Abstract
The analysis of complex system reliability is an area of growing interest, particularly given the diverse and intricate nature of the subsystems and components these systems encompass. Tackling the reliability of such multifaceted systems presents challenges, including component wear, multiple failure modes, the cascading effects of these failures, and the associated uncertainties, which require careful consideration. While traditional studies have examined these elements, the dynamic interplay of information between subsystems and the overarching system has only recently begun to draw focus. A notably understudied aspect is the reliability analysis of complex real-time systems that must adapt to evolving operational conditions. This paper proposes a novel methodology for assessing the reliability of complex real-time systems. This method integrates complex network theory, thus capturing the intricate operational characteristics of these systems, with adjustments to several key complex network parameters to define the nuances of communication within the network framework. To showcase the efficacy and adaptability of our approach, we present case studies on railway and maritime systems. For the railway system, our analysis spans various operational scenarios: from single train operations to simultaneous operations across multiple or different radio block center regions, accounting for node and edge failures. In maritime systems, the case studies employing the VHF data exchange system under operational scenarios are subject to network reliability analysis, successfully pinpointing critical vulnerabilities and modules of high importance. The findings of our research are promising, demonstrating that the proposed method not only accurately evaluates the overall reliability of complex systems but also identifies the pivotal weak points—be it modules or links—warranting attention for system enhancement.
Keywords:
complex network theory; failure scenario; network reliability analysis; railway systems; maritime systems MSC:
90B25
1. Introduction
Analyzing the reliability of complex systems is a difficult task due to the lack of a universally accepted and clear definition. According to Ladyman et al. [1], a complex system can be understood as an entity whose overall behavior exceeds the simple sum of its components. Meanwhile, other scholars emphasize distinct characteristics of complex systems, including self-organization, small world, and scale-free properties. Complex industrial systems include transportation, wind power, and hydraulic systems [2,3]. Furthermore, system components can be divided into homogeneous and heterogeneous component systems. In these systems, many nodes are connected by network structures possessing characteristics and the links between the nodes may connect or disconnect instantly at any time. Moreover, links may be weighted and possess directions. These varied systems exhibit several shared characteristics of complexity, such as interaction, dependency, being dynamic in nature, randomness, multiple components, hierarchical organization, multiple states, and multiple stresses [4]. Each of these factors introduces distinct challenges when it comes to modeling and evaluating the reliability of complex systems.
Reflecting on the aforementioned attributes of complex systems, numerous studies have focused on assessing the reliability of complex networks. Key areas of interest including reliability modeling [5], allocation [6], assessment [7], and optimization [8] are considered regularly. The goal of reliability modeling is to closely approximate the behavior of the actual system. Early efforts were dedicated to intuitive models, including the delta-star and bridge connection model [9]. Interactions within complex systems then began to receive attention, including logical models such as reliability block diagrams [10]. Binary decision diagrams [11] were also introduced, leading to increased focus on dependencies. Consequently, methodologies like Bayesian networks [12] and Petri Nets [13] were adopted. Until now, the dynamic characteristics were considered as part of the system model [14,15]. In reliability allocation, the redundancy allocation problem has received substantial attention. For example, for decades, Park [16] summarized studies concerning the reliability allocation problem, adopting mixed integer linear programming models to allocate reliability to a complex system. In reliability assessment, Peng [17] focused on the degradation analysis of complex systems under dynamic conditions, considering multiple degradation indicators. Mi [18] considered epistemic uncertainty in the reliability assessment of complex electromechanical systems, which provided a more flexible and effective approach by combining dynamic fault trees and the coefficient of variation method. In reliability optimization, Mutingi [19] presented a fuzzy multi-criteria genetic algorithm for the complex system with a bridge model, optimizing the cost and reliability goals by combining fuzzy techniques and expert choice. Information interactions between subsystems and their components of a dynamic complex system have been considered less frequently. Reliability analysis of complex real-time systems in operational scenarios is rare; however, assessing the effects of real-time interconnectivity in complex systems during operation offers crucial insights for decision-makers. Complex network theory (CNT) presents a promising framework to address these research deficiencies. Some studies have introduced CNT into the reliability analysis of industrial systems, including energy infrastructures [20], routing networks [21,22], and high-speed trains [23,24], where the structure of these industrial systems is assumed to be static. However, this assumption imposes limitations in the information flow systems. If the topological structure of a complex system changes during operation, the interactions between subsystems and their components are difficult to consider using traditional CNT parameters. Parameters such as degree, degree distribution, and average path length do not take into account the dynamic nature of information exchange within real-time systems. In real-time environments, information flows occur at different frequencies, with some data being transmitted more frequently than others, where traditional metrics fail to capture this aspect. In addition, real-time systems operate in conditions where the network topology is constantly changing due to the addition or removal of nodes. Traditional complex network analysis does not reflect the reality of systems where nodes frequently move or change. These discrepancies can lead to inaccurate assessments of system robustness and efficiency.
This study introduces a method for analyzing the reliability of complex real-time systems characterized by dynamic structures. Parameters related to network properties within complex network theory are modified to capture the information exchange process between the subsystems and interactions between subsystems and their components. The reliability evaluation indices are then extended to quantify the robustness of complex real-time systems in a more detailed manner. Case studies in the railway and maritime systems domains are employed to illustrate the effectiveness of the proposed method, considering alternative scenarios in which nodes and edges can fail. The findings demonstrate that this method is capable of pinpointing the critical importance of individual modules of a complex system and inform reliability improvement decisions. Adjustments have been made to the original complex network parameters to better align with the Very High Frequency (VHF) data exchange system (VDES) scenario, such as adding directionality to the network to make calculations more accurate and calculate the communication period according to the VDES channel division. If these case studies extend to real-world scenarios, based on the identified weak points in train control and VDES systems, designers can implement enhanced redundancy and failover mechanisms to ensure that, in the event of a communication link failure, the system can quickly switch to an alternative path, minimizing operational disruptions. Additionally, our model helps in building adaptive communication strategies that allow the system to dynamically adjust communication frequencies and resource allocations based on real-time conditions. Practical drills and simulations based on identified weak points can prepare operators to handle real-world scenarios more effectively. These recommendations aim to enhance the resilience, efficiency, and safety of train control and VDES systems by addressing the operational realities and challenges encountered in these complex environments.
The structure of the rest of the paper is as follows: Section 2 presents extensions to traditional complex network theory methods for the network reliability analysis of complex real-time systems. Section 3 demonstrates the case study of a railway system, and the real-time reliability analysis of node and edge failures within the train control system when a single train is operating as well as scenarios where two or more trains operate in the same RBC. Section 4 provides a case study in the context of a maritime system, where the reliability of VDES is analyzed and the changes in various parameters and the importance of VDES nodes under various failure conditions are investigated. Section 5 offers conclusions and directions for future research.
2. Network Reliability Analysis Method
This section introduces the method for analyzing the reliability of real-time networks, which centers on the refinement of four fundamental parameters: degree, average path length, diameter, betweenness, and network topology efficiency within complex network theory. These parameters have been adapted to more accurately reflect the dynamic nature of complex systems. Building upon these revised parameters, we have developed a set of reliability evaluation indices that measure the real-time reliability of complex systems in operation.
