Fine-Tuned Cardiovascular Risk Assessment: Locally Weighted Salp Swarm Algorithm in Global Optimization
Abstract
1. Introduction
- This research introduces the Locally Weighted Salp Swarm Algorithm (LWSSA), an enhancement of the Salp Swarm Algorithm (SSA), which combines two mechanisms to mitigate issues like slow convergence and local optima.
- The LWSSA introduces a new Local Search (LS) Algorithm known as the “Locally Weighted approach” that guides the search process toward promising local regions, improving search efficiency by iteratively probing and refining high-quality solutions. This local search strategy is employed to refine individual solutions after each iteration of the optimization process.
- The LWSSA incorporates a mutation operator to inject randomness into the search process, enhancing its ability to escape local optima and explore the solution space more effectively.
- This research extends its contributions to practical applications by evaluating the LWSSA-XGBoost model for cardiovascular disease (CVD) risk assessment, showcasing its superior predictive performance.
2. Related Work
- For more accurate fine-tuning of solutions, the Salp Swarm Algorithm (SSA) incorporates the locally weighted approach as a local search tool. The method is able to better solve difficult optimization problems and converge more quickly because of the concentrated exploration.
- The implementation of the mutation scheme within the SSA adds an extra layer of randomness to the Salps, which in turn improves the latter’s capacity for conducting global searches. This helps to diversify the exploration process, which enables the algorithm to break free from local optimal solutions and investigate a wider range of possible solutions.
- The performance of the SSA’s global search is improved thanks to the synergistic effect of the combination of the locally weighted technique and the mutation scheme. The method is made more robust and successful in tackling difficult optimization problems with multiple local optima as a result of the integration of both strategies.
3. Preliminaries
Principles of Salp Swarm Optimization (SSA)
4. Proposed Algorithm
4.1. Locally Weighted Approach ()
4.2. Update Salp Followers’ Position
| Algorithm 1: The developed Locally Weighted Approach | 
| For i = 1: If random < 0.5: Randomly choose two positions and from Calculate for position i by Equation (6) Calculate for position i by Equation (8) Calculate the new position of particle i by Equation (7) End For | 
4.3. LWSSA Optimization Scenario
| Algorithm 2: The LWSSA | 
| Each search agent’s dimension (D), as well as its upper bound (ub) and lower bound (lb), as well as the evaluation fitness function (Fitness), as well as the maximum number of iterations (T), are input. Optimal individual (Food Location), and optimal cost function (Food Fitness) are the final results. According to Dimensions D, population size N, ub, lb, initial the Salp population. According to the fitness function, select the least costly individual in the population as the Food Fitness. while (stopping condition is not hold) compute w1 by Equation (2) for (all Salp (Salp Location)) if () then Update the location of the Salp leaders by Equation (1) else Update the Location of the followers Salp by Equation (10) if (random < 0.5) Apply (LW) technique as Algorithm (2) Compute the value of the fitness of and reported it as NewFitness if (NewFitness < Food Fitness) then Update the Food Location and Food Fitness end endend | 
5. Experimental Results and Analysis
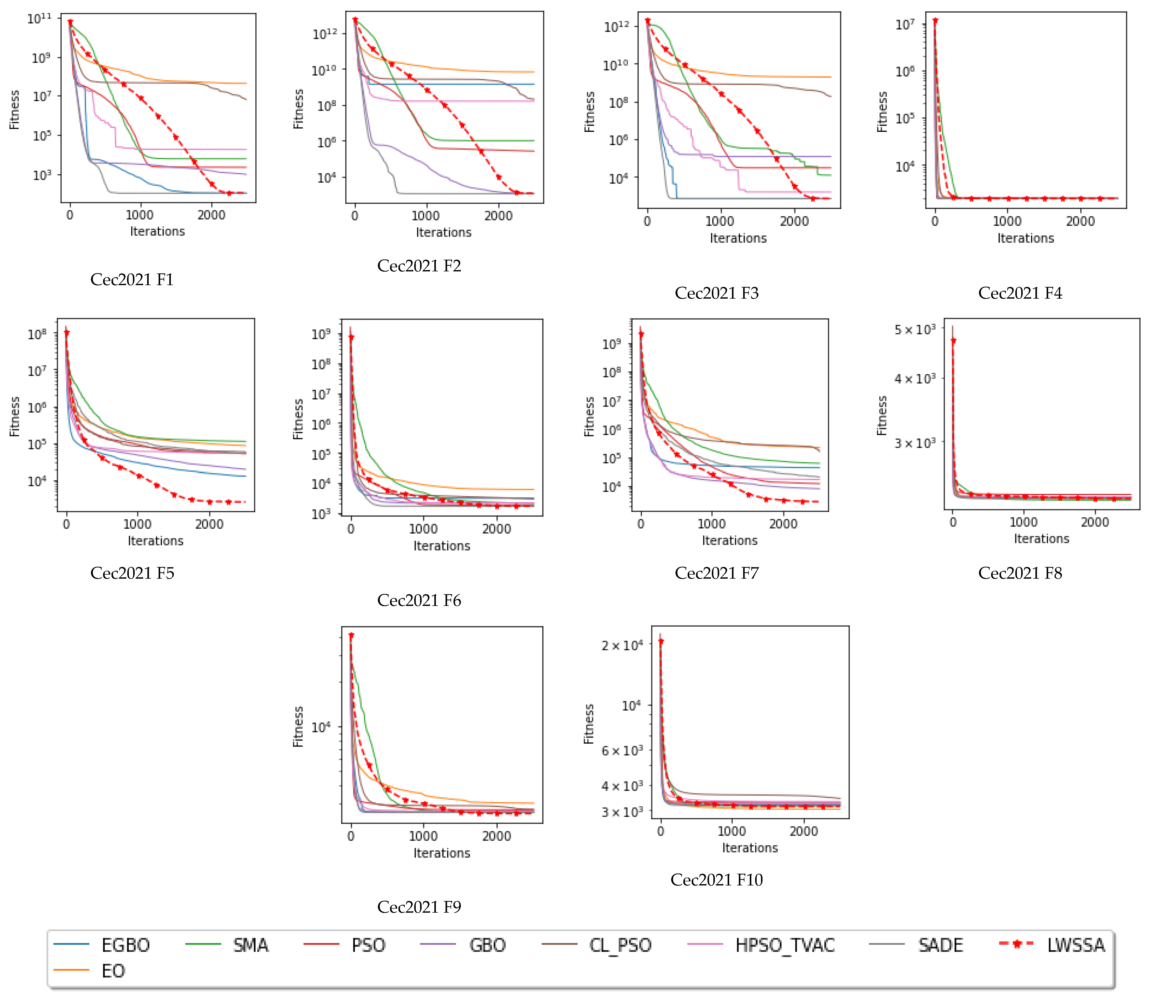
5.1. Experiment 1: Benchmark Examination for the IEEE CEC 2021
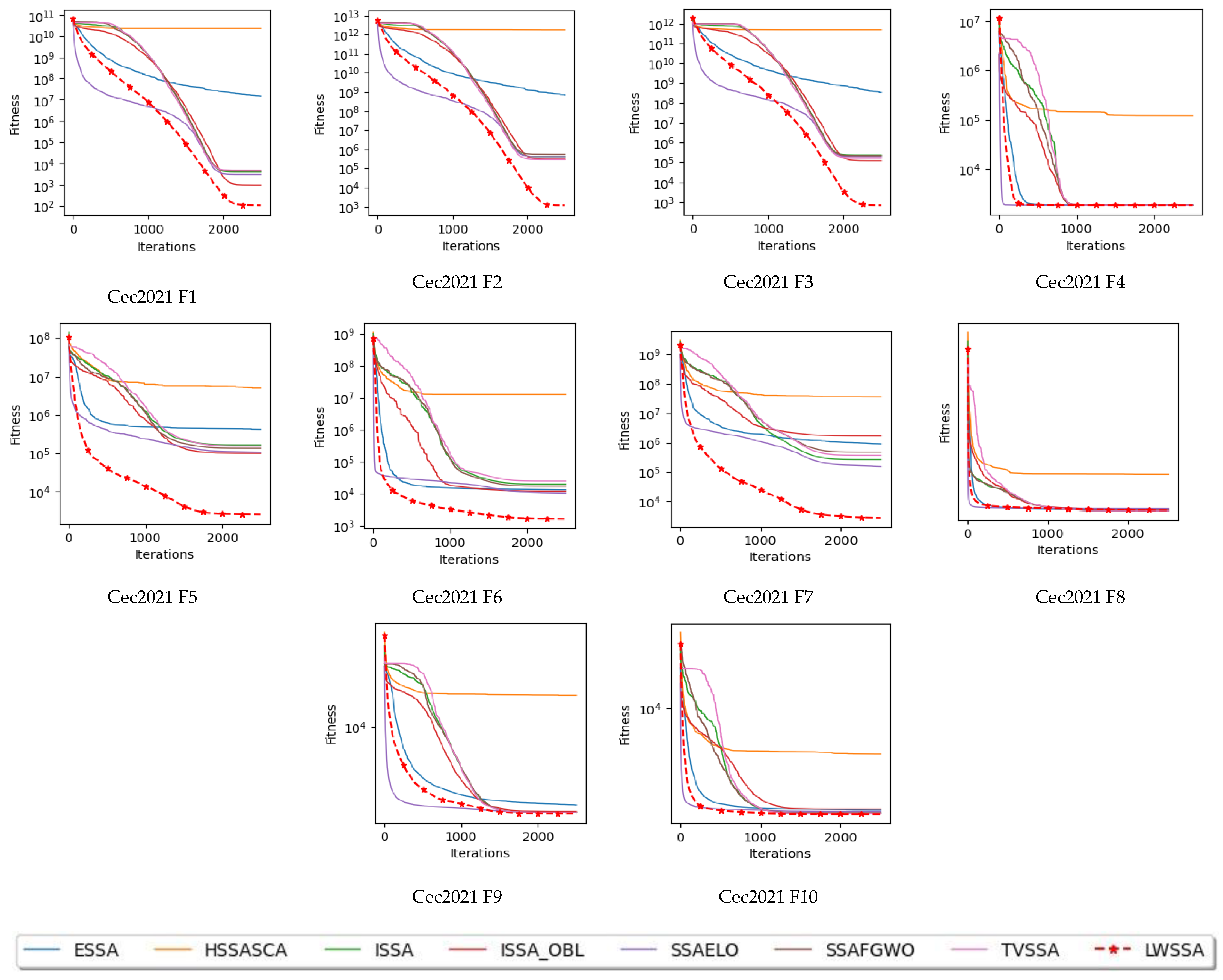
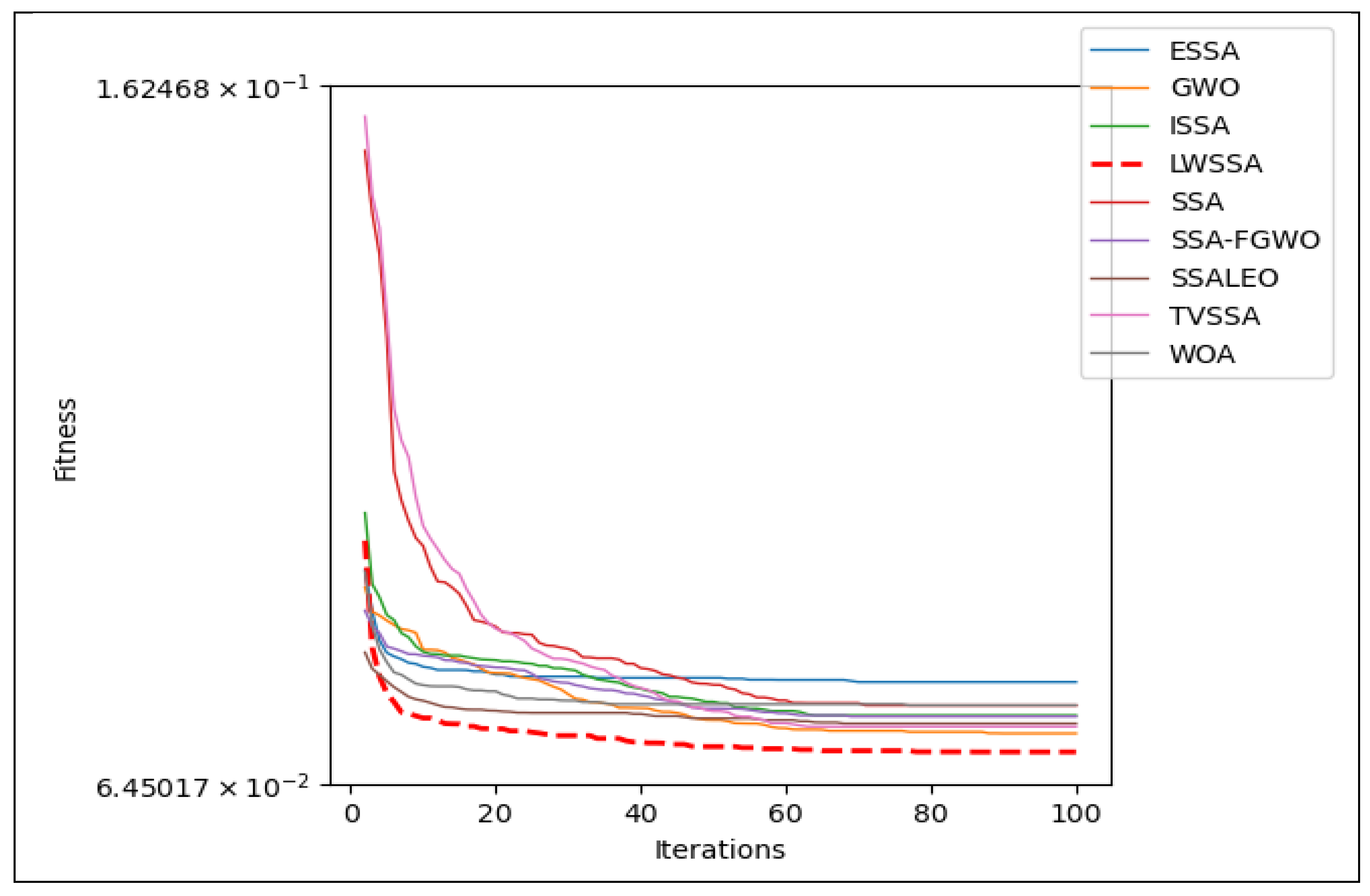
5.1.1. Comparison of LWSSA with Some SSA Variants
5.1.2. Comparison of LWSSA with State-of-the-Art Competitors
5.2. Experiment 2: Benchmark Examination for the IEEE CEC 2017
5.3. LWSSA Computation Complexity
5.4. Qualitative Analysis
5.5. Demonstrated Effectiveness
- Population Division and Dynamic Mutation:- -
- LWSSA approach: The LWSSA employs a unique population division strategy, categorizing individuals into leaders and followers. Leaders are updated using a specific equation, while followers undergo a distinct mutation strategy. This dynamic population management introduces a nuanced exploration–exploitation balance.
- -
- Contrast with existing algorithms: Unlike conventional algorithms with uniform population treatment, the LWSSA’s tailored approach enhances diversity within the population, fostering a more effective search process.
 
- Local Weight (LW) Technique:- -
- LWSSA approach: The LWSSA introduces the LW technique, functioning as a form of local search with a 50% update probability for all individuals. This technique strategically enhances solutions and determines optimal locations, providing adaptability and responsiveness to the optimization process.
- -
- Contrast with existing algorithms: Many existing algorithms lack a dedicated local search strategy. The LWSSA’s integration of the LW technique contributes to its ability to navigate the search space dynamically.
 
- Robustness and Local Minima Avoidance:- -
- LWSSA approach: The LWSSA demonstrates enhanced robustness, effectively avoiding local minima through its dynamic population strategies and local search capabilities.
- -
