Next Article in Journal
Some Aspects of Teaching Improper Integrals in an Electronic Environment
Next Article in Special Issue
Deep Q-Networks for Minimizing Total Tardiness on a Single Machine
Previous Article in Journal
A New Method for Constructing Self-Dual Codes over Finite Commutative Rings with Characteristic 2
Previous Article in Special Issue
Developing New Bounds for the Performance Guarantee of the Jump Neighborhood for Scheduling Jobs on Uniformly Related Machines
 
 
Font Type:
Arial Georgia Verdana
Font Size:
Aa Aa Aa
Line Spacing:
Column Width:
Background:
Article

Emergency Supply Alternatives for a Storage Facility of a Repairable Multi-Component System

Department of Industrial Engineering and Management, Ariel University, Ariel 40700, Israel
*
Author to whom correspondence should be addressed.
Mathematics 2024, 12(17), 2730; https://doi.org/10.3390/math12172730
Submission received: 10 July 2024 / Revised: 30 July 2024 / Accepted: 8 August 2024 / Published: 31 August 2024

Abstract

This paper studies a continuous-review stochastic replenishment model for a multi-component system with regular and emergency orders. The system consists of N parallel and independent components, each of which has a finite life span. In addition, there is a warehouse with a limited stock of new components. Each broken component is replaced by a new component from the stock. When no component is available, an emergency supply is ordered. The stock is managed according to an ( ( s , S ) , ( 0 , Q e ) ) policy, which is a combination of an ( s , S ) policy for the regular order and a ( 0 , Q e ) policy for the emergency order. The regular order is delivered after an exponentially distributed lead time, whereas the emergency order is delivered immediately. We study three sub-policies for emergency orders, which differ from each other in size and in relation to the regular order. Applying the results from queueing theory and phase-type properties, we derive the optimal thresholds for each sub-policy and then compare the economic benefit of each one.
MSC:
60G51; 60J28; 93E20; 90B05

1. Introduction

Despite the high cost of immediate delivery, an emergency order is sometimes necessary to maintain a high service level and to avoid the high downtime costs of waiting for a regular order. There are many examples where an emergency order is manifested as a second source of replenishment. For example, in commercial aviation, delaying an airplane for two hours might cost the airline up to USD 150,000 [1]. Volvo Parts Corporation in Sweden, in addition to regular replenishment from a central retailer, issues an emergency order from local points in cases of stock-outs in its spare parts [2]. More examples come from the aircraft industry, the chemical industry, construction, and semiconductor manufacturing [3,4,5,6,7]. The above examples show that lack of inventory is a major concern, especially in systems with high down-time costs. Emergency orders have been proven to be an effective mechanism for improving the system performance. Because emergency orders are more costly than regular orders, the policy for requesting such orders is of crucial importance. Specifically, the questions facing the manager involve when to place the order, how much to order, and whether the order will be used as an addition to the regular order or as an alternative.
The purpose of this paper is to shed some light on the questions raised by investigating different emergency supply policies. We consider a continuous review system that has N components operating in parallel. The system functions as long as there are N operating components. Each operating component in the system has a finite life span independently of the others. When a component fails, it is immediately replaced by a new component (if available) from the company warehouse. The warehouse has a limited stock of new components that are held in cold standby and cannot fail. The stock is managed according to a base-stock inventory policy, so that when the number of components in stock drops to a specific level, a regular order is placed and the stock is replenished after some lead time. In order to ensure the sufficiency and reliability of the components in stock, complete maintenance is further provided by the supplier when the regular order arrives. However, if, during the lead time, the stock level drops to zero and an operating component fails, the system cannot continue functioning. Such a situation is unallowable, and the company’s protocol requires an immediate emergency supply of components. The need for an emergency supply is accompanied by important planning decisions. For example, the company needs to decide on the size of the emergency supply, and how the regular (pending) order and the maintenance activity associated with it will be affected by the emergency supply (if at all). This study aims to shed some light on these important decisions.
Identifying an optimal or near-optimal inventory control policy remains a complex problem for analysis and implementation [8,9]. Hence, research has focused on evaluating and optimizing simple heuristic inventory control policies. The ( s , S ) and ( Q , r ) policies, as special types of the base-stock family, are frequently employed in practice and theory. Under the classical up-to-level ( s , S ) policy, whenever the stock level drops to or below level s, an order is placed to bring the level up to S. The ( s , S ) policy is often used in inventory control management. A real-world example of a supplier using the ( s , S ) policy is a gas supplier and food suppliers refilling food-vending machines in public (e.g., in hospitals and academic institutions). In the context of multi-component systems, the ( s , S ) policy is a common one, e.g., delivering to maintenance service engineers in isolated areas and nuclear power plants [10,11]. Under the fixed-order-quantity ( Q , r ) policy, when the stock level drops to or below r, a fixed amount of Q components is ordered. The ( Q , r ) policy has become more popular in practice in recent years due to advanced information systems [12,13]. Applications of Q , r reported in the literature include the aviation industry of Turkish Airlines Technic MRO [14], the auto industry [15], replenishment of fresh agricultural products sold in supermarkets [16], the bakery industry [17], and the shipping industry [18].
In this paper, we assume that the warehouse is managed according to an ( ( s , S ) , ( 0 , Q e ) ) policy, which is a combination of the classical ( s , S ) and ( Q , r ) policies (in this paper Q = Q e and r = 0 ). Each time the stock drops to s, a regular order is placed and arrives after some random lead time; upon arrival, the stock is replenished to its full capacity level S. However, if during the lead time a component fails and no new components are available in the stock, an emergency order of a fixed size Q e is placed in order to avoid a system shutdown. Thus, an ( s , S ) policy is implemented for the regular order, as well as a ( Q , r ) policy for the emergency order. We study three emergency supply sub-policies for the emergency orders differ from each other in size and in relation to the regular order. We start with the Q e = S sub-policy, i.e., both the emergency order and the regular order replenish the stock up to its maximum capacity. The second sub-policy assumes that s Q e S ; i.e., the emergency order may be smaller than the regular order. Under both sub-policies, an emergency order cancels the regular order. The third sub-policy also considers a smaller emergency order 0 < Q e S ; however, there is no cancellation and the regular order arrives after the lead time, as expected.
In the real world, the need for an emergency supply stems from the randomness of both the component’s life span and the lead times. We study the case of an exponentially distributed lead time and a phase-type distributed life span of each component. An exponentially distributed lead time is well motivated in practice; e.g., for a company that receives orders from several independent suppliers, each order is served in an M/M/1 queue. The lead time includes the preparation of the order and the delivery time and can be interpreted as the sojourn time of the M/M/1 queue, which is exponentially distributed. Examples of a model whose life span has a phase-type distribution can be found in Neuts [19] and Neuts and Takahashi [20]. In reliability models, a phase-type distribution is often useful to represent an evolutionary process, such as the degradation of a component and hence is appropriate to represent the life span of a component. It should be noted that when general distributions are used for modeling the life span of components, the phase-type family includes all finite mixtures of convolutions of Erlang distributions and, therefore, can be implemented in a natural way. We further note that any nonnegative continuous distribution of the probability can be approximated through phase-type distributions [21,22].
To assess the performance of the system under the different emergency policies, we assume the following costs: a replacement cost for each failed component, regular and emergency order costs including a fixed cost for each order, a variable cost depending on the quantity purchased, and maintenance cost for both the warehouse and the system. Using matrix-geometric methods and queueing models with phase-type distributions, we construct closed-form expressions for the costs and derive the optimal thresholds s * ,   S * , and Q e * , which minimize the expected discounted total cost. Our model belongs to the interdisciplinary field of inventory management with an emergency supply and system reliability.
The main contribution of this paper is threefold.
(1)
Compared to most of the literature on multi-component systems that allow system shutdowns, with a focus on system reliability, we propose a more practical and integrated model of such systems. The scope of the model covers a wide range of real-world problems, such as the uncertainty of lead times, random life spans, and limited warehouse capacity. In addition, the scope of our cost structure covers a wide range of costs. In particular, we consider both economies and diseconomies of scale for the maintenance cost. While most existing models assume either a fixed, linear, or concave cost function for maintenance activities, real-world examples show that maintenance activities may exhibit a convex cost function with diseconomies of scale with increasing marginal costs (due to overstocking, overuse of resources, increasing operational complexity, and so on). In this paper, we compare several cost functions that differ in their concavity and study the impact of these various concave cost functions on the system’s performance and the optimal thresholds. Our results show that the total cost is convex as a function of the thresholds. We further show that in contrast to the threshold s * , the threshold S * is significantly affected by the concavity pattern of the warehouse cost function: a concave cost yields a higher S * , implying that it is worthwhile for the company to issue fewer but larger orders.
(2)
In this day and age of increasing competition and rising service levels, system shutdowns are usually prohibited, and as a result, emergency supplies are essential. Using numerical analysis, we compare different emergency order policies in a variety of scenarios, focusing on the financial benefit of canceling the regular order while ordering an emergency supply. By way of these comparisons, we provide managerial insights and practical applications that can help practitioners make more informed decisions regarding the optimal emergency order policy. For example, we show that when the emergency order costs are high, canceling the regular order yields significant cost savings. We further show that it is to the benefit of companies to issue fewer, but larger, emergency orders so as to achieve the full benefit of the emergency order.
(3)
Most of the literature is based on analytic derivations under the long-run average criterion, without taking the timing of payments into consideration. By contrast, our model is analyzed under the discounted cost criterion. When a company is considering issuing an emergency order, timing is a crucial factor that captures the trade-off between fixed and variable costs. Here, we introduce a practical policy in which the fixed cost (per order) is paid when the order is placed (as in reality, this cost is nonrefundable, even in the event of a cancelation) and the variable cost (per component) is paid when the order arrives. This difference in the timing of the two payments is important due to the discount factor, which makes our model more adaptable to real-world considerations that companies are faced with. In this regard, it is not surprising that increasing the discount factor leads to the postponement of the order time.
This paper is organized as follows. Section 2 presents a comprehensive literature review on base-stock policies with emergency supply. The preliminaries and the tools of our analysis are introduced in Section 3. The model is described in more detail in Section 4. In Section 5, Section 6 and Section 7, we derive the cost functions for the three emergency order sub-policies. Numerical results, comparisons, and sensitivity analyses are also provided. Finally, Section 8 concludes and suggests some avenues for future research.

2. Literature Review

Our model belongs to the interdisciplinary field of base-stock inventory control management with emergency supply and system reliability. In what follows, we review the literature of these fields and underline our contributions.
In the delicate balance between the risk of stockout, operating components with random life spans, and orders with random lead times, companies endeavor to find the most efficient inventory policy. Base-stock inventory policies with emergency supply are designed to solve this problem in the most practical way [23]. The use of base-stock inventory policies with emergency supply dates back to Moinzadeh and Schmidt [24], who place the emergency orders depending on the arrival times of the regular orders in addition to the stock level. Dohi et al. [25] analyzed a model where the stock level is continuously reviewed after a fixed amount of time, t 0 , and the decision of whether to place an emergency order or a regular one depends on the stock level. Similarly, Giri and Dohi [26] derive the optimal ordering time that maximizes the cost-effectiveness criterion for a fixed-order quantity model. Song and Zipkin [27] extend Moinzadeh and Schmidt [24] by considering a system of multiple supply sources under stochastic demand and lead times. Allon and Mieghem [28] propose an inventory policy of ordering a fixed quantity from the regular supply source and a variable quantity from the emergency supply one. Howard et al. [2] introduce a modified ( S , T ) policy, where the emergency supply policy is based on the time that it takes the regular order to reach some point. Barron and Hermel [29] study production–inventory models with two dual-sourcing policies under backordering and lost sales. Kouki et al. [30] derive the steady-state behavior of a dual-sourcing ( S , s = S 1 ) policy with perishable items. Among the studies that assume deterministic lead times, we cite Axsäter [31] and Huang et al. [32], who propose several heuristic decision rules for ordering emergency supplies.
Many relevant studies that assume stochastic lead times also assume a ( Q , r ) inventory policy. Among these studies are [33,34]. Boxma et al. [35] consider a ( Q , r ) policy with regular and emergency orders that are issued at different stock levels and delivered after exponentially distributed lead times. In between deliveries, the stock level decreases according to a state-dependent rate function α ( · ) . We refer to Poormoaied et al. [5] and Svoboda et al. [36] for extensive reviews of the literature on continuous- and periodic-review inventory models with an emergency supply.
We note that the inventory management of spare parts is closely related to our model [37,38]. In a series of papers, Wang et al. [39], Xie and Wang [40], and Wand et al. [41] present a joint strategy that combines periodical inspections and an ( s , S ) policy for regular orders. For a similar system, Keizer et al. [42] formulate the problem as a Markov decision process minimizing the long-run average cost per time unit. Bacchetti et al. [43] develop a hierarchical multi-criteria classification method to enable differentiation between planning choices according to the parts’ specificities. Selçuk [6] models a multi-dimensional Markov chain for a single-item system and presents an adaptive base-stock inventory policy for the spare parts in which stock-out situations are handled by emergency shipments. Mo et al. [44] consider different response times under different user requirements. Teixeira et al. [45] present a multi-criterion classification methodology that combines maintenance and logistic perspectives. Johansson and Olsson [46] focus on a spare-parts inventory system with nonlinear backorder costs. Using approximation, Boucherie et al. [47] obtain the control levels for a spare-parts inventory model for repairable parts and emergency shipments. Wingerden et al. [48] show that emergency shipments can lead to cost savings of up to 30%. Using a dynamic early-warning model, He and Gao [49] incorporate two maintenance approaches: one for the regular order and one for the emergency order. Marchi [50], Çelik et al. [51], and Cardona and Rivera-Cadavids [52] discuss the coordination of replenishment policies with warehouse operation costs. Poormoaied et al. [5] consider a periodic-review problem of a retailer who uses a base-stock inventory policy for regular replenishment and a specific-time policy for emergency orders.
The above literature review shows that base-stock inventory policies with an emergency supply have been widely studied in the context of inventory management [53]. However, they have received far less attention in the context of system reliability [54,55]. Relatively few papers study different emergency ordering policies to prevent a system shutdown. Rahimi-Ghahroodi et al. [56] designed a cooperative contract between an emergency supplier and a service provider in asset management where the system is subject to random shutdowns. Mor et al. [57] presents a framework based on the obsolescence rate of the components. Basten and van-Houtum [58] considered multi-item inventory models with central and local warehouses with emergency shipments. Oshan and Caron [59] presented an optimization model for a system design under the risk of shutdown that includes the location and the capacity of the warehouse. Peng et al. [60] examined the effects of supply reliability, risk aversion, and wealth on the optimal order policy of retailers in the context of uncertain demand.
In theory as in practice, the need for an immediate emergency supply stems from the randomness of both the life span and the lead time. Exponentially distributed lead times are well supported by the literature. Song et al. [7] used an exponential server to capture the randomness of lead times. Chang [61] investigated the impact of exponentially distributed lead times on the performance measures of spare-parts stock. Boxma et al. [35] considered exponentially distributed lead times for both regular and emergency orders. More examples are found in [54,62,63]. This paper considers a phase-type distributed life span, which is an extension of the exponential distribution. Models with phase-type distribution in reliability analysis can be found in [22,64], among others. However, while most of these studies focus on evaluating the performance characteristics of the system, little effort has been invested into analyzing the interaction between system performance, inventory control, and the impact of different emergency supply policies. In this paper, we aim to shed light on this interaction.
To outline our position, the most relevant studies concerning inventory and reliability models under the base-stock policy are given in Table A1 in Appendix A. To conclude the literature review, we point out that none of the papers cited above have studied emergency supply policies for a multi-component system with random lead times and life spans in the context of system reliability. To the best of the author’s knowledge, this is the first paper to do so. Hence, the model developed below significantly contributes to the existing literature.
We next briefly summarize the main tools used in our analysis in order to make this paper self-contained. Following convention, vectors are marked in bold letters, and matrices in blackboard bold letters. We let 1 { A } be the indicator of an event A ,   e = ( 1 , , 1 ) T be the unit column vector, and I n be the ( n × n ) identity matrix. Dimensions of vectors and matrices are omitted if they can be easily understood from the context.