Complex network theory utilizes nodes and edges to construct the system model, yet the parameters defined in conventional CNT typically describe the interactions between subsystems and their components within systems with static structures. However, in communication systems, the roles of nodes and edges are not static but fluid. To address this discrepancy and embrace the dynamism of such systems, we have enhanced the parameters of degree, average path length, diameter, betweenness, and network topology efficiency. These updates ensure that our analysis can accommodate the shifting scenarios encountered in real-time operations.
The basic elements in complex network theory contain nodes, edges, and an adjacency matrix [25]. In the network, N represents the number of nodes, or vertices, and M is the number of edges. The communication network’s adjacency matrix is composed of binary values of 0s and 1s. indicates an edge between vertices i and j, and means no edge exists between these two nodes.
2.1. Degree and Degree Distribution
In traditional complex network theory, the degree [26] of node i corresponds to the count of nodes it is linked to, which is expressed as
The degree distribution function calculates the proportion of nodes possessing degree k. In a communication system, however, the process of information flow between nodes does not possess the concept of distance [27]. Instead, there are multiple channels between nodes with different channels possessing different frequencies. We incorporate communication cycles into activity calculations to accurately represent real-time information exchange by reflecting the timing and frequency of data transmission between different components of the system. Communication cycles define how often information is exchanged between nodes, and considering these cycles in activity calculations can capture the interaction of information flows between different components and understand how quickly and efficiently information propagates, also enhancing the understanding of how the network topology is constantly changing as the number of trains or ships changes. Therefore, the input degree and output degree are defined as the number of nodes supplying input to or receiving output from node i, respectively. The input activity and output activity are defined as
2.2. Average Path Length and Network Diameter
The distance denotes the number of edges in the shortest path connecting nodes i and j. The average path length L [28] is the mean shortest distance between any pair of nodes in the network. The network’s diameter refers to the longest shortest path between any two nodes, which is summarized as network diameter D.
The distance exists only when the two nodes are connected, so the channel failure probability is considered for every distance. Referring to the definition of average path length L, we define the average failure probability of an internal communication channel as [29]. In control systems, the “distance” between nodes is not physical but rather represents the flow of information. Given the importance of link stability in internal communications, we incorporate as a coefficient in the final distance formula between any two nodes, which reflects both the structural connections and the reliability of communication links.
Similar to D, represents the failure probability of the most vulnerable channel, which is the maximum among all edges.
2.3. Betweenness
In complex network theory, betweenness [30,31] characterizes the roles of nodes and edges within the network. This paper denotes it by B to reflect the number of shortest paths that traverse that node. Likewise, the edge betweenness, , indicates the count of shortest paths crossing the edge between nodes i and j.
2.4. Network Topology Efficiency
Degree, average path length, and betweenness are metrics used to describe node and edge properties. In complex network theory, the efficiency of network topology [32,33] characterizes the overall structure of the network and its global connectivity:
A higher efficiency in network topology indicates stronger overall connectivity. In the equation above, denotes the length of the shortest path between nodes i and j. To evaluate how E changes in the event of node or edge failures, the impact on network topology efficiency is examined separately for both nodes and edges:
A positive impact factor indicates lower network topology efficiency, while a negative value suggests higher efficiency. represents E under normal system operation, corresponds to E when node i fails, and reflects E when the edge between nodes i and j fails. Consequently, the impact factor serves as a measure of network stability.
2.5. Reliability Evaluation Indices
The definition of complex system network reliability is the ability to maintain its original network functions after being adversely affected by external or internal factors. Two reliability evaluation indices were selected to quantify the ability from different dimensions. Communication failure rate ratio characterizes the anti-interference of the network [34], and network efficiency influence factor is introduced in Section 2.5 to measure the robustness of the complex system. is the average failure probability of an internal communication channel when node i fails, and is the average failure probability when the system operates normally.
3. Case Study in Railway Systems
This section demonstrates the proposed network reliability analysis method based on the train control system under various operational scenarios.
3.1. Train Control System
The railway system is composed of several subsystems, including the train control system, the train network system, the traction drive control system, the traveler information system, and the brake control system. The train control system [35] is the “heart” of the railway system, combining the information from the ground and on-board system to guide the train operation and ensure system safety. A standard train control system consists of both on-board and ground subsystems. The ground subsystem comprises the following components: the train control center (TCC), temporary speed restriction server (TSRS), radio block center (RBC), lineside equipment unit (LEU), centralized traffic control (CTC), and computer-based interlocking (CBI), and the on-board subsystem encompasses on-board equipment (OBE). Between the on-board subsystem and ground system, the Global System for Mobile Communications-for Railway (GSM-R) connects these two subsystems.
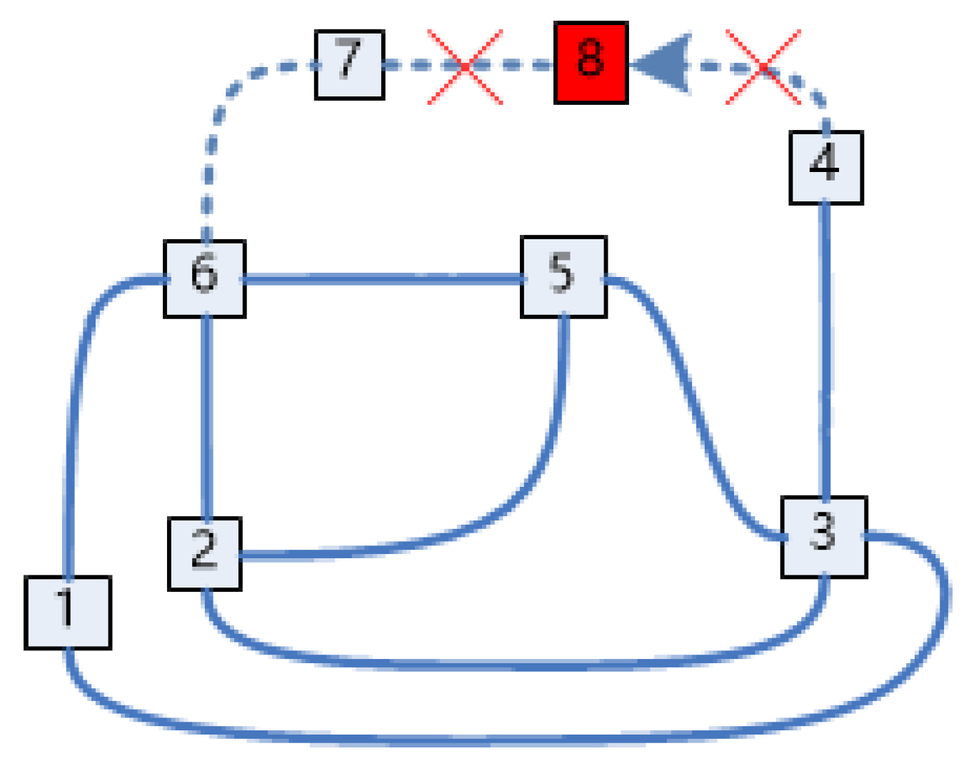
Figure 1 shows the process of information exchange in a train control system when a single train is operating.
Figure 1.
Information exchange within train control system.
In Figure 1, the dotted lines indicate wireless communication, whereas the solid lines denote wired communication.