- Contrast with existing algorithms: Some existing algorithms may struggle in complex landscapes, leading to premature convergence to local minima. The LWSSA’s adaptability and strategic updates contribute to its robust performance.
 
- Convergence Speed and Solution Quality:- -
- LWSSA approach: The LWSSA consistently exhibits superior convergence speed, rapidly approaching optimal solutions. This can be attributed to the innovative combination of population division, mutation, and the LW technique.
- -
- Contrast with existing algorithms: While many algorithms may converge more slowly or struggle to reach high-quality solutions, the LWSSA’s distinctive techniques contribute to its efficiency in reaching optimal outcomes.
 
- Versatility and Competitive Performance:- -
- LWSSA approach: The LWSSA competes favorably against state-of-the-art Salps algorithm variants and advanced optimization algorithms, showcasing its versatility and competitiveness across diverse benchmark problems.
- -
- Contrast with existing algorithms: The LWSSA’s performance consistently outpaces existing solutions, substantiating its effectiveness in addressing a wide range of optimization challenges.
 
6. Risk Assessment Method for CVD Using LWSSA-XGBoost Model
6.1. Dataset Description
6.2. The XGBoost Method
6.3. Objective Function and LWSSA-XGBoost Parameter Settings
6.4. Methodology
6.5. Measure of Performance
6.5.1. Classification Evaluation Indicators Based on the Confusion Matrix
Accuracy
Precision
Recall
F1 Score
6.5.2. ROC Area and AUC Area
6.6. Analysis and Outcomes
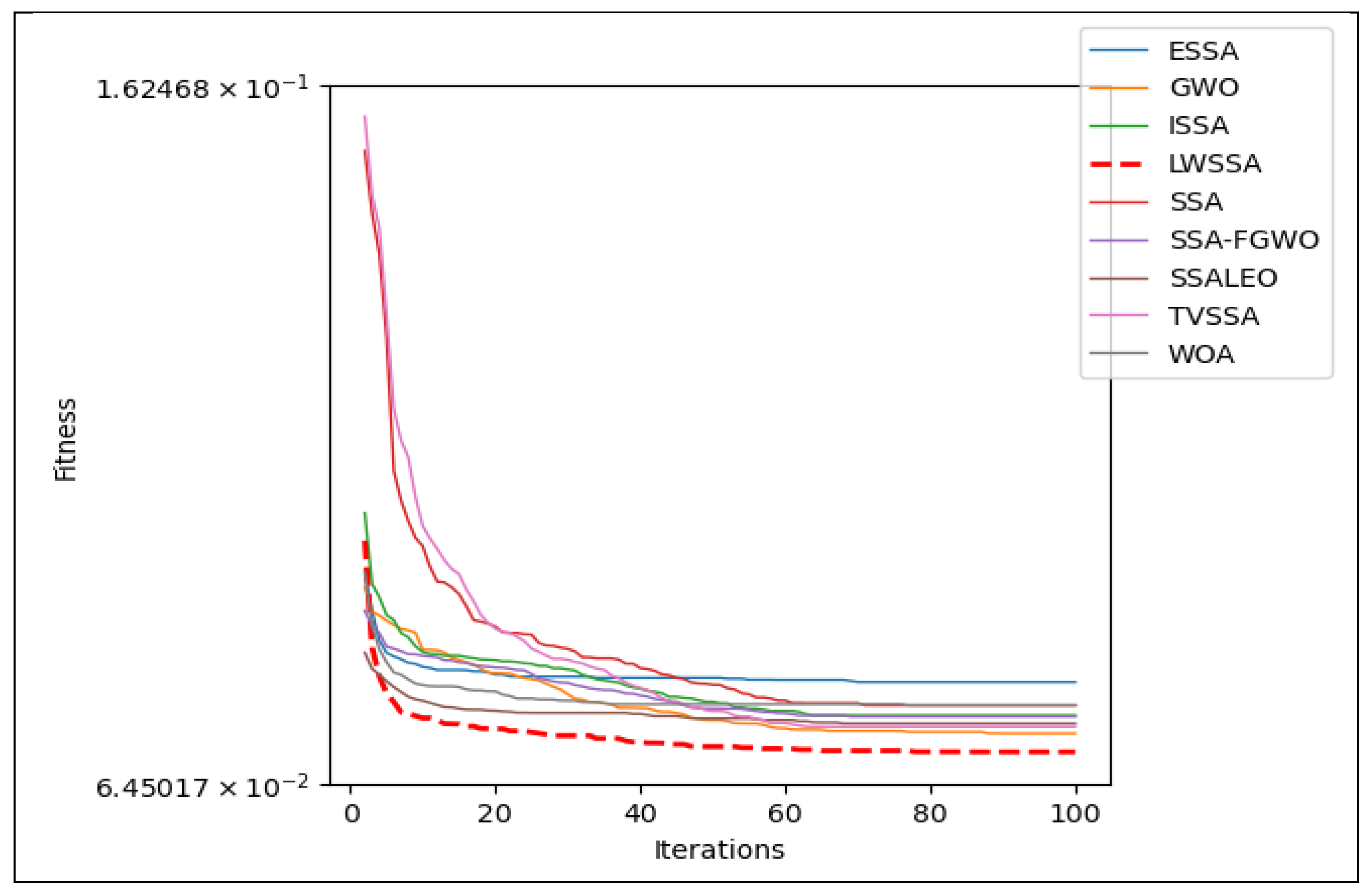
6.6.1. Comparison with Most Advanced Optimization Techniques
Average Run Time
6.6.2. Comparing to ML Models Currently Used
6.6.3. Evaluation of LWSSA Algorithm with Various Kinds of Datasets
| ID | Dataset Name | No. Classes | No. Attributes | No. of Samples | 
|---|---|---|---|---|
| DS1 | Zoo | 7 | 16 | 101 | 
| DS2 | Wine | 3 | 13 | 178 | 
| DS3 | Heart | 2 | 13 | 270 | 
| DS4 | Vehicle | 4 | 18 | 846 | 
| DS5 | Breastcancer | 2 | 9 | 699 | 
| DS6 | Soybean small | 4 | 35 | 47 | 
| DS7 | Spambase | 2 | 57 | 4601 | 
| DS8 | Dermatology | 6 | 34 | 366 | 
| DS9 | fri_c0_500_10 | 2 | 10 | 500 | 
| DS10 | fri_c0_1000_10 | 2 | 10 | 1000 | 
| DS11 | fri_c1_1000_10 | 2 | 10 | 1000 | 
| DS12 | Pc1 | 2 | 21 | 1109 | 
| DS13 | stock | 2 | 9 | 950 | 
| DS14 | CLEAN | 2 | 166 | 476 | 
| DS15 | Semeion | 10 | 256 | 1593 | 
| DS16 | Waveform | 3 | 40 | 5000 | 
Test Accuracy and Precision Analysis
| ID | GWO-XGBoost | ISSA-XGBoost | ESSA-XGBoost | TVSSA-XGBoost | SSA-XGBoost | WOA-XGBoost | SSALEO-XGBoost | LWSSA-XGBoost | ||||||||
|---|---|---|---|---|---|---|---|---|---|---|---|---|---|---|---|---|
| Acc. | Preci. | Acc. | Preci. | Acc. | Preci. | Acc. | Preci. | Acc. | Preci. | Acc. | Preci. | Acc. | Preci. | Acc. | Preci. | |
| DS1 | 1.000 | 1.000 | 1.000 | 1.000 | 0.964 | 0.905 | 1.000 | 1.000 | 0.876 | 0.811 | 1.000 | 1.000 | 1.000 | 1.000 | 1.000 | 1.000 | 
| DS2 | 1.000 | 1.000 | 1.000 | 1.000 | 0.994 | 0.995 | 1.000 | 1.000 | 1.000 | 1.000 | 1.000 | 1.000 | 1.000 | 1.000 | 1.000 | 1.000 | 
| DS3 | 0.877 | 0.876 | 0.888 | 0.887 | 0.852 | 0.854 | 0.885 | 0.884 | 0.840 | 0.813 | 0.870 | 0.871 | 0.884 | 0.883 | 0.889 | 0.888 | 
| DS4 | 0.820 | 0.820 | 0.816 | 0.816 | 0.791 | 0.785 | 0.813 | 0.814 | 0.805 | 0.804 | 0.808 | 0.808 | 0.819 | 0.820 | 0.826 | 0.826 | 
| DS5 | 0.970 | 0.963 | 0.971 | 0.964 | 0.965 | 0.959 | 0.971 | 0.964 | 0.968 | 0.962 | 0.969 | 0.962 | 0.972 | 0.965 | 0.971 | 0.964 | 
| DS6 | 1.000 | 1.000 | 1.000 | 1.000 | 1.000 | 1.000 | 1.000 | 1.000 | 0.940 | 0.910 | 1.000 | 1.000 | 1.000 | 1.000 | 1.000 | 1.000 | 
| DS7 | 0.958 | 0.956 | 0.956 | 0.954 | 0.950 | 0.949 | 0.956 | 0.954 | 0.955 | 0.953 | 0.956 | 0.954 | 0.957 | 0.956 | 0.958 | 0.955 | 
| DS8 | 0.987 | 0.987 | 0.991 | 0.990 | 0.989 | 0.989 | 0.984 | 0.983 | 0.973 | 0.971 | 0.986 | 0.985 | 0.994 | 0.993 | 0.989 | 0.989 | 
| DS9 | 0.964 | 0.957 | 0.959 | 0.959 | 0.901 | 0.901 | 0.954 | 0.954 | 0.946 | 0.946 | 0.949 | 0.949 | 0.960 | 0.960 | 0.974 | 0.964 | 
| DS10 | 0.903 | 0.901 | 0.897 | 0.897 | 0.883 | 0.883 | 0.897 | 0.897 | 0.892 | 0.893 | 0.895 | 0.895 | 0.902 | 0.902 | 0.904 | 0.904 | 
| DS11 | 0.957 | 0.955 | 0.954 | 0.953 | 0.945 | 0.944 | 0.954 | 0.953 | 0.950 | 0.949 | 0.954 | 0.952 | 0.959 | 0.958 | 0.961 | 0.959 | 
| DS12 | 0.959 | 0.873 | 0.959 | 0.883 | 0.948 | 0.760 | 0.959 | 0.892 | 0.955 | 0.864 | 0.957 | 0.876 | 0.959 | 0.878 | 0.961 | 0.886 | 
| DS13 | 0.988 | 0.988 | 0.988 | 0.988 | 0.968 | 0.968 | 0.989 | 0.989 | 0.976 | 0.976 | 0.987 | 0.987 | 0.990 | 0.990 | 0.991 | 0.991 | 
| DS14 | 0.969 | 0.970 | 0.969 | 0.970 | 0.965 | 0.967 | 0.969 | 0.970 | 0.967 | 0.968 | 0.967 | 0.967 | 0.969 | 0.970 | 0.970 | 0.970 | 
| DS15 | 0.972 | 0.974 | 0.973 | 0.975 | 0.967 | 0.968 | 0.958 | 0.961 | 0.957 | 0.960 | 0.959 | 0.962 | 0.962 | 0.964 | 0.974 | 0.976 | 
| DS16 | 0.872 | 0.872 | 0.868 | 0.868 | 0.869 | 0.870 | 0.867 | 0.867 | 0.869 | 0.870 | 0.867 | 0.868 | 0.872 | 0.872 | 0.876 | 0.876 | 
Recall, Precision, F1 Score, and AUC Analysis
| ID | GWO-XGBoost | ISSA-XGBoost | ESSA-XGBoost | TVSSA-XGBoost | SSA-XGBoost | WOA-XGBoost | SSALEO-XGBoost | LWSSA-XGBoost | ||||||||
|---|---|---|---|---|---|---|---|---|---|---|---|---|---|---|---|---|
| Recall | F1 Score | Recall | F1 Score | Recall | F1 Score | Recall | F1 Score | Recall | F1 Score | Recall | F1 Score | Recall | F1 Score | Recall | F1 Score | |