3. Preliminaries and Notation

(a) 
Exponential distribution and related properties
Let X be a nonnegative generally distributed random variable (r.v.) with a Laplace–Stieltjes transform (LST) ψ X ( β ) . Let Y be an independent exponentially distributed r.v. at rate μ β . It is easy to verify that
( i ) P ( Y > X ) = ψ X ( μ ) , ( i i ) E ( min ( Y , X ) ) = μ 1 1 ψ X ( μ ) , ( i i i ) E ( e β X 1 { X < Y } ) = ψ X ( β + μ ) , ( i v ) E ( e β Y 1 { X < Y } ) = μ β + μ ψ X ( β + μ ) .
(b) 
Phase-type distribution and Kronecker functions
Let J ( t ) be a continuous-parameter Markov chain with an infinitesimal generator Q = 0 0 S o S . The transition matrix rate S is of order n × n such that S i i < 0 for 0 i n and S i j > 0 for i j . That is, the time spent at each state i , i = 1 , , n , is an exponentially distributed r.v. at a rate S i i , and S i j is the transition rate from state i to state j i . The n-column vector S o = S e describes the absorption rate into state 0 , and α is the initial probability vector of order 1 × n on the set of transient states. A phase-type (PH) distributed r.v. with representation P H ( α , S ) of order n is the distribution of the time until absorption into state 0 of the chain J ( t ) . Its probability distribution function and density function are given, respectively, by
F X ( x ) = p ( X x ) = 1 α exp ( S x ) e , f X ( x ) = α exp ( S x ) S o for x > 0 ,
with mean E ( X ) = α S 1 e , and LST ψ X ( β ) = α ( β I S ) 1 S o . In our study, we will use the ( n × n ) matrix multiplication S o α whose ( i , j ) -th element is
S o α i , j = S i o α j , i , j = 1 , 2 , , n .
The symbols ⊗ and ⊕ denote the Kronecker product and the Kronecker sum of matrices, respectively (see [19,21] for a discussion on the properties of the Kronecker product and sum). Let A n be an n-square matrix; then, the ( n k × n k ) matrices k A n and k A n are given by
k A n = A n A n A n k t i m e s and k A n = A n A n A n k t i m e s .
Note that k I n = I n k .
Corollary 1.
Let X P H ( α x , S x ) of order n and Y P H ( α y , S y ) of order m be two independent random variables. The r.v. Z = min ( X , Y ) has a PH distribution with representation P H ( α z , S z ) of order n · m , where
α z = α x α y , S z = S x S y ,
i.e., α z = ( α x 1 · α y , , α x n · α y ) and S z = S x I m + I n S y (see Theorem 2.6.4 in [65]).
(c) 
The phase-type (PH) renewal process and the variable T ( i )
Consider a renewal process J ( t ) where the times between renewals are i.i.d. r.v.’s having distribution P H ( α , S ) of order n. Such a process is called a PH renewal process ([19]). From the construction of the PH distribution, we may visualize a phase-type renewal process as follows. When the process J ( t ) enters the absorbing state 0, a renewal occurs and the process is instantaneously restarted with the initial probability vector α . Let N ( t ) be the number of renewals in ( 0 , t ] . Obviously, ( N ( t ) , J ( t ) ) is Markovian. For more details, see [19]. Next, we expand the PH renewal process and consider N independent and identically distributed PH renewal processes ( J 1 ( t ) , , J N ( t ) ) of order n; i.e., when J i ( t ) enters state 0, a renewal occurs and is instantaneously restarted with initial probability vector α .
In our context, we consider a system that contains N independent “places” for the N operating components. Each operating component has a P H ( α , S ) distributed life span of order n . When an operating component fails, it is replaced by a new component from the warehouse, if available (a renewal). Thus, the number of components that fail at each “place” J i ( t ) , i = 1 , , N is a PH renewal process. Of special interest is T ( i ) , the time until the i-th failure. Let S N = N S and S N o α = N S o α (both are matrices of order ( n N × n N ) ), andassume that N operating components start with initial phase vector ξ = ( ξ 1 , ξ 2 , , ξ N ) . Neuts and Takahashi [20] showed that T ( i ) is a P H ( α ( i ) * , S ( i ) * ) distributed r.v. of order i · n N . The ( i · n N × i · n N ) matrix S ( i ) * and the ( 1 × i · n N ) vector α ( i ) * = e ξ 1 e ξ N are given by
S ( i ) * = S N 0 0 S N o α S N S N 0 S N o α S N Trabsition rate matrix of T ( i ) , α ( i ) * = 0 0 1 0 The ( i , ξ ) - th entry .
The transition rate matrix is either the matrix S N o α , representing the failure of a component and its replacement by a new one from the stock, or the matrix S N , representing the transitions between the states of the operating components. (Note that S ( i ) * o = S ( i ) * e .) Let f i ( t ) , F i ( t ) , and ψ i ( β ) be the density function, probability distribution function, and LST function of T ( i ) , respectively. We further denote by ψ ( i ) ( β ) the n N × n N LST matrix form of T ( i ) given by
ψ ( i ) ( β ) = ( β I S ( i ) * ) 1 · S ( i ) * o α .
(The last multiplication by the probability vector α in (4) indicates the phase selection of the new component that replaces the broken one).

4. Mathematical Description of the Model

We assume a system with N independent components that operate in parallel. Each component has a random life span and is subject to failure. Denote by X i the life span of a component i , i = 1 , , N . We assume that X i , i = 1 , , N are i.i.d. r.v.’s following a phase-type distribution with representation ( α , S ) of order n . When a component fails, it is no longer usable and is discarded. Thus, upon failure, the component is replaced by a new component from the stock, if available; the replacement takes a negligible amount of time, and the new component starts operating in the system, independently of other operating components, at a phase that is chosen according to the probability vector α = ( α 1 , , α n ) . The new components are stored in a warehouse and cannot fail while in storage (also known as cold standby status). We assume that the warehouse has a limited capacity of S components. The stock in the storage is managed according to a continuous review ( s , S ) , ( 0 , Q e ) -type inventory policy, which is an extension of the classical ( s , S ) base-stock inventory policy. Under the classical ( s , S ) policy, whenever the stock of new components drops to level s , an order is placed to raise the stock level up to S. Here, we assume that the order is carried out after an exponential lead time Y at rate μ . Upon arrival, the provider is used for additional services and a complete maintenance of both the system and the warehouse is performed. That is, the stock is replenished by up to S new components, and the N operating components are upgraded to as-good-as-new condition at a phase chosen according to the vector α . From that point on, the system starts operating like new with N components.
To clarify, we summarize the main assumptions of the model.
1.
The system consists of N i.i.d. components, each of which has a phase-type distribution life span.
2.
New components are stored in a finite capacity warehouse in cold standby status.
3.
The warehouse is managed according to an ( ( s , S ) , ( 0 , Q e ) ) policy, that is, an ( s , S ) policy for the regular order, and ( 0 , Q e ) for the emergency order.
4.
The regular order arrives after an exponentially distributed lead time while the emergency order arrives immediately.
5.
Upon regular order arrival, the complete maintenance of the system and the warehouse is performed.
We note that the assumption of a phase-type distribution for the life span is quite general, since any nonnegative continuous distribution can be approximated through the phase distributions. Moreover, we are aware that an exponential lead time simplifies the analysis. However, when the lead time distribution is general, our results may still be used as an approximation. We further note that in some cases, an emergency order arrives after some lead time (albeit significantly shorter). In this case, the analysis becomes extremely challenging, and, thus, we leave it for future work.
Let { I ( t ) : t 0 } be the number of new components in stock at time t with I ( 0 ) = S . Let ξ ( t ) = ( ξ 1 ( t ) , ξ 2 ( t ) , , ξ N ( t ) ) be an N-dimensional vector of the phases of the working components in the system at time t . Let I = { I ( t ) , ξ ( t ) , t 0 } be the two-dimensional process with a state space Ξ given by
Ξ = { ( i , ( ξ 1 , ξ 2 , , ξ N ) ) , i { S , S 1 , 0 } , ξ k { 1 , , n } , k = 1 , , N } .
When s components fail during the lead time, I ( t ) decreases to 0 , and the system operates with zero new components in stock. In that case, if one of the N operating components fails before the order arrives, the system cannot continue operating. Thus, to keep the system operating, an emergency supply is ordered and received in a negligible amount of time at a premium cost. In what follows, three emergency supply sub-policies are suggested.
(a)
The  ( s , S ) , ( 0 , Q e = S )  policy. The emergency supply consists of S + 1 new components, of which S are stored in the warehouse, and one joins the N 1 components in the system. From that point on, the system continues operating. In this case, the regular order is no longer necessary and, therefore, is canceled (with a cancellation fee). When the emergency supply arrives, complete maintenance of the warehouse and the system is carried out, and the system is upgraded to as-good-as-new condition. Under this policy, the main duty of the provider is to deliver the emergency supply in a negligible amount. Once the provider arrives, they can also perform additional services, such as handling, upgrading, and maintaining the system and the warehouse.
(b)
The  ( s , S ) , ( 0 , Q e )  policy s Q e S . Here, we extend the above ( s , S ) , ( 0 , S ) policy and consider a smaller emergency order. Specifically, when I ( t ) drops to level s, a regular order is placed. However, if during the lead time a component fails and no new components are available in the warehouse, an immediate and expensive emergency order of size Q e + 1 ( s Q e S ) is placed, and the regular order is canceled. Whenever the stock drops to level s again, a new (regular) order is placed.
Note that under both policies, the complete maintenance of the warehouse and the system is performed when either the regular order or the emergency supply arrives.
(c)
The  ( s , S ) , ( 0 , Q ˜ e )  policy 0 Q ˜ e S . Here, too, when I ( t ) drops to level s , a regular order is placed. However, if during the lead time a component fails and no new components are left, an immediate and expensive emergency order of size Q ˜ e + 1 ( 0 Q ˜ e S ) is placed. What distinguishes this policy from the second policy is that the emergency supply serves only as a temporary source in addition to the regular order. Therefore, the regular order is not canceled, and maintenance is performed only when the regular order arrives. Note that subsequent emergency orders may be placed during the lead time.
Let C j , j = 1 , 2 , be the j-th time that the warehouse is replenished up to S new components and undergoes complete maintenance. Clearly, the two-dimensional process I = { I ( t ) , ξ ( t ) , t 0 } is a regenerative process that starts anew from level S , ξ ; the times C j j = 1 , 2 , are the regenerative points of the process. We define the cycle length C j C j 1 ,   j = 1 , 2 , , with C 0 = 0 . Note that the cycle length is composed of two subsequent periods: (i) the time until S s failures occur T ( S s ) ; at that time, I ( t ) drops to s and an order is placed, and (ii) the remaining time until the warehouse is replenished and undergoes complete maintenance. It is easy to verify that the stochastic behavior of I ( t ) before level 0 is similar under all three emergency policies. It changes only after the emergency order is placed.