3.2. Complex Network Model
Figure 2 provides an abstract view of the train control system presented in Figure 1, framed within the context of complex network theory, focusing on a single operating train. While both figures represent the same system, they offer different perspectives: Figure 1 details the information exchange between various subsystems, whereas Figure 2 simplifies this into a network model, where nodes represent the same components. Together, these complementary figures enhance the understanding of the system’s complexity. The numbers in Figure 2 correspond to the components labeled in Figure 1, where each number represents the same subsystem within the train control system.
Figure 2.
Train control system modeled as a complex network.
The train control system’s graph consists of nodes and edges. In normal operation, the communication network’s adjacency matrix is given as follows:
The network’s average path length is , with a topology efficiency of . The degree of each node in the train control system is given as follows:
Nodes 3 (TCC) and 6 (RBC) are shown to be the most significant ones with the highest degree, which is consistent with our earlier calculations. Likewise, the betweenness of nodes in the system is as follows:
This phenomenon highlights the significance of nodes 3, 6, and 7. As a result, the failure of node 6 (RBC) would have the most severe impact on system stability. The edge betweenness in the network is as follows:
This suggests that is the most important.
The train control system relies on several links for the aperiodic transmission of critical information during normal operations, such as one-way communication from the CBI to TCC, one-way communication from the CBI to RBC, and two-way communication between the RBC and OBE via the GSM-R network. These links do not follow a fixed communication cycle, with their cycle considered as ∞. For periodic communication, and based on insights from industry experts, the following cycle times are defined: s, s, s, s, s, and s. All other links are assumed to be non-periodic for simplicity. Based on these values, the activity of nodes in the train control system is as follows:
Thus, node 1 (computer-based interlocking) is identified as the most active, having the shortest communication cycle. Table 1 provides a summary of the node importance evaluation based on degree, betweenness, and activity.
Table 1.
Ranking of node importance.
To summarize, the RBC and TCC are identified as the most critical components of the train control system based on their degree, betweenness, and activity. Enhancing their reliability is likely to have the greatest positive impact on the overall system reliability. Data collected by the officers in administration of the Ministry of Railways [35] in 2015 agree with these assessments.
3.3. Case Studies
This section assesses the network reliability analysis method using several case studies involving node failure conditions, edge failure conditions, two trains operating, multiple trains operating in the same RBC jurisdiction, and multiple trains operating in different RBC jurisdictions, which conducted importance analysis on the nodes.
3.3.1. Node Failure Condition
In the node failure condition, there are some assumptions and parameters that need to be defined. The safety of the train control system is vital to the administrators. The train control system operates as a distributed system with a redundant architecture to guarantee safety. It is assumed that the likelihood of two subsystems failing simultaneously is negligible. Therefore, the node failure conditions only focus on the impact of a single subsystem. Initial parameters obtained from the industrial experience, incorporating insights from a domain expert include , , and . For the sake of simplicity, we assume that any disconnected nodes or links experience a 100% failure rate, as the focus of this study is on network reliability rather than connectivity problems.
Figure 3 and Figure 4 analyze two node failure conditions, failure of node 8 (OBE) and failure of node 6 (RBC). Upon the failure of node 8, the communication links connecting node 8 to nodes 4 and 7 also cease to function, making the average path length in this failure scenario . The resulting network topology efficiency is . According to Equations (7) and (8), the average failure probability and failure probability of the most vulnerable channel when the OBE fails are and . Performing the same calculations with node 6, the average path length is and the network topology efficiency is . The average failure probability and the failure probability of the most vulnerable channel when the RBC fails are and , respectively. A comparison of the failures in the OBE and RBC reveals that the RBC failure is more severe, as it leads to an infinite average path length and a more substantial reduction in network efficiency. Additionally, , indicating that the RBC failure has a more significant impact on the train control system’s reliability. Therefore, the RBC represents a more critical weak point in the system.
Figure 3.
Network model in the case of OBE failure.
Figure 4.
Network model in the case of RBC failure.
The failure of a particular node in the train control system is given by Equation (9) through the network topology efficiency as follows:
The failure of node three () and node six () has a significant impact on the network, highlighting their critical roles in maintaining stability and connectivity. The TCC (train control center) gathers track circuit occupancy data and relays it to the RBC (radio block center) via the CBI (computer-based interlocking). The RBC then generates the movement authority (MA), line description, and temporary speed restrictions, utilizing information such as the train’s status, track occupancy, interlocking conditions, and data from systems like OBE (onboard equipment) and ground systems, making their reliable operation crucial for safety.
3.3.2. Edge Failure Condition
The communication channel is sensitive to the environmental factors. The environment can cause an impact on the train control system’s reliability. Communication channels are disrupted when interference takes place. In complex network theory, edge failures can describe this situation. Figure 5 and Figure 6 show two alternative edge failure scenarios: one is the communication channel between node 6 and node 7; the other is the communication channel between node 4 and node 8.
Figure 5.
In the case of RBC to GSM-R failure.
Figure 6.
In the case of LEU to OBE failure.
Under the failure condition that the link connecting RBC to GSM-R is broken, the network topology efficiency is , and the corresponding average path length of the system under this edge failure scenario is , noting that represents the average path length when edge fails. The average failure probability is , and the most prone to failure is . Under the failure condition that the link connecting the LEU to OBE is broken, the network topology efficiency is , and the corresponding average path length when the edge between node 4 and node 8 fails is . The average failure probability and the failure probability of the most vulnerable channel during an LEU to OBE failure are and . From these results, it can be concluded that the connection between nodes 6 and 7 is more crucial as its failure would disrupt the entire communication network, preventing information exchange between the other nodes. The average failure probability for RBC to GSM-R output failure is lower than for LEU to OBE, demonstrating the RBC to GSM-R communication link as the weakest point in the system. The network topology efficiency when a particular edge between nodes i and j fails is given by
This indicates that the edges connecting nodes 6 and 7, nodes 3 and 4, and nodes 7 and 8 have the greatest impact on network topology efficiency, highlighting the critical importance of ensuring the reliability of these links.
3.3.3. Sensitivity Analysis on Failure Probability Assumptions
Sensitivity analysis is conducted using three different parameter sets to verify the robustness of our results under varying assumptions. The first set of parameters
(, , and ) represents the originally assumed failure probabilities, which are based on typical system performance data from industrial experience. The second set of parameters (, , and ) introduces slight incremental changes to the original assumptions, aiming to test the system’s response to minor deviations. This helps assess the stability of the system under small perturbations that are closer to real-world scenarios. The third set of parameters (, , and ) represents more extreme assumptions, designed to explore the changes in critical nodes and edges when the failure probabilities increase significantly:
| Parameters Set 1 | Parameters Set 2 | Parameters Set 3 | |
| 0.0107 | 0.012 | 1.07 | |
| 0.00644 | 0.00744 | 0.644 | |
| 0.599 | 0.604 | 0.599 | |
| 0.00923 | 0.0108 | 0.923 | |
| 0.858 | 0.873 | 0.858 | |
| 0.00663 | 0.00784 | 0.663 | |
| 0.616 | 0.636 | 0.616 | |
| 0.0108 | 0.011 | 1.08 | |
| 1 | 0.989 | 1 |
The results reported in the table reveal that the identification of critical nodes and edges remained consistent across all three parameter sets, including those representing slight deviations and extreme cases. This consistency indicates that our model is robust and reliable under different failure probability assumptions, thereby validating the applicability and resilience of our approach across various scenarios. These results further support the theoretical foundations and analytical methods.
