Next Article in Journal
Prediction of Turbulent Boundary Layer Flow Dynamics with Transformers
Previous Article in Journal
MS-UNet: Multi-Scale Nested UNet for Medical Image Segmentation with Few Training Data Based on an ELoss and Adaptive Denoising Method
Previous Article in Special Issue
A Fuzzy Logic Inference Model for the Evaluation of the Effect of Extrinsic Factors on the Transmission of Infectious Diseases
 
 
Font Type:
Arial Georgia Verdana
Font Size:
Aa Aa Aa
Line Spacing:
Column Width:
Background:
Article

Integrating Fuzzy MCDM Methods and ARDL Approach for Circular Economy Strategy Analysis in Romania

Department of Economic Informatics and Cybernetics, Bucharest University of Economic Studies, 010552 Bucharest, Romania
*
Author to whom correspondence should be addressed.
Mathematics 2024, 12(19), 2997; https://doi.org/10.3390/math12192997
Submission received: 6 August 2024 / Revised: 14 September 2024 / Accepted: 24 September 2024 / Published: 26 September 2024
(This article belongs to the Special Issue Fuzzy Logic and Computational Intelligence)

Abstract

This study investigates the factors influencing C O 2 emissions in Romania from 1990 to 2023 using the Autoregressive Distributed Lag (ARDL) model. Before the ARDL model, we identified a set of six policies that were ranked using Fuzzy Electre, Topsis, DEMATEL, and Vikor. The multi-criteria decision-making (MCDM) methods have highlighted the importance of a circular policy on C O 2 emission reduction, which should be a central focus for policymakers. The results of the ARDL model indicate that, in the long term, renewable energy production reduces C O 2 emissions, showing a negative relationship. Conversely, an increase in patent applications and urbanization contributes to higher C O 2 emissions, reflecting a positive impact. In total, five key factors were analyzed: C O 2 emissions per capita, patent applications, gross domestic product, share of energy production from renewables, and urbanization. Notably, GDP does not significantly explain C O 2 emissions in the long run, suggesting that economic growth alone is not a direct driver of C O 2 emission levels in Romania. This decoupling might result from improvements in energy efficiency, shifts towards less carbon-intensive industries, and the increased adoption of renewable energy sources. Romania has implemented effective environmental regulations and policies that mitigate the impact of economic growth on C O 2 emissions.
MSC:
03B52; 03E72; 28E10; 47S40

1. Introduction

Considered as an innovative economic model, the Circular Economy (CE) promotes the main policy of using resources in an efficient way coupled with a waste minimization objective. The CE model, as opposed to a traditional, linear economic model, as it is currently in Romania, offers sustainable solutions taking into account the current global challenges of climate change and environmental protection.
In the Romanian context, the implementation of CE strategies becomes essential to support sustainable development and improve the economic and environmental performance. The present study uses a fuzzy multi-criteria approach and an ARDL econometric model to analyze and prioritize CE strategies relevant for Romania. By integrating these methods, the research provides a detailed understanding of the critical factors influencing the transition to a CE, helping to inform strategic and operational decisions for the country’s sustainable development. This comprehensive approach enables the assessment of the dynamic interdependencies between C O 2 emissions and economic and social factors, providing a holistic perspective on the impact of circular policies.
According to the National Strategy for the CE (NSCE) [1], Romania needs a long-term framework and strategic direction to overcome the challenges in the transition from a linear to a CE. The overall objective of the NSCE is to provide this framework, and decoupling economic development from the use of natural resources and environmental degradation is considered as a metric of success for this transition.
CE means responsible consumption and production, and the National Strategy proposes [1], among other things, to increase resource productivity, reduce waste generation, and increase recycling.
According to the European Parliament [2], CE is a production and consumption model that focuses on maximizing the use of resources through sharing, renting, reuse, repair, refurbishment, and recycling. This model extends the life of products, thereby reducing waste and the consumption of new resources. This approach contributes to sustainable development by providing solutions to protect the environment and make efficient use of the available resources.
Currently, the most impactful factor in addressing global climate change is technological advancement [3]. By Chen and Lee [4], the enhancement of environmental legislation has led to a consistent increase in environmental technologies having the goal to reduce C O 2 emissions. These advancements foster the rapid expansion of new technological applications, boosting energy efficiency and reducing energy consumption [5]. Technological innovation is important in economic restructuring and optimization, shifting traditional economic development from a production-driven approach to an innovation-driven model, lowering C O 2 emissions associated with industrialization [6].
The main goal of our study is to assess how to set clear priorities in the implementation of CE strategies using multi-criteria fuzzy decision-making methods. Prioritizing these strategies is important given the limited resources and the urgent need for effective solutions to reduce C O 2 emissions. Additionally, based on the established priorities, we assess how CE contributes to C O 2 emissions reduction and long-term economic sustainability.
Our research makes an innovative contribution by integrating fuzzy MCDM methods (Fuzzy Electre, Topsis, DEMATEL, and Vikor) with the ARDL model for the evaluation and prioritization of the factors that influence C O 2 emissions within the circular economy strategies in Romania. Although the methods used are well known in the literature, the originality of this study lies in their application in a specific context, related to the circular economy and emission reduction strategies in Romania, a field little explored until now. The integration of these methods enables a complex analysis of influencing factors, providing a unique insight into the interdependencies between these factors and their impact on C O 2 emissions.
Our study can contribute to the development of a framework for prioritizing specific CE policies that contribute to the transition towards a CE. By integrating multi-criteria fuzzy methodologies and a quantitative model, our approach allows an in-depth and detailed analysis of the impact of different CE policies on C O 2 emissions, economic productivity, and sustainability. The benefits include identifying the most effective policies to reduce emissions and stimulate economic growth, as well as providing a framework for informed decision making by policymakers. This model offers a valuable new perspective on how to effectively implement CE strategies. Also, prioritization is important because it allows policymakers to focus on the most significant contributors to C O 2 emissions, enabling more targeted and efficient mitigation strategies. Without understanding which factors have the greatest impact, whether positive or negative, it is challenging to allocate resources and develop policies that maximize environmental and economic benefits.
The structure of this research is as follows: In Section 2 we explore the relevant literature on the relationships between technological innovations and C O 2 emissions, between GDP and C O 2 emissions, between renewable energy and C O 2 emissions, as well as some current research applying fuzzy MCDM in specific CE studies. Section 3 is dedicated to describing the methodological flow as well as the data collection phase. The Fuzzy Electre, Topsis, Vikor, and DEMATEL methods will be described, together with the ARDL model. Section 4 presents the empirical results obtained from the application of fuzzy MCDM methods, as well as the relationships established by the ARDL model both in the long and short term between C O 2 emissions and patent application, GDP, share of energy production from renewables, and urbanization. Section 5 is dedicated to presenting the main conclusions, policy recommendations, and to describing the limitations of our study, as well as future research directions.

2. Literature Review

2.1. The Relationship between Technological Innovation and C O 2 Emissions

The study by Liu et al. [7] tests China’s fast-tracking green patent applications (FGPA) system by studying the effect of green innovation incentive-based policies (GIIPs) on C O 2 emissions in Chinese cities. The findings indicate that cities in the treatment group experienced a significant reduction in C O 2 emissions by approximately 1.6% following the implementation of the FGPA. Wang et al. [8] examine the long-term and short-term effects of green invention patents and green utility model patents on C O 2 emissions using an ARDL model for China for the period 1993–2020. Green invention patents help reduce the carbon emission intensity in the short term but become a hindrance in the long term. In contrast, green utility model patents consistently suppress the carbon emission intensity in both the short and long terms.
Extreme weather events have increased in frequency and intensity, causing significant damage in Europe, particularly in 2023, which recorded the highest temperatures in history. Dunyo et al. [9] examine, in their study, economic and policy uncertainty on C O 2 emissions using the environmental Kuznets curve. The results of the study point to a direct negative impact of uncertainty on averages. Technologies also reduce C O 2 emissions. Another study by Zhao et al. [10] evaluates the level of technological innovation and carbon efficiency in China using panel data from 30 provinces. They also apply the Panel Vector Error Correction Model to explore differences across regions in the impact of technological innovation on C O 2 emissions. The results highlighted that although the trend of technological innovation is still growing, the overall level is relatively low.
Raihan et al. [5] found for Malaysia that a 1% increase in the number of patent applications is linked to a 0.05% reduction in C O 2 emissions. These findings reveal that increased renewable energy use and technological innovation can reduce Malaysia’s carbon emissions while economic growth deteriorates the environmental quality. The study by Hu et al. [11] examines the status, spatial network, and determining factors of low-carbon patent applications in China since 2001 using social network analysis.

2.2. The Relationship between GDP and C O 2 Emissions

Georgescu and Kinnunen [12] studied the determinants of C O 2 emissions for Finland during 1990–2021. The authors obtained a negative long-term influence of productivity on C O 2 emissions. Higher productivity often results from technological advancements that improve the energy efficiency. In Finland, industries may adopt more efficient machinery and processes, reducing the energy required for production and, consequently, lowering C O 2 emissions. Increased productivity can also stem from better management practices and optimized production processes, which minimize waste and reduce energy consumption. Georgescu and Kinnunen [13] explored the impact of GDP per capita, FDI, and energy use on the ecological footprint in Finland during 1990–2021 using the ARDL model. A result of the paper is that GDP negatively influences the ecological footprint. A higher GDP often correlates with a greater investment in technology and innovation. Finland, known for its technological advancements, has developed and adopted energy-efficient technologies across various sectors, reducing the ecological footprint despite economic growth. Finland’s advancements in clean energy technologies, such as bioenergy and wind power, contribute to a lower ecological footprint. The paper by Onofrei et al. [14] examines the dynamics of the relationship between GDP and C O 2 emissions in the 27 EU member states from 2000 to 2017 using a panel data approach. The DOLS method indicates that, on average, a 1% increase in GDP results in a 0.072% increase in C O 2 emissions. If energy efficiency improvements are not achieved, rising GDP per capita will lead to increased C O 2 emissions, meaning that as an economy becomes wealthier, its per capita C O 2 emissions will also rise [15].

2.3. The Relationship between Urbanization and C O 2 Emissions

Luqman et al. [16] measure urban C O 2 emissions across 91 cities. A cluster analysis indicates that in developing countries, rapid increases in both urban areas and per capita C O 2 emissions are prevalent. Cities in the developed countries exhibit slower growth in both urban areas and per capita C O 2 emissions. The study by Muñoz et al. [17] examines the carbon footprints of over 8000 Austrian households across three urbanization levels: urban, semi-urban, and rural. The findings indicate that urban residents in Austria have the lowest carbon footprint among the three groups, followed by rural residents, with semi-urban residents having the highest. Overall, the study suggests that urbanization in Austria could lead to a relative reduction in emissions in the future due to more compact city structures. Chen et al. [18] use panel data from OECD countries spanning from 1996 to 2018. The study employs the Feasible Generalized Least Squares (FGLS) method and reveals an inverted U-shaped curve between urbanization and carbon emissions. The average urbanization level in OECD countries falls on the left side of this curve, suggesting that increased urbanization leads to higher carbon emissions in most OECD countries. Zhang et al. [19] argued that urbanization creates an economy of scale effect, becoming the primary driver for the development of non-fossil energy sources, which significantly aids in reducing carbon emissions.

2.4. The Relationship between Renewable Energy and C O 2 Emissions

Szetela et al. [20] apply two-step GMM and Generalized Least Squares (GLS) methods for 43 countries heavily reliant on natural resources from 2000 to 2015. They obtain that renewable energy significantly reduces per capita C O 2 emissions, with a 1 percentage point increase in renewable energy consumption resulting in a 1.25% decrease in C O 2 emissions per capita. Bilan et al. [21] investigates the impact of renewable energy and GDP growth on C O 2 emissions in EU member states from 1995 to 2015. Through the use of cointegration and other empirical methods, including the Vector Error Correction Model (VECM), the study demonstrates that the adoption of renewable energy leads to enhanced environmental quality by reducing C O 2 emissions. Feng [22] uses FMOLS and the Markov switching regression model to investigate the long-term impact of green finance, green energy, openness, and R&D expenditures on carbon emissions for China. It follows that these variables enhance the environmental quality. Petruška et al. [23] analyze the relationship between C O 2 emissions and other factors including energy from renewable sources across 22 European countries from 1992 to 2019. By means of FMOLS and DOLS, it was proved that the energy produced from renewable sources leads to a reduction in C O 2 emissions per capita.

2.5. Application of Fuzzy MCDM in Circular Economy Assessment

CE is a concept of converting waste materials and energy into capital for other purposes, according to the study by Petković et al. [24]. The authors used an adaptive neuro fuzzy inference system (ANFIS) in their study to analyze the effect of waste generation, recycling, renewable energy, biomass, and soil pollution on GDP.
Gou et al. [25], in their study, consider that CE is even more important as it has attracted the attention of specialists, especially due to the evolution of industry to Industry 4.0. The authors conducted a bibliometric analysis in their study to identify the fuzzy techniques used in CE. Among the MCDM methods identified by the authors are Fuzzy Topsis, Fuzzy DEMATEL, Fuzzy Analytic Hierarchy Process (ANP), Fuzzy Vikor, Fuzzy Electre, and other fuzzy MCDM.
Given the difficulties in managerial and policy choices, CE remains a still-contested concept in essence, given that circularity has not been systematically adopted, according to the study by Bai et al. [26]. The authors propose a set of measures specific to circularity and utilize the double hesitation fuzzy sets (DHFS) method for the evaluation and selection of CE providers.
Another study focuses on the fashion industry, as the authors Abdelmeguid et al. [27] consider that this industry generates a large amount of pollution. In their study, the authors use Fuzzy Total Interpretive Structural Modeling (Fuzzy-TISM) to determine how decisions should be made regarding the main challenges in the successful implementation of CE in the fashion industry.
Table 1 presents a synthesis of relevant studies addressing topics related to the circular economy and renewable energy, using various fuzzy multi-criteria decision-making methods (Fuzzy MCDM) and other similar techniques. The selected studies cover a wide range of topics, from the classification of business models for the successful adoption of the circular economy to the identification and evaluation of optimal renewable energy sources.
The main methodologies used include Fuzzy Topsis, Fuzzy DEMATEL, Fuzzy Vikor, Fuzzy Delphi, as well as integrated approaches such as combinations of AHP, BWM, and other methods. Each study focused on criteria ranging from technical, economic, social, and environmental to assessing barriers to the adoption of the circular economy and innovative technologies such as blockchain.