4.1. The Cost Structure

We assume the following costs.
  • Replacement cost. Let c r be the cost of replacement of a broken component by a new component from the warehouse.
The costs of the regular order
The regular order includes three components: an order cost for each order issued (fixed cost), a cost of maintaining the warehouse (warehouse cost), and a component cost for each purchased component (variable cost). More precisely:
  • Fixed order cost. Whenever the number of components in stock drops to level s, an order is placed at a cost of K o . As in practice, K o is paid at the time of ordering, and it is nonrefundable, even if the order is canceled.
  • Warehouse cost. Let w c be the cost of maintaining the warehouse. Since the warehouse capacity is limited to S components, the cost is typically assumed to be proportional to S. There are several functions that are used to express the warehouse cost. Here, we consider two of them: a discrete piecewise function and a continuous power utility function. As for the discrete piecewise function, we assume that w c has the form w c ( S ) = b ( S ) + a ( S ) · S , where b ( S ) and a ( S ) are step functions. Piecewise functions are well motivated in practice and in theory; see, e.g., [66,67,68,69]. As for the continuous power utility function, we assume the form w c ( S ) = υ · S ρ . Power utility functions are widely used in stochastic inventory management due to their general structure; see, e.g., [70,71]. We further let w c ( S ) be the maintenance cost of the warehouse at time t = 0 .
  • Variable cost. When the order arrives, the warehouse is replenished up to level S , and all components undergo a complete upgrading such that the system resumes operation as good as new with N operating components. Let c o be the cost of each purchased component, and let c f ξ be the cost of upgrading an operating component at phase ξ to as good as new (alternatively, c f ξ can be considered a salvage cost). When the order arrives, the number of purchased components is random, depending on the stock level upon arrival. Specifically, if the order arrives at time t, the number of purchased components is ( S I ( t ) ) (note that the number of upgraded components is N). It is reasonable to assume that c f ξ is increasing in ξ , that c o c f ξ , and, therefore, that c o c f ξ is decreasing in ξ . It is further assumed that c o c r , since c r is the cost of replacing a broken component by a new component from the warehouse.
The costs of the emergency order
The emergency cost has three components: the fixed order cost, the warehouse cost, and the variable cost. Specifically:
  • Emergency cost. An emergency supply incurs a fixed cost and a variable cost of c e for each supplied component. For simplicity, we assume that K e includes the fee for canceling the order (under policies (a) and (b)). As in practice, K e K o , and c e c o . An emergency supply is placed only when no new components are left in the stock, and an operating component fails. Thus, the emergency supply includes Q e + 1 components at a cost K e + c e ( Q e + 1 ) . In addition, we have a cost of w c ( Q e ) + i = 1 N 1 c f ξ i for maintenance activities of the warehouse and for upgrading the system (under policies (a) and (b)). It is reasonable to assume the same warehouse and upgrading costs for both regular and emergency orders; usually, in practice, the very arrival of the emergency supply constitutes the main cost, and all associated costs do not differ much.
To derive the costs, we use renewal theory and PH properties. To that end, let ψ C ( β ) be the expected discounted cycle length using the discount factor β > 0 , i.e., ψ C ( β ) = E ( e β C ) . Let R C ( β ) ,   F C ( β ) ,   W C ( β ) ,   V C ( β ) , and E C ( β ) be the expected discounted replacement cost, fixed cost, warehouse cost, variable cost, and emergency cost, respectively. Similarly, let R C c y c ( β ) ,   F C c y c ( β ) ,   W C c y c ( β ) ,   V C c y c ( β ) , and E C c y c ( β ) be the corresponding expected discounted costs per cycle. Applying renewal theory, we can express the costs as follows:
R C ( β ) = R C c y c ( β ) 1 ψ C ( β ) ,   F C ( β ) = F C c y c ( β ) 1 ψ C ( β ) ,   W C ( β ) = W C c y c ( β ) 1 ψ C ( β ) , V C ( β ) = V C c y c ( β ) 1 ψ C ( β ) ,   E C ( β ) = E C c y c ( β ) 1 ψ C ( β ) .
The expected discounted total cost is thus
T C ( β ) = R C ( β ) + F C ( β ) + W C ( β ) + V C ( β ) + E C ( β ) .
To provide a complete and exhaustive investigation of the three different emergency policies, our analysis is structured hierarchically in three stages. We start with the ( s , S ) , ( 0 , S ) policy (Section 5). Using the approach for the ( s , S ) , ( 0 , S ) policy as a baseline, we expand our analysis to the second policy ( s , S ) , ( 0 , Q e ) , s Q e S (Section 6). The third policy ( s , S ) , ( 0 , Q ˜ e ) , 0 Q ˜ e S completes our analysis (Section 7).

5. The ( s , S ) , ( 0 , S ) Policy

The ( s , S ) , ( 0 , S ) policy assumes that Q e = S ; i.e., each time an emergency order is placed, the stock is replenished with S new components, the regular order is canceled, and a complete maintenance of the warehouse and the system is carried out. Here, the cycle ends when either the regular order or the emergency order arrives. The time C j , j = 1 , 2 , indicates the arrival time of the j-th order. At times C j , j = 1 , 2 , , the process I starts at state ( S , ( ξ 1 , ξ 2 , , ξ N ) ) with probability α ξ 1 α ξ 2 α ξ N .  Figure 1 depicts a typical sample path of the stock level ( I ( t ) ). The blue vertical line represents the regular order, and the red vertical line represents the emergency order. The yellow dashed arrows indicate the lead times. Component failures are indicated by black lightning symbols, and a system failure (the critical failure, when I ( t ) drops to N 1 ) is indicated by a red lightning symbol. Figure 1 illustrates two cycles. The first cycle ends with the arrival of the regular order (when I ( t ) is positive). By contrast, the second cycle ends with the arrival of the emergency supply (when I ( t ) drops to zero and the system fails). In the event of a system failure, an emergency supply of S + 1 new components arrives, the cycle ends, and the pending regular order is canceled. (To emphasize this cancelation, the theoretical residual lead time 2 is indicated by the continuation of the dotted yellow dashed arrow in the figure).
We denote by I j = ( I ( C j ) ) and by ξ j = ( ξ ( C j ) ) , j = 1 , 2 , , the number of new components in the warehouse just before the arrival of the j-th order. Similarly, we denote by ξ j = ( ξ ( C j ) ) , j = 1 , 2 , , the phases of the N operating components just before the arrival of the j-th order. Next, we use the generic form C = C 1 , I = I 1 = I ( C 1 ) , and ξ = ξ 1 = ξ ( C 1 ) , i.e., the time, the number of new components, and the phases of the operating components just before the arrival of the first order, respectively. We further let Σ i , i { 0 , , s } be the set of n N states of the form ( i , ( ξ 1 , ξ 2 , , ξ N ) ) , and we let Σ 1 be the set of n N 1 states of the form ( 1 , ( ξ 1 , ξ 2 , , ξ N 1 ) ) . It is easy to see that the pair { I , ξ } has state space { Σ s , Σ s 1 , , Σ 1 } . State space Σ i , i { 0 , , s } describes the states when the regular order arrives, and Σ 1 describes the states when the emergency order arrives. Our aim is to derive the cost functions and the optimal thresholds s * and S * that minimize the expected total cost.
We assume an initial state ( I 0 , ξ 0 = ξ ) with probability N α ξ , and start by addressing the stopping time variable T ( 1 ) as a key variable in our analysis. The derivation of the cycle length and the costs are as follows.
The variable  T ( 1 )   and its application
The stopping time, T ( i ) , represents the time until the i-th component’s failure. Special attention is given to the time until the first component’s failure, T ( 1 ) , which is the minimum of N independent PH renewal processes. Following Section 3(c), T ( 1 ) P H ( α ( 1 ) * , S ( 1 ) * ) of order n N , with S ( 1 ) * = S N = N S and LST matrix ψ ( 1 ) ( β ) = ( β I S N ) 1 S N o α . The variable T ( 1 ) is used mainly to derive the matrix ψ ( k ) ( β ) with less computational effort than the use of Equation (4) requires.
Lemma 1.
The matrix ψ ( k ) ( β ) can be derived using ψ ( 1 ) ( β ) of order n N as follows:
ψ ( k ) ( β ) = ψ ( 1 ) ( β ) k = ( ( β I S N ) 1 S N o α ) k , k = 1 , , S .
Proof. 
Consider N independent operating components, each of which has a P H ( α , S ) distributed life span. Since T ( 1 ) is the time until the first component fails, the time T ( k ) can be written as
T ( k ) = T ( 1 ) T 0 + T ( 2 ) T ( 1 ) + + T ( k ) T ( k 1 ) with T 0 = 0 .
Given the time and the phase ξ ( T ( i 1 ) ) = ξ , the memoryless property of the exponential distribution implies that the processes I ( t ) t T ( i 1 ) and I ( t ) t > T ( i 1 ) are conditionally independent. Thus, the time until the next component fails, T ( i ) T ( i 1 ) , is stochastically identical to T ( 1 ) , with the exception of the state ξ . Thus, we have T ( i ) T ( i 1 ) P H ( α ξ , S N ) . By Equation (9), we obtain
E ( e β T ( k ) ) = ψ ( k ) ( β ) = E e β i = 1 k T ( i ) T ( i 1 ) = E e β T ( 1 ) E e β T ( 1 ) E e β T ( 1 ) = ψ ( 1 ) ( β ) k = ( ( β I S N ) 1 S N o α ) k .

5.1. Cycle Length and Related Costs

Each cycle is composed of two periods: the time from the beginning of the cycle to the time that S s components fail, T ( S s ) after which a regular order is placed, and the time from T ( S s ) to the arrival of next replenishment (either by a regular or emergency order). Applying the strong Markov property, we can express the cycle length C as
C = T ( S s ) + τ ( s ) ,
where τ ( s ) = min ( T ( s + 1 ) , Y ) is the time of the second period. Accordingly, the expected discounted cycle length is
ψ C ( β ) = E ( e β T ( S s ) ) 1 × n N · E ( e β τ ( s ) ) n N × 1 = N α 1 × n N · ψ ( S s ) ( β ) n N × n N · E ( e β τ ( s ) ) n N × 1 .
Claim 1.
The  ( n N × 1 )  vector  E ( e β τ ( s ) )  is given by
E ( e β τ ( s ) ) = E ( e β τ ( s ) ) e = ψ ( 1 ) ( β + μ ) s + 1 + μ μ + β I ψ ( 1 ) ( β + μ ) s + 1 e .
Proof. 
We start with the following decomposition:
E ( e β τ ( s ) ) e = E ( e β T ( s + 1 ) 1 { T ( s + 1 ) < Y } ) + E ( e β Y 1 { Y < T ( s + 1 ) } ) e = E ( e β T ( s + 1 ) 1 { T ( s + 1 ) < Y } ) e + E ( e β Y 1 { Y < T ( s + 1 ) } ) e .
Applying (1) ( i i i ) and (10), the first term of (14) is the ( n N × n N ) matrix
E ( e β T ( s + 1 ) 1 { T ( s + 1 ) < Y } ) e = ψ ( s + 1 ) ( β + μ ) e = ψ ( 1 ) ( β + μ ) s + 1 e .
For the second term of (14), we use the equality
E ( e β Y 1 { Y < T ( s + 1 ) } ) e = E ( e β Y ) e E ( e β Y 1 { Y > T ( s + 1 ) } ) e .
The multiplication by the vector e yields that E ( e β Y ) e is the LST of the lead time Y, which is an exponentially distributed r.v.:
E ( e β Y ) e = μ μ + β e T .
In addition, applying (1) ( i v ) yields
E ( e β Y 1 { Y > T ( s + 1 ) } ) e = μ μ + β ψ ( s + 1 ) ( β + μ ) e = μ μ + β ψ ( 1 ) ( β + μ ) s + 1 e .
Substituting (17) and (18) into (16) and rearranging yields
E ( e β Y 1 { Y < T ( s + 1 ) } ) e = μ μ + β I ψ ( 1 ) ( β + μ ) s + 1 e .
Substituting (19) and (15) into (14) completes the proof. □
Corollary 2.
The fixed order cost and the warehouse cost are charged once per cycle. Specifically, the fixed cost K o is charged at time T ( S s ) , and the warehouse cost w c is charged at the beginning of the cycle. Thus, it is easy to see that
W C c y c ( β ) = w c F C c y c ( β ) = K o E ( e β T ( S s ) ) = K o N α ψ ( 1 ) ( β ) S s e .