3.3.4. Two Operating Trains
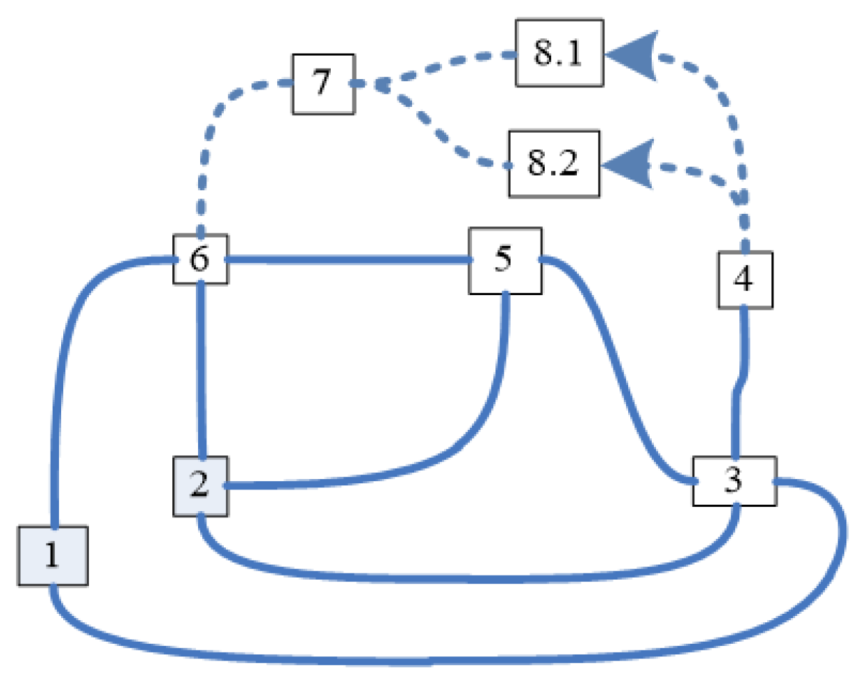
In the train control system, different RBC jurisdictions provide service for a fixed number of trains. As the number of trains increases, additional RBCs are needed. In this situation, we consider two trains operating within the same RBC jurisdiction, denoted 8.1 and 8.2 in the abstract diagram of the train control system, as a complex network, shown in Figure 7.
Figure 7.
Scenario with two trains operating.
Under the scenario where two trains are operating in the complex network, the number of nodes is and the number of edges is . When two trains operate normally, The communication network of the train control system is represented by the following adjacency matrix:
The relevant parameters are as follows:
Compared with the scenario where only one train is operating, the average path length L increased to 2.0556 from 1.894, and the network topology efficiency E decreased to 0.6109 from 0.6435. The degree of node 4 and node 7 increased to 3 from 2; betweenness of node 1, node 2, node 3, node 4, and node 5 increased to 3.33, 3.33, 23.5, 11, and 3.33 from 2.83, 2.83, 13.25, 2.75, and 2.83; and betweenness of node 6, node 7, and node 8 decreased to 15.5, 5.5, and 1 from 17.25, 8.75, and 1. Comparing in Section 3.2 and above summarizes the changes in edge betweenness.
3.3.5. Multiple Trains Operating in the Same RBC Jurisdiction
In the scenario where all trains are in the same RBC jurisdiction, the abstract diagram complex network under more trains operating is shown in Figure 8.
Figure 8.
Abstract diagram under operating condition of multiple trains.
The number of trains in the train control system complex network is denoted by Num_vehicle, abbreviated as , such that the number of nodes and the number of directed edges is
By calculating parameters in the scenario where only one or two trains are operating, it is possible to calculate some parameters of complex networks under an arbitrary number of trains in the same RBC jurisdiction.
First, the adjacency matrix when more trains operate in the same RBC jurisdiction can be expressed as
The average path length is
where is the number of vehicles and the average path length distribution is shown in Figure 9.
Figure 9.
The average path length distribution vs. number of trains in same RBC.
The average path length of the network increases until the number of trains reaches 10 and then approaches 2.0 asymptotically, as the number of vehicles continues to grow.
The degree of nodes in the network is
The betweenness of nodes in the network is
The network topology efficiency is
Figure 10 shows the network topology efficiency as a function of the number of vehicles.
Figure 10.
Network topology’s efficiency distribution of multiple trains in the same RBC.
The network topology efficiency decreases as the number of vehicles continues to grow, approaching 0.5 asymptotically.
3.3.6. Multiple Trains Operating in Different RBC Jurisdictions
Figure 11 shows the complex network diagram under the scenario where multiple trains operate across multiple RBC jurisdictions.
Figure 11.
The abstract diagram of multiple trains in different RBCs.
The adjacency matrix is
where
is the number of RBC regions, and is the number of trains within region , where . Since the number of nodes in the complex network model is , where represents the quantity of RBC regions and represents the quantity of trains, the matrix is a non-symmetric matrix and .
The average path length in the complex network is
From this formula, we compute the average path length distribution for various numbers of trains and regions.
As shown in Figure 12, when the number of regions is held constant and the number of trains increased, the average path length of the network decreases. This can be intuitively understood by considering a real-world scenario like a city subway system: adding more trains reduces the average waiting time for passengers and increases the frequency of trains running between them, making direct or indirect connections between any two stations become more efficient. As a result, passengers are able to reach their destinations via shorter paths, resulting in a lower average path length across the system. Similarly, when the number of trains and region number increase, such that and , the average path length approaches 3.6531 asymptotically. This reflects that in large-scale transportation networks, such as national railway systems, despite a large number of regional and operating trains, through careful design the average path length of the network can achieve a lower value.
Figure 12.
Average path length distribution vs. number of trains and regions.
The network diameter is
Nodes whose degree is affected by the number of trains and the number of regions are
In addition to these nodes, other nodes are equal to a constant less than 4.
The network topology efficiency is
According to this formula, the network topology efficiency distribution for different numbers of trains and regions is
As shown in Figure 13, when the number of regions is held constant, and the number of trains increased, the network topology efficiency increases. This phenomenon can be explained by complex network theory: as more trains are added to the network, the redundancy of the network increases, so that even if some connections are interrupted, other paths can effectively maintain network connectivity. In addition, complex network theory identifies that in a highly connected network, the distance between any two points tends to be shorter, so increasing the number of trains will reduce the average distance traveled by passengers and improve the overall efficiency of the network. Similarly, when the number of trains and region number increase, such that and , the network topology efficiency approaches 0.2955 asymptotically. Complex network theory reveals that an increase in node density in a network will lead to a reduction in network diameter, which means that the length of the longest path in the network is reduced; thus, the average shortest path between any two points in the network will also be reduced. In train networks, this manifests itself in the fact that passengers can reach their destinations efficiently using the shortest path, even if the network is very large.
Figure 13.
Network topology efficiency distribution vs. number of trains and regions.
4. Case Study in Maritime Systems
This section demonstrates the proposed network reliability analysis method based on the Very High Frequency (VHF) data exchange system (VDES) under various operational scenarios.