3. Methodology and Data Collection

3.1. Fuzzy Multi-Criteria Decision-Making Methods

Since the introduction of fuzzy set theory by Zadeh [43] and the subsequent development of decision-making methods in fuzzy environments by Bellman and Zadeh [44], there has been a growing body of research addressing uncertain and fuzzy problems using this theoretical framework. Building on these foundational works, this study employs fuzzy decision-making theory to account for the potential subjective and imprecise judgments of evaluators in assessing some economic policies according to various criteria.
Fuzzy decision making is particularly effective when the information available is uncertain or incomplete. It allows for the incorporation of subjective judgments and expert opinions, which are often expressed in qualitative terms. This approach frequently uses linguistic variables, which are variables whose values are not numbers but words or sentences in natural language. Fuzzy decision making is widely used in MCDM, where multiple conflicting criteria need to be evaluated to make a decision. It provides a framework for aggregating different criteria, each potentially expressed in fuzzy terms, into a final decision. In this section we will discuss three fuzzy decision-making techniques: fuzzy ELECTRE, fuzzy TOPSIS, and fuzzy VIKOR. These methods were chosen due to their robustness in handling complex decision-making scenarios with multiple conflicting criteria [45,46,47,48,49], which makes them suitable for evaluating priorities in the implementation of CE strategies to reduce C O 2 emissions.

3.1.1. Fuzzy Electre

Fuzzy ELECTRE (Elimination and Choice Translating Reality) is an extension of the traditional ELECTRE method by Roy and Bertier [50]. Fuzzy Electre is a MCDM that uses fuzzy set theory to address uncertainty and ambiguity in the assessment process. It is used to evaluate and prioritize alternatives by assessing several criteria, facilitating a more sophisticated analysis of complex decision-making scenarios. There have been several fuzzy versions of the ELECTRE method proposed: Akram et al. [51], Rouyendegh and Erol [52], Komsiyah et al. (2019), etc. We briefly present a well-known fuzzy ELECTRE version in line with Dubois and Prade [53], Komsiyah et al. [54], and Kahraman [55]:
Step 1: Defining the problem and identifying the set of criteria.
We identify m criteria C 1 ,   C 2 , ,   C m .
Step 2: Defining the set of alternatives.
We define n alternatives A 1 ,   A 2 , ,   A n .
Step 3: Building the fuzzy decision matrix X = x i j ,   i = 1 , ,   n ,   j = 1 , , m .
The element x i j represents the evaluation of the alternative i according to the criterion j . These values can be fuzzy numbers, sometimes represented by the triangular fuzzy numbers A = ( a , b , c ) . The membership function of the triangular fuzzy number A is given in relation (1), according to [53]:
A x = 0 ,   i f   x < a   a n d   x > c x a b a ,   i f   a x b c x c b ,   i f   b x c
Step 4: Normalization of the fuzzy decision matrix: R = r i j ,   i = 1 , , n ,   j = 1 , , m .
For a maximization criterion, the normalization of triangular fuzzy numbers A = ( a , b , c ) is generally carried out with respect to the maximum possible value across all alternatives for that criterion. Let us denote the maximum possible value as c m a x . The normalized triangular fuzzy number A for maximization can be given by relation (2):
A = ( a c m a x ,   b c m a x ,   c c m a x )
For a minimization criterion, we invert the original numbers so that lower values correspond to higher normalized values, indicating a better preference. Let a m i n denote the minimum possible value across all alternatives for that criterion. The normalized triangular fuzzy number A for minimization can be given by relation (3):
A = 1 c ,   1 b ,   1 a   o r   e q u i v a l e n t l y   A = ( 1 c × 1 a m i n ,   1 b × 1 a m i n ,   1 a × 1 a m i n )
This approach inverts the values, making larger original values less preferable after normalization.
Step 5: Determination of the weights of the criteria.
The fuzzy weights w = ( w 1 , w 2 , , w m ) are established for the m criteria, sometimes as triangular fuzzy numbers.
Step 6: The calculation of the weighted matrix V = w i j ,   i = 1 , ,   n ,   j = 1 , , m , where w i j is calculated according to relation (4):
w i j = r i j × w j
Step 7: Calculation of the Concordance Matrix C.
The concordance matrix C is determined by computing the concordance indexes C k l between the alternatives A k and A l as follows (relation (5)):
C k l = j J k l w j
where J k l is the set of criteria for which A k is at least as good as A l . The concordance matrix is constructed by repeating this calculation for all pairs of alternatives.
Step 8: Calculation of the Discordance Matrix D.
For each pair of alternatives A k and A l , we identify the set of criteria D k l where A k is not at least as good as A l . This involves comparing the fuzzy evaluations of both alternatives for each criterion. We compute the discordance index D k l . For two triangular fuzzy numbers and the criterion j, A k = ( a k j ,   b k j ,   c k j ) and A l = ( a l j ,   b l j ,   c l j ) , the discordance index D k l j is computed according to relation (6):
D k l j = m a x [ 0 , a l j c k j , b l j b k j , c l j a k j ] m a x [ ( c l j a l j , c k j a k j ]
The overall discordance index D k l between the alternatives A k and A l is the maximum discordance index across all criteria, which is given in relation (7):
D k l = m a x j { 1 , , m } D k l j
The discordance matrix is constructed by repeating this calculation for all pairs of alternatives.
Step 9: Construction of the Concordance Dominance Matrix.
This step involves determining whether the concordance index C k l for the pair of alternatives ( A k , A l ) exceeds a predetermined concordance threshold c. The concordance dominance matrix S is obtained as follows (relation (8)):
S k l = 1 ,   i f   C k l c 0 ,   i f   C k l < c
The concordance threshold c is often set based on the decision maker’s preference or statistical considerations.
Step 10: Construction of the Discordance Dominance Matrix.
Similarly, the discordance dominance matrix T is constructed by comparing the discordance index D k l with a discordance threshold d, such that c + d = 1 . Its elements are given in relation (9):
T k l = 1 ,   i f   D k l d 0 ,   i f   D k l < d
The lower the discordance index, the more preferable the alternative.
Step 11: Construction of the Aggregate Dominance Matrix.
The aggregate dominance matrix F indicates the overall dominance of one alternative over another. Its elements are given in relation (10):
F k l = S k l T k l
The values in the matrix are binary, where 1 indicates that alternative A k dominates alternative A l , considering both concordance and discordance, and 0 indicates otherwise.
Step 12: Determination of Outranking Relations.
An alternative A k is the said outrank alternative A l if F k l = 1 and F l k = 0 . This means A k is preferred over A l under the given criteria and thresholds.
This methodological flow was implemented in Python using the basic functions: fuzzy_min, fuzzy_max, fuzzy_multiple, and fuzzy_compare. The first two functions are used to calculate the minimum and maximum elements of the fuzzy intervals, and the function fuzzy_multiple was used to calculate the product of the elements of the fuzzy intervals and the function fuzzy_compare to determine if all the elements in one interval are greater than or equal to the elements in another interval (concordance), but also to check if at least one element in an interval is smaller than the elements in another interval (discordance). The final scores for each policy will be determined by aggregating measures of concordance and discordance, thereby providing an assessment of the relative performance of each alternative. Based on these scores, policies will be ranked to identify the most effective solutions. We will also use graphical representations to clearly visualize these scores and the final ranking, making it easier to interpret the results.

3.1.2. Fuzzy Topsis

Fuzzy Topsis is a method used to identify the best alternative by calculating the geometric distance from an ideal and an anti-ideal solution [56,57]. This technique assumes that the chosen alternatives should have the smallest distance from the ideal solution and the largest distance from the anti-ideal solution, facilitating a direct comparative analysis [58,59].
According to Chen [60], Awasthi et al. [61], and Nădăban et al. [62], the methodological flow for fuzzy Topsis is:
Step 1: Determination of Decision Matrix.
The decision matrix is X = x i j ,   i = 1 , ,   n ,   j = 1 , , m , where n is the number of alternatives and m is the number of criteria. The elements of X are fuzzy numbers representing the evaluation of alternative i with respect to criterion j.
Step 2: Determine the Fuzzy Positive Ideal Solution (FPIS) and Fuzzy Negative Ideal Solutions (FNIS).
FPIS is denoted A + and is computed as A + = ( v 1 + , , v n + ) , where v j + = m a x i x i j for the benefit criteria and v j + = m i n i x i j for the cost criteria.
FNIS is denoted A and is computed as A = ( v 1 , , v n ) , where v j = m i n i x i j for the benefit criteria and v j = m a x i x i j for the cost criteria.
Step 3: Calculate the Distance from FPIS and FNIS.
The distance from FPIS is calculated as follows (relation (11)):
d i + = j = 1 n d x i j , v j + 2
The distance from FNIS is calculated according to Equation (12):
d i = j = 1 n d x i j , v j 2
Step 4: Compute the Closeness Coefficient (CC).
The closeness coefficient for each alternative i is calculated according to relation (13):
C C i = d i d i + d i +
The alternatives are ranked based on closeness coefficients C C i . The alternative with the highest C C i value is considered the best option.
The Fuzzy Topsis algorithm was implemented in Python starting from the mathematical flow described above. Considering the decision matrix and fuzzy weights already defined, the first step performed in Python to apply the algorithm is to normalize the decision matrix to bring the values to a common scale. For normalization, I used the normalize_fuzzy function. After normalization, we will apply the previously defined fuzzy weights to each criterion to obtain the normalized weighted matrix. For each element in the normalized matrix, we will use the function fuzzy_multiply to multiply the fuzzy values with the corresponding weights. The next step is to determine the positive and negative ideal solutions that we will use to calculate the proximity coefficient. Later, we will graphically represent the results to visualize the appropriation coefficients of each policy.

3.1.3. Fuzzy Vikor

The VIKOR method was developed by Opricovic and Tzeng [48] and discussed by Opricovic and Tzeng [63]. It was introduced as a multi-criteria decision-making technique designed to identify a compromise solution when dealing with conflicting criteria. The method’s name, VIKOR, stands for “VIseKriterijumska Optimizacija i Kompromisno Resenje” [64], which translates to a multi-criteria optimization and compromise solution. Vikor is a multi-criteria optimization technique aimed at ranking and choosing an alternative from a collection of possibilities. It highlights compromise solutions by evaluating the closeness of alternatives to the optimal solution and addressing conflicting criteria to obtain a conclusion that maximizes the social benefit and minimizes individual regret.
A fuzzy version of the VIKOR method was developed by Opricovic and Tzeng [63] and Kizielewicz and Bączkiewicz [65]. We present briefly its steps:
Step 1: Determination of Decision Matrix.
The decision matrix is X = x i j ,   i = 1 , , n ,   j = 1 , ,   m , where n is the number of alternatives and m is the number of criteria. The elements of X are fuzzy numbers representing the evaluation of alternative i with respect to criterion j. Let x = ( l , m , u ) be a triangular fuzzy number, where l is the lower limit, m is the most probable value, and u is the upper limit.
Step 2: Determine Fuzzy Positive Ideal Solution (FPIS) and Fuzzy Negative Ideal Solution (FNIS).
FPIS is denoted A + and is computed as A + = ( v 1 + , , v n + ) , where v j + = m a x i x i j for the benefit criteria and v j + = m i n i x i j for the cost criteria.
FNIS is denoted A and is computed as A = ( v 1 , , v n ) , where v j = m i n i x i j for the benefit criteria and v j = m a x i x i j for the cost criteria.
Step 3: Compute the Distance from FPIS and FNIS.
Calculate the distance between each alternative and the FPIS and FNIS using the fuzzy distance metric. For triangular fuzzy numbers, the distance d ( x i ,   x j ) can be computed according to relation (14):
d x i , x j = l i l j 2 + m i m j 2 + u i u j 2 × 1 3
Step 4: Calculate S i ,   R i ,   Q i .
S i is the sum of distances to FPIS and is calculated according to relation (15).
S i = j = 1 n [ w j d x i j ,   A + d A , A + ]
where w j is the weight of the j criterion.
R i is the maximum regret (distance) for the worst-performing criterion and is calculated according to relation (16).
R i = m a x j [ w j d x i j , A + d A , A + ]
Q i is the compromise ranking index (relation (17)).
Q i = v S i S + S S + + 1 v R i R + R R +
where S + and R + are the minimum S i and R i , S and R are the maximum S i and R i , and v is the weight of the strategy of most criteria.
Step 5: Rank the Alternatives.
The alternatives are ranked based on their Q i values, with the lowest Q i indicating the best compromise solution.