| DS1 | 1.000 | 1.000 | 1.000 | 1.000 | 0.911 | 0.907 | 1.000 | 1.000 | 0.829 | 0.816 | 1.000 | 1.000 | 1.000 | 1.000 | 1.000 | 1.000 | 
| DS2 | 1.000 | 1.000 | 1.000 | 1.000 | 0.995 | 0.995 | 1.000 | 1.000 | 1.000 | 1.000 | 1.000 | 1.000 | 1.000 | 1.000 | 1.000 | 1.000 | 
| DS3 | 0.879 | 0.876 | 0.887 | 0.887 | 0.858 | 0.852 | 0.885 | 0.884 | 0.837 | 0.819 | 0.873 | 0.870 | 0.885 | 0.883 | 0.888 | 0.888 | 
| DS4 | 0.821 | 0.819 | 0.817 | 0.816 | 0.793 | 0.784 | 0.814 | 0.812 | 0.806 | 0.804 | 0.809 | 0.807 | 0.820 | 0.819 | 0.827 | 0.826 | 
| DS5 | 0.972 | 0.967 | 0.973 | 0.968 | 0.964 | 0.961 | 0.972 | 0.968 | 0.968 | 0.965 | 0.970 | 0.966 | 0.974 | 0.969 | 0.973 | 0.968 | 
| DS6 | 1.000 | 1.000 | 1.000 | 1.000 | 1.000 | 1.000 | 1.000 | 1.000 | 0.925 | 0.914 | 1.000 | 1.000 | 1.000 | 1.000 | 1.000 | 1.000 | 
| DS7 | 0.954 | 0.955 | 0.953 | 0.954 | 0.946 | 0.948 | 0.954 | 0.954 | 0.952 | 0.952 | 0.953 | 0.953 | 0.955 | 0.955 | 0.955 | 0.956 | 
| DS8 | 0.985 | 0.985 | 0.989 | 0.989 | 0.986 | 0.987 | 0.981 | 0.982 | 0.971 | 0.970 | 0.986 | 0.985 | 0.993 | 0.993 | 0.986 | 0.988 | 
| DS9 | 0.958 | 0.957 | 0.959 | 0.958 | 0.901 | 0.900 | 0.954 | 0.953 | 0.946 | 0.945 | 0.950 | 0.949 | 0.961 | 0.960 | 0.961 | 0.963 | 
| DS10 | 0.901 | 0.900 | 0.897 | 0.897 | 0.883 | 0.883 | 0.897 | 0.897 | 0.892 | 0.892 | 0.895 | 0.895 | 0.902 | 0.902 | 0.907 | 0.903 | 
| DS11 | 0.957 | 0.956 | 0.955 | 0.954 | 0.944 | 0.944 | 0.954 | 0.953 | 0.951 | 0.950 | 0.953 | 0.953 | 0.960 | 0.959 | 0.961 | 0.960 | 
| DS12 | 0.772 | 0.813 | 0.765 | 0.810 | 0.644 | 0.676 | 0.757 | 0.806 | 0.736 | 0.782 | 0.754 | 0.799 | 0.763 | 0.807 | 0.776 | 0.820 | 
| DS13 | 0.988 | 0.988 | 0.988 | 0.988 | 0.968 | 0.968 | 0.989 | 0.989 | 0.976 | 0.976 | 0.987 | 0.987 | 0.990 | 0.990 | 0.991 | 0.991 | 
| DS14 | 0.967 | 0.968 | 0.968 | 0.969 | 0.963 | 0.964 | 0.967 | 0.968 | 0.965 | 0.967 | 0.965 | 0.966 | 0.968 | 0.969 | 0.968 | 0.969 | 
| DS15 | 0.972 | 0.972 | 0.973 | 0.973 | 0.967 | 0.967 | 0.959 | 0.959 | 0.957 | 0.957 | 0.960 | 0.960 | 0.962 | 0.962 | 0.974 | 0.975 | 
| DS16 | 0.872 | 0.871 | 0.868 | 0.868 | 0.869 | 0.868 | 0.867 | 0.867 | 0.870 | 0.869 | 0.867 | 0.867 | 0.872 | 0.872 | 0.877 | 0.876 | 
| ID | GWO-XGBoost | ISSA-XGBoost | ESSA-XGBoost | TVSSA-XGBoost | SSA-XGBoost | WOA-XGBoost | SSALEO-XGBoost | LWSSA-XGBoost | ||||||||
|---|---|---|---|---|---|---|---|---|---|---|---|---|---|---|---|---|
| Fitness | AUC. | Fitness | AUC. | Fitness | AUC. | Fitness | AUC. | Fitness | AUC. | Fitness | AUC. | Fitness | AUC. | Fitness | AUC. | |
| DS1 | 0.0000 | 1.000 | 0.0000 | 1.000 | 0.0933 | 0.999 | 0.0000 | 0.998 | 0.1842 | 0.898 | 0.0000 | 1.000 | 0.0000 | 1.000 | 0.0000 | 1.000 | 
| DS2 | 0.0000 | 1.000 | 0.0000 | 1.000 | 0.0051 | 0.999 | 0.0000 | 1.000 | 0.0000 | 1.000 | 0.0000 | 1.000 | 0.0000 | 1.000 | 0.0000 | 1.000 | 
| DS3 | 0.1240 | 0.879 | 0.1134 | 0.887 | 0.1484 | 0.858 | 0.1160 | 0.885 | 0.1807 | 0.837 | 0.1304 | 0.873 | 0.1167 | 0.885 | 0.1125 | 0.888 | 
| DS4 | 0.1809 | 0.936 | 0.1841 | 0.938 | 0.2165 | 0.927 | 0.1876 | 0.936 | 0.1958 | 0.935 | 0.1932 | 0.934 | 0.1814 | 0.938 | 0.1745 | 0.938 | 
| DS5 | 0.0329 | 0.972 | 0.0318 | 0.973 | 0.0386 | 0.964 | 0.0322 | 0.972 | 0.0350 | 0.968 | 0.0341 | 0.970 | 0.0310 | 0.974 | 0.0318 | 0.973 | 
| DS6 | 0.0000 | 1.000 | 0.0000 | 1.000 | 0.0000 | 1.000 | 0.0000 | 1.000 | 0.0857 | 0.950 | 0.0000 | 1.000 | 0.0000 | 1.000 | 0.0000 | 1.000 | 
| DS7 | 0.0444 | 0.955 | 0.0463 | 0.953 | 0.0523 | 0.946 | 0.0460 | 0.954 | 0.0476 | 0.952 | 0.0465 | 0.953 | 0.0446 | 0.955 | 0.0452 | 0.954 | 
| DS8 | 0.0145 | 0.998 | 0.0107 | 0.998 | 0.0131 | 0.997 | 0.0184 | 0.998 | 0.0297 | 0.997 | 0.0152 | 0.998 | 0.0069 | 0.998 | 0.0123 | 0.998 | 
| DS9 | 0.0430 | 0.958 | 0.0415 | 0.959 | 0.0995 | 0.901 | 0.0465 | 0.954 | 0.0545 | 0.946 | 0.0510 | 0.950 | 0.0400 | 0.961 | 0.0365 | 0.964 | 
| DS10 | 0.0995 | 0.901 | 0.1033 | 0.897 | 0.1173 | 0.883 | 0.1030 | 0.897 | 0.1078 | 0.892 | 0.1048 | 0.895 | 0.0978 | 0.902 | 0.0968 | 0.903 | 
| DS11 | 0.0439 | 0.957 | 0.0464 | 0.955 | 0.0562 | 0.944 | 0.0467 | 0.954 | 0.0505 | 0.951 | 0.0472 | 0.953 | 0.0414 | 0.960 | 0.0401 | 0.961 | 
| DS12 | 0.1873 | 0.772 | 0.1899 | 0.765 | 0.3240 | 0.644 | 0.1944 | 0.757 | 0.2179 | 0.736 | 0.2006 | 0.754 | 0.1928 | 0.763 | 0.1803 | 0.776 | 
| DS13 | 0.0121 | 0.988 | 0.0119 | 0.988 | 0.0321 | 0.968 | 0.0113 | 0.989 | 0.0242 | 0.976 | 0.0134 | 0.987 | 0.0097 | 0.990 | 0.0087 | 0.991 | 
| DS14 | 0.0318 | 0.967 | 0.0313 | 0.968 | 0.0356 | 0.963 | 0.0318 | 0.967 | 0.0334 | 0.965 | 0.0340 | 0.965 | 0.0313 | 0.968 | 0.0308 | 0.968 | 
| DS15 | 0.0276 | 0.998 | 0.0269 | 0.997 | 0.0332 | 0.997 | 0.0412 | 0.996 | 0.0428 | 0.997 | 0.0403 | 0.996 | 0.0377 | 0.997 | 0.0255 | 0.998 | 
| DS16 | 0.1286 | 0.973 | 0.1319 | 0.970 | 0.1318 | 0.973 | 0.1333 | 0.974 | 0.1308 | 0.973 | 0.1329 | 0.972 | 0.1284 | 0.974 | 0.1237 | 0.974 | 
7. Problematic Constraints and Difficulties
- Computational Overhead: Because of the increased complexity of the optimization process, the locally weighted technique and the mutation strategy could result in the introduction of additional computing overhead. This could result in a greater amount of processing time compared to some of the simpler forms of the Salp Swarm Algorithm, depending on the size of the problem and the number of iterations.