4.1. VHF Data Exchange System
From the hardware perspective, the VDES system includes ship earth stations, coastal stations, a space-based satellite constellation system, coast earth stations, a data center, and an operation control center. As shown in Figure 14, the ship earth station is mainly used in the ship-end to provide ships with information on the weather, ice conditions, hydrology, navigation aids, nautical charts, navigation control, vessel traffic management systems, pilotage, optimization of port entry operations, cargo type instructions, navigation risk warnings between ships and between ships and the shore, remote ship maintenance, search and rescue operations, ship data reports, and other related information. The VDES also provides navigation and communication functions [36]. Coastal stations are primarily used to receive all VDES information (shipboard, data center) within the coverage area and perform related communication and auxiliary navigation. The VDES satellite system and the coastal earth stations use satellite communication as the data exchange method of VDES and have a VDES receiver and transmitter, primarily for land/shore areas with station signals uncovered and oversea areas with no land/shore station facilities [13]. Its technical feature is the combination of satellite communication and VDES capabilities—the use of duplex links, through the practical cooperation of uplink and downlink—to achieve long-distance ship-to-shore communication and improve the range of base stations’ data exchange capability [37]. The ground data processing center summarizes and analyzes the data circulating in the VDES system. After converting it into crucial information, it provides ships with various types of comprehensive instructions between vessels and ships to shore. The operation control center is equipped with a dedicated line with the coastal earth station and data center for coordination and management.
Figure 14.
VDES architecture.
4.2. Complex Network Model
The bidirectional graph is represented by a solid line. When there is only a single-directional edge between two nodes, a solid line with a unidirectional arrow represents it. Meanwhile, solid lines are employed for wired communication, and dotted lines are used for wireless communication. Each subsystem is numbered in turn. The figure shows that the quantity of nodes in the VDES system network is and the quantity of directed edges is . The VDES system is a globally connected, directed, complex network.
The VDES system communication network model is abstracted based on complex network theory. In our model, each device is treated as an identical node, the interactions among these devices are considered uniform network edges, and we assess the system’s reliability through an analysis of this abstracted network structure. Under normal operating conditions, the communication network of the VDES system is represented by the following adjacency matrix:
The network has an average path length of and a topology efficiency of . The degree of each node within the VDES system is as follows:
In the VDES system, nodes with a degree of two account for 86% of the total nodes, and nodes with a degree of 1 account for 14% of the total number of nodes, which indicates that our network model describes only a simple uniform situation. The betweenness of nodes in the VDES system is
In the VDES system, nodes 1, 2, and 3 handle the heaviest network traffic, nodes 4 and 7 experience moderate traffic, and nodes 5 and 6 have the least. Specifically, the data center, or node 2, exhibits the weakest stability, whereas the shipborne and satellite terminals—nodes 6 and 7, respectively—maintain relatively higher stability. The network traffic volume is a direct indicator of a node’s significance within the system; thus, the data center emerges as the most pivotal node due to its substantial traffic load. Subsequently, the remaining nodes follow in descending order of importance: the operation control center, the coast station, the VDES communication link, the coast earth station, the shipboard terminal, and finally the satellite terminal. This ranking aligns with each node’s respective network traffic volume and role in the system.
The betweenness of edges in the VDES system is
The betweenness also indicates that the communication connections from node 1 to node 2 and from node 2 to node 3 are the most critical.
According to the VDES channel division [38], the communication period is defined as follows:
Figure 15 provides an abstract view of the VDES system presented in Figure 14. The numbers in the figure correspond to the components listed in below. The input and output activities of the nodes are shown below in Table 2:
Figure 15.
VDES nearshore application model diagram.
Table 2.
and .
represents the activity of node i and the activity of node i. is the sum of output and input ; therefore, the activity of each node is computed as in Table 3:
Table 3.
.
The most active nodes are node 1 and node 2; in the VDES system, the communication of the operation control center is the most dynamic, and the least active nodes are the VDES communication link and each remote terminal. This conclusion is reasonable because the communication of the operation control center is periodic, and every clock cycle is short, so its transmission is the most frequent.
The activity distribution of the node is
The activity in order from high to low is as follows: operation control center, data center, coast station, coast earth station, VDES communication link, satellite terminal, and shipboard terminal. The order of importance of nodes is shown in the following Table 4:
Table 4.
Importance ranking of nodes.
The operation control center and the data center are identified as the most critical nodes, with the enhancement of their reliability being crucial for the overall communication reliability of the VDES system. Conversely, shipborne and satellite terminals are identified as the more vulnerable points within the network. Addressing the robustness of these nodes is essential for system stability. The CNT approach, as discussed, effectively identifies these nodes and links, confirming its value in guiding improvements to network reliability.
4.3. Case Studies
This section verifies the network reliability analysis method using several case studies involving the wired connection node failure condition, wireless connection node failure condition, wired connection edge failure condition, and wireless connection edge failure condition.
4.3.1. Reliability Analysis under Node Failure
From the internal communication network structure of the VDES system, the network communication connection includes two types: wired and wireless communication. The wireless communication process consists of the coast station and the VDES communication link, the VDES communication link, the shipboard terminal, the satellite, and the coast earth station. It is assumed that the failure probability of the wired communication is , wireless communication is , and the communication process between the satellite and the shipboard terminal is .
The average failure probability of the VDES system is
The most vulnerable failure probability is
The longest distance of the communication network is
Figure 16 and Figure 17 show two cases of failure in wired and wireless connections. Taking Figure 16 as an example, when the operation control center of node 1 fails, its communication with the data center of node 2 and the coastal earth station of node 7 is disconnected. The average path length and the average efficiency of the network topology are . In Figure 17, when the satellite terminal at node 6 fails, the connection with the shipboard terminal at node 5 and the coastal earth station at node 7 is disconnected. The average path length and the average efficiency of the network topology are . When the coast earth station and the shipborne terminal lose their connection to satellites, the average path becomes infinite, seriously destroying the information transmission of the network. Comparing these values in this way shows that the failure of the operation and control center of node 1 is more critical as it makes the average path length infinite and effectively reduces the network efficiency.
Figure 16.
Wired connection node failure network model.
Figure 17.
Wireless connection node failure network model.
The average failure probability and the most vulnerable failure probability under shipboard terminal failure are
The average failure probability and the most vulnerable failure probability in the case of operation control center failure are
The average failure rate after the failure of the shipboard terminal system decreases, and the average failure rate after the collapse of the operation control center increases. Thus, the operation control center is a weaker point of the communication transmission system. In practice, it is necessary to focus on maintaining the communication problem of the operation and control center. Meanwhile, the failure rate of the operation and control center after failure is greater than that of the shipboard terminal, so the operation and control center are more likely to cause a communication failure.
According to Equation (9), the network efficiency impact factors, including other node failures, are
To summarize, the failure of the operation control center not only seriously impacts the stability of the VDES system but also causes the communication function of the system to collapse. It is necessary to improve the reliability of these two subsystems or adopt other redundant structures to ensure that the communication of the VDES system will not be interrupted after the module fails.
4.3.2. Reliability Analysis under Edge Failure
The case where a communication channel is interrupted by interference corresponds to an edge’s failure in a complex network model. Figure 18 shows the network topology efficiency of the system when the communication between the data center and the shore base station is interrupted:
Figure 18.
Wired connection edge failure model.
In Figure 19, the network topology efficiency is
Figure 19.
Wireless connection edge failure model.
When these two nodes fail, the network efficiency of the system is reduced, which affects the stability of the network. The average path length of the VDES system is
When the channel between nodes 2 and 3 is interrupted, the communication function of the network will fail, and the information between the remaining nodes in the network cannot be transmitted.