3.1.4. Fuzzy DEMATEL

The Fuzzy DEMATEL (Decision-Making Trial and Evaluation Laboratory) method has been popularized quite recently in Japan as a practical way to visually express complex causal relationships. Basically, this method separates the established indicators into cause classes and effect classes; it succeeds in converting the relationship between cause-effect factors into an unintelligible structural model [66]. DEMATEL facilitates the identification of critical elements and their inter-relations, offering insight into the impacts and interactions among the criteria. Steps for making fuzzy DEMATEL are presented in the following:
Step 1: Define the problem and identify criteria.
We convert variables into triangular fuzzy numbers x i j = ( l ,   m ,   n ) , where l is the lower limit, m is the most likely value, and u is the upper limit.
Step 2: Construct the Direct-Relation Matrix.
The decision matrix is X = ( x i j ) , where each element x i j is the fuzzy number representing the direct influence of criterion i on criterion j.
Step 3: Normalize the Direct-Relation Matrix.
We compute the normalization factor λ using Formula (18):
λ = m a x ( max i j = 1 n u i j , max j i = 1 n u i j )
We normalize the matrix by dividing each element by λ , according to relation (19):
N = X λ
Step 4: Calculate the Total-Relation Matrix.
We compute the total-relation matrix (T) using the following Formula (20):
T = N I N 1
where I is the identity matrix and N k 0 as k , so we compute I N 1 as the fuzzy inverse.
Step 5: Defuzzification.
We convert the fuzzy total-relation matrix into a crisp matrix T using a defuzzification method, such as the centroid method, according to relation (21):
t i j = l i j + m i j + u i j 3
Step 6: Calculate Prominence and Relation.
We calculate the prominence D i + R i and D i R i for each criterion i:
D i = j = 1 n t i j ,   R i = j = 1 n t i j
where D i + R i represents centrality and D i R i is causality. Centrality indicates the overall importance of each criterion in the network, being the sum of influences exerted and received. Causality shows the cause or effect role of the criteria.
Step 7: Plot the Network Relationship Map (NRM)
We use the values of D i + R i and D i R i to plot the causal relationship and visualize the prominence and net influence of each criterion.

3.2. Autoregressive Distributed Lag Model

The five variables are in a linear relationship, according to Equation (23):
Δ C O 2 t = a 0 + k = 1 n a 1 Δ C O 2 t k + k = 1 p a 2 G D P t k + k = 1 q a 3 P A t k + + k = 1 r a 4 U R B t k + k = 1 s a 5 E P R E N t k
The time series data were converted to natural logarithms to reduce abrupt fluctuations in the series [67]. Equation (23) becomes an ARDL (n, p, q, r, s) regression (Equation (24)):
Δ C O 2 t = a 0 + k = 1 n a 1 Δ C O 2 t k + k = 1 p a 2 G D P t k + k = 1 q a 3 P A t k + + k = 1 r a 4 U R B t k + k = 1 s a 5 E P R E N t k + λ 1 C O 2 t 1 + λ 2 G D P t 1 + λ 3 P A t 1 + λ 4 U R B t 1 + λ 5 E P R E N t 1 + ε t  
is the first difference and n, p, q, r, and s are the lag orders. The Bayer and Hanck [68] cointegration test provides robust results by integrating four distinct cointegration techniques: Engle and Granger [69]—EG, Johansen [70]—J, Boswijk [71]—BO, and Banerjee et al. [72]—BA. It utilizes Fisher F-statistics to prove cointegration. The formulations of the test, following the Fisher method, are given by (25) and (26):
E G J = [ l n P E G + l n P J ]
E G J B O B A = 2 [ l n P E G + l n P J + l n P B O + ln P A ]
PEG, PJ, PBO, and PA represent the test probabilities for the EG, J, BO, and BA tests, respectively. If the computed Fisher statistic exceeds the critical value established by Bayer and Hanck [68], the null hypothesis of no cointegration is rejected. The study’s findings are further validated using the ARDL bounds testing approach from Pesaran et al. [73]. When cointegration is present, the Error Correction Model (ECM) is specified as follows, according to relation (27):
Δ C O 2 t = a 0 + k = 1 n a 1 Δ C O 2 t k + k = 1 p a 2 G D P t k + k = 1 q a 3 P A t k + + k = 1 r a 4 U R B t k + k = 1 s a 5 E P R E N t k + Γ E C M t 1 + ε t
The Error Correction Term (ECT) represents the adjustment term that corrects deviations from the long-term equilibrium. ECT should be statistically significant and between −2 and 0. In an ARDL framework, once the cointegration relationship is established, ECT quantifies the speed at which the dependent variable adjusts to restore the equilibrium after a disturbance. Finally, the normality test, the GLEJSER heteroskedasticity test, the Breusch–Godfrey serial correlation test, the LM test, and the Ramsey-Reset test were performed. The cumulative sum (CUSUM) and cumulative sum of squares (CUSUMSQ) tests proved the model’s stability.

3.3. Data Collection

Table 2 describes the variables and their sources for the period 1990–2023. This study investigates the impact of PA, GDP, URB, and EPREN on C O 2 emissions in Romania during 1990–2023. The number of patent applications was computed as the sum of resident and non-resident patent applications. We will use it as a proxy for the level of innovation and technological advancement in an economy. It reflects the creation and dissemination of new technologies, processes, and products. In the context of C O 2 emissions, PA related to green technologies, such as renewable energy, energy efficiency, and pollution control, are representative. These innovations can directly contribute to reducing C O 2 emissions. Innovations can lead to the development of more energy-efficient technologies, which reduce the amount of energy required for industrial processes, transportation, and residential use. Patents in renewable energy technologies (e.g., solar, wind, hydro, and bioenergy) can facilitate the transition from fossil fuel-based energy sources to cleaner, renewable sources. Innovations in Carbon Capture and Storage (CCS) technologies allow for the capture of C O 2 emissions from industrial processes and their storage underground, preventing them from entering the atmosphere. Patents in CCS technologies can significantly mitigate emissions from heavy industries and power plants. For a clearer understanding of all the acronyms used in our study, see Abbreviations, which describes these acronyms.

4. Empirical Results

4.1. Fuzzy Electre

Table 3 summarizes how different policies influence various criteria related to the CE and sustainability. It highlights the role of specific policies such as waste management and energy efficiency in increasing the recycling rates and renewable energy capacity. The table also highlights the importance of innovation for advancing CE technologies and how sustainable consumption can reduce material use. In addition, the table shows how CE practices can boost GDP growth and how policies to reduce C O 2 emissions improve carbon efficiency.
In Table 4, the fuzzy linguistic scale used for pairwise comparisons was created. This scale defines the relative importance of the criteria by means of linguistic terms, which are expressed in the form of intervals of triangular fuzzy numbers. The linguistic scale was created based on the way it was defined in the study by Arantes et al. [58].
In Table 5, the decision matrix has been constructed for the fuzzy MCDM to be applied in the following. The matrix shows the weights for each policy and the key indicator set in the context of the CE. These were established based on expert judgment, a literature review, and on empirical data, using variables such as C O 2 emissions, patent applications, GDP, renewable energy production, and urbanization. The fuzzy values associated with each policy were determined by analyzing these variables, providing an objective and evidence-based perspective on how the policies influence the circular economy. This approach eliminates the subjectivity that can occur in the evaluation by expert opinions or surveys and allows for a more precise analysis based on the relationships between the historical data and the selected evaluation criteria. Thus, for the waste management policy (P1) and the waste recycling rate, we have set revised weights, considering the importance of recycling in waste management. Regarding the installed capacity of renewable energy, we set average values considering that renewable energy contributes to P1, although it is not the main focus in waste management. For investments in CE technologies, the moderate values of the weights reflect the significant but not the most important impact on P1. Material consumption per capita is not a priority for P1; therefore, the weights set are low. A high relevance was considered for GDP from circular activities, emphasizing the close link between efficient waste management and circular economic activities. Concerning C O 2 emissions per capita of GDP, the weights set are moderate, indicating the concern to reduce C O 2 emissions. In terms of the energy efficiency policy (P2), the highest weight in the decision matrix was set for the installed capacity of renewable energy, illustrating a high importance in the policy set. C O 2 emissions per capita of GDP also received higher weights, like GDP from circular activities emphasizing both the economic link and the objective to reduce C O 2 emissions. For the policy on increasing innovation and development (P3), major importance was given to investments in technologies for the CE, emphasizing the major role of technological innovation. High weights were also set for GDP from circular activities. Of major importance for policy P4 was sustainable production and consumption, for which a high weight was set for the criterion material consumption per capita, emphasizing the need for sustainability. In order to emphasize the economic dependence on circular activities for the GDP growth policy (P5), a high weight has been assigned to the criterion GDP from circular activities, but also to the increase in investments in CE technologies. As for P6, we considered that the C O 2 emission reduction policy is directly linked to the installed capacity of renewable energy, and this criterion is important for emission reduction.
Triangular fuzzy numbers have been set in Table 6. For the waste recycling rate, the weights [0.1, 0.2, and 0.3] were set, indicating a moderate importance of waste recycling in the CE. Recycling contributes to the reduction of resources needed for production and less waste with a semi-significant impact on sustainability. In terms of the installed renewable energy capacity, higher weights have been set in view of the importance of the transition to renewable energy sources, which is important in reducing C O 2 emissions and increasing long-term economic sustainability. The third criterion considered is material consumption per capita. The established weights underline the importance of controlling resource consumption to minimize the impact on the environment and to promote sustainable consumption practices. GDP from circular activities received higher triangular fuzzy values which emphasizes the significant contribution of the CE to economic growth, indicating that circular activities not only protect the environment, but also stimulate economic development. C O 2 emissions per capita of GDP have also been given higher weights, reflecting the need to reduce C O 2 emissions to meet environmental objectives and to support the transition to a low-carbon economy. These values were based on both professional judgment and a literature review.
The next step before applying Fuzzy MCDM was to calculate the concordance and discordance matrix. The concordance matrix was calculated in Table 7. This evaluates the extent to which one policy is better or equal to another based on the previously established criteria. We observe that the policy on C O 2 emission reduction (P6) has the highest level of concordance, being considered superior to the other policies in several comparisons, indicating strong support for this policy in reducing C O 2 emissions. Also, policies P1 and P3 have a high level of agreement with the other policies, suggesting that they can also be considered effective in the CE analysis.
The discordance matrix measures the difference between the performance of two policies on a given criterion when one is worse. We note in Table 8 that policy P6 has the lowest discordance, indicating that in comparison, the differences between it and the other policies are minimal, strengthening the support for its effectiveness. Policies P4 and P5 have higher discordances, suggesting significant variations in the efficiency relative to other policies.
Having computed the concordance and discordance matrices, we determine the final scores for each alternative using the Fuzzy Electre method and plot the scores and ranking of the alternatives. In Figure 1, the final score for each policy was plotted in python using the libraries “matplotlib” and “seaborn”, and in Figure 2, the ranking of the policies resulting from the Fuzzy Electre method was plotted.
We observe in Figure 1 that the C O 2 emission reduction policy has the highest score of 2.33, indicating that policy P6 is considered the most efficient and successful policy in the context of the evaluated criteria. This may mean that the C O 2 emission reduction strategy has a strong positive impact and should be prioritized in policy decisions. Policy P5 on GDP growth through circular activities scores 0.33 and rank 2, being the second most prioritized policy, suggesting that the CE can contribute significantly to GDP growth. Investing in circular technologies and creating new markets and jobs could have a positive impact. Energy efficiency (P2) in the case of Romania scores −0.66 and rank 3. Although this policy is also important, it may need further improvements or better integration with other strategies to have a greater impact. Policy P4 has the same score as policy P2, as seen in Figure 2, indicating that promoting responsible consumption and reducing material consumption per capita has a moderate impact. The innovation and development policy (P3) is a lower priority, suggesting that while it has a positive impact, it may not be implemented effectively or receive sufficient resources. Policy P1 has the lowest score, suggesting that waste management could be substantially improved. New strategies or additional resources may be needed to improve the waste recycling rates.

4.2. Fuzzy Topsis

Based on the fuzzy decision matrix and the fuzzy weights previously established, we used the ‘normalize_fuzzy’ function in Python to prepare the flow of using the Fuzzy Topsis method. We computed the function to compute the positive and negative ideal solution. Next, we used the closeness coefficient computation function ‘closeness_coefficient’ to compute this coefficient, which is a measure of how close each policy is to the positive ideal solution and how far it is from the negative ideal solution.
Table 9 shows the results and rank stability for each policy based on the CC.
The results of the Fuzzy Topsis method can be visualized in Figure 3. With a CC of 0.70, P6 approaches the ideal solution. It suggests that the policy related to C O 2 emission reduction is the most effective in the analyzed context. With a coefficient of 0.56, P5 ranks second, indicating that the policy of increasing the GDP through the CE is also effective. P3 has a coefficient of 0.53, showing that the innovation and development policy is important to achieve the desired objectives. P4, with a CC of 0.41, and P2, with a CC of 0.42, respectively, suggest that the two policies have a moderate impact, being related to sustainable production and consumption and energy efficiency. The furthest from the ideal solution is P1, which indicates that the waste management policy in Romania needs improvement in order to be more effective.

4.3. Fuzzy DEMATEL

As for the Fuzzy DEMATEL method, centrality and causality are the two most important metrics that we calculated to prioritize the policies. In Table 10, we observe that P1, P2, P3, and P5 have positive values from a causality perspective, indicating that they are causes rather than effects, having a greater impact on the other criteria. P4 and P6, having negative values, suggest that they can be considered effects, being influenced by other criteria.
In Figure 4, we observe that although policy P1 has a negative centrality value, the causality is positive which indicates that, although it is not very central, it has a causal impact on the other policies. Policy P2 shows negative centrality and positive causality, showing that it influences other policies, but is not significantly influenced. With the lowest centrality, policy P3 indicates a moderate impact on other policies, having positive causality. With negative centrality and negative causality, policy P4 can be considered an effect rather than a cause, being influenced by other policies. Although it has negative centrality, the positive causality value for policy P5 suggests that it is influential in the policy network. Policy P6 can also be considered an effect, with less influence on other policies.