- Parameter Tuning: The success of the strategy that has been suggested is strongly dependent on the accurate tuning of parameters linked to the locally weighted strategy and the mutation scheme. Finding the ideal values for the parameters may need additional work and trial and error, particularly when dealing with a variety of distinct optimization situations.
- Sensitivity to Problem Characteristics: In the same way that the performance of any algorithm can be affected by the specifics of the optimization problems it is applied to, the performance of the suggested approach could be susceptible to those features. It is very useful in some circumstances, but its usefulness may vary depending on the nature of the problem and the structure it has.
- Comparative Performance: Comprehensive comparative studies are required so that an in-depth evaluation may be carried out to determine whether or not the proposed method is preferable to the various other Salp Swarm versions. This requires testing the algorithm on a wide variety of benchmark issues and contrasting its results with those of previously developed variants of the Salp Swarm Algorithm as well as other cutting-edge optimization strategies.
8. Conclusions and Future Work
Author Contributions
Funding
Data Availability Statement
Acknowledgments
Conflicts of Interest
Appendix A
Appendix A.1. Comparison of the LWSSA with Some Improved SSA Algorithms during 2500 Iterations (cec2021)
| F1 | Avg | ||||||||
| Std | |||||||||
| Med | |||||||||
| F2 | Avg | ||||||||
| Std | |||||||||
| Med | 1.345 | 1.100 | |||||||
| F3 | Avg | 2.151 | 1.692 | 7.002 | |||||
| Std | 1.499 | 2.206 | 9.574 | 1.844 | 2.304 | 2.379 | 6.716 | ||
| Med | 2.647 | 4.791 | 1.418 | 8.691 | 1.444 | 1.104 | 6.491 | 7.002 | |
| F4 | Avg | 1.909 | 1.233 | 1.904 | 1.912 | 1.904 | 1.904 | 1.904 | 1.904 | 
| Std | 4.635 | 1.719 | 1.296 | 3.376 | 1.308 | 1.516 | 1.254 | ||
| Med | 1.907 | 3.900 | 1.904 | 1.911 | 1.904 | 1.904 | 1.904 | 1.904 | |
| F5 | Avg | 4.169 | 5.002 | 1.640 | 9.883 | 1.062 | 1.350 | 1.548 | 2.555 | 
| Std | 4.740 | 5.063 | 9.887 | 7.492 | 6.638 | 9.461 | 8.765 | 5.437 | |
| Med | 3.010 | 3.666 | 1.507 | 7.715 | 9.471 | 1.042 | 1.379 | 2.456 | |
| F6 | Avg | 1.346 | 1.287 | 2.017 | 1.208 | 1.060 | 1.741 | 2.514 | 1.686 | 
| Std | 9.198 | 2.874 | 1.716 | 5.195 | 7.099 | 1.343 | 1.530 | 1.576 | |
| Med | 1.032 | 8.938 | 1.546 | 1.013 | 8.698 | 1.365 | 2.420 | 1.606 | |
| F7 | Avg | 9.040 | 3.593 | 2.653 | 1.688 | 1.561 | 4.767 | 3.723 | 2.796 | 
| Std | 9.564 | 6.567 | 1.418 | 6.874 | 6.675 | 4.554 | 3.031 | 3.971 | |
| Med | 5.997 | 1.035 | 2.114 | 1.717 | 1.435 | 3.859 | 2.905 | 2.712 | |
| F8 | Avg | 2.326 | 2.717 | 2.315 | 2.333 | 2.337 | 2.313 | 2.315 | 2.321 | 
| Std | 4.287 | 6.736 | 1.636 | 1.752 | 1.540 | 1.653 | 1.705 | 1.423 | |
| Med | 2.326 | 2.576 | 2.303 | 2.338 | 2.338 | 2.300 | 2.303 | 2.328 | |
| F9 | Avg | 2.944 | 1.631 | 2.606 | 2.662 | 2.621 | 2.600 | 2.622 | 2.567 | 
| Std | 1.498 | 3.795 | 3.427 | 1.276 | 5.598 | 4.968 | 6.926 | 4.795 | |
| Med | 2.948 | 1.678 | 2.600 | 2.600 | 2.600 | 2.600 | 2.600 | 2.600 | |
| F10 | Avg | 3.265 | 6.061 | 3.162 | 3.307 | 3.215 | 3.170 | 3.156 | 3.132 | 
| Std | 8.030 | 1.312 | 3.603 | 1.440 | 7.049 | 4.920 | 3.858 | 1.452 | |
| Med | 3.258 | 5.942 | 3.157 | 3.273 | 3.221 | 3.158 | 3.142 | 3.123 | |
| 5.879 | 7.938 | 3.886 | 4.886 | 3.779 | 3.983 | 3.852 | 1.797 | ||
| 7.000 | 8.000 | 4.000 | 6.000 | 2.000 | 5.000 | 3.000 | 1.000 | ||
| Bold denotes to the best results. | |||||||||
Appendix A.2. Wilcoxon Rank-Sum of the LWSSA vs. Some Improved SSA Algorithms on CEC2021
| Fun | |||||||
| 1 | <0.05 | <0.05 | <0.05 | <0.05 | <0.05 | <0.05 | <0.05 | 
| 2 | <0.05 | <0.05 | <0.05 | <0.05 | <0.05 | <0.05 | <0.05 | 
| 3 | <0.05 | <0.05 | <0.05 | <0.05 | <0.05 | <0.05 | <0.05 | 
| 4 | <0.05 | <0.05 | <0.05 | <0.05 | 0.15475248 | 0.61326587 | 0.3629539 | 
| 5 | <0.05 | <0.05 | <0.05 | <0.05 | <0.05 | <0.05 | <0.05 | 
| 6 | <0.05 | <0.05 | <0.05 | <0.05 | <0.05 | <0.05 | <0.05 | 
| 7 | <0.05 | <0.05 | <0.05 | <0.05 | <0.05 | <0.05 | <0.05 | 
| 8 | 0.91948423 | <0.05 | 0.22811625 | <0.05 | <0.05 | 0.05478402 | 0.23417446 | 
| 9 | <0.05 | <0.05 | 0.74987697 | <0.05 | 0.52880743 | 0.83371254 | 0.63527561 | 
| 10 | <0.05 | <0.05 | <0.05 | <0.05 | <0.05 | <0.05 | <0.05 | 
Appendix A.3. Comparison between LWSSA and Some State-of-the-Art Algorithms during 2500 Iterations (cec2021)
| GBO | EGBO | SMA | PSO | EO | SADE | CLPSO | HPSO_TVAC | LWSSA | ||
| F1 | Avg | 9.217 | 1.499 | 7.679 | 2.137 | 4.280 | 1.000 | 6.292 | 1.754 | 1.000 | 
| Std | 1.415 | 2.704 | 3.384 | 2.187 | 1.346 | 0.000 | 2.358 | 6.309 | 4.336 | |
| Med | 4.134 | 1.000 | 8.933 | 1.453 | 4.233 | 1.000 | 7.389 | 2.327 | 1.000 | |
| F2 | Avg | 1.122 | 1.398 | 9.045 | 2.590 | 6.700 | 1.100 | 2.040 | 1.575 | 1.100 | 
| Std | 6.650 | 7.657 | 7.804 | 3.880 | 1.369 | 0.000 | 5.861 | 8.617 | 6.938 | |
| Med | 1.101 | 1.100 | 6.705 | 1.351 | 2.509 | 1.100 | 9.251 | 1.646 | 1.100 | |
| F3 | Avg | 1.183 | 1.183 | 9.370 | 2.991 | 1.897 | 7.000 | 1.753 | 1.554 | 7.000 | 
| Std | 6.442 | 6.442 | 1.662 | 1.418 | 2.781 | 0.000 | 3.641 | 3.196 | 9.569 | |
| Med | 7.000 | 7.000 | 1.305 | 7.000 | 5.883 | 7.000 | 7.717 | 7.000 | 7.002 | |
| F4 | Avg | 1.907 | 1.908 | 1.905 | 1.905 | 1.907 | 1.905 | 1.913 | 1.926 | 1.904 | 
| Std | 3.669 | 5.142 | 1.525 | 1.161 | 1.179 | 7.251 | 3.100 | 1.612 | 1.042 | |
| Med | 1.906 | 1.907 | 1.903 | 1.903 | 1.903 | 1.905 | 1.906 | 1.922 | 1.904 | |
| F5 | Avg | 1.946 | 1.280 | 1.073 | 5.173 | 8.561 | 5.156 | 5.718 | 5.280 | 2.638 | 
| Std | 1.119 | 1.259 | 4.806 | 2.961 | 4.972 | 2.661 | 2.007 | 2.411 | 6.982 | |
| Med | 1.944 | 7.881 | 1.053 | 4.306 | 6.680 | 4.570 | 5.562 | 4.808 | 2.548 | |
| F6 | Avg | 2.115 | 3.107 | 2.309 | 1.788 | 6.070 | 1.672 | 2.920 | 2.163 | 1.634 | 
| Std | 5.474 | 3.569 | 8.531 | 2.248 | 2.584 | 1.763 | 1.306 | 7.765 | 9.759 | |
| Med | 2.013 | 2.341 | 2.006 | 1.677 | 5.359 | 1.604 | 2.649 | 2.000 | 1.604 | |
| F7 | Avg | 7.997 | 4.270 | 5.924 | 1.203 | 2.166 | 2.068 | 1.580 | 1.678 | 2.838 | 
| Std | 5.292 | 9.986 | 2.737 | 6.035 | 6.129 | 1.239 | 7.703 | 8.566 | 7.969 | |
| Med | 7.122 | 8.697 | 5.601 | 1.063 | 6.654 | 1.719 | 1.648 | 1.326 | 2.611 | |
| F8 | Avg | 2.332 | 2.337 | 2.303 | 2.362 | 2.320 | 2.318 | 2.328 | 2.339 | 2.319 | 
| Std | 8.092 | 4.241 | 6.499 | 5.505 | 1.135 | 1.442 | 2.165 | 8.417 | 1.403 | |
| Med | 2.334 | 2.336 | 2.300 | 2.342 | 2.324 | 2.328 | 2.328 | 2.338 | 2.327 | |
| F9 | Avg | 2.642 | 2.622 | 2.614 | 2.715 | 3.014 | 2.605 | 2.739 | 2.647 | 2.530 | 
| Std | 1.117 | 8.419 | 4.880 | 3.634 | 5.436 | 3.009 | 3.289 | 1.382 | 4.661 | |
| Med | 2.600 | 2.600 | 2.601 | 2.600 | 2.738 | 2.600 | 2.602 | 2.600 | 2.500 | |
| F10 | Avg | 3.216 | 3.208 | 3.160 | 3.278 | 3.035 | 3.164 | 3.423 | 3.298 | 3.132 | 
| Std | 6.647 | 8.238 | 4.418 | 1.597 | 7.140 | 4.642 | 9.664 | 1.214 | 1.581 | |
| Med | 3.213 | 3.183 | 3.149 | 3.232 | 3.017 | 3.158 | 3.443 | 3.281 | 3.123 | |
| 4.690 | 4.366 | 5.845 | 4.988 | 6.541 | 3.359 | 6.807 | 6.162 | 2.243 | ||
| 4.000 | 3.000 | 6.000 | 5.000 | 8.000 | 2.000 | 9.000 | 7.000 | 1.000 | ||
| Bold denotes to the best results. | ||||||||||
Appendix A.4. Wilcoxon Rank-Sum of the LWSSA vs. Some State-of-the-Art Algorithms during 2500 Iterations
| Fun | GBO | EGBO | SMA | PSO | EO | SADE | CLPSO | HPSO_TVAC | 
| 1 | <0.05 | <0.05 | <0.05 | <0.05 | <0.05 | 1 | <0.05 | <0.05 | 
| 2 | <0.05 | <0.05 | <0.05 | <0.05 | <0.05 | 1 | <0.05 | <0.05 | 
| 3 | <0.05 | 0.821595 | <0.05 | 0.651998 | <0.05 | 1 | <0.05 | <0.05 | 
| 4 | <0.05 | <0.05 | 0.266174 | <0.05 | 0.5809 | <0.05 | <0.05 | <0.05 | 