The average failure probability and the failure probability of the most vulnerable point in the network during a communication interruption between the data center and the coastal station are
The average failure probability and the failure probability of the most vulnerable point in the network during a communication interruption between the coastal station and the VDES communication link are
The system’s average failure probability after the channel between the data center and the coastal station is interrupted is higher than that of the original network, so the communication between the data center and the coastal station is a weakness of the system.
According to Equation (10), the network topology efficiency impact factors when there is a unilateral fault between nodes i and j are
This indicates that the edges between nodes 1 and 2 and between nodes 2 and 3 have the most significant impact on the network topology efficiency, with the reliability of the connections between these nodes being of utmost importance.
4.3.3. Sensitivity Analysis on Failure Probability Assumptions
Sensitivity analysis is performed using three distinct parameter sets to assess the robustness of our results. The first set of parameters (, , ) corresponds to our original assumptions, grounded in standard system performance data and established estimates from relevant literature. The second set (, , ) introduces slight variations from the original values. This approach helps us determine the stability of critical nodes and edges under small perturbations. The third set (, , ) represents more extreme conditions, allowing us to explore how the system behaves under significantly higher failure probabilities.
| Parameters Set 1 | Parameters Set 2 | Parameters Set 3 | |
| 0.0239 | 0.0265 | 2.39 | |
| 0.0341 | 0.0376 | 3.41 | |
| 1.28 | 1.42 | 128 | |
| 0.0233 | 0.0229 | 2.33 | |
| 0.972 | 0.864 | 97.2 | |
| 0.0281 | 0.0310 | 2.81 | |
| 1.17 | 1.17 | 117 | |
| 0.0191 | 0.0213 | 1.91 | |
| 0.802 | 0.804 | 80.2 |
The results of our analysis showed that the critical nodes and edges identified were consistent across all three parameter sets. Even with the incremental changes in the second set and the substantial shifts in the third set, the outcomes remained closely aligned with those from the original assumptions. This suggests that our model is robust and dependable under a range of failure probability scenarios, reinforcing the general validity of our approach across different conditions. The alignment of these findings further underscores the reliability of our method in identifying key network components, even when subjected to varying assumptions.
4.3.4. Operation of Multiple Nodes in a Shared Space
In this section, we extend the scenario to encompass multi-satellite, multi-ship, and multi-base station configurations, and multiple connection modes. At this stage, manual calculations of complex parameters are impractical. Consequently, we developed Python scripts to generate model scenarios and perform the relevant calculations. One scene of operating under multiple nodes was simulated, as depicted by the abstract diagram of the complex network in Figure 20 and Figure 21.
Figure 20.
The generic model network generated for VDES complex network.
Figure 21.
Detailed realization of Figure 20, the abstract diagram under multiple nodes operation.
Each subsystem is numbered in turn. Node 1: operation control center; node 2: data center; nodes 3.1 and 3.2: coastal station; nodes 4.1 and 4.2: coastal earth station; nodes 5.1 to 5.3: satellite terminal; node 6.1 to 6.9: ship terminal. The figure shows that the number of nodes in the VDES system network is M = 18 and the number of directed edges is N = 27. Relevant complex network parameters are calculated:
In the VDES system, nodes with a degree of 2 comprise 33% of the total nodes, while nodes with degrees of 3 and 4 each make up 28% of the total. Nodes with degrees of 1 and 5 represent only 6% each of the total node count. The loads on nodes 3.1, 2, and 5.2 are the highest. Central nodes exhibit the worst stability, while shipboard and satellite terminals demonstrate better resilience. Nodes with higher loads are critical for system performance. The operation control center exhibits the most dynamic communication, in contrast to less active nodes such as the VDES communication link and remote terminals. This observation aligns with expectations, as the operation control center engages in periodic communication with short clock cycles, resulting in frequent transmissions.
According to Equation (9), the calculation results of network efficiencies in the case of a single node failure are listed as follows:
The calculation results of network efficiency impact factors are listed as follows:
The operation control center (node 1), the coastal earth station (node 4.2), and the satellite (node 5.2) exert the most substantial impact on the network’s overall connectivity, with influence factors of 23.7%, 25.2%, and 24.9%, respectively. The network topology efficiency displayed an increase even after certain nodes, such as node 3.2 and node 6.9, experienced failures. This counter-intuitive outcome can be attributed to the role of these nodes within the network; if the nodes that fail are acting as bottlenecks or are otherwise contributing inefficiently to the network, their absence can paradoxically enhance overall network efficiency. In addition, in small-world networks, removing certain nodes may reduce the average length of the path [39]. Moreover, failed nodes may cause the network to become more centralized. The centralization can improve efficiency because it reduces some of the complexity of decision-making and transmission [40].
The calculation results for network efficiencies and network topology efficiency impact factor are shown in the table below, signifying when there is a failed edge between nodes i and j.
| Failure | Failure | Failure | ||||||
| 1-2 | 39.4% | 6.99% | 3.1-6.3 | 41.7% | 1.56% | 6.4-6.5 | 41.9% | 1.09% |
| 1-4.1 | 40.2% | 5.1% | 6.1-5.1 | 41.8% | 1.32% | 6.6-6.5 | 41.9% | 1.09% |
| 1-4.2 | 30.1% | 28.9% | 6.2-5.1 | 41.8% | 1.32% | 6.5-6.7 | 41.5% | 2.03% |
| 2-3.1 | 40.3% | 4.86% | 6.3-5.1 | 41.8% | 1.32% | 5.3-6.7 | 42% | 0.85% |
| 2-3.2 | 38.8% | 8.4% | 5.2-6.4 | 41.6% | 1.79% | 5.3-6.8 | 41.7% | 1.56% |
| 4.1-5.1 | 40.8% | 3.68% | 5.2-6.5 | 41.7% | 1.56% | 5.3-6.9 | 41.7% | 1.56% |
| 4.2-5.2 | 29.9% | 29.4% | 5.2-6.6 | 41.6% | 1.79% | 6.7-6.8 | 41.9% | 1.09% |
| 3.1-6.1 | 41.7% | 1.56% | 5.2-5.3 | 40.5% | 4.39% | 6.7-6.9 | 41.9% | 1.09% |
| 3.1-6.2 | 41.7% | 1.56% | 6.4-6.6 | 42% | 0.85% | 6.8-6.9 | 42% | 0.85% |
Collectively, the network suffers more from the failure of edges than from that of nodes. The most significant impacts arise from edge failures between nodes 4.2 and 5.2, nodes 1 and 4.2, and nodes 1 and 2, leading to decreases in network topology efficiency of 29.9%, 30.1%, and 39.4%, respectively. The associated influence factors for these edges are 29.4%, 28.9%, and 6.99%. Therefore, the integrity of the connections between these specific nodes is paramount for network reliability.
From our example scenario, expanding the constellation of satellites and the fleet of maritime vessels enhances the efficiency of the network’s topology. According to complex network theory, a greater number of satellites diversifies potential communication routes, thus bolstering the resilience of the network against the failure of any singular connection. This theory further elucidates that a network with a dense web of interconnections will naturally exhibit shorter average distances between nodes. As such, an increase in satellites and ships contracts the communication paths, thereby streamlining the network’s overall functionality. Enhanced node density precipitates a reduction in the network’s diameter so that, within an extensive spatial network, data and signals can be relayed expediently across the shortest possible routes despite a proliferation of nodes. However, this study remains academic in nature, aimed at developing and illustrating key concepts rather than replicating an entire real-world system. Applying our methods to larger, more complex systems will present additional future research possibilities, such as the need for consistent and comprehensive data collection. These challenges are beneficial for ensuring the reliability and applicability of our methods in real-world scenarios.
