation is 2,370,370 + 3 9 + 1 3 · 9 = 2,370,370 10 27 . The fractional part 10 27 using sexagesimal digits is most likely computed using a digit-by-digit method for sexagesimal computation [33].
In the introduction to the translation of Chapter 2 in De Practica Geometrie, Hughes [10] (p. 37) suggests that Fibonacci might be using
N = a 2 + r a + r 2 a + 1
for the square root. However, we do not find any indications of this. Some rounding of the final figures, like 4 / 221 4 / 220 = 1 / 55 , or rounding in the first correction is needed to reproduce the results. We observe that in the second correction the nominator 2 a 1 is most likely replaced by 2 a in some of the cases. Further, it is probably that Fibonacci used (9) and (10), and (12) also for rational N and a in De Practica Geometrie. However, such explicit use is not in the sources of De Practica Geometrie.

4. Concluding Remarks

In this paper we have shown that the verbal description of the method in computing the integer part of the square root of a natural number in Fibonacci’s Liber Abaci and De Practica Geometrie is the same for all worked out examples except for the approximation to the upper bound on the final digit in the root. Further, we show that computing the fractional part is uniquely described and uses the results from the computation of the integer part in the worked out examples in Liber Abaci. All other use of numerical approximations of the fractional part in Liber Abaci and De Practica Geometrie of the square root can be traced to the same method as described in Liber Abaci.

Funding

This research received no external funding.

Data Availability Statement

No new data were created or analyzed in this study.

Acknowledgments

The author thanks the anonymous referees for their helpful comments that improved the quality of the manuscript.

Conflicts of Interest

The author declares no conflict of interest.