4.4. Fuzzy Vikor

The last method applied is Fuzzy Vikor, being a multi-criteria decision-making technique. We computed in python the positive and negative ideal solutions based on normalized values and computed the performance metrics S, R, and Q. S is the total distance from the ideal solution, R is the maximum distance from an ideal criterion and Q is the trade-off coefficient combining S and R. Finally, the rank was stability, as shown in Table 11, based on the alternatives as a function of Q.
Figure 5 plots the performance metrics for the Fuzzy Vikor method. We observe that policy P6 has the lowest Q score, indicating that it is the best option according to the defined criteria and weights. Also, policies P3 and P5 have a lower Q score than the rest of the policies, being important alternatives in policy setting.
In Figure 6, the policy prioritizations for each applied fuzzy method have been centralized. Its results will be useful in establishing the quantitative ARDL model that we will apply in the next section. We observe that in all fuzzy MCDM methods, C O 2 emissions per capita (P6) was identified as the prioritized policy (rank 1 in Fuzzy Electre, Topsis, and Vikor and an important effect factor in Fuzzy DEMATEL). Thus, it will be selected as a dependent variable in the ARDL model, associated with P1. For policy P3, we have selected in the ARDL model the variable Patent Applications (PA). Technological innovation, measured by the number of patent applications, can indicate the efficiency in developing solutions to reduce C O 2 emissions. This policy ranked 2nd with the Fuzzy Vikor method and 3rd with the Fuzzy Topsis method. Since economic growth can influence C O 2 emissions, including GDP, as a dependent variable in the ARDL model, it allows one to assess the impact of economic development on the environment. In Fuzzy DEMATEL, P5 (GDP growth through CE) was a causal factor even though its rank is 6. However, Fuzzy Electre ranks P5 at rank 2, Fuzzy Vikor at rank 3, and Fuzzy Topsis at rank 4, suggesting that economic growth through CE can influence emissions. Policies P2 and P3 ranked 3rd according to Fuzzy Electre, respectively, Fuzzy Topsis, and P3 according to Fuzzy Vikor ranked 2nd. Thus, in the ARDL model, we have selected the independent variable Share of Energy Production from Renewables (EPREN), indicating the importance of renewable energy in the context of C O 2 emission reduction. Urbanization affects both the energy demand and consumption patterns, which can have a direct impact on C O 2 emissions. Thus, the last independent variable in the model was urbanization (URB), being related to the P4 policy on sustainable production and consumption which, according to Fuzzy DEMATEL, ranks 1st.

4.5. Sensitivity Analysis of Fuzzy Results

The application of four different fuzzy methods to prioritize the same circular policies provides an image of the consistency of the results between the methods in different methodological contexts. As a complementary method, the sensitivity analysis examines the stability of the obtained results in the face of the addition of a disturbance factor, that is, it shows the robustness of the obtained results.
This section presents a sensitivity analysis of the results obtained by Fuzzy MCDM to assess their robustness and sensitivity to variations in the approximation coefficients. Sensitivity analysis is essential to understand the stability of the results and to assess whether they are reliable in the presence of possible uncertainties in the data. Regarding Fuzzy MCDM, to simulate the uncertainty and variability inherent in the data, we applied a disturbance factor between [−10%, +10%] on each coefficient. This variance was generated using a uniform distribution to reflect possible variations in the data. Basically, each CC was multiplied by an aleatory factor generated from the disturbance interval.
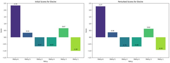
Thus, in Figure 7, a comparison was made between the results initially obtained with the Fuzzy Electre method and the results obtained by applying the disturbance factor. We notice that the changes in the scores of the policies are relatively small. The biggest change is observed in policy P1, from −1.00 to −0.92, and in policy P6, from 2.33 to 2.27. However, we can say that the overall ranking of the policies remains robust, with the P6 policy remaining the best alternative.
Regarding the sensitivity analysis for Fuzzy Topsis, we can see in Figure 8 that after the application of the disturbance factor, the scores of the policies underwent slight changes. For example, for policy P2, the score increased from 0.42 to 0.46, and for policy P6, it decreased from 0.70 to 0.65. However, the P6 policy remains the best alternative, even after applying the disturbance factor, an aspect that underlines the robustness of the results.
In Figure 9, the sensitivity analysis was performed for the Fuzzy DEMATEL method. We observe that the centrality and causality for the policies, when we add the disturbance factor, undergo small changes. For example, policy P2 decreases from −2.73 to −2.97 and policy P6 increases from −2.62 to −2.43. Therefore, the application of the disturbance factor did not significantly change the relations between policies, the results obtained through Fuzzy DEMATEL remained quite robust in the face of disturbances.
From the perspective of the sensitivity analysis for the Fuzzy Vikor method, in Figure 10, we can see the comparison of the score after applying the disturbance factor. It produced small variations in the scores, the largest being for policy P1 from 0.87 to 0.93 and for policy P4 from 0.92 to 0.86. However, policy P6 remains the alternative with the lowest score, further suggesting that it is the best choice according to Vikor’s criteria.
Figure 11 shows the comparison of the global results of the four fuzzy MCDM methods and the results obtained after the application of the disturbance factor. We note that from the perspective of robustness and sensitivity, the Fuzzy Electre and Fuzzy Vikor methods prove to be the most robust to disturbances, maintaining the initial rankings. Fuzzy Topsis shows a moderate sensitivity, with minor changes in the ranking, while Fuzzy DEMATEL shows the highest sensitivity to disturbances.

4.6. Autoregressive Distributed Lag Model

The plots in Figure 12 show the time series for the five economic and environmental indicators in Romania. There is a clear downward trend in C O 2 emissions over the period, especially noticeable in the early years and stabilizing somewhat in the later years. Some fluctuations can be observed, but the general trend is a reduction in C O 2 emissions, indicating potential improvements in environmental policies or shifts in industrial activities. A consistent upward trend of GDP is observed, indicating economic growth over the period. This trend is relatively smooth with only minor fluctuations. The sharp increase in the GDP after around year 10 indicates periods of accelerated economic growth, possibly due to policy changes, increased investments, or integration into global markets. A downward trend for the PA is noticeable and especially pronounced in the first half of the period. This suggests a decline in innovation activities or changes in the patent system. The PA series shows significant fluctuations, indicating volatility in patent applications, which could be due to economic cycles, policy changes, or shifts in the research and development focus. The URB series shows a general upward trend, indicating increasing urbanization. There is a dip around the middle of the period followed by a recovery. The initial rapid urbanization could be due to rural-to-urban migration, economic development, and modernization, while the mid-period dip might reflect economic slowdowns or population stabilization. There is a clear upward trend if EPREN is evident, indicating an increasing share of renewable energy in electricity production. The EPREN series exhibits fluctuations, but the overall direction is positive, reflecting a shift towards sustainable energy sources, likely driven by environmental policies and technological advancements.
Table 12 reports descriptive statistics for the variables following logarithmic transformation.
In Table 12, C O 2 and PA show some positive skewness and moderate deviation from normality, suggesting that while most values are centered around the mean, there are occasionally higher values. GDP, URB, and EPREN are relatively symmetric, with mean and median values close to each other. The standard deviations indicate moderate variation except for URB, which shows minimal variation. Most variables are reasonably close to a normal distribution, as indicated by the Jarque–Bera test probabilities, which generally do not reject the null hypothesis of normality. These statistics provide insights into the behavior and trends of key economic and environmental indicators in Romania over the given period, highlighting the overall stability and variation in these measures.
The application of the Augmented Dickey Fuller [110] unit root test leads to the conclusion that C O 2 is stationary at the level and variables are integrated in order 1 (see Table 13).
According to Table 14, four of the five criteria indicate that a lag order of 3 is the optimal choice for the Vector Autoregression (VAR) model.
The obtained model is ARDL (3, 3, 3, 3, 3). Table 15 shows that the F-statistic values from the EG-J and EG-J-BA-BO methods surpass the critical values at the 5% significance level. This result supports rejecting the null hypothesis of no cointegration at the 5% level.
Table 16 presents the results of the ARDL cointegration bounds test. This result indicates that the calculated F-statistic is 8.66, which exceeds the upper critical bound for I (1). Also, this result confirms the existence of cointegration among the variables.
The corresponding long-term coefficients are presented in Table 17.
From Table 17, it follows that GDP does not have a long-term influence on C O 2 . Typically, economic growth can lead to increased industrial activity, higher energy consumption, and more emissions. Conversely, it can also lead to more resources for cleaner technologies and environmental regulations. The non-significant relationship here suggests that these effects might be balancing each other out in Romania, leading to no clear long-term trend.
During 1990–2023, Romania may have experienced shifts from heavy industry to service-based sectors, which typically emit less C O 2 . This structural change could mitigate the impact of GDP growth on emissions, contributing to the lack of a significant relationship. Advances in energy efficiency and technology might reduce emissions even as the GDP grows. If Romania has adopted such measures, the expected increase in emissions from economic growth could be offset, resulting in an insignificant relationship. The implementation of environmental policies and regulations can play a crucial role in reducing emissions. If Romania has strengthened its environmental policies over time, these measures could counteract the potential emission increases associated with GDP growth.
A 1% increase in PA exerts a long-term 0.35% increase in C O 2 . A 1% increase in PA exerts a long-term 0.35% increase in C O 2 . The positive relationship suggests that the types of innovations being patented may be energy-intensive or not necessarily focused on reducing emissions. For example, advancements in heavy industries, transportation, or other high-emission sectors could lead to increased C O 2 emissions despite technological progress. Patent applications are often correlated with economic growth and increased industrial activity. As industries expand and new technologies are implemented, energy consumption and emissions can rise, reflecting the positive correlation between patents and C O 2 . During Romania’s transition period from a centrally planned to a market economy, there could have been a surge in industrial activity and associated emissions, even as the country pursued technological advancements. This finding underscores the importance of directing innovation towards sustainable and environmentally friendly technologies. Policymakers might need to incentivize green technologies and sustainable practices to decouple technological progress from C O 2 emissions.
A 1% increase in URB exerts a long-term 9.23% increase in CO2. The substantial coefficient indicates that urbanization has a very large impact on C O 2 emissions in Romania. As more people move to urban areas, there is a significant increase in activities that contribute to emissions. Urban areas often require substantial energy to support residential, commercial, and industrial activities. A 1% increase in urbanization could mean more buildings, factories, vehicles, and overall energy demand, particularly from fossil fuels. In Romania, this leads to a disproportionate increase in C O 2 emissions, indicated by the 9.23% rise, reflecting inefficient energy use or heavy reliance on carbon-intensive energy sources. The expansion of urban infrastructure such as roads, bridges, and public transportation systems involves significant construction activities, which are typically carbon intensive. Additionally, the increase in the urban population heightens the demand for housing and commercial spaces, further boosting C O 2 emissions.
A 1% increase in EPREN leads to a 0.42% long-term decrease in C O 2 . Shifting to renewable energy sources reduces the reliance on fossil fuels, which are major contributors to C O 2 emissions. This transition involves significant economic activities, including investments in renewable energy technologies, infrastructure development, and grid modernization. Renewable energy sources, particularly when scaled up, often have lower operating costs compared to fossil fuels. Over time, these cost savings can contribute to economic efficiency and reduce the overall carbon footprint of electricity production. The reduction in C O 2 emissions directly correlates with improvements in air quality, public health, and environmental sustainability. These benefits, while not always directly quantified in economic terms, contribute to a more sustainable economy and reduce the social costs associated with pollution and climate change. Increasing the share of renewables enhances energy security by diversifying the energy supply and reducing dependence on imported fossil fuels. This can lead to greater economic stability and resilience against global energy market fluctuations. The renewable energy sector fosters innovation and can create new jobs in manufacturing, installation, maintenance, and research and development. This economic activity can stimulate growth and provide new employment opportunities.
As seen in Table 18, D(CO2(-2)) is significant at the 5% level, indicating that emissions from two periods ago have a positive and significant effect on current emissions. The GDP has a complex impact on C O 2 emissions.
Current GDP growth significantly increases emissions (coefficient 0.91, significant at 1%). The second lag of GDP (D(GDP(-2))) also shows a positive and significant effect, implying that economic activities two periods ago continue to influence emissions. PA positively influences C O 2 emissions in the short term, suggesting that innovative activities or new technologies may initially increase emissions. The negative coefficients for D(PA(-1)) and D(PA(-2)) indicate that over time, these innovations likely lead to efficiency improvements or cleaner technologies, which then reduce emissions. The immediate increase could be due to the energy-intensive nature of research and development or initial deployment phases. URB has a significant immediate positive effect on emissions, suggesting that rapid urban growth drives up emissions. The second lag of URB shows a negative effect, indicating that earlier urbanization efforts might have led to infrastructural or policy changes, reducing emissions later. Increasing EPREN significantly reduces C O 2 emissions in the short term. The immediate impact is strongly negative, showing the effectiveness of renewable energy in lowering emissions. However, the second lag of EPREN has a positive effect, suggesting some delayed impact or transitional effects might temporarily offset reductions.
ECT is highly significant and negative, indicating a strong tendency to revert to the long-run equilibrium. The speed of adjustment is 72%, suggesting that deviations from the long-run equilibrium level of C O 2 emissions are corrected relatively quickly. Table 19 presents the null hypotheses for the diagnostic and stability tests.
The CUSUM and CUSUM of the Squares paths stay within the 5% significance level, as depicted by the red dashed line in Figure 13 and Figure 14. This indicates that the model’s parameters are stable.