5.2. Replacement Cost

Each failed component is replaced immediately by a new component from the warehouse, if available, at a cost c r . Let R n be the number of replaced components per cycle, and denote by ζ k the time of the k-th replacement. The expected discounted replacement cost is given by
R C c y c ( β ) = c r k = 1 R n E e β ζ k = c r N α k = 1 R n E e β ζ k e .
The first term N α is the initial probability vector of the N operating components. Here, we need to follow the phases of the operating components at the time of each replacement, since the system continues operating. Each component failure belongs to either one of the first S s failures (after which a regular order is placed) or one of the component failures during the lead time (maximum s failures). Thus, ζ k satisfies the next relation:
ξ k = T ( k ) k = 1 , , S s , T ( k ) 1 { T ( k ) < Y } k = S s + 1 , , S .
Substituting (21) into (20) yields
k = 1 R n E e β ζ k = k = 1 S s E e β T ( k ) + k = S s + 1 S E e β T ( k ) 1 { T ( k ) < Y } .
To derive Equation (22) in a more structured way, we first present the next definition and the following Lemma.
Definition 1.
Let Ψ ( β , k ) be the expected accumulated discounted time until k component fail, i.e.,
Ψ ( β , k ) = i = 1 k E e β T ( i ) .
Lemma 2.
The term Ψ ( β , k ) satisfies
Ψ ( β , k ) = [ I ψ ( 1 ) ( β ) ] ψ ( 1 ) ( β ) I ψ ( 1 ) ( β ) k .
It is easy to verify Lemma 2 using the equality Ψ ( β , k ) = i = 1 k E e β T ( 1 ) i = i = 1 k ψ ( 1 ) ( β ) i and the formula of the finite geometric series sum.
Claim 2.
The replacement cost per cycle is given by
R C c y c ( β ) = c r N α Ψ ( β , S s ) + ψ ( 1 ) ( β ) S s Ψ ( β + μ , s ) e .
Proof. 
The first term Ψ ( β ,   S s ) is the expected accumulated discounted time until T ( S s ) . From that point on (with LST ψ ( 1 ) ( β ) S s ), failed components are replaced (up to s components) as long as the pending regular order has not arrived. By (1) ( i i i ) ,   Ψ ( β + μ , s ) is the expected accumulated discounted time until that event. Multiplying by N α completes the proof. □

5.3. Variable Cost

Here, we include the cost of the purchased items and the cost of upgrading the system when the order arrives. Assume that the regular order arrives when i components are in the warehouse, i.e., I ( t ) = i , 0 i s . Then, the warehouse is replenished with ( S i ) new components at a cost of c o per component. Recall that c f ξ is the cost of upgrading an operating component at phase ξ to as good as new. Let c f be the ( n N × 1 ) upgrading cost vector whose ξ = ( ξ 1 , ξ N ) entry is given by
c f ξ = ( ξ 1 , ξ N ) = i = 1 N c f ξ i .
It is easy to verify that if ( I ( t ) , ξ ( t ) ) = ( i , ξ ) upon arrival, then the variable cost is c o ( S i ) e + c f ξ .
Claim 3.
The variable cost V C c y c ( β ) is given by
V C c y c ( β ) = N α ψ ( 1 ) ( β ) S s k = 0 s ψ ( 1 ) ( β + μ ) k × μ ( ( β + μ ) I S N + S N o α ) 1 μ μ + β ψ ( 1 ) ( β + μ ) c o ( S s + k ) e + c f .
Proof. 
The variable cost satisfies
V C c y c ( β ) = N α ψ ( S s ) ( β ) E e β Y 1 Y < T ( s + 1 ) ( c o ( S I ( Y ) ) e + c f ) .
The term N α ψ ˜ ( S s ) ( β ) is the discounted time a regular order is placed. Assume that Y < T ( s + 1 ) and ξ ( Y ) = ξ ; i.e., the order arrives before the system fails. Then, a cost of c o ( S I ( Y ) ) + c f ξ is incurred. Otherwise, an emergency order is placed. Specifically, assume that k , k = 0 , , s , components fail during the lead time, i.e., T ( k ) < Y < T ( k + 1 ) , k = 0 , , s . Equation (28) can then be written as
V C c y c ( β ) = N α ψ ( S s ) ( β ) k = 0 s E e β Y 1 T ( k ) < Y < T ( k + 1 ) ( c o ( S s + k ) e + c f ) .
When T ( k ) < Y < T ( k + 1 ) , the lead time includes two periods: the time until the k-th failure, T ( k ) , k = 0 , , s , and the time until the regular order arrives, ( T ( k ) , Y ] . Let Y ˜ be the residual lead time, such that Y ˜ = Y T ( k ) . Given the time T ( k ) and ξ ( T ( k ) ) , the exponential memoryless property yields that Y ˜ is also an exponentially distributed r.v. at rate μ , and therefore, Y 1 T ( k ) < Y < T ( k + 1 )   and Y ˜ 1 Y ˜ < T ( 1 ) have the same distribution. In matrix form, we have
E ( e β Y 1 T ( k ) < Y < T ( k + 1 ) ) = E ( e β ( T ( k ) + Y ˜ ) 1 { T ( k ) < Y , Y ˜ < T ( 1 ) } ) = E ( e β T ( k ) 1 { T ( k ) < Y } ) E ( e β Y ˜ 1 { Y ˜ < T ( 1 ) } ) .
Applying (1) ( i i i ) and ( i v ) yields
E ( e β T ( k ) 1 { T ( k ) < Y } ) = ψ ( k ) ( β + μ ) = ψ ( 1 ) ( β + μ ) k , E ( e β Y ˜ 1 { Y ˜ < T ( 1 ) } ) = E ( e β Y ˜ ) E ( e β Y ˜ 1 { Y ˜ > T ( 1 ) } ) = E ( e β Y ˜ ) μ μ + β ψ ( 1 ) ( β + μ ) .
To complete the derivation, we derive E ( e β Y ˜ ) . Note that, here, we need to consider the phases of the N operating components (since the cost of upgrading an operating component is a function of its phase). To do so, we refer to Section 3.2 of Latouche and Ramaswami [65]. In Section 3.2 of [65], it is shown that for a renewal process { J ( t ) : x } of P H ( α , S ) , the matrix P ( x ) with elements
P ( x ) i j = p ( J ( x ) = j J ( 0 ) = i )
takes the form P ( x ) = exp ( S + S o α ) . For N i.i.d. PH renewal processes, we have the ( n N × n N ) matrix P ( x ) = S N + S N o α . Thus, E ( e β Y ˜ ) is given by
E ( e β Y ˜ ) = 0 e β u μ e μ u e S N + S N o α u d u = μ ( β + μ ) I S N + S N o α 1 .
Substituting (31) and (32) into (29) completes the proof. □

5.4. Emergency Cost

The emergency cost includes the fixed order cost, K e , the component cost, c e , and the upgrading cost c f ξ of the remaining N 1 components at phase ξ . Similarly, we let c ˜ f be the ( n N 1 × 1 ) upgrading cost, whose ξ ˜ = ( ξ 1 , ξ N 1 ) entry is given by
c ˜ f ξ ˜ = ( ξ 1 , ξ N 1 ) = i = 1 N 1 c f ξ i .
Assume that ξ ( T ( s + 1 ) ) = ξ ˜ ; then, the emergency cost at the time of ordering is K e + c e ( S + 1 ) + c f ξ ˜ .
Claim 4.
The emergency cost E C c y c ( β ) is given by
E C c y c ( β ) = N α ψ ( 1 ) ( β ) S s ψ ( 1 ) ( β + μ ) s ( ( β + μ ) I S N ) 1 S N o K e + c e ( S + 1 ) e + c ˜ f .
Proof. 
We present only the key steps of the proof. The emergency supply arrives at time T ( s + 1 ) , given that T ( s + 1 ) < Y . Hence, we have
E C c y c ( β ) = N α ψ ( S s ) ( β ) E e β T ( s + 1 ) 1 T ( s + 1 ) < Y ( K e + c e ( S + 1 ) e + c ˜ f ) ,
where
E ( e β T ( s + 1 ) 1 { T ( s + 1 ) < Y } ) = ψ ( 1 ) ( β + μ ) s ( ( β + μ ) I S N ) 1 S N o .
Recall that when s components fail, the system continues operating. Thus, for each of the s failures, we apply the ( n N × n N ) matrix ψ ( 1 ) ( β + μ ) . Then, in the next component failure, the system stops operating. Here, we apply the ( n N × n N 1 ) matrix ( ( β + μ ) I S N ) 1 S N o by replacing S N o α with S N o since no replacement is carried out. Substituting (36) into (35) yields (34) □

5.5. Example 1

Our basic example includes a system with N = 5 components operating in parallel. Each component has a phase-type distributed life span with n = 3 phases and
α = 1 0 0 Initial probability , S = 2 2 0 1.5 1.5 1 Transition rate matrix ;
i.e., the life span of each component includes three phases that last an exponential time at rates 2, 1.5 and 1, respectively. We assume an exponentially distributed lead time at rate μ = 1 3 , and a discount factor β = 0.05 . The cost structure includes a replacement cost c r = 250 and upgrading cost vector c f = ( 50 , 100 , 150 ) .
Clearly, the warehouse capacity affects the maintenance cost, the holding cost, and the number of components ordered (since each regular order replenishes the warehouse to its maximum capacity). Thus, it is important to investigate how the system’s performance is impacted by the warehouse size. On the one hand, the larger the warehouse, the more new components there are in stock, and hence the less likely the need for an expensive emergency supply. On the other hand, the cost of replenishing and maintaining the warehouse increases as a function of its size. As discussed in Section 4.1, there are several cost structures that can be taken into consideration. We model the warehouse cost by using two structures, namely, a discrete piecewise function and a continuous power utility function. For each cost structure, we define a concave, a linear, and a convex function (for a total of six warehouse cost functions). The piecewise functions are denoted by w c i ( S ) = b i ( S ) + a i ( S ) · S , i = 1 , 2 , 3 ; the power utility functions are denoted by w c ¯ i ( S ) = υ i · S ρ i , i = 1 , 2 , 3 . The index i = 1 , 2 , 3 refers to concave, linear, and convex functions, respectively. The functions w c i ( S ) and w c ̲ i ( S ) for i = 1 , 2 , 3 are given in Equation (38) :
w c 1 ( S ) ( piecewise concave ) = 500 + 100 · S 0 S < 50 , 5500 + 40 · S 50 S < 100 , 8500 + 20 · S 100 S . , w c ̲ 1 ( S ) ( power concave ) = 1000 · S 0.5 , w c 2 ( S ) ( piecewise linear ) = 120 · S 0 S < 50 , 1000 + 120 · S 50 S < 100 , 2000 + 120 · S 100 S . , w c ̲ 2 ( S ) ( power linear ) = 135 · S , w c 3 ( S ) ( piecewise convex ) = 500 + 100 · S 0 S < 50 , 1000 + 125 · S 50 S < 100 , 1500 + 160 · S 100 S . , w c ̲ 3 ( S ) ( power convex ) = 50 · S 1.25 .
Figure 2a–c shows the curves for the concave, linear, and convex warehouse costs for S [ 0 , 200 ] , respectively; the piecewise functions, w c i , i = 1 , 2 , 3 , are indicated by the solid curves; and the power utility functions, w c ̲ i , i = 1 , 2 , 3 , are indicated by the dashed curves.
Our aim is to find the optimal thresholds S * and s * that minimize the expected total cost T C . Unfortunately, the cost functionals are too complicated to be mathematically interpreted, and so we use a numerical analysis; we use Maple 2023.1 for our numerical investigation. Figure 3a–c shows T C as a function of S and s for w c ¯ 3 , w c 1 , and w c 3 , respectively. We see that, while T C w c ̲ 3 is convex in S and s , T C w c 1 and T C w c 3 are piecewise convex functions (i.e., convex within each range of S). We note that T C displays a similar convexity property in all our numerical examples. Thus, the search for S * and s * can be easily accomplished by a simple linear search (for the continuous functions and within each range for the piecewise functions).
An emergency order is expensive; experience shows that it can cost up to twice as much as a regular order. Hence, we assume that K o = 550 and K e = 2 K o = 1100 . We further study the system’s performance for two values of c e : a relatively high cost c e = 1.1 c o (i.e., 10% higher than the regular cost), and an extremely high cost, c e = 2 c o (i.e., 100% higher than the regular cost). Table 1 presents the optimal thresholds and cost S * , s * , and T C * as functions of c o = { 200 , , 500 } , and w c i ,   w c ̲ i ,   i = 1 ,   2 ,   3 ; the top and bottom sub-tables refer to c e = 1.1 c o and c e = 2 c o , respectively.
In order to investigate the system’s performance as a function of μ and β , more numerical analyses have been conducted (which are not reported here). Below is a summary of our main conclusions.
(i
The total expected cost T C is (piecewise) convex with respect to the thresholds S and s , which makes it easier to derive the optimal thresholds.
(ii
The optimal thresholds S * , s * and the optimal cost T C * are decreasing in β   and μ . That is, the shorter the lead time, the more economically profitable it is for the company to place more frequent but smaller orders. As expected, increasing the discount factor β leads to a delay in ordering.
(iii
The optimal threshold s * (reorder point) is hardly affected by the warehouse cost type (whether linear, concave, or convex). By contrast, the optimal threshold S * is significantly affected; we see that a concave cost (whether piecewise or continuous) yields a higher S * and hence a larger difference ( S * s * ) . Since a concave function implies a decreasing marginal cost and exhibits economies of scale, it is economically profitable for the company to place fewer but larger orders.
(iv
Our results show that T C * ( w c i ) > T C * ( w c ̲ i ) for the same c o and c e . We believe that this result mainly depends on the functions themselves and cannot be an absolute conclusion.
(v
As expected, increasing c o increases S * ; this holds for all warehouse cost functions.
(vi
Increasing c e increases S * and s * , with a more significant increase observed for s * . Obviously, for a very high emergency cost, the best strategy is to reduce the number of emergency orders by increasing the regular order (i.e., setting a higher s * ).