References

  1. Drozdyuk, A.; Drozdyuk, D. Fibonacci, His Numbers and His Rabbits; Choven Publishing: Toronto, ON, USA, 2010. [Google Scholar]
  2. Cardano, G. Practica Arithmetice, et Mensurandi Singularis; J.A. Castellioneus for B. Caluscus: Milan, Italy, 1539. [Google Scholar]
  3. Rivolo, M.; Simi, A. Il Calcolo delle Radici Quadrate e Cubiche in Italia da Fibonacci a Bombelli. Arch. Hist. Exact Sci. 1998, 52, 161–193. [Google Scholar] [CrossRef]
  4. Viète, F. De Numerosa Potestatum ad Exegesim Resolutione; Excudebat David Le Clerc: Paris, France, 1600. [Google Scholar]
  5. Viète, F. Opera Mathematica; van Schooten, F., Ed.; Elsevier: Leiden, The Netherlands, 1646. [Google Scholar]
  6. Horner, W.G. A new method of solving numerical equations of all orders, by continuous approximation. Philos. Trans. 1819, 109, 308–335. [Google Scholar] [CrossRef]
  7. Lüneburg, H. 1202–2002: Fibonacci’s Liber Abbaci. MAA Focus 2002, 22, 6–7. [Google Scholar]
  8. Lüneburg, H. Leonardi Pisani Liber Abbaci, oder Lesevergnügen eines Mathematikers, 2nd ed.; BI-Wissenschaftsverlag: Mannheim, Germany, 1993. [Google Scholar]
  9. Datta, B.; Singh, A.N. History of Hindu Mathematics I. Numeral Notation and Arithmetic; Motilal Banarsi Das: Lahore, Pakistan, 1935. [Google Scholar]
  10. Hughes, B. (Ed.) Fibonacci’s De Practica Geometrie; Sources and Studies in the History of Mathematics and Physical Sciences; Springer: New York, NY, USA, 2008. [Google Scholar] [CrossRef]
  11. Suter, H. Über das Rechenbuch des Ali ben Ahmed el-Nasawi. Bibl. Math. 1906, 7, 113–119. [Google Scholar]
  12. Vogel, K. Fibonacci, Leonardo, or Leonardo of Pisa. In Dictionary of Scientific Biography; Gillespie, C.C., Ed.; Charles Scribner’s Sons: New York, NY, USA, 1971; Volume IV, pp. 604–613. [Google Scholar]
  13. Sigler, L. Fibonacci’s Liber Abaci: A Translation into Modern English of Leonardo Pisano’s Book of Calculation; Sources and Studies in the History of Mathematics and Physical Sciences; Springer: New York, NY, USA, 2002. [Google Scholar] [CrossRef]
  14. Devlin, K. Recreational mathematics in Leonardo of Pisa’s LIBER ABBACI. In Proceedings of the Recreational Mathematics Colloquium II, Évora, Brazil, 27–30 April 2011; pp. 67–78. [Google Scholar]
  15. Cantor, M. Vorlesungen über Geschichte der Mathematik, 2nd ed.; Zweiter Band; Teubner: Leibzig, Germany, 1900. [Google Scholar]
  16. Hannah, J. Conventions for recreational problems in Fibonacci’s Liber Abbaci. Arch. Hist. Exact Sci. 2011, 65, 155–180. [Google Scholar] [CrossRef]
  17. Caldarola, F.; d’Atri, G.; Maiolo, M.; Pirillo, G. New algebraic and geometric constructs arising from Fibonacci numbers. Soft Comput. 2020, 24, 17497–17508. [Google Scholar] [CrossRef]
  18. Cook, C.K. Author and Title Index for The Fibonacci Quarterly. Fibonacci Q. 1993, 31, 40. [Google Scholar]
  19. Steihaug, T. Annotated square root computation in Liber Abaci and De Practica Geometrie by Fibonacci. arXiv 2024, arXiv:2401.12016. [Google Scholar] [CrossRef]
  20. Morgan, A.D. Notices of the progress of the problem of evolution. In The Companion to the Almanac; Charles Knight & Co.: London, UK, 1839; pp. 34–52. [Google Scholar]
  21. Fuller, A.T. Horner versus Holdred: An Episode in the History of Root Computation. Hist. Math. 1999, 26, 29–51. [Google Scholar] [CrossRef]
  22. Ball, N. Getting to the Root of the Problem: An Introduction to Fibonacci’s Method of Finding Square Roots of Integers. Lucerna. A Univ. Mo.-Kans. City Undergrad. Res. J. Present. Honor. Program 2010, 5, 53–71. Available online: https://hdl.handle.net/10355/8617 (accessed on 10 February 2024).
  23. Fibonacci, L.P. Practica geometriae. MS. Urb. lat. 292, Biblioteca Apostolica Vaticana, Città del Vaticano, Sec. XV. Available online: https://digi.vatlib.it/view/MSS_Urb.lat.292 (accessed on 10 February 2024).
  24. Boncompagni, B. Scritti di Leonardo Pisano, matematico del secolo decimoterzo. Leonardi Pisani Pr. Geom. Opuscoli 1862, 2, 1–224. [Google Scholar]
  25. Boncompagni, B. Scritti di Leonardo Pisano, matematico del secolo decimoterzo. Liber Abbaci Leonardo Pisano 1857, 1, 1–459. [Google Scholar]
  26. Giusti, E.; d’Alessandro, P. Leonardo Bigolli Pisani vulgo Fibonacci, Liber Abbaci; Olschki, L.S., Ed.; Biblioteca di Nuncius: Firenze, Italy, 2020. [Google Scholar]