5. Conclusions and Policy Recommendations

Romania is in a process of transition towards a CE model, in the context of the growing need for sustainability and environmental protection. This transition entails adopting practices that reduce the dependence on finite resources and minimize negative environmental impacts. To this end, the country has implemented various policies and strategies to promote recycling, energy efficiency, and the use of renewable resources. However, challenges remain, including the need for adequate infrastructure and a sustainability mindset to ensure a sustainable future.
This study demonstrates that the implementation of CE strategies in Romania has the potential to significantly reduce C O 2 emissions, thus contributing to combating climate change.
The use of fuzzy MCDM has allowed the identification and prioritization of specific CE policies, ensuring a more efficient and targeted approach in their implementation. The six established policies focus on waste management, energy efficiency, innovation and development, sustainable production and consumption, GDP growth, and reducing C O 2 emissions. From the four fuzzy MCDM, Electre, Topsis, and Vikor prioritize for Romania the policy of C O 2 emission reduction, which was addressed in the ARDL quantitative model.
In the context of a CE, patent applications play a critical role in driving innovations that reduce C O 2 emissions. By focusing on resource efficiency, product lifecycle extension, industrial symbiosis, renewable resources, and circular supply chains, innovations can significantly contribute to sustainability and emission reduction. In Romania, fostering CE innovations and supporting green patents can enhance environmental outcomes and support the transition to a more sustainable economic model.
The strong correlation between urbanization and C O 2 emissions suggests that current economic policies and regulations in Romania may not effectively mitigate the environmental impact of urban growth. This could indicate a need for stronger policies aimed at promoting energy efficiency, renewable energy adoption, and sustainable urban planning. The findings highlight a potential trade-off between urbanization and environmental sustainability. Policymakers need to balance economic growth driven by urbanization with the environmental goal of reducing C O 2 emissions. This might involve investing in green technologies, enhancing public transportation, implementing stricter building codes for energy efficiency, and incentivizing low-carbon innovations.
While GDP growth leads to increased C O 2 emissions in the short run, indicating the carbon-intensive nature of economic activities, policy interventions and sustainable practices are needed to mitigate this impact. Rapid urbanization significantly raises emissions, highlighting the need for sustainable urban planning and development practices to balance growth with environmental concerns. EPREN has a significant short-term effect in reducing emissions. This supports policies aimed at boosting renewable energy investment as a key strategy for emission reduction. The initial increase in C O 2 emissions following an increase in PA suggests that innovation and the development of new technologies may have short-term environmental costs. However, the longer-term reduction in emissions indicates that these innovations are likely to lead to more efficient or cleaner technologies over time. Overall, these results emphasize the need for a balanced approach to economic growth, urban development, innovation, and energy policy to achieve sustainable environmental outcomes in Romania.
The result of this study offers valuable insights into the long-term factors that influence C O 2 emissions in Romania, with a particular emphasis on economic growth, urbanization, patent applications, and renewable energy. Although these findings provide significant theoretical contributions, their practical applicability necessitates meticulous consideration, particularly in the context of the practical obstacles that Romania encounters when implementing effective C O 2 reduction policies. Also, this study underlines a substantial contribution of renewable energy to the reduction of C O 2 emissions, showing a negative correlation between the production of renewable energy and emissions. This is in line with Romania’s continued initiatives to boost its proportion of renewable energy in the national energy mix. It is essential to implement additional policy incentives in order to expedite the adoption of renewable energy sources. The study’s identification of a positive correlation between patent applications and C O 2 emissions suggests that innovation, while advantageous, may result in higher emissions in specific sectors. This creates a challenge for policymakers. To ensure that the increase in patent applications contributes to environmental sustainability rather than increased emissions, Romania should consider devising industrial policies that stimulate research and development in low-carbon technologies. The environmental pressures that are associated with accelerated urban development are underscored by the positive relationship between urbanization and CO2 emissions. The demand for energy increases, transportation becomes more intensive, and waste management becomes more difficult as cities expand. The real-world applicability of this discovery indicates that there are numerous areas that policymakers should concentrate on. Romania must advocate for sustainable urban development practices, including the adoption of energy-efficient transportation systems, the implementation of green construction codes, and the improvement of refuse management infrastructure.
Our results are in line with the fundamental principles of the National Strategy for the CE in Romania [1]. The first principle of stability in the NSCE is to reduce pollution by phasing out non-recyclable waste, the second to use products and materials at their highest utilization value for as long as possible, and the last one focuses on the regeneration of natural and eco-systems.
As in any scientific study, it is important to recognize its limitations. The first limitation refers to the fuzzy MCDMs used, which, as is well known, are also based on professional judgment and on certain estimates that may vary depending on the context analyzed. Also, the results are specific to the Romanian context and may not be applicable in other countries without additional adaptations. Another limitation could be represented by the fact that there are many external factors that could influence C O 2 emissions and the effectiveness of CE strategies that cannot be captured in a single study, such as global economic trends, international policies, or the impact of climate change. Future research directions can focus on monitoring these factors in order to ensure a holistic understanding of the dynamics of these changes.
In future research, we plan to integrate more variables or indicators that may influence the CE and C O 2 emissions, such as governmental policies and consumer behaviors. Also, another research direction can be in the direction of conducting comparative studies between Romania and other countries to assess the effectiveness of different CE strategies.

Author Contributions

Conceptualization, C.D., I.N., I.G., N.C. and C.C.; Data curation, C.D., I.N., I.G., N.C. and C.C.; Formal analysis, I.N. and I.G.; Funding acquisition, C.D.; Investigation, C.D., I.N., I.G. and N.C.; Methodology, I.N. and I.G.; Project administration, C.D.; Resources, C.D., N.C. and C.C.; Software, I.N., I.G. and C.C.; Validation, I.N., I.G., N.C. and C.C.; Visualization, I.N., I.G., N.C. and C.C.; Writing—original draft, I.N. and I.G.; Writing—review and editing, C.D., N.C. and C.C. All authors have read and agreed to the published version of the manuscript.

Funding

This research received no external funding.

Data Availability Statement

The data presented in this study are available on request from the corresponding author.

Acknowledgments

This work was funded by Bucharest University of Economic Studies under the project “Modeling and Analysis the Circular Economy in the Context of Sustainable Development using Emerging Technologies—2024”.

Conflicts of Interest

The authors declare no conflicts of interest.

Abbreviations

AcronymDefinition
CECircular Economy
NSCENational Strategy for the Circular Economy
MCDMMulti-criteria decision making
ELECTREElimination and Choice Translating Reality
TOPSISTechnique for Order Preference by Similarity to Ideal Solution
VikorMulti-criteria optimization and compromise solution
DEMATELDecision-Making Trial and Evaluation Laboratory
FPISFuzzy Positive Ideal Solution
FNISFuzzy Negative Ideal Solution
CCCloseness Coefficient
ARDLAutoregressive Distributed Lag
ECMError correction model
ECTError correction term
ADFAugmented Dickey–Fuller
VARVector Autoregression
FPEFinal prediction error
AICAkaike information criterion
SCSchwarz information criterion
HQHannan–Quinn information criterion
GDPGross domestic product
PAPatent Applications
EPRENShare of energy production from renewables
URBUrbanization