6. The ( s , S ) , ( 0 , Q e ) Policy

We next extend the ( s , S ) , ( 0 , S ) policy by considering an emergency supply of an arbitrary quantity s < Q e S . Since an emergency order is more expensive than a regular order, it may be economically feasible to partially replenish the warehouse with fewer components (enough to keep the system operating), rather than completely replenish the warehouse with S components. Under the ( s , S ) , ( 0 , Q e ) policy, we assume that when I ( t ) drops to level s, a regular order is placed. However, if during the lead time a component fails and no new components are available in the warehouse, an emergency order of a fixed quantity Q e + 1 ( s < Q e S ) is ordered and received in a negligible amount of time at a premium cost. Here, too, the emergency order cancels the pending regular order, and when I ( t ) drops to s again, a new regular order is placed. Clearly, the ( s , S ) , ( 0 , S ) policy is a special case of the first policy, where Q e = S . We further emphasize that the complete maintenance of the warehouse and the system is carried out upon arrival of both orders (regular and emergency). Note that the regular order may be placed several times per cycle (due to cancellations), but only one of them is implemented, thus ending the cycle. Accordingly, an emergency supply may be placed several times per cycle.
In what follows, we use superscript e to denote functions under the ( s , S ) , ( 0 , Q e ) policy. Let I e = { I e ( t ) , t } be the stock level under the ( s , S ) , ( 0 , Q e ) policy, and let C j e be the arrival time of the j-th regular order. The stopping times C j e , j = 1 , 2 , are regenerative points for I e . Denote by C e the generic form of C j e , j = 1 , 2 , . Figure 4 depicts a typical sample path of I e ( t ) under the ( s , S ) , ( 0 , Q e ) policy. We see that in the first cycle (Cycle 1), the lead time (Lead time 1) ends when I e ( t ) > 0 ; thus, the warehouse is replenished up to S and the cycle ends. In the next cycle (cycle 2), a component fails during the lead time (lead time 2) when I e ( t ) = 0 . Thus, an emergency order is placed, the warehouse is replenished up to level Q e , and the pending regular order is canceled (as indicated by the yellow dashed arrow of Lead time 2). When I e ( t ) again drops to level s, a new regular order is placed, and, this time, the cycle ends after lead time 3.
We first derive the expected discounted cycle length and then the cost functionals. The proofs are analogous to those in Section 5, and therefore, we omit all but the key steps.

6.1. Cycle Length

Let C e ( k ) , k [ s , Q e ] be the residual cycle length when I e = k , and let E ( e β C e ( k ) ) be its ( n N × 1 ) LST vector. Claim 5 is obtained by applying the first step expectation technique.
Claim 5.
The expected discounted cycle length is given by
ψ C e ( β ) = E ( e β C e ) = N α ψ ( 1 ) ( β ) S s E ( e β C e ( s ) ) ,
E ( e β C e ( s ) ) = μ μ + β I ψ ( 1 ) ( β + μ ) s + 1 e N α ψ ( 1 ) ( β ) Q e s 1 I ψ ( 1 ) ( β + μ ) s + 1 e .
Proof. 
Equation (39) is straightforward. Consequently, it is easy to verify that the ( n N × 1 ) vector E ( e β C e ( s ) ) satisfies the following decomposition:
E ( e β C e ( s ) ) = E ( e β Y 1 { Y < T ( s + 1 ) } ) + E ( e β T ( s + 1 ) 1 { T ( s + 1 ) < Y } ) e E ( e β C e ( Q e ) ) .
Note that a regular order arrives only when Y < T ( s + 1 ) , at which point the cycle ends. The last term of (41), E ( e β C e ( Q e ) ) , is given by (39) with Q e replacing S . We emphasize that a complete maintenance is performed upon the arrival of both orders, regular and emergency, after which the phases of the operating components are chosen according to the vector α (with a matrix probability form N α ). Substituting (19) and (15), rearranging, and solving for E ( e β C e ( s ) ) completes the proof. □

6.2. Cost Derivations

Let W C c y c e ( β ) , R C c y c e ( β ) , F C c y c e ( β ) , V C c y c e ( β ) , and E C c y c e ( β ) be the warehouse, replacement, order (fixed and variable), and emergency costs per cycle, respectively. Let RC ( k ) be the residual replacement cost vector when I e = k , k = { 0 , , s } (i.e., k components are in the warehouse). Accordingly, let WC e ( s ) , FC e ( s ) , VC e ( s ) , and EC e ( s ) be the warehouse, order (fixed and variable), and emergency ( n N × 1 ) cost vectors respectively when there are s components in the warehouse. In the next proposition, we integrate the recursive technique and the first-step expectation technique to make the derivation simpler and structured.
The expected discounted costs per cycle are given by
  • (The warehouse cost)
( i ) W C c y c e ( β ) = w c ( S ) + N α ψ ( 1 ) ( β ) S s WC e ( s ) , ( i i ) WC e ( s ) = μ μ + β I ψ ( 1 ) ( β + μ ) s + 1 e N α ψ ( 1 ) ( β ) Q e s 1 I ψ ( 1 ) ( β + μ ) s + 1 e + w c ( Q e ) ψ ( 1 ) ( β + μ ) s + 1 e .
  • (The replacement cost)
( i ) R C c y c e ( β ) = N α Ψ ( β , S s ) e c r + ψ ( 1 ) ( β ) S s RC e ( s ) , ( i i ) RC e ( k ) = ψ ( 1 ) ( β + μ ) ( c r e + RC e ( k 1 ) ) , k = 1 , s , ψ ( 1 ) ( β + μ ) e R C e ( Q e ) , k = 0 ,
where Ψ ( β , k ) is as given in Equation (24) , and R C e ( Q e ) is obtained by replacing S with Q e in R C c y c e ( β ) .
  • (The fixed order cost)
( i ) F C c y c e ( β ) = N α ψ ( 1 ) ( β ) S s ( K 0 · e + FC e ( s ) ) , ( i i ) FC e ( s ) = K o I ψ ( 1 ) ( β + μ ) s + 1 e N α ψ ( 1 ) ( β ) Q e s 1 × ψ ( 1 ) ( β + μ ) s + 1 e N α ψ ( 1 ) ( β ) Q e s e .
  • (The variable cost)
( i ) V C c y c e ( β ) = N α ψ ( 1 ) ( β ) S s VC e ( s ) , ( i i ) VC e ( s ) = ψ ( 1 ) ( β + μ ) s + 1 e V C e ( Q e ) + i = 0 s ψ ( 1 ) ( β + μ ) i × μ ( ( β + μ ) I S N + S N o α ) 1 μ μ + β ψ ( 1 ) ( β + μ ) c o ( S s + i ) e + c f ,
where V C e ( Q e ) is obtained by replacing S with Q e in V C c y c e ( β ) .
  • (The emergency cost)
( i ) E C c y c e ( β ) = N α ψ ( 1 ) ( β ) S s EC e ( s ) , ( i i ) EC e ( s ) = I ψ ( 1 ) ( β + μ ) s + 1 e N α ψ ( 1 ) ( β ) Q e s 1 × ψ ( 1 ) ( β + μ ) s ( β + μ ) I S N 1 S N o K e + c e ( Q e + 1 ) e + c ˜ f .
Proof. 
We start with Equation (42) ( i ) ( i i ) . A warehouse cost is incurred each time an order arrives, be it regular or emergency. Similar to Equation (41), WC e ( s ) can be written as
WC e ( s ) = E ( e β Y 1 { Y < T ( s + 1 ) } ) + E ( e β T ( s + 1 ) 1 { T ( s + 1 ) < Y } ) e W C e ( Q e ) ,
where W C e ( Q e ) is obtained by substituting Q e instead of S into W C c y c e ( β ) . Substituting (19) and (15) and solving for WC e ( s ) yields Equation (42) ( i i ) . Next, we consider Equation (43) ( i i ) , with the replacement cost RC e ( 0 ) . When a component fails before the lead time ends (with LST ψ ( 1 ) ( β + μ ) ) and no new component is available in the warehouse, an emergency supply replenishes the inventory to level Q e , and the remaining replacement cost is thus R C ( Q 1 e ) . The cost R C c y c e ( β ) for k = 1 , , s is straightforward. Finally, consider Equations (44) and (46) , with FC e ( s ) and EC e ( s ) , respectively. The fixed order cost K o is incurred when a regular order is placed, whereas the cost K e is incurred when each time an emergency order is placed. Thus, it is easy to verify that FC e ( s ) and EC e ( s ) satisfy
FC e ( s ) = ψ ( 1 ) ( β + μ ) s + 1 e F C e ( Q e ) ,
EC e ( s ) = ψ ( 1 ) ( β + μ ) s ( β + μ ) I S N 1 S N o K e + c e ( Q e + 1 ) e + c ˜ f + e E C e ( Q e ) ,
where F C ( Q e ) and E C ( Q e ) are obtained by substituting Q e instead of S into F C c y c e ( β ) and E C c y c e ( β ) , respectively. The ( n N × n N 1 ) matrix ( β + μ ) I S N 1 S N o in Equation (48) is due to the fact that we need to follow the phases of N 1 remaining components for the derivation of the upgrading cost. When the emergency supply arrives, I e is replenished to level Q e . Solving for FC e ( s ) and EC e ( s ) and noting that ( β + μ ) I S N 1 S N o e = ψ ( 1 ) ( β + μ ) s + 1 e completes the derivations. Finally, VC e ( s ) is obtained by applying similar techniques to those of Equation (27). □

6.3. Example 2

We start by studying the behavior of the total cost T C e as a function of s e and Q e . To do so, we consider the set ( c o , c e ) = ( 200 , 220 ) , and the warehouse cost w c 2 . Similar to Example 5.5, we let K o = 550 , K e = 1100 , β = 0.05 , μ = 1 / 3 , c r = 250 ,   c f = ( 50 , 100 , 150 ) , and fix S e = S * = 49 (see Table 1). Figure 5 depicts T C e for s e varying in [ 1 , 5 ] and Q e varying in [ 10 , 40 ] . We see that T C e is convex in Q e and s e , which makes the search for the optimal thresholds easier (here, we obtain s e * = 2 , Q e * = 19 , and T C e * = 24 , 599 , as indicated by the blue dashed line in Figure 5). We note that, although we did not prove it, T C e displays a similar convexity property in all our numerical examples.
Our goal is to examine whether partial orders, i.e., when Q e < S , are economically profitable. To do so, we assume that the company keeps the inventory at optimal thresholds S * and derive the optimal emergency supply Q e * . We consider two cases. In Case ( a ) , we assume that S e = S * and s e = s * (as in Table 1) and derive level Q e * , which minimizes T C ( a ) e * = T C e * ( S e , s e , Q e * ) . In Case ( b ) , we assume that S e = S * and derive the levels s e * and Q e * that minimize T C ( b ) e * = T C e * ( S * , s e * , Q e * ) .  Table 2 presents the results for w c i ,   w c ̲ i ,   i = 1 , 2 , 3 , c o { 200 , , 500 } , and c e = { 1.1 c o , 2 c o } . The results for Cases ( a ) and ( b ) are marked in red and blue, respectively; the black values are taken from Table 1.
As expected, comparing the results of Cases ( a ) and ( b ) to the results in Table 1 shows that
T C ( b ) e * T C ( a ) e * ( ( s , S ) , ( 0 , Q e ) ) p o l i c y T C * ( S * , s * ) ( ( s , S ) , ( 0 , S ) ) p o l i c y .
To quantify the cost savings by letting Q e < S , we further calculate the savings percentages, % Δ ( a ) and % Δ ( b ) , which are given by
% Δ ( a ) = T C * ( S * , s * ) T C ( a ) e * T C * ( S * , s * ) , % Δ ( b ) = T C * ( S * , s * ) T C ( b ) e * T C * ( S * , s * ) .
The percentages % Δ and % Δ ( b ) are indicated in the red and blue parentheses in Table 2, respectively. In addition, Figure 6 curves % Δ ( a ) for c e = 1.1 c o (solid lines) and c e = 2 c o (dashed lines). The black, gray, and red lines in the figure refer to w c ¯ i , i = 1 , 2 , 3 , respectively. Similarly, in Figure 7  % Δ ( b ) represents the curves, and the black, gray, and blue lines refer to w c ¯ i , i = 1 , 2 , 3 , respectively.
Conclusions
(i
The total cost T C e is convex in Q e and s e , which makes the search for the optimal thresholds easier.
(ii
An emergency supply with Q e * < S * yields a cost savings (of up to 8%) even when we preserve S * and s * (Case ( a ) ). Clearly, when optimizing both s e and Q e , the cost savings increase, as expressed by % Δ ( a ) (which is less than % Δ ( b ) ).
(iii
In most cases, the benefit of ordering Q e * < S * is higher when the warehouse cost function is convex (especially for high c o and c e , as indicated by the red line in Figure 7 and the blue line in Figure 7). Thus, when the warehouse cost exhibits diseconomies of scale, it is recommended that decision makers invest effort in determining the optimal emergency supply Q e * and, if possible, the optimal threshold s e * as well.
(iv
Regarding Case ( a ) , Figure 6 shows that the economic advantage of deriving Q e * is relatively constant for the different c o values. We further see that Q e * is increasing in c o and decreasing in c e . Clearly, when the regular order is expensive (i.e., has a high c o ), the benefit of an emergency order increases, and thus Q e * increases). We further see that Q e * is smaller for a convex cost function, probably to save cost.
(v
Regarding Case ( b ) , Figure 7 shows that Q e * is slightly increasing in c o . In contrast to the slight decrease in Q e * for Case (a), we observe a significant decrease in Q e * when c e = 2 c o , compared to when c e = 1.1 c o . In order to optimize s e * (usually to s e * = 2 ) , we can decrease the emergency order (i.e., reduce Q e * ), especially when the emergency cost is high. Moreover, the low values of s e * (compared to those of Case ( a ) ) are probably due to the fact that, since the regular order is canceled, it is economically profitable to delay the time of ordering (i.e., decrease s e * ) thereby taking full advantage of the emergency supply.