| 5 | <0.05 | <0.05 | <0.05 | <0.05 | <0.05 | <0.05 | <0.05 | <0.05 | 
| 6 | <0.05 | <0.05 | <0.05 | <0.05 | <0.05 | 0.240346 | <0.05 | <0.05 | 
| 7 | <0.05 | <0.05 | <0.05 | <0.05 | <0.05 | <0.05 | <0.05 | <0.05 | 
| 8 | <0.05 | <0.05 | <0.05 | <0.05 | 0.931838 | 0.432254 | 0.301061 | <0.05 | 
| 9 | <0.05 | <0.05 | <0.05 | <0.05 | <0.05 | <0.05 | <0.05 | <0.05 | 
| 10 | <0.05 | <0.05 | 0.228116 | <0.05 | <0.05 | <0.05 | <0.05 | <0.05 | 
Appendix A.5. Results from 2500 Iterations of the LWSSA vs. Some Salp Variants on IEEE CEC2017
| F | Cr. | ESSA | HSSASCA | ISSA_OBL | ISSA | SSALEO | TVSSA | QSSALEO | LWSSA | 
| F1 | Avg | ||||||||
| Std | |||||||||
| Med | |||||||||
| F2 | Avg | ||||||||
| Std | |||||||||
| Med | |||||||||
| AF3 | Avg | ||||||||
| Std | |||||||||
| Med | |||||||||
| F4 | Avg | ||||||||
| Std | |||||||||
| Med | |||||||||
| F5 | Avg | ||||||||
| Std | 7.28669 | ||||||||
| Med | |||||||||
| F6 | Avg | ||||||||
| Std | |||||||||
| Med | |||||||||
| F7 | Avg | ||||||||
| Std | |||||||||
| Med | |||||||||
| F8 | Avg | ||||||||
| Std | |||||||||
| Med | |||||||||
| F9 | Avg | ||||||||
| Std | |||||||||
| Med | |||||||||
| F10 | Avg | ||||||||
| Std | |||||||||
| Med | |||||||||
| F11 | Avg | ||||||||
| Std | |||||||||
| Med | |||||||||
| F12 | Avg | ||||||||
| Std | |||||||||
| Med | |||||||||
| F13 | Avg | ||||||||
| Std | |||||||||
| Med | |||||||||
| F14 | Avg | 2.76966 × 103 | |||||||
| Std | |||||||||
| Med | |||||||||
| F15 | Avg | ||||||||
| Std | |||||||||
| Med | |||||||||
| F16 | Avg | ||||||||
| Std | |||||||||
| Med | |||||||||
| F17 | Avg | ||||||||
| Std | |||||||||
| Med | |||||||||
| F18 | Avg | ||||||||
| Std | |||||||||
| Med | |||||||||
| F19 | Avg | ||||||||
| Std | |||||||||
| Med | |||||||||
| F20 | Avg | ||||||||
| Std | |||||||||
| Med | |||||||||
| F21 | Avg | ||||||||
| Std | |||||||||
| Med | |||||||||
| F22 | Avg | ||||||||
| Std | |||||||||
| Med | |||||||||
| F23 | Avg | ||||||||
| Std | |||||||||
| Med | |||||||||
| F24 | Avg | ||||||||
| Std | |||||||||
| Med | |||||||||
| F25 | Avg | ||||||||
| Std | |||||||||
| Med | |||||||||
| F26 | Avg | ||||||||
| Std | |||||||||
| Med | |||||||||
| F27 | Avg | ||||||||
| Std | |||||||||
| Med | |||||||||
| F28 | Avg | ||||||||
| Std | |||||||||
| Med | |||||||||
| F29 | Avg | ||||||||
| Std | |||||||||
| Med | |||||||||
| Bold denotes to the best results. | |||||||||
Appendix A.6. Wilcoxon Rank-Sum of the LWSSA vs. Salp Variant Algorithms on CEC2017
| Fun | ESSA | HSSASCA | ISSA_OBL | ISSA | SSALEO | TVSSA | QSSALEO | 
| 1 | <0.05 | <0.05 | <0.05 | <0.05 | 0.907149516 | <0.05 | 0.379592005 | 
| 2 | <0.05 | <0.05 | <0.05 | <0.05 | <0.05 | <0.05 | <0.05 | 
| 3 | <0.05 | <0.05 | <0.05 | 0.93183835 | 0.450706377 | <0.05 | 0.539032803 | 
| 4 | <0.05 | <0.05 | <0.05 | <0.05 | <0.05 | <0.05 | <0.05 | 
| 5 | 0.624228823 | <0.05 | 0.065354024 | <0.05 | <0.05 | <0.05 | 0.058827192 | 
| 6 | <0.05 | <0.05 | <0.05 | 0.703198218 | 0.894837154 | 0.323393973 | <0.05 | 
| 7 | <0.05 | <0.05 | 0.785508454 | 0.858063401 | 0.141670776 | <0.05 | 0.591599389 | 
| 8 | 0.323393973 | <0.05 | 0.956592944 | <0.05 | <0.05 | 0.821595142 | <0.05 | 
| 9 | <0.05 | <0.05 | <0.05 | <0.05 | <0.05 | <0.05 | <0.05 | 
| 10 | <0.05 | <0.05 | <0.05 | <0.05 | <0.05 | <0.05 | <0.05 | 
| 11 | <0.05 | <0.05 | <0.05 | <0.05 | <0.05 | <0.05 | <0.05 | 
| 12 | <0.05 | <0.05 | <0.05 | <0.05 | <0.05 | <0.05 | <0.05 | 
| 13 | <0.05 | <0.05 | <0.05 | <0.05 | <0.05 | <0.05 | <0.05 | 
| 14 | <0.05 | <0.05 | <0.05 | <0.05 | <0.05 | <0.05 | <0.05 | 
| 15 | <0.05 | <0.05 | <0.05 | 0.749876972 | <0.05 | 0.388084142 | <0.05 | 
| 16 | <0.05 | <0.05 | <0.05 | <0.05 | <0.05 | <0.05 | <0.05 | 
| 17 | <0.05 | <0.05 | <0.05 | <0.05 | <0.05 | <0.05 | <0.05 | 
| 18 | <0.05 | <0.05 | <0.05 | <0.05 | <0.05 | <0.05 | <0.05 | 
| 19 | 0.845869569 | <0.05 | 0.646404177 | 0.104139005 | 0.129455778 | <0.05 | 0.129455778 | 
| 20 | <0.05 | <0.05 | 0.070028526 | <0.05 | <0.05 | <0.05 | 0.178564788 | 
| 21 | <0.05 | <0.05 | <0.05 | 0.222170531 | <0.05 | 0.346779952 | <0.05 | 
| 22 | 0.870291194 | <0.05 | <0.05 | <0.05 | <0.05 | <0.05 | 0.371215114 | 
| 23 | <0.05 | <0.05 | <0.05 | <0.05 | <0.05 | <0.05 | <0.05 | 
| 24 | <0.05 | <0.05 | <0.05 | 0.498735035 | <0.05 | 0.054784023 | <0.05 | 
| 25 | 0.591599389 | <0.05 | <0.05 | <0.05 | 0.286756545 | 0.121777891 | 0.423194286 | 
| 26 | <0.05 | <0.05 | <0.05 | 0.22811625 | <0.05 | 0.968987463 | <0.05 | 
| 27 | <0.05 | <0.05 | <0.05 | <0.05 | 0.293850289 | <0.05 | 0.060939894 | 
| 28 | 0.272918441 | <0.05 | <0.05 | 0.15475248 | <0.05 | <0.05 | <0.05 | 
| 29 | 0.749876972 | <0.05 | <0.05 | <0.05 | <0.05 | <0.05 | <0.05 | 
Appendix A.7. Friedman Test Result of the LWSSA vs. Salp Variant Algorithms on CEC2017
| Fun | ESSA | HSSASCA | ISSA_OBL | ISSA | SSALEO | TVSSA | QSSALEO | LWSSA | 
| 1 | 6.9655 | 8.0000 | 6.0345 | 3.4483 | 2.3448 | 3.8966 | 2.8276 | 2.4828 | 
| 2 | 6.6207 | 8.0000 | 4.2759 | 5.1034 | 1.0000 | 6.0000 | 2.8966 | 2.1034 | 
| 3 | 6.7586 | 8.0000 | 6.0690 | 2.7931 | 3.0690 | 3.5172 | 3.0345 | 2.7586 | 
| 4 | 2.8621 | 8.0000 | 4.6207 | 2.7931 | 3.5862 | 3.4483 | 5.0345 | 5.6552 | 
| 5 | 4.8621 | 8.0000 | 6.2069 | 2.6552 | 2.7931 | 2.8966 | 3.8276 | 4.7586 | 
| 6 | 4.3103 | 7.9655 | 7.0345 | 2.6552 | 2.7241 | 2.8966 | 5.6897 | 2.7241 | 
| 7 | 3.4138 | 8.0000 | 4.6552 | 4.4483 | 3.6897 | 2.7241 | 4.4483 | 4.6207 | 
| 8 | 5.5862 | 8.0000 | 4.8621 | 3.7241 | 1.5172 | 4.8276 | 2.7586 | 4.7241 | 
| 9 | 3.7586 | 8.0000 | 5.3448 | 3.7931 | 3.5517 | 4.1034 | 5.1724 | 2.2759 | 
| 10 | 6.8966 | 8.0000 | 6.0690 | 4.3103 | 2.5862 | 3.9310 | 2.5172 | 1.6897 | 
| 11 | 4.8966 | 8.0000 | 6.1034 | 4.9310 | 2.8621 | 4.9655 | 3.2414 | 1.0000 | 
| 12 | 7.0000 | 8.0000 | 2.1034 | 4.8621 | 4.0000 | 4.9310 | 4.1034 | 1.0000 | 
| 13 | 7.4483 | 7.5517 | 5.1379 | 4.3103 | 3.0690 | 4.3103 | 3.1724 | 1.0000 | 
| 14 | 7.0000 | 8.0000 | 2.0345 | 5.1724 | 3.6207 | 5.1724 | 4.0000 | 1.0000 | 
| 15 | 4.5172 | 8.0000 | 5.8276 | 3.0345 | 4.5172 | 3.0345 | 4.5862 | 2.4828 | 
| 16 | 3.7241 | 8.0000 | 4.1379 | 4.5172 | 4.2414 | 4.7241 | 4.2759 | 2.3793 | 
| 17 | 6.8621 | 7.9310 | 5.7241 | 4.2759 | 2.9655 | 4.0345 | 3.2069 | 1.0000 | 
| 18 | 3.6897 | 8.0000 | 2.2069 | 6.0345 | 4.7586 | 6.0345 | 4.2759 | 1.0000 | 
| 19 | 3.6897 | 7.8621 | 4.0345 | 4.4138 | 3.4483 | 4.9655 | 3.6207 | 3.9655 | 
| 20 | 3.4828 | 8.0000 | 5.8621 | 1.8966 | 4.2414 | 2.4828 | 4.5862 | 5.4483 | 
| 21 | 4.2414 | 8.0000 | 6.1379 | 3.2759 | 3.8621 | 3.5517 | 4.2759 | 2.6552 | 
| 22 | 3.9655 | 7.9310 | 6.6897 | 1.6897 | 5.4138 | 1.9655 | 4.2414 | 4.1034 | 
| 23 | 5.5862 | 8.0000 | 6.6207 | 2.1724 | 5.4483 | 1.5517 | 3.0690 | 3.5517 | 
| 24 | 6.4828 | 8.0000 | 6.5172 | 2.3103 | 3.5862 | 3.0000 | 3.8276 | 2.2759 | 
| 25 | 3.8276 | 8.0000 | 6.4483 | 2.9655 | 3.4828 | 3.5517 | 3.6552 | 4.0690 | 
| 26 | 4.1724 | 8.0000 | 6.6552 | 1.7586 | 5.7586 | 2.3793 | 4.7241 | 2.5517 | 
| 27 | 6.2069 | 8.0000 | 6.7931 | 3.3793 | 2.6552 | 3.3448 | 3.0690 | 2.5517 | 
| 28 | 2.2069 | 8.0000 | 6.0000 | 2.8276 | 5.5345 | 3.7586 | 5.5345 | 2.1379 | 
| 29 | 1.4828 | 8.0000 | 5.9310 | 5.2759 | 4.1207 | 5.5517 | 4.1207 | 1.5172 | 
| Avg. | 4.9144 | 7.9738 | 5.3841 | 3.6147 | 3.6017 | 3.8466 | 3.9239 | 2.7408 | 
| Rank | 6.0000 | 8.0000 | 7.0000 | 3.0000 | 2.0000 | 4.0000 | 5.0000 | 1.0000 | 
| Bold denotes to the best results. | ||||||||
References
- Cardiovascular Diseases (CVDs). Available online: https://www.who.int/news-room/fact-sheets/detail/cardiovascular-diseases-(cvds) (accessed on 10 November 2023).