5. Conclusions and Future Research
This paper generalized and applied complex network theory to network reliability analysis, with a focus on both train control systems and the VHF data exchange system (VDES). With the application of complex network theory, the information transmission process between various modules in the system was abstracted into a network model. The topological features were examined to explore the connections between nodes in the internal structure, enabling the detection of vulnerable nodes and edges that are most appropriate for enhancing reliability. By analyzing possible failure scenarios of nodes and edges, the system’s weak points can be pinpointed, and the significance of each module was evaluated and prioritized accordingly. This abstraction supports comprehensive study of the topological characteristics of these systems, revealing the relationships between nodes, and pinpointing potential frailties within their structures.
For the train control system, simulations of node and edge failures validated the method’s ability to discern system vulnerabilities, aligning closely with industry expertise and statistical data. This concurrence underlines the method’s potential as a reliable tool for identifying critical components that significantly impact system reliability. The extension of this methodology to VDES further exemplifies its versatility. By adjusting network parameters to the specifics of VDES, such as the incorporation of directional flow and tailored communication periods, the study was able to adapt the complex network theory framework effectively, thus providing a robust foundation for future parameterization and connectivity analyses within such networks. Our findings align with the expertise in this specific domain, showing that the notable components identified have the most significant impact on system reliability.
Our focus on modified CNT parameters like average path length and network topology efficiency was driven by their relevance to capturing the dynamic information exchange and topology changes characteristic of real-time systems like VDES. While traditional metrics like clustering coefficient and centrality measures were not the primary focus, this initial research lays the groundwork for exploring these and other network characteristics in future studies. This work represents the first step in a broader investigation, and we acknowledge that incorporating additional metrics could further enhance the analysis. Moreover, since the primary focus of this article is on applying complex network theory to reliability analysis, and the issue of node connectivity is not closely tied to the specific case studies presented, we opted to simplify the treatment by assigning a 100% failure rate to disconnected nodes. In future work, we plan to explore the failure conditions of these nodes in practical applications in greater detail and provide a more precise analysis.
Moving forward, several paths for future research include exploring the application of this method to other complex systems where communication reliability is paramount. Integrating artificial intelligence and machine learning techniques could refine the identification of weak nodes and edges by predicting system behavior under various failure scenarios. Finally, a real-world implementation of the proposed improvements, followed by a comparative analysis, would provide valuable empirical evidence to further validate the efficacy of this network reliability analysis method. These ideas pave the way for a broader application of complex network theory in the field of network reliability, with the potential to enhance not only theoretical understanding but also practical system resilience across various domains.
Author Contributions
Conceptualization, Y.Z. and J.E.; methodology, Y.Z. and J.E.; software, J.E.; validation, J.E.; formal analysis, Y.Z., J.E. and L.F.; investigation, J.E.; resources, L.F.; writing—original draft preparation, Y.Z. and J.E.; writing—review and editing, L.F.; visualization, Y.Z. and J.E.; supervision, L.F.; project administration, Y.Z.; funding acquisition, Y.Z. All authors have read and agreed to the published version of the manuscript.
Funding
This research was funded by National Key Research and Development Program of China (Grant No. 2021YFC2801000).
Data Availability Statement
Data are contained within the article.
Conflicts of Interest
The funders had no role in the design of the study; in the collection, analyses, or interpretation of data; in the writing of the manuscript; or in the decision to publish the results.
Abbreviations
| CNT | Complex Network Theory |
| TCC | Train Control Center |
| TSRS | Temporary Speed Restriction Server |
| RBC | Radio Block Center |
| LEU | Lineside Equipment Unit |
| CTC | Centralized Traffic Control |
| CBI | Computer-Based Interlocking |
| OBE | On-Board Equipment |
| GSM-R | Global System for Mobile Communications-for Railway |
| MA | Movement Authority |
| VHF | Very High Frequency |
| VDES | VHF Data Exchange System |
References
- Ladyman, J.; Lambert, J.; Wiesner, K. What is a complex system? Eur. J. Philos. Sci. 2013, 3, 33–67. [Google Scholar] [CrossRef]
- Tsiotas, D.; Polyzos, S. Analyzing the Maritime Transportation System in Greece: A Complex Network Approach. Netw. Spat. Econ. 2015, 15, 981–1010. [Google Scholar] [CrossRef]
- Sun, Y.; Tang, X. Cascading failure analysis of power flow on wind power based on complex network theory. J. Mod. Power Syst. Clean Energy 2014, 2, 411–421. [Google Scholar] [CrossRef]
- Zhao, G.L.; Xing, L.D. Reliability analysis of IoT systems with competitions from cascading probabilistic function dependence. Reliab. Eng. Syst. Saf. 2020, 198, 106812–106827. [Google Scholar] [CrossRef]
- Alkaff, A. Discrete time dynamic reliability modeling for systems with multistate components. Reliab. Eng. Syst. Saf. 2021, 209, 107462. [Google Scholar] [CrossRef]
- Wu, Y.; Sun, W. Research on the reliability allocation calculation method of a wind turbine generator set based on a vine copula correlation model. Energy Sci. Eng. 2021, 9, 1543–1553. [Google Scholar] [CrossRef]
- He, J.; Gao, R.; Chen, J. A sparse data-driven stochastic damage model for seismic reliability assessment of reinforced concrete structures. Reliab. Eng. Syst. Saf. 2022, 223, 108510. [Google Scholar] [CrossRef]
- Golmohammadi, E.; Ardakan, M.A. Reliability optimization problem with the mixed strategy, degrading components, and a periodic inspection and maintenance policy. Reliab. Eng. Syst. Saf. 2022, 223, 108500. [Google Scholar] [CrossRef]
- Hwang, C.L.; Tillman, F.A.; Lee, M.H. System-Reliability Evaluation Techniques for Complex/Large Systems—A Review. IEEE Trans. Reliab. 1981, R-30, 416–423. [Google Scholar] [CrossRef]