7. The ( s , S ) , ( 0 , Q ˜ e ) Strategy

The above policies assume that placing an emergency order entails the cancelation of the regular order. However, since emergency orders are very expensive, it is worthwhile to investigate the benefit of replenishing the warehouse with a safety stock while awaiting the regular order. Specifically, we introduce the ( ( s , S ) , ( 0 , Q ˜ e ) ) policy for 0 Q ˜ e S , which operates as follows: when the stock level drops to s, a regular order is placed. However, if during the lead time a component fails and no new component is available in the warehouse, an additional (emergency) order of a specified fixed size Q ˜ e + 1 is placed. Upon arrival, the warehouse is replenished with Q ˜ e new components, one component replaces the broken component, and the system resumes operation. As before, this safety emergency supply is received in a negligible amount of time at a premium cost. We emphasize that the aim of this safety emergency supply is to prevent a system failure and serves as a temporary source of supply, in addition to the regular one. Thus, the complete maintenance of the warehouse and the system is performed only when the lead time ends and the regular order arrives. We further note that during the lead time, additional regular orders are not allowed (so that no crossover occurs); however, subsequent safety emergency supplies may be placed to prevent a system failure.
To clarify, we highlight the main points of comparison between the ( ( s , S ) , ( 0 , Q ˜ e ) ) and ( s , S ) , ( 0 , Q e ) policies:
(i
Under both policies, when the inventory drops to level s , a regular order of up to S new components is placed. Upon arrival, the complete maintenance of the warehouse and the system is performed.
(ii
Under both policies, if a component fails and no new components are available in the warehouse, an emergency order of Q e + 1 ( Q ˜ e + 1 ) new components is placed.
(iii
Under the ( ( s , S ) , ( 0 , Q ˜ e ) ) policy, a pending regular order is not affected when an emergency order is placed. Under the ( s , S ) , ( 0 , Q e ) policy, the emergency order replaces the regular order.
(iv
Under the ( ( s , S ) , ( 0 , Q ˜ e ) ) policy, maintenance is performed only when the regular order arrives, after which the cycle ends.
(v
Under the ( ( s , S ) , ( 0 , Q e ) ) policy, maintenance is performed when both orders arrive. Note that if Q e = S , the cycle ends when both orders arrive, whereas if Q e < S , the cycle ends when only the regular order arrives.
In what follows, we use the symbol ~ to indicate terms associated with the ( ( s , S ) , ( 0 , Q ˜ e ) ) policy. Let I ˜ e = { I ˜ e ( t ) , t 0 } be the stock level at time t 0 , let C ˜ j e j = 1 , 2 , , be the arrival time of the j-th regular order, and let C ˜ e be the generic form of the cycle length. Clearly, I ˜ e ( C ˜ j e + ) = S , and C ˜ j e j = 1 , 2 , are the regenerative points of I ˜ e . Figure 8 demonstrates a typical sample path of I ˜ e ( t ) under the ( ( s , S ) , ( 0 , Q ˜ e ) ) policy. Here, Cycle 1 ends without an emergency order, and therefore, it is stochastically similar to Cycle 1 in Figure 1 and Figure 4. By contrast, during Cycle 2, a component fails when the stock is empty, and therefore, an emergency order is placed. Figure 8 highlights that the regular order is not affected and arrives after lead time 2, after which the cycle ends.
Let ε i , i = 1 , 2 , be the i-th arrival time of the emergency supply. At times ε i , the stock level I ˜ e is replenished with Q ˜ e new components and one new component replaces the broken one in the system (its phase is chosen according to the probability vector α ) . Thus, the times ε i , i = 1 , 2 , are semi-regenerative points of I ˜ e with I ˜ e ( ε i + ) = Q ˜ e . Recall that since no maintenance is performed at time ε i , the phases of the N 1 operating components are kept for the continuity of the system.

7.1. Cycle Length and Related Costs

A regular order is placed once per cycle, after which the cycle ends. Thus, we have
C ˜ e = T ( S s ) + Y , ψ C ˜ e ( β ) = E ( e β T ( S s ) + Y ) = ψ T ( S s ) ( β ) E ( e β Y ) .
Since Y ˜ exp ( μ ) , we have
ψ C ˜ e ( β ) = μ μ + β N α ψ ( 1 ) ( β ) S s e = μ μ + β N α ( ( β I S N ) 1 · S N o α ) S s e .
Corollary 3.
Similar to Corollary 2, the fixed order cost and the warehouse cost are charged once per cycle. Specifically, the fixed cost K o is charged at time T ( S s ) , and the warehouse cost w c is charged at the beginning of each cycle (which is also the end of the previous cycle). Thus, it is easy to see that the fixed and warehouse costs per cycle ( F C ˜ c y c e ( β ) and W C ˜ c y c e ( β ) , respectively) are given by
F C ˜ c y c e ( β ) = K o E ( e β T ( S s ) ) = K o N α ψ ( 1 ) ( β ) S s e , W C ˜ c y c e ( β ) = w c ( S ) .
Remark 1.
It should be noted that the upgrading cost is also paid once per cycle, when the order arrives. However, this cost depends on the components’ phases and requires a deeper snapshot of the system. Thus, its derivation is included in Section 7.2.

7.2. Other Costs

Let R C ˜ c y c e ( β ) , V C ˜ c y c e ( β ) , and E C ˜ c y c e ( β ) be the replacement, variable, and emergency costs per cycle. Let RC ˜ e ( k ) be the residual replacement cost vector when I ˜ e ( t ) = k , k = { 0 , , max ( s , Q ˜ e ) } . Similarly, let VC ˜ e ( k ) and EC ˜ e ( k ) , k = { s , Q ˜ e } , be the ( n N × 1 ) variable and emergency cost vectors, when I ˜ e ( t ) = k , respectively.
Proposition 1.
The expected discounted costs are given by
  • (The replacement cost)
( i ) R C ˜ c y c e ( β ) = N α Ψ ( β , S s ) c r e + ψ ( 1 ) ( β ) S s RC ˜ e ( s ) e . ( i i ) RC ˜ e ( k ) = ψ ( 1 ) ( β + μ ) ( c r e + RC ˜ e ( k 1 ) ) , k = 1 , , max ( s , Q ˜ e ) , ψ ( 1 ) ( β + μ ) RC ˜ e ( Q ˜ e ) , k = 0 .
  • (The variable cost)
( i ) V C ˜ c y c e ( β ) = N α ψ ( 1 ) ( β ) S s VC ˜ e ( s ) . ( i i ) VC ˜ e ( k ) = ψ ( 1 ) ( β + μ ) k + 1 VC ˜ e ( Q ˜ e ) + i = 0 k ψ ( 1 ) ( β + μ ) i ×
  • (The emergency cost)
( i ) E C ˜ c y c e ( β ) = N α ψ ( 1 ) ( β ) S s EC ˜ e ( s ) , ( i i ) EC ˜ e ( k ) = ψ ( 1 ) ( β + μ ) k + 1 ( K e + c e ( Q ˜ e + 1 ) ) e + EC ˜ e ( Q ˜ e ) , k { s , Q ˜ e } .
Proof. 
The cost functions are derived similarly to those in Section 5 and Proposition 6.2. The main difference is that the maintenance is performed (and paid for) only when the regular order arrives. At that time, the system continues operating, and hence, the cost c ˜ f is not relevant. □

7.3. Example 3

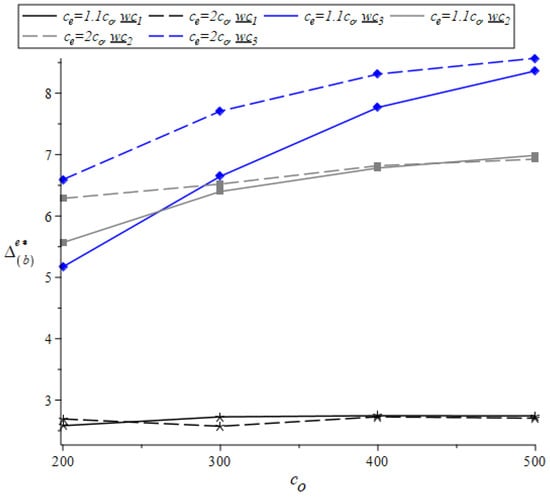
We use the same values as those of Example 6.3 (i.e., K o = 550 , β = 0.05 , μ = 1 / 3 , c r = 250 , c f = ( 50 , 100 , 150 ) , w c i , w c ¯ i , i = 1 , 2 , 3 ). Here, too, we set the optimal thresholds to S * and s * (as in Table 1) and obtain the optimal emergency supply Q ˜ e * .  Table 3a,b tabulate the results as functions of c o , c e , w c i , and w c ¯ i , i = 1 , 2 , 3 for K e = 1100 and K e = 3500 , respectively. The optimal values Q ˜ e * and T C ˜ e * = T C ˜ e * ( S * , s * , Q ˜ e * ) are marked in red. In order to better our understanding of the benefit of an emergency order and the extent of its necessity relative to the regular order, we calculate the following two measures:
% Δ ˜ 1 e = T C * ( S * , s * ) T C ˜ e * T C * ( S * , s * ) , % Δ ˜ 2 e = T C ( a ) e * T C ˜ e * T C ( a ) e * .
Recall that T C * ( S * , s * ) and T C ( a ) e * are given in Table 1 and Table 2, respectively. The measure % Δ ˜ 1 e , marked in black italics in Table 3, represents the benefit of ordering a smaller emergency supply. The measure % Δ ˜ 2 e , marked in red in Table 3, represents the benefit of using the emergency supply as a second source of supply (and cancel the pending regular order). We see that % Δ ˜ 1 e > 0 in all cells; i.e., replenishing the warehouse with such a small safety stock may yield significant cost savings. By contrast, the effectiveness of canceling the pending regular order is questionable. To highlight this point, all cells in Table 3, where % Δ ˜ 2 e < 0 , are colored yellow. It can be seen that when the emergency cost is high (either K e or c e ) or the warehouse cost is convex (i.e., with diseconomies of scale leading to increasing marginal costs), it is economically profitable to cancel the pending regular order when placing an emergency one. That is, when the emergency supply is expensive, it pays to take full advantage of it by increasing its size and canceling the pending regular order (see also Figure 9 below).
To compare the optimal emergency order threshold Q e * to Q ˜ e * , we use a graphical illustration. Figure 9a,b curve Q e * and Q ˜ e * for c e = 1.1 c 0 and c e = 2 c 0 , respectively; Q e * is indicated by solid shapes and Q ˜ e * by hollow ones (here, we take K e = 1100 , c o { 200 , 300 , , 500 } ). In each figure, the black, gray, and red shapes refer to w c ¯ 1 , w c ¯ 2 , and w c ¯ 3 , respectively. Figure 9a shows that when c e = 1.1 c 0 , Q ˜ e * < Q e * . By contrast, when c e = 2 c 0 ,  Figure 9b shows that Q e * decreases, Q ˜ e * increases, and, hence, the difference Q e * Q ˜ e * decreases (and we even obtain Q ˜ e * > Q e * ; see the results for w c ¯ 3 ) . These changes are consistent with the discussion above.
Furthermore, increasing K e reduces the economic savings of the emergency supply. To increase the impact of K e , we assume ( c o , c e ) = ( 500 ,   1000 ) and a cost w c 1 where S * = 229 , s * = 13 .  Figure 10 depicts the total cost T C ˜ e ( K e ) for Q ˜ e = { 10 , 11 , , 25 } . We see that for a relatively low (high) K e , the cost T C ˜ e is increasing (decreasing) in Q ˜ e . The immediate implication of this is that increasing K e increases the optimal emergency order threshold Q ˜ e * . Figure 10 further shows that setting the optimal Q ˜ e * , the frontier efficiency curve of T C ˜ e ( K e ) exhibits economies of scale (i.e., a decreasing marginal cost; see the black curve highlighted with arrows in Figure 10).
Conclusions
(i
The total cost T C ˜ e = T C ˜ e ( S * , s * , Q ˜ e ) is convex in Q ˜ e , 0 < Q ˜ e S * (although we did not prove this, it has been observed in all our numerical results).
(ii
A convex warehouse cost function yields a higher optimal emergency order threshold Q ˜ e * . As a result, the regular order is smaller, which leads to cost savings. Comparing the results for c e = 1.1 c o and c e = 2 c o surprisingly shows that the latter yields a higher Q ˜ e * ; the higher thresholds S * and s * are probably responsible for this increase. Furthermore, Table 3a,b shows that increasing K e increases Q ˜ e * to obtain a full utilization of the emergency supply.
(iii
Comparing Tables Table 2 and Table 3a (both with K e = 1100 ) shows that in most cases Q ˜ e * < Q e * . This is reflected in the fact that under the ( ( s , S ) , ( 0 , Q ˜ e ) ) policy, the emergency supply is used as a secondary source while keeping the pending regular order. Hence, there is no need to place a large and costly emergency order.
(iv
As expected, increasing c e and K e decreases the benefit of the emergency order. We see that % Δ ˜ 1 e > 0 ; that is, replenishing the warehouse with an immediate and relatively small safety stock may yield significant cost savings (of up to 15%), in particular when c e and K e are low. By contrast, the decision whether to cancel the regular order is not straightforward. It is noteworthy that the higher the emergency cost ( c e ,   K e ) and the warehouse cost ( w c 3 ,   w c ¯ 3 ), the more economically profitable it is to cancel the regular order. The logic here is that if the expensive emergency order has already been placed, the regular order is not needed, and therefore it is canceled.