References

  1. European Union National Strategy for the Circular Economy in Romania. Available online: https://circulareconomy.europa.eu/platform/en/strategies/national-strategy-circular-economy-romania (accessed on 8 April 2024).
  2. European Parliament Circular Economy: Definition, Importance and Benefits. Available online: https://www.europarl.europa.eu/topics/en/article/20151201STO05603/circular-economy-definition-importance-and-benefits (accessed on 8 April 2024).
  3. Yang, L.; Li, Z. Technology Advance and the Carbon Dioxide Emission in China—Empirical Research Based on the Rebound Effect. Energy Policy 2017, 101, 150–161. [Google Scholar] [CrossRef]
  4. Chen, Y.; Lee, C.-C. Does Technological Innovation Reduce CO2 Emissions? Cross-Country Evidence. J. Clean. Prod. 2020, 263, 121550. [Google Scholar] [CrossRef]
  5. Raihan, A.; Begum, R.A.; Said, M.N.M.; Pereira, J.J. Relationship between Economic Growth, Renewable Energy Use, Technological Innovation, and Carbon Emission toward Achieving Malaysia’s Paris Agreement. Env. Syst. Decis. 2022, 42, 586–607. [Google Scholar] [CrossRef]
  6. Sohag, K.; Begum, R.A.; Abdullah, S.M.S.; Jaafar, M. Dynamics of Energy Use, Technological Innovation, Economic Growth and Trade Openness in Malaysia. Energy 2015, 90, 1497–1507. [Google Scholar] [CrossRef]
  7. Liu, R.; Zhu, X.; Zhang, M.; Hu, C. Innovation Incentives and Urban Carbon Dioxide Emissions: A Quasi-Natural Experiment Based on Fast-Tracking Green Patent Applications in China. J. Clean. Prod. 2023, 382, 135444. [Google Scholar] [CrossRef]
  8. Wang, N.; Yu, H.; Shu, Y.; Chen, Z.; Li, T. Can Green Patents Reduce Carbon Emission Intensity?—An Empirical Analysis Based on China’s Experience. Front. Environ. Sci. 2022, 10, 1084977. [Google Scholar] [CrossRef]
  9. Dunyo, S.K.; Odei, S.A.; Chaiwet, W. Relationship between CO2 Emissions, Technological Innovation, and Energy Intensity: Moderating Effects of Economic and Political Uncertainty. J. Clean. Prod. 2024, 440, 140904. [Google Scholar] [CrossRef]
  10. Zhao, X.; Long, L.; Yin, S.; Zhou, Y. How Technological Innovation Influences Carbon Emission Efficiency for Sustainable Development? Evidence from China. Resour. Environ. Sustain. 2023, 14, 100135. [Google Scholar] [CrossRef]
  11. Hu, F.; Qiu, L.; Xiang, Y.; Wei, S.; Sun, H.; Hu, H.; Weng, X.; Mao, L.; Zeng, M. Spatial Network and Driving Factors of Low-Carbon Patent Applications in China from a Public Health Perspective. Front. Public. Health 2023, 11, 1121860. [Google Scholar] [CrossRef]
  12. Georgescu, I.; Kinnunen, J. The Role of Foreign Direct Investments, Urbanization, Productivity, and Energy Consumption in Finland’s Carbon Emissions: An ARDL Approach. Env. Sci. Pollut. Res. 2023, 30, 87685–87694. [Google Scholar] [CrossRef]
  13. Georgescu, I.; Kinnunen, J. Effects of FDI, GDP and Energy Use on Ecological Footprint in Finland: An ARDL Approach. World Dev. Sustain. 2024, 4, 100157. [Google Scholar] [CrossRef]
  14. Onofrei, M.; Vatamanu, A.F.; Cigu, E. The Relationship Between Economic Growth and CO2 Emissions in EU Countries: A Cointegration Analysis. Front. Environ. Sci. 2022, 10, 934885. [Google Scholar] [CrossRef]
  15. Mitić, P.; Fedajev, A.; Radulescu, M.; Rehman, A. The Relationship between CO2 Emissions, Economic Growth, Available Energy, and Employment in SEE Countries. Env. Sci. Pollut. Res. 2022, 30, 16140–16155. [Google Scholar] [CrossRef] [PubMed]
  16. Luqman, M.; Rayner, P.J.; Gurney, K.R. On the Impact of Urbanisation on CO2 Emissions. npj Urban. Sustain. 2023, 3, 6. [Google Scholar] [CrossRef]
  17. Muñoz, P.; Zwick, S.; Mirzabaev, A. The Impact of Urbanization on Austria’s Carbon Footprint. J. Clean. Prod. 2020, 263, 121326. [Google Scholar] [CrossRef]
  18. Chen, F.; Liu, A.; Lu, X.; Zhe, R.; Tong, J.; Akram, R. Evaluation of the Effects of Urbanization on Carbon Emissions: The Transformative Role of Government Effectiveness. Front. Energy Res. 2022, 10, 848800. [Google Scholar] [CrossRef]
  19. Zhang, X.; Geng, Y.; Shao, S.; Wilson, J.; Song, X.; You, W. China’s Non-Fossil Energy Development and Its 2030 CO2 Reduction Targets: The Role of Urbanization. Appl. Energy 2020, 261, 114353. [Google Scholar] [CrossRef]
  20. Szetela, B.; Majewska, A.; Jamroz, P.; Djalilov, B.; Salahodjaev, R. Renewable Energy and CO2 Emissions in Top Natural Resource Rents Depending Countries: The Role of Governance. Front. Energy Res. 2022, 10, 872941. [Google Scholar] [CrossRef]
  21. Bilan, Y.; Streimikiene, D.; Vasylieva, T.; Lyulyov, O.; Pimonenko, T.; Pavlyk, A. Linking between Renewable Energy, CO2 Emissions, and Economic Growth: Challenges for Candidates and Potential Candidates for the EU Membership. Sustainability 2019, 11, 1528. [Google Scholar] [CrossRef]
  22. Feng, H. The Impact of Renewable Energy on Carbon Neutrality for the Sustainable Environment: Role of Green Finance and Technology Innovations. Front. Environ. Sci. 2022, 10, 924857. [Google Scholar] [CrossRef]
  23. Petruška, I.; Litavcová, E.; Chovancová, J. Impact of Renewable Energy Sources and Nuclear Energy on CO2 Emissions Reductions—The Case of the EU Countries. Energies 2022, 15, 9563. [Google Scholar] [CrossRef]
  24. Petković, B.; Agdas, A.S.; Zandi, Y.; Nikolić, I.; Denić, N.; Radenkovic, S.D.; Almojil, S.F.; Roco-Videla, A.; Kojić, N.; Zlatković, D.; et al. Neuro Fuzzy Evaluation of Circular Economy Based on Waste Generation, Recycling, Renewable Energy, Biomass and Soil Pollution. Rhizosphere 2021, 19, 100418. [Google Scholar] [CrossRef]
  25. Gou, X.; Xu, X.; Xu, Z.; Skare, M. Circular Economy and Fuzzy Set Theory: A Bibliometric and Systematic Review Based on Industry 4.0 Technologies Perspective. Technol. Econ. Dev. Econ. 2024, 30, 489–526. [Google Scholar] [CrossRef]
  26. Bai, C.; Zhu, Q.; Sarkis, J. Circular Economy and Circularity Supplier Selection: A Fuzzy Group Decision Approach. Int. J. Prod. Res. 2024, 62, 2307–2330. [Google Scholar] [CrossRef]
  27. Abdelmeguid, A.; Afy-Shararah, M.; Salonitis, K. Mapping of the Circular Economy Implementation Challenges in the Fashion Industry: A Fuzzy-TISM Analysis. Circ. Econ. Sust. 2024, 4, 585–617. [Google Scholar] [CrossRef]
  28. Husain, Z.; Maqbool, A.; Haleem, A.; Pathak, R.D.; Samson, D. Analyzing the Business Models for Circular Economy Implementation: A Fuzzy TOPSIS Approach. Oper. Manag. Res. 2021, 14, 256–271. [Google Scholar] [CrossRef]
  29. Damgaci, E.; Boran, K.; Boran, F.E. Evaluation of Turkey’s Renewable Energy Using Intuitionistic Fuzzy Topsis Method. J. Polytech. -Politek. Derg. 2017, 20, 629–637. [Google Scholar]
  30. Soft Computing Applications for Renewable Energy and Energy Efficiency; Cascales, M.D.S.G., Lozano, J.M.S., Arredondo, A.D.M., Corona, C.C., Eds.; Advances in Environmental Engineering and Green Technologies; IGI Global: Hershey, PA, USA, 2015; ISBN 978-1-4666-6631-3. [Google Scholar]
  31. Khan, S.; Haleem, A. Strategies to Implement Circular Economy Practices: A Fuzzy DEMATEL Approach. J. Ind. Intg. Mgmt. 2020, 05, 253–269. [Google Scholar] [CrossRef]
  32. Boran, F.E.; Boran, K.; Menlik, T. The Evaluation of Renewable Energy Technologies for Electricity Generation in Turkey Using Intuitionistic Fuzzy TOPSIS. Energy Sources Part B Econ. Plan. Policy 2012, 7, 81–90. [Google Scholar] [CrossRef]
  33. Kaya, T.; Kahraman, C. Multicriteria Renewable Energy Planning Using an Integrated Fuzzy VIKOR & AHP Methodology: The Case of Istanbul. Energy 2010, 35, 2517–2527. [Google Scholar] [CrossRef]
  34. Li, T.; Wang, H.; Lin, Y. Selection of Renewable Energy Development Path for Sustainable Development Using a Fuzzy MCDM Based on Cumulative Prospect Theory: The Case of Malaysia. Sci. Rep. 2024, 14, 15082. [Google Scholar] [CrossRef] [PubMed]
  35. Riaz, M.; Habib, A.; Saqlain, M.; Yang, M.-S. Cubic Bipolar Fuzzy-VIKOR Method Using New Distance and Entropy Measures and Einstein Averaging Aggregation Operators with Application to Renewable Energy. Int. J. Fuzzy Syst. 2023, 25, 510–543. [Google Scholar] [CrossRef]
  36. Simmhan, Y.; Ingen, C.V.; Szalay, A.; Barga, R.; Heasley, J. Building Reliable Data Pipelines for Managing Community Data Using Scientific Workflows. In Proceedings of the 2009 Fifth IEEE International Conference on e-Science, Oxford, UK, 9–11 December 2009; IEEE: Oxford, UK, 2009; pp. 321–328. [Google Scholar]
  37. Govindan, K.; Nasr, A.K.; Karimi, F.; Mina, H. Circular Economy Adoption Barriers: An Extended Fuzzy Best–Worst Method Using Fuzzy DEMATEL and Supermatrix Structure. Bus. Strat. Env. 2022, 31, 1566–1586. [Google Scholar] [CrossRef]
  38. Ayçin, E.; Kayapinar Kaya, S. Towards the Circular Economy: Analysis of Barriers to Implementation of Turkey’s Zero Waste Management Using the Fuzzy DEMATEL Method. Waste Manag. Res. 2021, 39, 1078–1089. [Google Scholar] [CrossRef]
  39. Turgut, Z.K.; Tolga, A.Ç. Fuzzy MCDM Methods in Sustainable and Renewable Energy Alternative Selection: Fuzzy VIKOR and Fuzzy TODIM. In Energy Management—Collective and Computational Intelligence with Theory and Applications; Kahraman, C., Kayakutlu, G., Eds.; Studies in Systems, Decision and Control; Springer International Publishing: Cham, Switzerland, 2018; Volume 149, pp. 277–314. ISBN 978-3-319-75689-9. [Google Scholar]
  40. Rejeb, A.; Rejeb, K.; Keogh, J.G.; Zailani, S. Barriers to Blockchain Adoption in the Circular Economy: A Fuzzy Delphi and Best-Worst Approach. Sustainability 2022, 14, 3611. [Google Scholar] [CrossRef]
  41. Khan, F.; Ali, Y. A Facilitating Framework for a Developing Country to Adopt Smart Waste Management in the Context of Circular Economy. Env. Sci. Pollut. Res. 2022, 29, 26336–26351. [Google Scholar] [CrossRef]
  42. Poonia, V.; Kulshrestha, R.; Sangwan, K.S.; Sharma, S. A Multi-Objective Fuzzy Mathematical Model for Circular Economy with Leasing as a Strategy. MEQ 2024. [Google Scholar] [CrossRef]
  43. Zadeh, L.A. Fuzzy Sets. Inf. Control 1965, 8, 338–353. [Google Scholar] [CrossRef]
  44. Bellman, R.E.; Zadeh, L.A. Decision-Making in a Fuzzy Environment. Manag. Sci. 1970, 17, 141–164. [Google Scholar] [CrossRef]
  45. Wang, T.-C.; Chang, T.-H. Application of TOPSIS in Evaluating Initial Training Aircraft under a Fuzzy Environment. Expert. Syst. Appl. 2007, 33, 870–880. [Google Scholar] [CrossRef]
  46. Awasthi, A.; Chauhan, S.S.; Goyal, S.K. A Fuzzy Multicriteria Approach for Evaluating Environmental Performance of Suppliers. Int. J. Prod. Econ. 2010, 126, 370–378. [Google Scholar] [CrossRef]
  47. Wu, W.-W.; Lee, Y.-T. Developing Global Managers’ Competencies Using the Fuzzy DEMATEL Method. Expert. Syst. Appl. 2007, 32, 499–507. [Google Scholar] [CrossRef]
  48. Opricovic, S.; Tzeng, G.-H. Compromise Solution by MCDM Methods: A Comparative Analysis of VIKOR and TOPSIS. Eur. J. Oper. Res. 2004, 156, 445–455. [Google Scholar] [CrossRef]
  49. Mardani, A.; Zavadskas, E.; Govindan, K.; Amat Senin, A.; Jusoh, A. VIKOR Technique: A Systematic Review of the State of the Art Literature on Methodologies and Applications. Sustainability 2016, 8, 37. [Google Scholar] [CrossRef]
  50. Roy, B.; Bertier, P. La Méthode Electre II—Une Methode Au Media-Planning. Oper. Res. 1973, 291–302. [Google Scholar]
  51. Akram, M.; Zahid, K.; Kahraman, C. A New ELECTRE-Based Decision-Making Framework with Spherical Fuzzy Information for the Implementation of Autonomous Vehicles Project in Istanbul. Knowl. Based Syst. 2024, 283, 111207. [Google Scholar] [CrossRef]
  52. Daneshvar Rouyendegh, B.; Erol, S. Selecting the Best Project Using the Fuzzy ELECTRE Method. Math. Probl. Eng. 2012, 2012, 790142. [Google Scholar] [CrossRef]
  53. Dubois, D.; Prade, H. Fuzzy Sets and Systems: Theory and Applications, 1st ed.; Elsevier Science: New York, NY, USA, 1980; Volume 144, ISBN 978-0-12-399465-3. [Google Scholar]
  54. Komsiyah, S.; Wongso, R.; Pratiwi, S.W. Applications of the Fuzzy ELECTRE Method for Decision Support Systems of Cement Vendor Selection. Procedia Comput. Sci. 2019, 157, 479–488. [Google Scholar] [CrossRef]
  55. Fuzzy Multi-Criteria Decision Making; Kahraman, C., Ed.; Springer Optimization and Its Applications; Springer: Boston, MA, USA, 2008; Volume 16, ISBN 978-0-387-76812-0. [Google Scholar]
  56. Montanari, R.; Micale, R.; Bottani, E.; Volpi, A.; La Scalia, G. Evaluation of Routing Policies Using an Interval-Valued TOPSIS Approach for the Allocation Rules. Comput. Ind. Eng. 2021, 156, 107256. [Google Scholar] [CrossRef]
  57. Wanke, P.; Pestana Barros, C.; Chen, Z. An Analysis of Asian Airlines Efficiency with Two-Stage TOPSIS and MCMC Generalized Linear Mixed Models. Int. J. Prod. Econ. 2015, 169, 110–126. [Google Scholar] [CrossRef]
  58. Arantes, R.F.M.; Zanon, L.G.; Calache, L.D.D.R.; Bertassini, A.C.; Carpinetti, L.C.R. A Fuzzy Multicriteria Group Decision Approach for Circular Business Models Prioritization. Production 2022, 32, e20220019. [Google Scholar] [CrossRef]
  59. Haleem, A.; Khan, S.; Luthra, S.; Varshney, H.; Alam, M.; Khan, M.I. Supplier Evaluation in the Context of Circular Economy: A Forward Step for Resilient Business and Environment Concern. Bus. Strat. Env. 2021, 30, 2119–2146. [Google Scholar] [CrossRef]
  60. Chen, C.-T. Extensions of the TOPSIS for Group Decision-Making under Fuzzy Environment. Fuzzy Sets Syst. 2000, 114, 1–9. [Google Scholar] [CrossRef]
  61. Awasthi, A.; Chauhan, S.S.; Goyal, S.K. A Multi-Criteria Decision Making Approach for Location Planning for Urban Distribution Centers under Uncertainty. Math. Comput. Model. 2011, 53, 98–109. [Google Scholar] [CrossRef]
  62. Nădăban, S.; Dzitac, S.; Dzitac, I. Fuzzy TOPSIS: A General View. Procedia Comput. Sci. 2016, 91, 823–831. [Google Scholar] [CrossRef]
  63. Opricovic, S.; Tzeng, G.-H. Extended VIKOR Method in Comparison with Outranking Methods. Eur. J. Oper. Res. 2007, 178, 514–529. [Google Scholar] [CrossRef]
  64. Yazdani, M.; Graeml, F.R. VIKOR and its Applications: A State-of-the-Art Survey. Int. J. Strateg. Decis. Sci. 2014, 5, 56–83. [Google Scholar] [CrossRef]
  65. Kizielewicz, B.; Bączkiewicz, A. Comparison of Fuzzy TOPSIS, Fuzzy VIKOR, Fuzzy WASPAS and Fuzzy MMOORA Methods in the Housing Selection Problem. Procedia Comput. Sci. 2021, 192, 4578–4591. [Google Scholar] [CrossRef]
  66. Chang, B.; Chang, C.-W.; Wu, C.-H. Fuzzy DEMATEL Method for Developing Supplier Selection Criteria. Expert. Syst. Appl. 2011, 38, 1850–1858. [Google Scholar] [CrossRef]
  67. Lütkepohl, H.; Xu, F. The Role of the Log Transformation in Forecasting Economic Variables. Empir. Econ. 2012, 42, 619–638. [Google Scholar] [CrossRef]
  68. Bayer, C.; Hanck, C. Combining Non-cointegration Tests. J. Time Ser. Anal. 2013, 34, 83–95. [Google Scholar] [CrossRef]
  69. Engle, R.F.; Granger, C.W.J. Co-Integration and Error Correction: Representation, Estimation, and Testing. Econometrica 1987, 55, 251. [Google Scholar] [CrossRef]
  70. Johansen, S. Statistical Analysis of Cointegration Vectors. J. Econ. Dyn. Control 1988, 12, 231–254. [Google Scholar] [CrossRef]
  71. Peter Boswijk, H. Testing for an Unstable Root in Conditional and Structural Error Correction Models. J. Econom. 1994, 63, 37–60. [Google Scholar] [CrossRef]
  72. Banerjee, A.; Dolado, J.; Mestre, R. Error-correction Mechanism Tests for Cointegration in a Single-equation Framework. J. Time Ser. Anal. 1998, 19, 267–283. [Google Scholar] [CrossRef]
  73. Pesaran, M.H.; Shin, Y.; Smith, R.J. Bounds Testing Approaches to the Analysis of Level Relationships. J. Appl. Econom. 2001, 16, 289–326. [Google Scholar] [CrossRef]
  74. Our World in Data Per Capital CO2 Emissions (Tonnes). Available online: https://ourworldindata.org/co2-and-greenhouse-gas-emissions (accessed on 7 September 2024).
  75. World Bank Patent Applications, Residents. Available online: https://data.worldbank.org/indicator/IP.PAT.RESD (accessed on 7 September 2024).
  76. World Bank Patent Applications, Nonresidents. Available online: https://data.worldbank.org/indicator/IP.PAT.NRES (accessed on 7 September 2024).
  77. World Bank GDP per Capita (Constant 2015 US$). Available online: https://data.worldbank.org/indicator/NY.GDP.PCAP.KD (accessed on 7 September 2024).
  78. Our World in Data Share of Electricity Production from Renewables 2023.
  79. World Bank Urban Population (% of Total Population). Available online: https://data.worldbank.org/indicator/SP.URB.TOTL.IN.ZS (accessed on 7 September 2024).
  80. Giovanis, E. Relationship between Recycling Rate and Air Pollution: Waste Management in the State of Massachusetts. Waste Manag. 2015, 40, 192–203. [Google Scholar] [CrossRef]
  81. Sidique, S.F.; Joshi, S.V.; Lupi, F. Factors Influencing the Rate of Recycling: An Analysis of Minnesota Counties. Resour. Conserv. Recycl. 2010, 54, 242–249. [Google Scholar] [CrossRef]
  82. Nastase, C.; Chașovschi, C.E.; State, M.; Scutariu, A.-L. Municipal Waste Management in Romania in The context of the EU. A Stakeholders’ Perspective. Technol. Econ. Dev. Econ. 2019, 25, 850–876. [Google Scholar] [CrossRef]
  83. Delcea, C.; Crăciun, L.; Ioanăș, C.; Ferruzzi, G.; Cotfas, L.-A. Determinants of Individuals’ E-Waste Recycling Decision: A Case Study from Romania. Sustainability 2020, 12, 2753. [Google Scholar] [CrossRef]
  84. Aceleanu, M.I.; Șerban, A.C.; Pociovălișteanu, D.M.; Dimian, G.C. Renewable Energy: A Way for a Sustainable Development in Romania. Energy Sources Part B Econ. Plan. Policy 2017, 12, 958–963. [Google Scholar] [CrossRef]
  85. Vanegas Cantarero, M.M. Of Renewable Energy, Energy Democracy, and Sustainable Development: A Roadmap to Accelerate the Energy Transition in Developing Countries. Energy Res. Soc. Sci. 2020, 70, 101716. [Google Scholar] [CrossRef]
  86. Jefferson, M. Accelerating the Transition to Sustainable Energy Systems. Energy Policy 2008, 36, 4116–4125. [Google Scholar] [CrossRef]
  87. Prăvălie, R.; Sîrodoev, I.; Ruiz-Arias, J.; Dumitraşcu, M. Using Renewable (Solar) Energy as a Sustainable Management Pathway of Lands Highly Sensitive to Degradation in Romania. A Countrywide Analysis Based on Exploring the Geographical and Technical Solar Potentials. Renew. Energy 2022, 193, 976–990. [Google Scholar] [CrossRef]
  88. Dobre-Baron, O.; Nițescu, A.; Niță, D.; Mitran, C. Romania’s Perspectives on the Transition to the Circular Economy in an EU Context. Sustainability 2022, 14, 5324. [Google Scholar] [CrossRef]
  89. Topliceanu, L.; Puiu, P.G.; Drob, C.; Topliceanu, V.V. Analysis Regarding the Implementation of the Circular Economy in Romania. Sustainability 2022, 15, 333. [Google Scholar] [CrossRef]
  90. Botezat, E.A.; Dodescu, A.O.; Văduva, S.; Fotea, S.L. An Exploration of Circular Economy Practices and Performance Among Romanian Producers. Sustainability 2018, 10, 3191. [Google Scholar] [CrossRef]
  91. Aceleanu, M.I.; Serban, A.C.; Suciu, M.-C.; Bitoiu, T.I. The Management of Municipal Waste through Circular Economy in the Context of Smart Cities Development. IEEE Access 2019, 7, 133602–133614. [Google Scholar] [CrossRef]
  92. Platon, V.; Pavelescu, F.M.; Antonescu, D.; Frone, S.; Constantinescu, A.; Popa, F. Innovation and Recycling—Drivers of Circular Economy in EU. Front. Environ. Sci. 2022, 10, 902651. [Google Scholar] [CrossRef]