- D’Agostino, R.B.; Vasan, R.S.; Pencina, M.J.; Wolf, P.A.; Cobain, M.; Massaro, J.M.; Kannel, W.B. General Cardiovascular Risk Profile for Use in Primary Care: The Framingham Heart Study. Circulation 2008, 117, 743–753. [Google Scholar] [CrossRef] [PubMed]
- Lloyd-Jones, D.M. Cardiovascular Risk Prediction. Circulation 2010, 121, 1768–1777. [Google Scholar] [CrossRef] [PubMed]
- Ward, A.; Sarraju, A.; Chung, S.; Li, J.; Harrington, R.; Heidenreich, P.; Palaniappan, L.; Scheinker, D.; Rodriguez, F. Machine Learning and Atherosclerotic Cardiovascular Disease Risk Prediction in a Multi-Ethnic Population. npj Digit. Med. 2020, 3, 125. [Google Scholar] [CrossRef] [PubMed]
- Chen, T.; Guestrin, C. Undefined Xgboost: A Scalable Tree Boosting System. In Proceedings of the 2nd ACM SIGKDD International Conference on Knowledge Discovery and Data Mining, San Francisco, CA, USA, 13–17 August 2016. [Google Scholar]
- Ke, G.; Meng, Q.; Finley, T.; Wang, T.; Chen, W.; Ma, W.; Ye, Q.; Liu, T.-Y. Lightgbm: A Highly Efficient Gradient Boosting Decision Tree. In Proceedings of the Advances in Neural Information Processing Systems 30 (NIPS 2017), Long Beach, CA, USA, 4–9 December 2017. [Google Scholar]
- Probst, P.; Boulesteix, A.; Bischl, B. Tunability: Importance of Hyperparameters of Machine Learning Algorithms. J. Mach. Learn. Res. 2019, 20, 1934–1965. [Google Scholar]
- Bergstra, J.; Bengio, Y. Random Search for Hyper-Parameter Optimization. J. Mach. Learn. Res. 2012, 13, 281–305. [Google Scholar]
- Qaraad, M.; Amjad, S.; Hussein, N.K.; Farag, M.A.; Mirjalili, S.; Elhosseini, M.A. Quadratic Interpolation and a New Local Search Approach to Improve Particle Swarm Optimization: Solar Photovoltaic Parameter Estimation. Expert Syst. Appl. 2024, 236, 121417. [Google Scholar] [CrossRef]
- Qaraad, M.; Aljadania, A.; Elhosseini, M. Large-Scale Competitive Learning-Based Salp Swarm for Global Optimization and Solving Constrained Mechanical and Engineering Design Problems. Mathematics 2023, 11, 1362. [Google Scholar] [CrossRef]
- Qaraad, M.; Amjad, S.; Hussein, N.K.; Badawy, M.; Mirjalili, S.; Elhosseini, M.A. Photovoltaic Parameter Estimation Using Improved Moth Flame Algorithms with Local Escape Operators. Comput. Electr. Eng. 2023, 106, 108603. [Google Scholar] [CrossRef]
- Qaraad, M.; Amjad, S.; Hussein, N.K.; Mirjalili, S.; Elhosseini, M.A. An Innovative Time-Varying Particle Swarm-Based Salp Algorithm for Intrusion Detection System and Large-Scale Global Optimization Problems. Artif. Intell. Rev. 2022, 56, 8325–8392. [Google Scholar] [CrossRef]
- Ojha, V.K.; Abraham, A.; Snášel, V. Metaheuristic Design of Feedforward Neural Networks: A Review of Two Decades of Research. Eng. Appl. Artif. Intell. 2017, 60, 97–116. [Google Scholar] [CrossRef]
- Akyol, S.; Alatas, B. Plant Intelligence Based Metaheuristic Optimization Algorithms. Artif. Intell. Rev. 2017, 47, 417–462. [Google Scholar] [CrossRef]
- Sharma, S.; Kumar, V. Application of Genetic Algorithms in Healthcare: A Review. Stud. Comput. Intell. 2022, 1039, 75–86. [Google Scholar] [CrossRef]
- Kumar, S.; Sahoo, G. A Random Forest Classifier Based on Genetic Algorithm for Cardiovascular Diseases Diagnosis (RESEARCH NOTE). Int. J. Eng. 2017, 30, 1723–1729. [Google Scholar]
- Amma, N.G.B. Cardiovascular Disease Prediction System Using Genetic Algorithm and Neural Network. In Proceedings of the 2012 International Conference on Computing, Communication and Applications, Dindigul, India, 22–24 February 2012. [Google Scholar] [CrossRef]
- Ay, Ş.; Ekinci, E.; Garip, Z. A Comparative Analysis of Meta-Heuristic Optimization Algorithms for Feature Selection on ML-Based Classification of Heart-Related Diseases. J. Supercomput. 2023, 79, 11797–11826. [Google Scholar] [CrossRef] [PubMed]
- Sheeba, P.T.; Roy, D.; Syed, M.H. A Metaheuristic-Enabled Training System for Ensemble Classification Technique for Heart Disease Prediction. Adv. Eng. Softw. 2022, 174, 103297. [Google Scholar] [CrossRef]
- Tharwat, A.; Schenck, W. A Conceptual and Practical Comparison of PSO-Style Optimization Algorithms. Expert Syst. Appl. 2021, 167, 114430. [Google Scholar] [CrossRef]
- Okwu, M.O.; Tartibu, L.K. Particle Swarm Optimisation. Stud. Comput. Intell. 2021, 927, 5–13. [Google Scholar] [CrossRef]
- Tang, K.S.; Man, K.F.; Kwong, S.; He, Q. Genetic Algorithms and Their Applications. IEEE Signal Process. Mag. 1996, 13, 22–37. [Google Scholar] [CrossRef]
- Mirjalili, S.; Gandomi, A.H.; Mirjalili, S.Z.; Saremi, S.; Faris, H.; Mirjalili, S.M. Salp Swarm Algorithm: A Bio-Inspired Optimizer for Engineering Design Problems. Adv. Eng. Softw. 2017, 114, 163–191. [Google Scholar] [CrossRef]
- Karaboga, D.; Basturk, B. A Powerful and Efficient Algorithm for Numerical Function Optimization: Artificial Bee Colony (ABC) Algorithm. J. Glob. Optim. 2007, 39, 459–471. [Google Scholar] [CrossRef]
- Dorigo, M.; Birattari, M. Ant Colony Optimization. IEEE Comput. Intell. Mag. 2006, 1, 28–39. [Google Scholar] [CrossRef]
- Grandgirard, J.; Poinsot, D.; Krespi, L.; Nénon, J.P.; Cortesero, A.M. Costs of Secondary Parasitism in the Facultative Hyperparasitoid Pachycrepoideus Dubius: Does Host Size Matter? Entomol. Exp. Appl. 2002, 103, 239–248. [Google Scholar] [CrossRef]
- Hatamlou, A. Black Hole: A New Heuristic Optimization Approach for Data Clustering. Inf. Sci. 2013, 222, 175–184. [Google Scholar] [CrossRef]
- Kaveh, A.; Dadras, A. A Novel Meta-Heuristic Optimization Algorithm: Thermal Exchange Optimization. Adv. Eng. Softw. 2017, 110, 69–84. [Google Scholar] [CrossRef]
- Lam, A.Y.S.; Member, S.; Li, V.O.K. Chemical-Reaction-Inspired Metaheuristic for Optimization. IEEE Trans. Evol. Comput. 2009, 14, 381–399. [Google Scholar] [CrossRef]
- Rao, R.V.; Savsani, V.J.; Vakharia, D.P. Teaching–Learning-Based Optimization: A Novel Method for Constrained Mechanical Design Optimization Problems. Comput. Des. 2011, 43, 303–315. [Google Scholar] [CrossRef]
- Abdollahi, M.; Isazadeh, A.; Abdollahi, D. Imperialist Competitive Algorithm for Solving Systems of Nonlinear Equations. Comput. Math. Appl. 2013, 65, 1894–1908. [Google Scholar] [CrossRef]
- Ashrafi, S.M.; Dariane, A.B. A Novel and Effective Algorithm for Numerical Optimization: Melody Search (MS). In Proceedings of the 2011 11th International Conference on Hybrid Intelligent Systems (HIS), Melacca, Malaysia, 5–8 December 2011; pp. 109–114. [Google Scholar] [CrossRef]
- Qaraad, M.; Amjad, S.; Hussein, N.K.; Elhosseini, M.A. An Innovative Quadratic Interpolation Salp Swarm-Based Local Escape Operator for Large-Scale Global Optimization Problems and Feature Selection. Neural Comput. Appl. 2022, 34, 17663–17721. [Google Scholar] [CrossRef]
- Qaraad, M.; Amjad, S.; Hussein, N.K.; Elhosseini, M.A. Large Scale Salp-Based Grey Wolf Optimization for Feature Selection and Global Optimization. Neural Comput. Appl. 2022, 34, 8989–9014. [Google Scholar] [CrossRef]
- Qaraad, M.; Amjad, S.; Hussein, N.K.; Elhosseini, M.A. Addressing Constrained Engineering Problems and Feature Selection with a Time-Based Leadership Salp-Based Algorithm with Competitive Learning. J. Comput. Des. Eng. 2022, 9, 2235–2270. [Google Scholar] [CrossRef]
- Qaraad, M.; Amjad, S.; Hussein, N.K.; Mirjalili, S.; Halima, N.B.; Elhosseini, M.A. Comparing SSALEO as a Scalable Large Scale Global Optimization Algorithm to High-Performance Algorithms for Real-World Constrained Optimization Benchmark. IEEE Access 2022, 10, 95658–95700. [Google Scholar] [CrossRef]
- Chen, J.; Luo, Q.; Zhou, Y.; Huang, H. Firefighting Multi Strategy Marine Predators Algorithm for the Early-Stage Forest Fire Rescue Problem. Appl. Intell. 2023, 53, 15496–15515. [Google Scholar] [CrossRef]