8. Concluding Remarks and Further Research

This paper studies a multi-component system, where each component has a random life span and is subject to failure. The system is supported by a warehouse with a limited capacity S. Two types of orders can be placed: a regular order and an emergency order. We study three emergency supply policies that differ from each other in size and in relation to the regular order. We start with Q e = S , and extend it to Q e S , where in both cases, the regular order is canceled when an emergency order is placed. The third policy assumes that the regular order is not canceled when the emergency order is placed. Numerical results show that the total cost is convex as a function of Q e and the optimal threshold Q e * < S , particularly when the warehouse cost is high. In this case, the benefit of ordering less than the maximum capacity is higher. Increasing the emergency cost and the warehouse cost increases the benefit of canceling the regular order and increases Q e * . Meaning that it is economically profitable to place fewer but larger emergency orders. When the emergency cost is relatively low, the emergency order may yield significant cost savings, but with a smaller order quantity and in addition to the regular order.
There are several avenues for future research. In this paper, we assume the ( s , S ) base-stock policy for the regular order. We believe that the tools used here can be applied to other base-stock inventory policies with emergency supply, such as the ( Q , r ) policy. Under the ( Q , r ) policy, when the stock level drops to r > 0 , there is a regular order of fixed size Q > r ; if during lead time the level drops to zero, an emergency order is placed up to level Q e . The assumption that r < Q implies that there is at most one regular order at any given point in time. Since the stock level is not known at the order arrival time, there are no natural renewal cycles at replenishment times. Thus, the analysis under the ( Q , r ) policy is more challenging but worthwhile [35]. We further note that the ( Q , r ) policy is well applied in practice; see [13,72]. Here, too, different policies with emergency orders that differ from each other in size and in relation to the regular order can be investigated.
Motivated by Songet al. [7], a second interesting and practical extension would be to assume a phase-type distributed lead time for the regular order (or a general distribution) rather than an exponential one. It is not unusual for an order to go through several sequential procedures, each of which takes a random (probably exponential) period of time; e.g., supplier selection, order confirmation, quality check, etc. The total time in the procedures can be represented by the phase-type distribution, since the phase distribution is constructed of different phases, each with an exponential distribution. In this case, the lead time may be longer and, thus, an emergency supply plays an even more dominant role in preventing system failure.
The third extension would be to assume a fixed or random lead time for the emergency supply. Real-world examples show that an emergency supply is sometimes also accompanied by some lead time, which, albeit shorter, is not negligible; see, e.g., [35]. Clearly, this significantly complicated the analysis since we assume two stochastic lead times, for the regular order and for the emergency one. We further note that studying the ( Q , r ) policy with random (but different) lead-time distributions is certainly a rich and challenging extension.

Author Contributions

Conceptualization, Y.B.; methodology, Y.B.; software, C.B.; validation, C.B.; formal analysis, Y.B.; investigation, Y.B. and C.B.; writing—original draft preparation, Y.B.; writing—review and editing, Y.B. and C.B.; supervision, Y.B. All authors have read and agreed to the published version of the manuscript.

Funding

This research received no external funding.

Data Availability Statement

The authors confirm that the data supporting the findings of this study are available within the article.

Conflicts of Interest

The authors declare no conflict of interest.

Appendix A

In Table A1, we summarize the most relevant literature studies concerning inventory and reliability models under the base-stock policy.
Table A1. Inventory and reliability models under the base-stock policy.
Table A1. Inventory and reliability models under the base-stock policy.
Mathematics 12 02730 i001—Maintenance     Mathematics 12 02730 i002—Inventory model      Mathematics 12 02730 i003—Reliability model     Mathematics 12 02730 i004—Emergency supply
Base-Stock Inventory/Reliability ModelsPaperDemand/Life SpanShortage PolicyRegular Order PolicyEmergency Order PolicyAdditional Features and Solution MethodOptimization Criterion
 Mathematics 12 02730 i001  Mathematics 12 02730 i002  Mathematics 12 02730 i003Keizer et al. (2017)PoissonSystem Shutdown(s, S, T)No emergency
  • Multi-system
Long run average
Fixed L.T.
  • Periodic review
  • MDP
 Mathematics 12 02730 i002  Mathematics 12 02730 i004Boucherie et al. (2018)PoissonBacklog(n, S)(S−1,S)
  • Approximation
Long run average
General L.T.Fixed L.T.
  • Multiple warehouses
 Mathematics 12 02730 i002  Mathematics 12 02730 i004Kouki et al. (2018)PoissonLost sales, Backorder(S−1, S)(Ŝ, S)
  • Regenerative theory
Long run average
Fixed L.TFixed L.T.
  • PDE
 Mathematics 12 02730 i002  Mathematics 12 02730 i004Rahimi-Ghahroodi et al. (2019)PoissonPartial backlog(S−1, S)(S−1, S)
  • Waiting time constraints
Long run average
Exp L.T.Zero L.T.
  • Dynamic algorithm
 Mathematics 12 02730 i002  Mathematics 12 02730 i004  Mathematics 12 02730 i003van Wingerden et al. (2019)PoissonSystem shutdown(S−1, S)Fixed
  • Multiple warehouses
Long run average
Fixed L.T.
  • Approximation
 Mathematics 12 02730 i002  Mathematics 12 02730 i004Poormoaied et al. (2020)PoissonBacklog(s, S, T)(u, s)
  • Periodic review
Long run average
Zero L.T.Zero L.T.
  • Explicit expressions
 Mathematics 12 02730 i002  Mathematics 12 02730 i004Barron (2022)Fluid + MAPLost sales(s, S)(0, Se)
  • Renewal theory
Discounted
Exp L.T.Zero L.T.
  • Martingale
 Mathematics 12 02730 i002  Mathematics 12 02730 i003Guo et al. (2022)GeneralSystem shutdown(T, s, S)No emergency
  • Dynamic nonlinear programming
Long run average
Fixed L.T.
  • Periodic review
 Mathematics 12 02730 i001  Mathematics 12 02730 i003  Mathematics 12 02730 i004He & Gao (2023)Bernoulli(p)System shutdownFixed timesFixed times
  • Single component
Long run average
Fixed L.T.Fixed L.T.
  • Imperfect maintenance
 Mathematics 12 02730 i001  Mathematics 12 02730 i002  Mathematics 12 02730 i004Basten & Houtum (2023)PoissonLimited Backlog(S−1, S)(S−1, S)
  • Multi-objective programming
Long run average
Exp L.T.Fixed L.T.
 Mathematics 12 02730 i002  Mathematics 12 02730 i004Boxma et al. (2023)Release rate functionLost sales(Qn, rn)(Qe, re)
  • Level crossing approach
Long run average
Exp L.T.Exp L.T.
  • Regenerative theory
 Mathematics 12 02730 i001  Mathematics 12 02730 i002  Mathematics 12 02730 i003  Mathematics 12 02730 i004This studyPhase-typeNo shortage(s, S)3 policies of (0,Qe)-type
  • Limited warehouse capacity
Discounted
Exp L.T.
  • Multi-component