  93. Lakatos, E.; Cioca, L.-I.; Dan, V.; Ciomos, A.; Crisan, O.; Barsan, G. Studies and Investigation about the Attitude towards Sustainable Production, Consumption and Waste Generation in Line with Circular Economy in Romania. Sustainability 2018, 10, 865. [Google Scholar] [CrossRef]
  94. Dinu, M.; Pătărlăgeanu, S.R.; Petrariu, R.; Constantin, M.; Potcovaru, A.-M. Empowering Sustainable Consumer Behavior in the EU by Consolidating the Roles of Waste Recycling and Energy Productivity. Sustainability 2020, 12, 9794. [Google Scholar] [CrossRef]
  95. Liobikienė, G.; Dagiliūtė, R. The Relationship between Economic and Carbon Footprint Changes in EU: The Achievements of the EU Sustainable Consumption and Production Policy Implementation. Environ. Sci. Policy 2016, 61, 204–211. [Google Scholar] [CrossRef]
  96. Firoiu, D.; Ionescu, G.H.; Băndoi, A.; Florea, N.M.; Jianu, E. Achieving Sustainable Development Goals (SDG): Implementation of the 2030 Agenda in Romania. Sustainability 2019, 11, 2156. [Google Scholar] [CrossRef]
  97. Oroian, C.; Safirescu, C.; Harun, R.; Chiciudean, G.; Arion, F.; Muresan, I.; Bordeanu, B. Consumers’ Attitudes towards Organic Products and Sustainable Development: A Case Study of Romania. Sustainability 2017, 9, 1559. [Google Scholar] [CrossRef]
  98. OECD Resource Efficiency and Circular Economy. Available online: https://www.oecd.org/en/topics/policy-issues/resource-efficiency-and-circular-economy.html (accessed on 8 April 2024).
  99. Mocanu, A.A.; Brătucu, G.; Ciobanu, E.; Chițu, I.B.; Szakal, A.C. Can the Circular Economy Unlock Sustainable Business Growth? Insights from Qualitative Research with Specialists in Romania. Sustainability 2024, 16, 2031. [Google Scholar] [CrossRef]
  100. Andrei, J.; Mieila, M.; Popescu, G.; Nica, E.; Cristina, M. The Impact and Determinants of Environmental Taxation on Economic Growth Communities in Romania. Energies 2016, 9, 902. [Google Scholar] [CrossRef]
  101. Busu, M. Adopting Circular Economy at the European Union Level and Its Impact on Economic Growth. Soc. Sci. 2019, 8, 159. [Google Scholar] [CrossRef]
  102. Mihaela Cristina, D.; Maria-Floriana, P.; Jean Vasile, A.; Mihai, M. Developments of the Circular Economy in Romania under the New Sustainability Paradigm. Econ. Comput. Econ. Cybern. Stud. Res. 2018, 52, 125–138. [Google Scholar] [CrossRef]
  103. Trica, C.L.; Banacu, C.S.; Busu, M. Environmental Factors and Sustainability of the Circular Economy Model at the European Union Level. Sustainability 2019, 11, 1114. [Google Scholar] [CrossRef]
  104. Nica, I.; Chiriță, N.; Delcea, C. Towards a Sustainable Future: Economic Cybernetics in Analyzing Romania’s Circular Economy. Sustainability 2023, 15, 14433. [Google Scholar] [CrossRef]
  105. Nica, I.; Ciocan, M.-L. Mapping Circular Pathways: A Bibliometric Exploration and Multilinear Regression Model of Romania’s Circular Economy. Theor. Appl. Econ. 2023, 30, 17–34. [Google Scholar]
  106. Chiriță, N.; Georgescu, I. Cybernetics Analysis of the Circular Economy from Romania. In Proceedings of 22nd International Conference on Informatics in Economy (IE 2023); Ciurea, C., Pocatilu, P., Filip, F.G., Eds.; Smart Innovation, Systems and Technologies; Springer Nature: Singapore, 2024; Volume 367, pp. 319–330. ISBN 978-981-9969-59-3. [Google Scholar]
  107. Cioca, L.-I.; Ivascu, L.; Rada, E.; Torretta, V.; Ionescu, G. Sustainable Development and Technological Impact on CO2 Reducing Conditions in Romania. Sustainability 2015, 7, 1637–1650. [Google Scholar] [CrossRef]
  108. Hatmanu, M.; Cautisanu, C.; Iacobuta, A.O. On the Relationships between CO2 Emissions and Their Determinants in Romania and Bulgaria. An ARDL Approach. Appl. Econ. 2022, 54, 2582–2595. [Google Scholar] [CrossRef]
  109. Busu, M. Measuring the Renewable Energy Efficiency at the European Union Level and Its Impact on CO2 Emissions. Processes 2019, 7, 923. [Google Scholar] [CrossRef]
  110. Dickey, D.A.; Fuller, W.A. Distribution of the Estimators for Autoregressive Time Series with a Unit Root. J. Am. Stat. Assoc. 1979, 74, 427–431. [Google Scholar] [CrossRef]
Figure 1. Final Score Plot for Fuzzy Electre.
Figure 1. Final Score Plot for Fuzzy Electre.
Mathematics 12 02997 g001
Figure 2. Policy ranking using Fuzzy Electre.
Figure 2. Policy ranking using Fuzzy Electre.
Mathematics 12 02997 g002
Figure 3. Policy ranking using Fuzzy Topsis.
Figure 3. Policy ranking using Fuzzy Topsis.
Mathematics 12 02997 g003
Figure 4. Policy ranking using Fuzzy DEMATEL.
Figure 4. Policy ranking using Fuzzy DEMATEL.
Mathematics 12 02997 g004
Figure 5. Policy ranking using Fuzzy Vikor.
Figure 5. Policy ranking using Fuzzy Vikor.
Mathematics 12 02997 g005
Figure 6. Policy prioritization using Fuzzy MCDM.
Figure 6. Policy prioritization using Fuzzy MCDM.
Mathematics 12 02997 g006
Figure 7. Sensitivity analysis for Fuzzy Electre.
Figure 7. Sensitivity analysis for Fuzzy Electre.
Mathematics 12 02997 g007
Figure 8. Sensitivity analysis for Fuzzy Topsis.
Figure 8. Sensitivity analysis for Fuzzy Topsis.
Mathematics 12 02997 g008
Figure 9. Sensitivity analysis for Fuzzy DEMATEL.
Figure 9. Sensitivity analysis for Fuzzy DEMATEL.
Mathematics 12 02997 g009
Figure 10. Sensitivity analysis for Fuzzy Vikor.
Figure 10. Sensitivity analysis for Fuzzy Vikor.
Mathematics 12 02997 g010
Figure 11. Comparison of Initial and Perturbed Rankings Across Fuzzy MCDM Methods.
Figure 11. Comparison of Initial and Perturbed Rankings Across Fuzzy MCDM Methods.
Mathematics 12 02997 g011
Figure 12. The evolution of C O 2 , GDP, PA, URB, and EPREN for Romania (1990–2023).
Figure 12. The evolution of C O 2 , GDP, PA, URB, and EPREN for Romania (1990–2023).
Mathematics 12 02997 g012
Figure 13. Plot of CUSUM for coefficients’ stability of ARDL model at 5% level of significance.
Figure 13. Plot of CUSUM for coefficients’ stability of ARDL model at 5% level of significance.
Mathematics 12 02997 g013
Figure 14. Plot of CUSUMSQ for coefficients’ stability of ARDL model at 5% level of significance.
Figure 14. Plot of CUSUMSQ for coefficients’ stability of ARDL model at 5% level of significance.
Mathematics 12 02997 g014
Table 1. Overview of Key Studies on Circular Economy and Renewable Energy Using Fuzzy MCDM Methods.
Table 1. Overview of Key Studies on Circular Economy and Renewable Energy Using Fuzzy MCDM Methods.
Authors, Year,
References
ScopeTechniqueCriteria
Husain et al., 2021, [28]Classification of business models for the successful adoption of the CEFuzzy TopsisPartnership; Activities; Resources; Value proposition; Customer Relationships; Distribution Channels; Client Segments; Cost structure; Revenue flows;
Damgaci et al., 2017, [29]Evaluation of Turkey’s Renewable EnergyIntuitionistic Fuzzy TopsisTechnical; Economical; Environmental; Social;
Öztayşi and Kahraman, 2015, [30]Evaluation of Renewable Energies AlternativesInterval Type-2 Fuzzy AHP; Hesitant Fuzzy TopsisRenewable energy factors; uncertainty; linguistic preference;
Khan and Haleem, 2020, [31]Identifying and evaluating key strategies for adopting circular economy practicesFuzzy DEMATEL11 strategies for adopting the CE, including involving management, creating a vision and goals;
Boran et al., 2012, [32]Assessment of renewable energy technologies for electricity generation in TurkeyIntuitionistic Fuzzy TopsisRenewable Energy Technologies: Photovoltaic, Hydro, Wind, Geothermal
Kaya and Kahraman, 2010, [33]Determining the best renewable energy alternative and optimal location for production in IstanbulIntegrated Fuzzy VIKOR-AHPCriteria for the selection of renewable energy and location: technical, economic, geographical, social
Li et al., 2024, [34]Identifying the most suitable renewable energy source for Malaysia’s sustainable developmentFuzzy Multi-Criteria Decision Making (MCDM) based on cumulative prospect theoryTechnology, economy, society, environment; Efficiency, payback period, job creation, CO2 emissions
Riaz et al., 2023, [35]Application of cubic bipolar fuzzy sets for the selection of the best renewable energy sourceCubic Bipolar Fuzzy Set (CBFS), CBF-VIKOR, Einstein averaging aggregation operatorsSelection of renewable energy sources
Simmhan et al., 2009, [36]Evaluation of the development of the circular economy in the coal mining industryMembership transformation algorithm, fuzzy evaluationDeveloping the circular economy in coal mining, dynamic assessment
Govindan et al., 2022, [37]Prioritizing barriers to circular economy adoption in the cable and wire industryFuzzy Best-Worst Method (BWM), Fuzzy DEMATEL, Super matrixBarriers to circular economy adoption: installation costs, financial limitations, lack of public awareness, etc.
Ayçin and Kayapinar Kaya, 2021, [38]Identification of barriers to the implementation of the zero-waste strategy in Turkey in the context of the circular economyFuzzy DEMATEL12 key barriers to zero waste implementation: uncertainty of goals, lack of financial aid, etc.
Turgut and Tolga, 2018, [39]Evaluation and selection of the best sustainable and/or renewable energy alternativeFuzzy VIKOR, Fuzzy TODIM, Sensitivity AnalysisRenewable Energy: Solar, Wind, Hydroelectric, Storage Gas (LFG)
Rejeb et al., 2022, [40]Identifying and prioritizing barriers in the adoption of blockchain technology in the circular economyFuzzy Delphi, Best-Worst Method (BWM)16 barriers to blockchain adoption in the CE: lack of knowledge, reluctance to change, technological immaturity
Khan and Ali, 2022, [41]Creating a framework for the adoption of smart waste management in the context of the circular economy for PakistanFuzzy SWARA, Fuzzy VIKOR16 critical enablers for the adoption of smart waste management, including regulations, industry responsibility, digitalization (ICT and IoT)
Poonia et al., 2024, [42] Development of a multi-objective mathematical model for the circular economy, integrating leasing and other strategiesMulti-objective Fuzzy Mixed Integer Linear ProgrammingEconomic, environmental and social objectives; the concept of leasing, reuse, refurbishment, primary and secondary recycling
Table 2. Variables specification.
Table 2. Variables specification.
VariableAcronymMeasurement UnitSource
C O 2 emissions per capitaCO2TonsOur World in Data [74]
Patent applicationsPANumberWorld Bank [75,76]
Gross domestic productGDPConstant 2015 $USDWorld Bank [77]
Share of energy production from renewablesEPREN%Our World in Data [78]
UrbanizationURB%World Bank [79]
Table 3. Policy impacts on CE.
Table 3. Policy impacts on CE.
CriteriaPolicy
Waste recycling rateWaste management policy (P1): Studies show that effective waste management policies can significantly increase recycling rates. Implementation of these policies leads to more efficient waste management and reduced environmental impacts [80,81,82,83].
Installed capacity of renewable energyEnergy efficiency policy (P2): There is a direct link between energy efficiency policies and the increase in installed renewable energy capacity. This is due to investments in more efficient technologies and the transition to more sustainable energy sources [84,85,86,87].
Investments in CE technologiesInnovation and development (P3): Investments in innovation and development are essential to advance circular technologies. They enable the development of more efficient processes and products, thereby reducing the impact on resources [88,89,90,91,92].
Materials consumption per capitaSustainable production and consumption (P4): By implementing policies that promote responsible consumption, per capita material consumption can be significantly reduced [93,94,95,96,97]. This includes consumer education and regulations that encourage resource efficiency [98,99].
GDP from circular activitiesGDP growth through the CE (P5): studies show that economies that adopt circular models can see an increase in GDP due to innovation and the creation of new markets and jobs [100,101,102,103,104,105,106].
C O 2 emissions per capita of GDPReducing C O 2 emissions (P6): Policies to reduce C O 2 emissions are fundamental to improving the carbon efficiency of the economy [107,108,109]. This is achieved by promoting green energy and optimizing industrial processes.
Table 4. Linguistic fuzzy scales for pairwise comparisons.
Table 4. Linguistic fuzzy scales for pairwise comparisons.
Fuzzy Linguistic TermsTriangular Fuzzy Number Interval
Very High Importance (VHI)[0.8, 0.9, 1.0]
High Importance (HI)[0.7, 0.8, 0.9]
Moderately High Importance (MHI)[0.6, 0.7, 0.8]
Medium Importance (MI)[0.5, 0.6, 0.7]
Moderately Low Importance (MLI)[0.4, 0.5, 0.6]
Low Importance (LI)[0.3, 0.4, 0.5]
Very Low Importance (VLI)[0.2, 0.3, 0.4]
Table 5. Fuzzy decision matrix.
Table 5. Fuzzy decision matrix.
PolicyWaste
Recycling Rate
Installed
Capacity of
Renewable
Energy
Investments in Circular
Economy
Technologies
Materials
Consumption per Capita
GDP from
Circular
Activities
C O 2 Emissions per Capita of GDP
Waste management (P1)[0.7, 0.8, 0.9] (HI)[0.3, 0.4, 0.5]
(LI)
[0.4, 0.5, 0.6]
(MLI)
[0.2, 0.3, 0.4]
(VLI)
[0.6, 0.7, 0.8]
(MHI)
[0.4, 0.5, 0.6]
(MLI)
Energy efficiency (P2)[0.5, 0.6, 0.7]
(MI)
[0.7, 0.8, 0.9]
(HI)
[0.3, 0.4, 0.5]
(LI)
[0.3, 0.4, 0.5]
(LI)
[0.5, 0.6, 0.7]
(MI)
[0.5, 0.6, 0.7]
(MI)
Innovation and development (P3)[0.6, 0.7, 0.8]
(MHI)
[0.5, 0.6, 0.7]
(MI)
[0.8, 0.9, 1.00]
(VHI)
[0.4, 0.5, 0.6]
(MLI)
[0.6, 0.7, 0.8]
(MHI)
[0.3, 0.4, 0.5]
(LI)
Sustainable production and consumption (P4)[0.3, 0.4, 0.5]
(LI)
[0.4, 0.5, 0.6]
(MLI)
[0.5, 0.6, 0.7]
(MI)
[0.7, 0.8, 0.9]
(HI)
[0.4, 0.5, 0.6]
(MLI)
[0.6, 0.7, 0.8]
(MHI)
GDP growth through CE (P5)[0.4, 0.5, 0.6]
(MLI)
[0.6, 0.7, 0.8]
(MHI)
[0.7, 0.8, 0.9]
(HI)
[0.5, 0.6, 0.7]
(MI)
[0.8, 0.9, 1.00]
(VHI)
[0.2, 0.3, 0.4]
(VLI)
Reducing CO2 emissions (P6)[0.5, 0.6, 0.7]
(MI)
[0.8, 0.9, 1.00]
(VHI)
[0.6, 0.7, 0.8]
(MHI)
[0.6, 0.7, 0.8]
(MHI)
[0.7, 0.8, 0.9]
(HI)
[0.4, 0.5, 0.6]
(MLI)
Table 6. Fuzzy weight for each criterion.
Table 6. Fuzzy weight for each criterion.
CriteriaFuzzy WeightsLinguistic Term
Waste recycling rate[0.1, 0.2, 0.3]Moderate importance
Installed capacity of renewable energy[0.2, 0.3, 0.4]Higher importance
Investments in CE technologies[0.15, 0.25, 0.35]Medium importance
Materials consumption per capita[0.1, 0.2, 0.3]Moderate importance
GDP from circular activities[0.25, 0.35, 0.45]Higher importance
C O 2 emissions per capita of GDP[0.2, 0.3, 0.4]Higher importance
Table 7. Concordance Matrix.
Table 7. Concordance Matrix.
P1P2P3P4P5P6
P10.000.500.500.330.330.33
P20.500.000.330.500.500.33
P30.670.670.000.670.500.33
P40.670.500.330.000.330.33
P50.670.500.500.670.000.33
P60.830.830.670.670.670.00
Table 8. Discordance matrix.
Table 8. Discordance matrix.
P1P2P3P4P5P6
P10.000.500.500.670.670.67
P20.500.000.670.500.500.67
P30.330.330.000.330.500.67
P40.330.500.670.000.670.67
P50.330.500.500.330.000.67
P60.170.170.330.330.330.00
Table 9. Results of the Fuzzy Topsis multi-criteria method.
Table 9. Results of the Fuzzy Topsis multi-criteria method.
CriteriaCloseness Coefficient (CC)Rank
P10.356
P20.425
P30.533
P40.412
P50.564
P60.701
Table 10. Results of the Fuzzy DEMATEL multi-criteria method.
Table 10. Results of the Fuzzy DEMATEL multi-criteria method.
CriteriaCentrality (D + R)Causality (D − R)
P1−2.610.24
P2−2.730.18
P3−2.970.14
P4−2.56−0.27
P5−3.110.24
P6−2.61−0.54
Table 11. Results of the Fuzzy Vikor multi-criteria method.
Table 11. Results of the Fuzzy Vikor multi-criteria method.
PolicySRQRank
P11.020.300.875
P20.900.350.674
P30.750.260.432
P40.940.150.926
P50.700.220.573
P60.470.300.001
Table 12. Summary Statistics.
Table 12. Summary Statistics.
CO2GDPPAURBEPREN
Mean1.538.827.183.983.44
Median1.518.877.053.983.38
Maximum2.049.428.024.003.92
Minimum1.318.306.573.962.87
Std. Dev.0.160.360.390.010.24
Skewness0.880.100.48−0.21−0.01
Kurtosis3.601.582.102.242.26
Jarque–Bera4.962.902.481.060.77
Probability0.080.230.280.580.68
Table 13. ADF Unit Root Test Results.
Table 13. ADF Unit Root Test Results.
VariablesLevelFirst DifferenceOrder of Integration
T-StatisticsT-Statistics
CO2−3.31 ** (0.02)−4.88 *** (0.00)I (0)
GDP0.88 (0.99)−4.50 *** (0.00)I (1)
PA−1.76 (0.39)−5.16 *** (0.00)I (1)
URB0.00 (0.95)−3.92 ** (0.02)I (1)
EPREN−2.13 (0.23)−5.52 *** (0.00)I (1)
**, *** indicate the significance of variables at 5% and 1% levels, respectively.
Table 14. VAR Lag order selection criteria.
Table 14. VAR Lag order selection criteria.
LagLogLLRFPEAICSCHQ
0163.43N/A 2.50 × 10 11 −10.22−9.99−10.14
1333.27273.92 2.24 × 10 15 −19.56−18.17 *−19.11
2365.6041.71 1.60 × 10 15 −20.03−17.49−19.20
3411.8644.77 * 5.99 × 10 16 *−21.41 *−17.71−20.20 *
* indicates the lag order selected by the criterion; LR: sequential modified LR test statistic (each test at 5% level); FPE: Final prediction error; AIC: Akaike information criterion; SC: Schwarz information criterion; HQ: Hannan–Quinn information criterion.
Table 15. Bayer–Hank cointegration test.
Table 15. Bayer–Hank cointegration test.
TestsEngle–Granger (EG)Johansen (J)Banerjee (BA)Boswijk (BO)
Test statistic−3.4766.72−7.6998.99
p-value0.320.000.000.00
EG-J57.505% critical value, 10.57
EG-J-BA-BO168.025% critical value, 20.14
Table 16. Results of ARDL cointegration bounds test.
Table 16. Results of ARDL cointegration bounds test.
Test StatisticValueK (Number of Regressors)
F-statistic8.664
Critical value bounds
SignificanceI (0)I (1)
10%2.203.09
5%2.563.49
1%3.294.37
Table 17. Long-run estimated results.
Table 17. Long-run estimated results.
VariablesCoefficientT-StatisticsProb.
GDP−0.14−0.910.38
PA0.352.480.03 **
URB9.233.700.00 ***
EPREN−0.42−3.240.00 ***
C−35.21−3.890.00 ***
**, *** indicate the significance of variables at 5% and 1% levels, respectively.
Table 18. ARDL-ECM model for short-run estimated results.
Table 18. ARDL-ECM model for short-run estimated results.
VariablesCoefficientT-StatisticsProb.
D(CO2(-1))0.0050.040.962
D(CO2(-2))0.282.330.039 **
D(GDP)0.91−6.910.000 ***
D(GDP(-1))0.050.350.728
D(GDP(-2))0.563.140.009 ***
D(PA)0.154.830.005 ***
D(PA(-1))−0.09−2.360.037 **
D(PA(-2))−0.26−6.910.000 ***
D(URB)28.794.650.000 ***
D(URB(-1))3.070.380.704
D(URB(-2))−8.12−2.200.049 **
D(EPREN)−0.30−6.750.000 ***
D(EPREN(-1))0.010.2740.788
D(EPREN(-2))0.183.850.002 ***
CointEq(-1)−0.72−8.620.000 ***
R-squared0.93
Adjusted R-squared0.87
**, *** indicate the significance of variables at 5% and 1% levels, respectively.
Table 19. Results of diagnostic and stability tests.
Table 19. Results of diagnostic and stability tests.
Diagnostic Test H 0 Decision
Statistic [p-Value]
Serial CorrelationThere is no serial correlation in the residualsAccept H 0
0.39 [0.54]
Heteroscedasticity (GLEJSER)There is no autoregressive conditional heteroscedasticityAccept H 0
0.96 [0.54]
Jarque–BeraNormal distributionAccept H 0
1.15 [0.56]
Ramsey ResetAbsence of model misspecificationAccept H 0
0.56 [0.58]
Disclaimer/Publisher’s Note: The statements, opinions and data contained in all publications are solely those of the individual author(s) and contributor(s) and not of MDPI and/or the editor(s). MDPI and/or the editor(s) disclaim responsibility for any injury to people or property resulting from any ideas, methods, instructions or products referred to in the content.