- Abualigah, L.; Shehab, M.; Alshinwan, M.; Alabool, H. Salp Swarm Algorithm: A Comprehensive Survey. Neural Comput. Appl. 2020, 32, 11195–11215. [Google Scholar] [CrossRef]
- Cuevas, E. An Optimization Algorithm Inspired by the States of Matter That Improves the Balance between Exploration and Exploitation. Appl. Intell. 2014, 40, 256–272. [Google Scholar] [CrossRef]
- Castelli, M.; Manzoni, L.; Mariot, L.; Nobile, M.S.; Tangherloni, A. Salp Swarm Optimization: A Critical Review. Expert Syst. Appl. 2022, 189, 116029. [Google Scholar] [CrossRef]
- Wolpert, D.H.; Macready, W.G. No Free Lunch Theorems for Optimization. IEEE Trans. Evol. Comput. 1997, 1, 67–82. [Google Scholar] [CrossRef]
- Fathi, R.; Tousi, B.; Galvani, S. Allocation of Renewable Resources with Radial Distribution Network Reconfiguration Using Improved Salp Swarm Algorithm. Appl. Soft Comput. 2023, 132, 109828. [Google Scholar] [CrossRef]
- Zhang, H.; Liu, T.; Ye, X.; Asghar, A.; Guoxi, H.; Huiling, L.; Zhifang, C. Differential Evolution-Assisted Salp Swarm Algorithm with Chaotic Structure for Real-World Problems; Springer: London, UK, 2022; ISBN 0123456789. [Google Scholar]
- El-Shorbagy, M.A.; Eldesoky, I.M.; Basyouni, M.M.; Nassar, I.; El-Refaey, A.M. Chaotic Search-Based Salp Swarm Algorithm for Dealing with System of Nonlinear Equations and Power System Applications. Mathematics 2022, 10, 1368. [Google Scholar] [CrossRef]
- Nautiyal, B.; Prakash, R.; Vimal, V.; Liang, G.; Chen, H. Improved Salp Swarm Algorithm with Mutation Schemes for Solving Global Optimization and Engineering Problems. Eng. Comput. 2021, 38, 3927–3949. [Google Scholar] [CrossRef]
- Kansal, V.; Dhillon, J.S. Emended Salp Swarm Algorithm for Multiobjective Electric Power Dispatch Problem. Appl. Soft Comput. 2020, 90, 106172. [Google Scholar] [CrossRef]
- Zhang, H.; Wang, Z.; Chen, W.; Heidari, A.A.; Wang, M.; Zhao, X.; Liang, G.; Chen, H.; Zhang, X. Ensemble Mutation-Driven Salp Swarm Algorithm with Restart Mechanism: Framework and Fundamental Analysis. Expert Syst. Appl. 2021, 165, 113897. [Google Scholar] [CrossRef]
- Wang, C.; Xu, R.-Q.; Ma, L.; Zhao, J.; Wang, L.; Xie, N.-G.; Cheong, K.H. An Efficient Salp Swarm Algorithm Based on Scale-Free Informed Followers with Self-Adaption Weight. Appl. Intell. 2023, 53, 1759–1791. [Google Scholar] [CrossRef]
- Ren, H.; Li, J.; Chen, H.; Li, C.Y. Adaptive Levy-Assisted Salp Swarm Algorithm: Analysis and Optimization Case Studies. Math. Comput. Simul. 2021, 181, 380–409. [Google Scholar] [CrossRef]
- Tawhid, M.A.; Ibrahim, A.M. Improved Salp Swarm Algorithm Combined with Chaos. Math. Comput. Simul. 2022, 202, 113–148. [Google Scholar] [CrossRef]
- Zhang, X.; Wang, S.; Zhao, K.; Wang, Y. A Salp Swarm Algorithm Based on Harris Eagle Foraging Strategy. Math. Comput. Simul. 2023, 203, 858–877. [Google Scholar] [CrossRef]
- Neggaz, N.; Ewees, A.A.; Elaziz, M.A.; Mafarja, M. Boosting Salp Swarm Algorithm by Sine Cosine Algorithm and Disrupt Operator for Feature Selection. Expert Syst. Appl. 2020, 145, 113103. [Google Scholar] [CrossRef]
- Si, T.; Miranda, P.B.C.; Bhattacharya, D. Novel Enhanced Salp Swarm Algorithms Using Opposition-Based Learning Schemes for Global Optimization Problems. Expert Syst. Appl. 2022, 207, 117961. [Google Scholar] [CrossRef]
- Abbassi, A.; Abbassi, R.; Heidari, A.A.; Oliva, D.; Chen, H.; Habib, A.; Jemli, M.; Wang, M. Parameters Identification of Photovoltaic Cell Models Using Enhanced Exploratory Salp Chains-Based Approach. Energy 2020, 198, 117333. [Google Scholar] [CrossRef]
- Gupta, S.; Deep, K.; Heidari, A.A.; Moayedi, H.; Chen, H. Harmonized Salp Chain-Built Optimization. Eng. Comput. 2021, 37, 1049–1079. [Google Scholar] [CrossRef]
- Viswanathan, G.M.; Afanasyev, V.; Buldyrev, S.V.; Havlin, S.; Da Luz, M.G.E.; Raposo, E.P.; Stanley, H.E. Lévy Flights in Random Searches. Phys. A Stat. Mech. Appl. 2000, 282, 1–12. [Google Scholar] [CrossRef]
- Abbassi, R.; Abbassi, A.; Heidari, A.A.; Mirjalili, S. An Efficient Salp Swarm-Inspired Algorithm for Parameters Identification of Photovoltaic Cell Models. Energy Convers. Manag. 2019, 179, 362–372. [Google Scholar] [CrossRef]
- Zhang, J.; Wang, Z.; Luo, X. Parameter Estimation for Soil Water Retention Curve Using the Salp Swarm Algorithm. Water 2018, 10, 815. [Google Scholar] [CrossRef]
- Wu, G.; Mallipeddi, R.; Suganthan, P.N. Problem Definitions and Evaluation Criteria for the CEC 2017 Competition on Constrained Real-Parameter Optimization; Techical Report; National University of Defense Technology: Changsha, China; Kyungpook National University: Daegu, Republic of Korea; Nanyang Technological University: Singapore, 2017. [Google Scholar]
- Mohamed, A.W.; Sallam, K.M.; Agrawal, P.; Hadi, A.A.; Mohamed, A.K. Evaluating the Performance of Meta-Heuristic Algorithms on CEC 2021 Benchmark Problems. Neural Comput. Appl. 2022, 35, 1493–1517. [Google Scholar] [CrossRef]
- Qais, M.H.; Hasanien, H.M.; Alghuwainem, S. Enhanced Salp Swarm Algorithm: Application to Variable Speed Wind Generators. Eng. Appl. Artif. Intell. 2019, 80, 82–96. [Google Scholar] [CrossRef]
- Singh, N.; Son, L.H.; Chiclana, F.; Magnot, J.P. A New Fusion of Salp Swarm with Sine Cosine for Optimization of Non-Linear Functions. Eng. Comput. 2020, 36, 185–212. [Google Scholar] [CrossRef]
- Tubishat, M.; Ja’afar, S.; Alswaitti, M.; Mirjalili, S.; Idris, N.; Ismail, M.A.; Omar, M.S. Dynamic Salp Swarm Algorithm for Feature Selection. Expert Syst. Appl. 2021, 164, 113873. [Google Scholar] [CrossRef]
- Tubishat, M.; Idris, N.; Shuib, L.; Abushariah, M.A.M.; Mirjalili, S. Improved Salp Swarm Algorithm Based on Opposition Based Learning and Novel Local Search Algorithm for Feature Selection. Expert Syst. Appl. 2020, 145, 113122. [Google Scholar] [CrossRef]
- Faris, H.; Heidari, A.A.; Al-Zoubi, A.M.; Mafarja, M.; Aljarah, I.; Eshtay, M.; Mirjalili, S. Time-Varying Hierarchical Chains of Salps with Random Weight Networks for Feature Selection. Expert Syst. Appl. 2020, 140, 112898. [Google Scholar] [CrossRef]
- Ahmadianfar, I.; Bozorg-Haddad, O.; Chu, X. Gradient-Based Optimizer: A New Metaheuristic Optimization Algorithm. Inf. Sci. 2020, 540, 131–159. [Google Scholar] [CrossRef]
- Ahmadianfar, I.; Gong, W.; Heidari, A.A.; Golilarz, N.A.; Samadi-Koucheksaraee, A.; Chen, H. Gradient-Based Optimization with Ranking Mechanisms for Parameter Identification of Photovoltaic Systems. Energy Rep. 2021, 7, 3979–3997. [Google Scholar] [CrossRef]
- Li, S.; Chen, H.; Wang, M.; Heidari, A.A.; Mirjalili, S. Slime Mould Algorithm: A New Method for Stochastic Optimization. Futur. Gener. Comput. Syst. 2020, 111, 300–323. [Google Scholar] [CrossRef]
- Kennedy, J.; Eberhart, R. Particle Swarm Optimization. In Proceedings of the ICNN’95—International Conference on Neural Networks, Perth, WA, Australia, 27 November–1 December 1995; IEEE: Piscataway, NJ, USA, 1995; Volume 4, pp. 1942–1948. [Google Scholar]
- Faramarzi, A.; Heidarinejad, M.; Stephens, B.; Mirjalili, S. Equilibrium Optimizer: A Novel Optimization Algorithm. Knowl.-Based Syst. 2020, 191, 105190. [Google Scholar] [CrossRef]
- Qin, A.K.; Huang, V.L.; Suganthan, P.N. Differential Evolution Algorithm with Strategy Adaptation for Global Numerical Optimization. IEEE Trans. Evol. Comput. 2009, 13, 398–417. [Google Scholar] [CrossRef]
- Liang, J.J.; Qin, A.K.; Suganthan, P.N.; Baskar, S. Comprehensive Learning Particle Swarm Optimizer for Global Optimization of Multimodal Functions. IEEE Trans. Evol. Comput. 2006, 10, 281–295. [Google Scholar] [CrossRef]
- Frank, A.; Asuncion, A. UCI Machine Learning Repository. 2010. Available online: https://archive.ics.uci.edu/ (accessed on 5 January 2024).