  27. Fibonacci, L.P. Liber Abbaci. MS. BNCF, Magliabechiano XI.21, Biblioteca Nazionale Centrale di Firenze, Firenze, Sec. XIV. Available online: https://archive.org/details/magliabechiano-xi.-21 (accessed on 10 February 2024).
  28. Fibonacci, L.P. Incipit liber abaci compositus a Leonardo filio Bonacii Pisano in anno MCCII. MS. BNCF, Conventi Soppressi C.I.2616, Biblioteca Nazionale Centrale di Firenze, Firenze, Sec. XIV. Available online: https://bibdig.museogalileo.it/tecanew/opera?bid=1072400 (accessed on 10 February 2024).
  29. Heath, T. A History of Greek Mathematics; Clarendon Press: Oxford, UK, 1921; Volume 2. [Google Scholar]
  30. Glushkov, S. On approximation methods of Leonardo Fibonacci. Hist. Math. 1976, 3, 291–296. [Google Scholar] [CrossRef][Green Version]
  31. Høyrup, J. Peeping into Fibonacci’s Study Room. Ganita Bharati 2021, 43, 1–70. [Google Scholar]
  32. Fibonacci, L.P. Practica geometriae. MS. Urb. lat. 259, Biblioteca Apostolica Vaticana, Città del Vaticano, Sec. XVII. Available online: https://digi.vatlib.it/view/MSS_Urb.lat.259 (accessed on 10 February 2024).
  33. Steihaug, T. Fibonacci and Digit by Digit Computation; An Example of Reverse Engineering in Computational Mathematicsi. arXiv 2022. [Google Scholar] [CrossRef]
Figure 1. Notation used in Hughes [10] to illustrate computing the square root of 864.
Figure 1. Notation used in Hughes [10] to illustrate computing the square root of 864.
Mathematics 12 00889 g001
Figure 2. The actual computation of 864 .
Figure 2. The actual computation of 864 .
Mathematics 12 00889 g002
Figure 3. To the left, notation used in this paper, and [19,22] and to the right, illustration from MS [23] (Folie 12r).
Figure 3. To the left, notation used in this paper, and [19,22] and to the right, illustration from MS [23] (Folie 12r).
Mathematics 12 00889 g003
Figure 4. Use of Fibonacci’s method for 9274 .
Figure 4. Use of Fibonacci’s method for 9274 .
Mathematics 12 00889 g004
Figure 5. Fibonacci’s example for 927,435 from Liber Abaci.
Figure 5. Fibonacci’s example for 927,435 from Liber Abaci.
Mathematics 12 00889 g005
Table 1. Summary of the computation of the integer part of the square root.
Table 1. Summary of the computation of the integer part of the square root.
Nna n a 2 Equation α 0 N ( 10 a + α 0 ) 2
743723(2), (4)714
87548796(4)3105
12,345123112(4)124
927,43592749658(4)366
72347288(4)59
153110(4)29
864824(6), (4)923
960930(4)060
12341233(6)59
614261712(2)858
81728190(2)072
12,345123112(2)124
98,7659873126(7)4169
123,4561234359(7)1255
987,65498769975Explicit31605
9,876,54398,765314169(8)24379
Table 2. Computing the fractional part of the square root.
Table 2. Computing the fractional part of the square root.
N a = N r r 2 a a 1 r 1 r 1 2 a 1
1031 1 6 3 1 6 1 36 1 228
7432714 7 27 27 7 27
875493105 35 62 93 35 62
12,34511124 4 37 111 4 37
927,43596366 11 321 963 11 321 11 321 2 11 321 2 2 · 963 11 321
Disclaimer/Publisher’s Note: The statements, opinions and data contained in all publications are solely those of the individual author(s) and contributor(s) and not of MDPI and/or the editor(s). MDPI and/or the editor(s) disclaim responsibility for any injury to people or property resulting from any ideas, methods, instructions or products referred to in the content.

Share and Cite

MDPI and ACS Style

Steihaug, T. On the Square Root Computation in Liber Abaci and De Practica Geometrie by Fibonacci. Mathematics 2024, 12, 889. https://doi.org/10.3390/math12060889

AMA Style

Steihaug T. On the Square Root Computation in Liber Abaci and De Practica Geometrie by Fibonacci. Mathematics. 2024; 12(6):889. https://doi.org/10.3390/math12060889

Chicago/Turabian Style

Steihaug, Trond. 2024. "On the Square Root Computation in Liber Abaci and De Practica Geometrie by Fibonacci" Mathematics 12, no. 6: 889. https://doi.org/10.3390/math12060889

APA Style

Steihaug, T. (2024). On the Square Root Computation in Liber Abaci and De Practica Geometrie by Fibonacci. Mathematics, 12(6), 889. https://doi.org/10.3390/math12060889

Note that from the first issue of 2016, this journal uses article numbers instead of page numbers. See further details here.

Article Metrics

Back to TopTop