- Bistouni, F.; Jahanshahi, M. Analyzing the reliability of shuffle-exchange networks using reliability block diagrams. Reliab. Eng. Syst. Saf. 2014, 132, 97–106. [Google Scholar] [CrossRef]
- Hardy, G.; Lucet, C.; Limnios, N. K-Terminal Network Reliability Measures with Binary Decision Diagrams. IEEE Trans. Reliab. 2007, 56, 506–515. [Google Scholar] [CrossRef]
- Bobbio, A.; Portinale, L.; Minichino, M.; Ciancamerla, E. Improving the analysis of dependable systems by mapping fault trees into Bayesian networks. Reliab. Eng. Syst. Saf. 2001, 71, 249–260. [Google Scholar] [CrossRef]
- Berthomieu, B.; Diaz, M. Modeling and verification of time dependent systems using time Petri nets. IEEE Trans. Softw. Eng. 1991, 17, 259–273. [Google Scholar] [CrossRef]
- Cheng, Y.; Elsayed, A.E. Reliability modeling of mixtures of one-shot units under thermal cyclic stresses. Reliab. Eng. Syst. Saf. 2017, 167, 58–66. [Google Scholar] [CrossRef]
- Fiondella, L.; Xing, L.D. Discrete and continuous reliability models for systems with identically distributed correlated components. Reliab. Eng. Syst. Saf. 2015, 133, 1–10. [Google Scholar] [CrossRef]
- Park, Y.W. MILP Models for Complex System Reliability Redundancy Allocation with Mixed Components. INFORMS J. Comput. 2020, 32, 600–619. [Google Scholar] [CrossRef]
- Peng, W.W.; Li, Y.F.; Mi, J.H.; Yu, L.; Huang, H.Z. Reliability of complex systems under dynamic conditions: A Bayesian multivariate degradation perspective. Reliab. Eng. Syst. Saf. 2016, 153, 75–87. [Google Scholar] [CrossRef]
- Mi, J.H.; Li, F.Y.; Yang, Y.J.; Peng, W.W.; Huang, H.Z. Reliability assessment of complex electromechanical systems under epistemic uncertainty. Reliab. Eng. Syst. Saf. 2016, 152, 1–15. [Google Scholar] [CrossRef]
- Mutingi, M.; Kommula, V.P. Multi-criteria reliability optimization for a complex system with a bridge structure in a fuzzy environment: A fuzzy multi-criteria genetic algorithm approach. Eksploat. I Niezawodn.—Maint. Reliab. 2016, 437, 651–663. [Google Scholar] [CrossRef]
- Beyza, J.; Paricio, E.; Yusta, J. Applying Complex Network Theory to the Vulnerability Assessment of Interdependent Energy Infrastructures. Energies 2019, 12, 421. [Google Scholar] [CrossRef]
- Liu, H.; Hu, X.-B.; Yang, S.; Zhang, K.; Di Paolo, E. Application of Complex Network Theory and Genetic Algorithm in Airline Route Networks. Transp. Res. Rec. 2011, 2214, 50–58. [Google Scholar] [CrossRef]
- Dai, H.; Yan, E.; Li, N.; Bao, K.; Zhang, B. Freeway Network Connective Reliability Analysis Based on Complex Network Approach. Procedia Eng. 2016, 137, 372–381. [Google Scholar] [CrossRef]
- Lin, S.; Jia, L.; Wang, Y.; Qin, Y.; Li, M. Reliability Study of Bogie System of High-Speed Train Based on Complex Networks Theory. In Proceedings of the 2015 International Conference on Electrical and Information Technologies for Rail Transportation; Springer: Berlin, Heidelberg, 2016; pp. 117–124. [Google Scholar]
- Feng, Y.; Qin, Y.; Kang, L.-L.; Liu, D.; Yang, X.-J.; Ma, H.-N.; Ji, L.-M. Reliability Analysis of Bogie System Based on Complex Network and Failure Propagation. In Proceedings of the International Conference on Quality, Reliability, Risk, Maintenance, and Safety Engineering (QR2MSE), Zhangjiajie, China, 6–9 August 2019; pp. 1–4. [Google Scholar]
- Newman, M.E.J. The Structure and Function of Complex Networks. SIAM Rev. 2003, 45, 167–256. [Google Scholar] [CrossRef]
- Yin, X.; Mo, Y.; Dong, C.; Zhang, Y. Identification of the influential parts in a complex mechanical product from a reliability perspective using complex network theory. Qual. Reliab. Eng. Int. 2020, 36, 604–622. [Google Scholar] [CrossRef]
- Bian, T.; Deng, Y. Identifying Influential Nodes in Complex Networks: A Node Information Dimension Approach. Chaos Interdiscip. J. Nonlinear Sci. 2018, 28, 043109. [Google Scholar] [CrossRef]
- Albert, R.; Barabási, A.-L. Statistical mechanics of complex networks. Rev. Mod. Phys. 2002, 74, 47–97. [Google Scholar] [CrossRef]
- Boccaletti, S.; Latora, V.; Moreno, Y.; Chavez, M.; Hwang, D.-U. Complex networks: Structure and dynamics. Phys. Rep. 2006, 424, 175–308. [Google Scholar] [CrossRef]
- Xu, S.; Zhou, H.; Li, C.; Yang, X. Vulnerability Assessment of Power Grid Based on Complex Network Theory. In Proceedings of the Asia-Pacific Power and Energy Engineering Conference, Wuhan, China, 27–31 March 2009; pp. 1–4. [Google Scholar]
- Ali, M.A.; Jafarian, M. Power Grids as Complex Networks: Resilience and Reliability Analysis. IEEE Access 2021, 9, 119010–119031. [Google Scholar]
- Yong, Q. Statistical analysis of weighted complex network in Chinese high-speed railway. J. Railw. Sci. Eng. 2016, 13, 201–209. [Google Scholar]
- Zhang, J.; Qiang, Y.; Li, X.; Zhang, C.; Xu, D.; Wang, X. Reliability Analysis of Tianjin Urban Rail Transit Network Based on Complex Network Evolution Characteristics. Mod. Phys. Lett. B 2021, 35, 2150075. [Google Scholar] [CrossRef]
- Wang, Y.; Zhang, L.; Sun, S. Evaluating Network Reliability Using Topology-Based and Simulation-Based Approaches. Int. J. Crit. Infrastructures 2017, 13, 187–207. [Google Scholar]
- Chen, B.; Cai, B.; Shangguan, W.; Wang, J. Data-Driven Failure Characteristics and Reliability Analysis for Train Control On-Board Subsystem. IEEE Access 2019, 7, 126489–126499. [Google Scholar] [CrossRef]
- Grujicic, J. A Feasibility Study for a Satellite VHF Data Exchange System (VDES). Ph.D. Thesis, KTH Royal Institute of Technology, Stockholm, Sweden, 2019. [Google Scholar]
- Lázaro, F.; Raulefs, R.; Wang, W.; Clazzer, F.; Plass, S. VHF Data Exchange System (VDES): An enabling technology for maritime communications. CEAS Space J. 2018, 11, 55–63. [Google Scholar] [CrossRef]
- ITU-R M.2092-1; Technical Characteristics for a VHF Data Exchange System in the VHF Maritime Mobile Band. International Telecommunication Union: Geneva, Switzerland, 2020.
- Zhu, D.; Wang, D.; Hassan, S.-U.; Haddawy, P. Small-World Phenomenon of Keywords Network Based on Complex Network. Scientometrics 2013, 97, 435–442. [Google Scholar] [CrossRef]
- Bernstein, E.S.; Shore, J.C.; Jang, A.J. Network Centralization and Collective Adaptability to a Shifting Environment. Organ. Sci. 2022, 34, 1997–2525. [Google Scholar] [CrossRef]
Disclaimer/Publisher’s Note: The statements, opinions and data contained in all publications are solely those of the individual author(s) and contributor(s) and not of MDPI and/or the editor(s). MDPI and/or the editor(s) disclaim responsibility for any injury to people or property resulting from any ideas, methods, instructions or products referred to in the content. |
© 2024 by the authors. Licensee MDPI, Basel, Switzerland. This article is an open access article distributed under the terms and conditions of the Creative Commons Attribution (CC BY) license (https://creativecommons.org/licenses/by/4.0/).




