Share and Cite

MDPI and ACS Style

Delcea, C.; Nica, I.; Georgescu, I.; Chiriță, N.; Ciurea, C. Integrating Fuzzy MCDM Methods and ARDL Approach for Circular Economy Strategy Analysis in Romania. Mathematics 2024, 12, 2997. https://doi.org/10.3390/math12192997

AMA Style

Delcea C, Nica I, Georgescu I, Chiriță N, Ciurea C. Integrating Fuzzy MCDM Methods and ARDL Approach for Circular Economy Strategy Analysis in Romania. Mathematics. 2024; 12(19):2997. https://doi.org/10.3390/math12192997

Chicago/Turabian Style

Delcea, Camelia, Ionuț Nica, Irina Georgescu, Nora Chiriță, and Cristian Ciurea. 2024. "Integrating Fuzzy MCDM Methods and ARDL Approach for Circular Economy Strategy Analysis in Romania" Mathematics 12, no. 19: 2997. https://doi.org/10.3390/math12192997

APA Style

Delcea, C., Nica, I., Georgescu, I., Chiriță, N., & Ciurea, C. (2024). Integrating Fuzzy MCDM Methods and ARDL Approach for Circular Economy Strategy Analysis in Romania. Mathematics, 12(19), 2997. https://doi.org/10.3390/math12192997

Note that from the first issue of 2016, this journal uses article numbers instead of page numbers. See further details here.

Article Metrics

Back to TopTop