| Approach and Ref. | Methodology | Problems | Limitations of the Approach | 
|---|---|---|---|
| ISSA [45] | Several mutation strategies were implemented. | Optimization problems and engineering applications | The phenomenon of slow convergence and the tendency to fall into poor solutions. | 
| ESSA [46] | The incorporation of mutation and crossover procedures into the Salp Swarm Algorithm (SSA) was implemented. | Multi-objective electric power dispatch problem | The phenomenon of premature convergence is a significant concern in the context of multi-objective optimization problems. | 
| CMSRSSSA [47] | The introduction of the composite mutation strategy and the restart mechanism was undertaken. | Optimization problems and engineering applications | The search method exhibits limitations in its effectiveness. | 
| E-SSA [48] | Multiple evolutionary strategies were introduced. | Optimization problems and engineering applications | The convergence pace is relatively low, and there is a need to strike a balance between exploration and exploitation. | 
| WLSSA [49] | The introduction encompassed the incorporation of adaptive weights and the Levy flight mechanism. | Engineering applications | It is often observed that individuals may encounter the challenge of succumbing to local optima, leading to premature convergence. | 
| CSSA [50] | Chaos mutation strategy was introduced. | Optimization problems | The convergence pace is relatively low, and there is a need to strike a balance between exploration and exploitation. | 
| ISSAHF [51] | Combination of SSA with the HHO optimizer. | Optimization problems and engineering applications | The search efficiency is relatively low, making it susceptible to being trapped in local optima. | 
| CL-SSA [10] | Pairwise competition mechanism was introduced. | Optimization problems and engineering applications | The capacity to balance between exploration and exploitation. | 
| ISSAFD [52] | The introduction of the SCA and disrupt operator was implemented. | Feature selection | The present study examines the phenomenon of local stagnation during the exploratory phase, with a specific focus on the implications of population diversity. | 
| SSA-OBL [53] | Opposition-based learning (OBL) strategy was introduced. | Optimization problems and Engineering applications | The capacity to balance between exploration and exploitation. | 
| OLMSSA [54] | The application of opposition-based learning approaches was employed to enhance. | PV cells parameter extraction | The accuracy is low. | 
| m-SSA [55] | The principles of opposition-based learning and the Levy flight method were introduced. | Engineering applications | Trapped within a suboptimal solution characterized by diminished precision. | 
| Algorithm | Parameter Setting | 
|---|---|
| GBO | eps = 0.005 -3 × random (); | 
| EGBO | LC = 0.7, eps = 5 × 10−20 × random () | 
| SMA | Z = 0.03 | 
| PSO | Vmax = 6, wMin = 0.2, wMax = 0.9, c1 = c2 = 2 | 
| EO | V = 1, a1 = 2, a2 = 1, GP = 0.5 | 
| SADE | probability = 50, cr = 5 m, crm = 0.5, p1 = 0.5 | 
| CL-PSO | c_local = 1.2, w_min = 0.4, w_max = 0.9, max_flag = 7 | 
| HPSO_TVAC | ci = 0.5, cf = 0.0 | 
| ESSA | eps = 0.005 - 3 × random (); | 
| HSSASCA | r1 = random × 50, r2 = r3 = c1 − c2 = random | 
| ISSA | cMax = 1, cMin = 0.00003, r = random | 
| ISSA-OBL | max_local_iter = 10, threshold = 0.5 | 
| TVSSA | c2 = c3 = random | 
| SSALEO | c2 = c3 = random | 
| SSA-FGWO | c2 = c3 = random | 
| LWSSA | c2 = c3 = random. Mu (mutation factor) = 0.5. | 
| Feature | Name | Description of Features | 
|---|---|---|
| Age | Age | |
| Sex | Genus; M is representative of male and is denoted as 1, while “F” represents female and is denoted as 0. | |
| Chestpain type | Different types of chest pain are categorized and labeled as follows: typical angina is represented by the number 1, atypical angina is represented by the number 2, non-angina pectoris is represented by the number 3, and asymptomatic cases are also recorded. | |
| RestingBP | The measurement of blood pressure while in a state of physical rest, expressed in units of millimeters of mercury (mmHg). | |
| Cholesterol | The concentration of cholesterol in the bloodstream measured in milligrams per deciliter (mm/dL). | |
| FastingECG | If the blood glucose level is above 120 mg/dL, fasting blood glucose is indicated as 1; otherwise, it is presented as 0. | |
| RestingECG | The results of a resting electrocardiogram (ECG) can be classified into three categories. If the ECG is normal, it is recorded as 0. If there is an ST-T wave anomaly present, it is recorded as 1. If the Estes standard indicates possible or definite left ventricular hypertrophy, it is recorded as 2. | |
| MaxHR | The highest rate at which the heart beats. | |
| Exerciseangina | The presence of angina pectoris during exercise is indicated by Y, which represents 1, while its absence is indicated by N, which represents 0. | |
| OldPeak | Compared to other cases, exercise-induced ST segment depression. | |
| ST-Slope | The inclination of the ST segment at the apex of movement can be classified into three types: upward slope, denoted as 1; flat, denoted as 2; and downward slope, denoted as 3. | |
| y | Heartdisease | The value of 1 indicates illness, while 0 represents normalcy. | 
| Approaches | Parameter | Value | 
|---|---|---|
| LWSSA, GWO, WOA, ISSA, ESSA, SSALEO, TVSSA, SSAFGWO | Population size | 30 | 
| Iteration number | 100 | |
| XGBoost | learning_rate | [0.00001–1] | 
| max_depth | [5–17] | |
| gamma | [0.0–200] | |
| colsample_bytree | [0.1–1] | |
| reg_alpha | [0.0000001–100] | |
| reg_lambda | [0.0000001–100] | 
| Approaches | Accuracy | Recall | F1 Score | Precision | AUC | Fitness | 
|---|---|---|---|---|---|---|
| ESSA-XGBoost | 0.911 | 0.939 | 0.921 | 0.901 | 0.907 | 0.079 | 
| GWO-XGBoost | 0.917 | 0.939 | 0.928 | 0.918 | 0.917 | 0.072 | 
| ISSA-XGBoost | 0.917 | 0.937 | 0.926 | 0.915 | 0.914 | 0.074 | 
| SSA-FGWO-XGBoost | 0.917 | 0.939 | 0.926 | 0.913 | 0.914 | 0.074 | 
| SSALEO-XGBoost | 0.918 | 0.931 | 0.927 | 0.914 | 0.915 | 0.073 | 
| TVSSA-XGBoost | 0.919 | 0.936 | 0.927 | 0.919 | 0.917 | 0.073 | 
| WOA-XGBoost | 0.915 | 0.938 | 0.924 | 0.912 | 0.912 | 0.076 | 
| SSA-XGBoost | 0.915 | 0.936 | 0.925 | 0.913 | 0.913 | 0.075 | 
| LWSSA-XGBoost (our model) | 0.923 | 0.940 | 0.931 | 0.922 | 0.921 | 0.069 | 
| ML Model | F1-Score | Precision | Recall | AUC | Accuracy | 
|---|---|---|---|---|---|
| LogisticRegression (LR) | 0.901 | 0.871 | 0.900 | 0.911 | 0.885 | 
| KNeighborsClassifier (KNN) | 0.725 | 0.725 | 0.725 | 0.748 | 0.695 | 
| DecisionTreeClassifier (DT) | 0.774 | 0.782 | 0.778 | 0.753 | 0.755 | 
| RandomForestClassifier (RF) | 0.911 | 0.877 | 0.894 | 0.912 | 0.880 | 
| SVC | 0.735 | 0.750 | 0.742 | 0.798 | 0.717 | 
| LGBMClassifier (LGB) | 0.872 | 0.890 | 0.881 | 0.915 | 0.869 | 
| XGBClassifier (XGBoost) | 0.862 | 0.880 | 0.871 | 0.917 | 0.858 | 
| LWSSA-XGBoost (our model) | 0.936 | 0.932 | 0.941 | 0.927 | 0.929 | 
| Disclaimer/Publisher’s Note: The statements, opinions and data contained in all publications are solely those of the individual author(s) and contributor(s) and not of MDPI and/or the editor(s). MDPI and/or the editor(s) disclaim responsibility for any injury to people or property resulting from any ideas, methods, instructions or products referred to in the content. | 
© 2024 by the authors. Licensee MDPI, Basel, Switzerland. This article is an open access article distributed under the terms and conditions of the Creative Commons Attribution (CC BY) license (https://creativecommons.org/licenses/by/4.0/).
Share and Cite
Mohammed, S.I.; Hussein, N.K.; Haddani, O.; Aljohani, M.; Alkahya, M.A.; Qaraad, M. Fine-Tuned Cardiovascular Risk Assessment: Locally Weighted Salp Swarm Algorithm in Global Optimization. Mathematics 2024, 12, 243. https://doi.org/10.3390/math12020243
Mohammed SI, Hussein NK, Haddani O, Aljohani M, Alkahya MA, Qaraad M. Fine-Tuned Cardiovascular Risk Assessment: Locally Weighted Salp Swarm Algorithm in Global Optimization. Mathematics. 2024; 12(2):243. https://doi.org/10.3390/math12020243
Chicago/Turabian StyleMohammed, Shahad Ibrahim, Nazar K. Hussein, Outman Haddani, Mansourah Aljohani, Mohammed Abdulrazaq Alkahya, and Mohammed Qaraad. 2024. "Fine-Tuned Cardiovascular Risk Assessment: Locally Weighted Salp Swarm Algorithm in Global Optimization" Mathematics 12, no. 2: 243. https://doi.org/10.3390/math12020243
APA StyleMohammed, S. I., Hussein, N. K., Haddani, O., Aljohani, M., Alkahya, M. A., & Qaraad, M. (2024). Fine-Tuned Cardiovascular Risk Assessment: Locally Weighted Salp Swarm Algorithm in Global Optimization. Mathematics, 12(2), 243. https://doi.org/10.3390/math12020243
 
        


 
       