References

  1. Turrini, L.; Meissner, J. Spare parts inventory management: New evidence from distribution fitting. Eur. J. Oper. Res. 2019, 273, 118–130. [Google Scholar] [CrossRef]
  2. Howard, C.; Marklund, J.; Tan, T.; Reijnen, I. Inventory control in a spare parts distribution system with emergency stocks and pipeline information. Manuf. Serv. Oper. Manag. 2015, 17, 142–156. [Google Scholar] [CrossRef]
  3. Boulaksil, Y.; Hamdouch, Y.; Ghoudi, K.; Fransoo, J.C. Comparing policies for the stochastic multi-period dual sourcing problem from a supply chain perspective. Int. J. Prod. Econ. 2020, 232, 107923. [Google Scholar] [CrossRef]
  4. Peng, L.; Wang, L.; Wang, S. A review of the joint replenishment problem from 2006 to 2022. Manag. Syst. Eng. 2022, 1, 9. [Google Scholar] [CrossRef]
  5. Poormoaied, S.; Atan, Z.; de Kok, T.; Van Woensel, T. Optimal inventory and timing decisions for emergency shipments. IIE Trans. 2020, 52, 904–925. [Google Scholar] [CrossRef]
  6. Selçuk, B. An adaptive base stock policy for repairable item inventory control. Int. Prod. Econ. 2013, 143, 304–315. [Google Scholar] [CrossRef]
  7. Song, J.S.; Xiao, L.; Zhang, H.; Zipkin, P. Optimal policies for a dual-sourcing inventory problem with endogenous stochastic lead times. Oper. Res. 2017, 65, 379–395. [Google Scholar] [CrossRef]
  8. Zipkin, P. Old and new methods for lost-sales inventory systems. Oper. Res. 2008, 56, 1256–1263. [Google Scholar] [CrossRef]
  9. Nahmias, S. Perishable Inventory Systems; Springer Science & Business Media: Berlin/Heidelberg, Germany, 2011; Volume 60. [Google Scholar]
  10. Scala, N.M.; Rajgopal, J.; Needy, K.L. A base stock inventory management system for intermittent spare parts. Mil. Oper. Res. 2013, 18, 63–77. [Google Scholar] [CrossRef]
  11. Dendauw, P.; Goeman, T.; Claeys, D.; De Turck, K.; Fiems, D.; Bruneel, H. Condition-based critical level policy for spare parts inventory management. Comput. Ind. 2021, 157, 107369. [Google Scholar] [CrossRef]
  12. Karaesmen, I.Z.; Scheller-Wolf, A.; Deniz, B. Managing perishable and aging inventories: Review and future research directions. In Planning Production and Inventories in the Extended Enterprise; Springer: Boston, MA, USA, 2011; pp. 393–436. [Google Scholar]
  13. Kouki, C.; Jemaï, Z.; Minner, S. A lost sales (r,Q) inventory control model for perishables with fixed lifetime and lead time. Int. J. Prod. Econ. 2015, 168, 143–157. [Google Scholar] [CrossRef]
  14. Sahin, M.; Eldemir, F. Application of (Q,R) policy for non-smooth demand in the aviation industry. In Industrial Engineering in the Industry; Caisir, F., Akdag, H.C., Eds.; Springer: New York, NY, USA, 2018; pp. 159–171. [Google Scholar]
  15. Tang, S.; Wang, W.; Cho, S.; Yan, H. Reducing emissions in transportation and inventory management: (R,Q) Policy with considerations of carbon reduction. Eur. J. Oper. Res. 2017, 269, 327–340. [Google Scholar] [CrossRef]
  16. Xu, G.; Song, Z.; Piao, S. Analysis research on the lateral replenishment strategy of the chain supermarket fresh agricultural products. J. Serv. Sci. Manag. 2015, 8, 619–630. [Google Scholar] [CrossRef][Green Version]
  17. Tovia, F.; Whitt, B. Implementing a dynamic Inventory model in a perishable frozen warehouse. In Proceedings of the 2010 Industrial Engineering Research Conference; Johnson, A., Miller, J., Eds.; IEEE Computer Society: Washington, DC, USA, 2010. [Google Scholar]
  18. Mallidis, I.; Iakovou, E.; Dekker, R.; Vlachos, D. The impact of slow steaming on the carriers’ and shippers’ costs: The case of a global logistics network. Transp. Part E Logist. Transp. Rev. 2018, 111, 18–39. [Google Scholar] [CrossRef]
  19. Neuts, M.F. Matrix-Geometric Solutions in Stochastic Models: An Algorithmic Approach; Johns Hopkins University Press: Baltimore, MD, USA, 1981. [Google Scholar]
  20. Neuts, M.F.; Takahashi, Y. Asymptotic behavior of the stationary distributions in the GI/PH/c queue with heterogenous servers. Z. Wahrscheinlichkeitstheorie Verw Geb. 1981, 57, 441–452. [Google Scholar] [CrossRef]
  21. Asmussen, S. Matrix-analytic models and their analysis. Scand. J. Stat. 2000, 27, 193–226. [Google Scholar] [CrossRef]
  22. Ruiz-Castro, J.E. Complex multi-state systems modelled through marked Markovian arrival processes. Eur. J. Oper. Res. 2016, 252, 852–865. [Google Scholar] [CrossRef]
  23. Barron, Y. The continuous (SsSe) inventory model with dual sourcing and emergency orders. Eur. J. Oper. Res. 2022, 301, 18–38. [Google Scholar] [CrossRef]
  24. Moinzadeh, K.; Schmidt, C.P. An (S-1,S) inventory system with emergency orders. Oper. Res. 1991, 39, 308–321. [Google Scholar] [CrossRef]
  25. Dohi, T.; Kaio, N.; Osaki, S. Continuous review cyclic inventory models with emergency order. J. Oper. Res. Soc. Japan. 1995, 38, 212–229. [Google Scholar] [CrossRef]
  26. Giri, B.C.; Dohi, T. Cost-effective ordering policies for inventory systems with emergency order. Comput. Ind. Eng. 2009, 57, 1336–1341. [Google Scholar] [CrossRef]
  27. Song, J.S.; Zipkin, P. Inventories with multiple supply sources and networks of queues with overflow bypasses. Manag. Sci. 2009, 55, 362–372. [Google Scholar] [CrossRef]
  28. Allon, G.; Van Mieghem, J.A. Global dual sourcing: Tailored base-surge allocation to near- and offshore production. Manag. Sci. 2010, 56, 110–124. [Google Scholar] [CrossRef]
  29. Barron, Y.; Hermel, D. Shortage decision policies for a fluid production model with MAP Arrivals. Int. J. Prod. Res. 2017, 55, 3946–3969. [Google Scholar] [CrossRef]
  30. Kouki, C.; Babai, M.Z.; Minner, S. On the benefit of dual-sorcing in managing perishable inventory. Int. J. Prod. Econ. 2018, 204, 1–17. [Google Scholar] [CrossRef]
  31. Axsäter, S. An improved decision rule for emergency replenishments. Int. J. Prod. Econ. 2014, 157, 313–317. [Google Scholar] [CrossRef]
  32. Huang, S.; Axsäter, S.; Dou, Y.; Chen, J. A real-time decision rule for an inventory system with committed service time and emergency orders. Eur. J. Oper. 2011, 215, 70–79. [Google Scholar] [CrossRef]
  33. Barron, Y. Group maintenance policies for an R-out-of-N system with phase-type distribution. Ann. Oper. Res. 2018, 261, 79–105. [Google Scholar] [CrossRef]
  34. Haughton, M.; Isotupa, K.S. A continuous review inventory system with lost sales and emergency orders. Am. J. Oper. Res. 2018, 8, 343–359. [Google Scholar] [CrossRef][Green Version]
  35. Boxma, O.; Perry, D.; Stadje, W. Stationary analysis of an (R,Q) inventory model with normal and emergency orders. J. Appl. Probab. 2023, 60, 106–126. [Google Scholar] [CrossRef]
  36. Svoboda, J.; Minner, S.; Yao, M. Typology and literature review on multiple supplier inventory control models. Eur. J. Oper. Res. 2021, 293, 1–23. [Google Scholar] [CrossRef]
  37. Guajardo, M.; Rönnqvist, M.; Halvorsen, A.M.; Kallevik, S.I. Inventory management of spare parts in an energy company. J. Oper. Res. Soc. 2015, 66, 331–341. [Google Scholar] [CrossRef]
  38. Guo, Y.; Shi, Q.; Guo, C. Multi-period spare parts supply chain network optimization under (T,s,S) inventory control policy with improved dynamic particle swarm optimization. Electronics 2022, 11, 3454. [Google Scholar] [CrossRef]
  39. Wang, L.; Chu, J.; Mao, W. An optimum condition-based replacement and spare provisioning policy based on Markov chains. J. Qual. Maint. Eng. 2008, 14, 387–401. [Google Scholar] [CrossRef]
  40. Xie, J.; Wang, H. Joint optimization of condition-based preventive maintenance and spare ordering policy. In Proceedings of the 4th International Conference on Wireless Communications, Networking and Mobile Computing, Dalian, China, 12–17 October 2008; pp. 1–5. [Google Scholar]
  41. Wang, L.; Chu, J.; Mao, W. A condition-based replacement and spare provisioning policy for deteriorating systems with uncertain deterioration to failure. Eur. J. Oper. Res. 2009, 194, 184–205. [Google Scholar] [CrossRef]
  42. Keizer, M.C.O.; Teunter, R.H.; Veldman, J. Joint condition-based maintenance and inventory optimization for systems with multiple components. Eur. J. Oper. 2017, 257, 209–222. [Google Scholar] [CrossRef]
  43. Bacchetti, A.; Plebani, R.; Saccani, N.; Syntetos, A. Spare Parts Classification and Inventory Management: A Case Study; Working Paper, 408; Salford Business School: Salford, UK, 2010. [Google Scholar]
  44. Mo, D.Y.; Tseng, M.M.; Wang, Y. Mass customizing spare parts support services based on response time with inventory pooling strategies. IEEE Trans. Eng. Manag. 2016, 63, 305–315. [Google Scholar] [CrossRef]
  45. Teixeira, C.; Lopes, I.; Figueiredo, M. Classification methodology for spare parts management combining maintenance and logistics perspectives. J. Manag. 2018, 5, 116–135. [Google Scholar] [CrossRef]
  46. Johansson, L.; Olsson, F. Age-based inventory control in a multi-echelon system with emergency replenishments. Eur. J. Oper. Res. 2018, 265, 951–961. [Google Scholar] [CrossRef]
  47. Boucherie, R.J.; van Houtum, G.J.; Timmer, J.; van Ommeren, J.K. A two-echelon spare parts network with lateral and emergency shipments: A product-form approximation. Probab. Eng. Inf. Sci. 2018, 32, 536–555. [Google Scholar] [CrossRef]
  48. van Wingerden, E.; Tan, T.; Van Houtum, G.J. The impact of an emergency warehouse in a two-echelon spare parts network. Eur. J. Oper. Res. 2019, 276, 983–997. [Google Scholar] [CrossRef]
  49. He, Y.; Gao, Z. Joint optimization of preventive maintenance and spare parts ordering considering imperfect detection. Systems 2023, 11, 445. [Google Scholar] [CrossRef]
  50. Marchi, B.; Zanoni, S.; Jaber, M.Y. Energy implications of lot sizing decisions in refrigerated warehouses. Energies 2020, 13, 1739. [Google Scholar] [CrossRef]
  51. Çelik, M.; Archetti, C.; Süral, H. Inventory routing in a warehouse: The storage replenishment routing problem. Eur. J. Oper. Res. 2022, 301, 1117–1132. [Google Scholar] [CrossRef]
  52. Cardona, L.F.; Rivera-Cadavid, L. Including Operational Costs in Warehouse Location Problems: A Case Study in USA; Universidad de Antioquia: Medellín, Colombia, 2022. [Google Scholar]
  53. Barron, Y. Shortage Policies for a Jump Process with Positive and Negative Batch Arrivals in a Random Environment. Mathematics 2024, 12, 1341. [Google Scholar] [CrossRef]
  54. Bounou, O.; El Barkany, A.; El Biyaali, A. Inventory models for spare parts management: A review. Int. J. Eng. Res. Afr. 2017, 28, 182–198. [Google Scholar] [CrossRef]
  55. Yavuz, A. Spare Part Classification and Inventory Control Improvement for Case Company. Master’s Thesis, Lahti University of Technology LUT, Lahti, Finland, 2023. [Google Scholar]
  56. Rahimi-Ghahroodi, S.; Al Hanbali, A.; Zijm, W.H.; Timmer, J.B. Emergency supply contracts for a service provider with limited local resources. Reliab. Eng. Syst. Saf. 2019, 189, 445–460. [Google Scholar] [CrossRef]
  57. Mor, R.S.; Bhardwaj, A.; Kharka, V.; Kharub, M. Spare parts inventory management In the warehouse: A lean approach. Int. J. Ind. Eng. 2021, 32, 1–11. [Google Scholar]
  58. Basten, R.; van Houtum, G.J. Spare parts inventory planning. In Research Handbook on Inventory Management; Edward Elgar Publishing: Northampton, MA, USA, 2023; pp. 455–475. [Google Scholar]
  59. Oshan, T.; Caron, R.J. Optimal warehouse location and size under risk of failure. Int. Syst. Sci. Oper. Logist. 2023, 10, 2208276. [Google Scholar] [CrossRef]
  60. Peng, L.; Liu, Y.; Zou, Z.; Zhang, L. Effects of supply reliability, risk Aversion, and wealth on retailer’s optimal order strategy. Math. Probl. Eng. 2022, 2022, 1–14. [Google Scholar] [CrossRef]
  61. Chang, C.C. Optimal age replacement scheduling for a random work system with random lead time. Int. J. Prod. Res. 2018, 56, 5511–5521. [Google Scholar] [CrossRef]
  62. Zhang, S.; Huang, K.; Yuan, Y. Spare parts inventory management: A literature review. Sustainability 2021, 13, 2460. [Google Scholar] [CrossRef]
  63. Scarf, P.; Syntetos, A.; Teunter, R. Joint maintenance and spare-parts inventory models: A review and discussion of practical stock-keeping rules. IMA J. Manag. 2024, 35, 83–109. [Google Scholar] [CrossRef]
  64. Barron, Y.; Frostig, E.; Levikson, B. Analysis of R-out-of-N systems with several repairmen, exponential life times and phase type repair times: An algorithmic approach. Eur. J. Oper. Res. 2006, 169, 202–225. [Google Scholar] [CrossRef]
  65. Latouche, G.; Ramaswami, V. Introduction to Matrix Analytic Methods in Stochastic Modeling; Society for Industrial and Applied Mathematics: Philadelphia, PA, USA, 1999. [Google Scholar]
  66. Goh, M.; Jihong, O.; Chung-Piaw, T. Warehouse sizing to minimize inventory and storage costs. Nav. Res. Logist. 2001, 48, 299–312. [Google Scholar] [CrossRef]
  67. Chan, L.M.A.; Muriel, A.; Shen, Z.J.M.; Simchi-Levi, D.; Teo, C.P. Effective zero-inventory-ordering policies for the single-warehouse multiretailer problem with piecewise linear cost structures. Manag. Sci. 2002, 48, 1446–1460. [Google Scholar] [CrossRef]
  68. Torres Cárdenas, F.A.; Díaz Bohórquez, C.E. Dual channel warehouse sizing under a piecewise linear warehousing cost structure. In Smart and Sustainable Supply Chain and Logistics–Trends, Challenges, Methods and Best Practices; Springer: Switzerland, AG, USA, 2020; Volume 1, pp. 347–361. [Google Scholar]
  69. Yao, M.J.; Huang, J.Y. Optimal lot-sizing and joint replenishment strategy under a piecewise linear warehousing cost structure. J. Intell. Manuf. 2017, 28, 791–803. [Google Scholar] [CrossRef]
  70. Di, S.; Xiang, Y.; Zhao, P. The asymptotic behavior of the optimal cash holding strategy under a class of utility functions. Bull. Iran Math. Soc. 2022, 48, 849–884. [Google Scholar] [CrossRef]
  71. Harel, A.; Francis, J.C.; Harpaz, G. Alternative utility functions: Review, analysis and comparison. Rev. Quant. Finan. Acc. 2018, 51, 785–811. [Google Scholar] [CrossRef]
  72. Karaman, A.S. Approximate evaluation of continuous review (R,Q) policies in two-echelon inventory systems with stochastic transportation times. Kybernetika 2017, 53, 461–479. [Google Scholar]
Figure 1. A typical sample path of I ( t ) under the ( ( s , S ) , ( 0 , S ) ) policy.
Figure 1. A typical sample path of I ( t ) under the ( ( s , S ) , ( 0 , S ) ) policy.
Mathematics 12 02730 g001
Figure 2. (a) The warehouse costs w c 1 ( S ) , w c ̲ 1 ( S ) . (b) The warehouse costs w c 2 ( S ) , w c ̲ 2 ( S ) . (c) The warehouse costs w c 3 ( S ) , w c ̲ 3 ( S ) .
Figure 2. (a) The warehouse costs w c 1 ( S ) , w c ̲ 1 ( S ) . (b) The warehouse costs w c 2 ( S ) , w c ̲ 2 ( S ) . (c) The warehouse costs w c 3 ( S ) , w c ̲ 3 ( S ) .
Mathematics 12 02730 g002
Figure 3. (a) T C ( s , S ) for the warehouse costs w c ̲ 3 . (b) T C ( s , S ) for the warehouse costs w c 1 . (c) T C ( s , S ) for the warehouse costs w c 3 .
Figure 3. (a) T C ( s , S ) for the warehouse costs w c ̲ 3 . (b) T C ( s , S ) for the warehouse costs w c 1 . (c) T C ( s , S ) for the warehouse costs w c 3 .
Mathematics 12 02730 g003
Figure 4. A typical sample path of I e ( t ) under the ( ( s , S ) , ( 0 , Q e policy).
Figure 4. A typical sample path of I e ( t ) under the ( ( s , S ) , ( 0 , Q e policy).
Mathematics 12 02730 g004
Figure 5. The total cost T C e ( S e = 49 , s e , Q e ).
Figure 5. The total cost T C e ( S e = 49 , s e , Q e ).
Mathematics 12 02730 g005
Figure 6. % Δ ( a ) as a function of c o , c o , and w c i ̲ , i = 1 , 2 , 3 .
Figure 6. % Δ ( a ) as a function of c o , c o , and w c i ̲ , i = 1 , 2 , 3 .
Mathematics 12 02730 g006
Figure 7. % Δ ( b ) as a function of c o , c o , and w c i ̲ , i = 1 , 2 , 3 .
Figure 7. % Δ ( b ) as a function of c o , c o , and w c i ̲ , i = 1 , 2 , 3 .
Mathematics 12 02730 g007
Figure 8. A typical sample path of I ˜ e ( t ) under the ( ( s , S ) , ( 0 , Q ˜ e ) ) policy.
Figure 8. A typical sample path of I ˜ e ( t ) under the ( ( s , S ) , ( 0 , Q ˜ e ) ) policy.
Mathematics 12 02730 g008
Figure 9. (a) Q e * and Q ˜ e * when c e = 1.1 c o . (b) Q e * and Q ˜ e * when c e = 2 c o .
Figure 9. (a) Q e * and Q ˜ e * when c e = 1.1 c o . (b) Q e * and Q ˜ e * when c e = 2 c o .
Mathematics 12 02730 g009
Figure 10. The total cost T C ˜ e ( K e ) for Q ˜ e = { 10 , , 25 } .
Figure 10. The total cost T C ˜ e ( K e ) for Q ˜ e = { 10 , , 25 } .
Mathematics 12 02730 g010
Table 1. S * , s * , and T C * ( c o , c e ) and w c i , w c ̲ i , i = 1 , 2 , 3 for c e = 1.1 c o (top sub-table), and c e = 2 c o (bottom sub-table).
Table 1. S * , s * , and T C * ( c o , c e ) and w c i , w c ̲ i , i = 1 , 2 , 3 for c e = 1.1 c o (top sub-table), and c e = 2 c o (bottom sub-table).
 (S*, s*)
TC*
Concave Cost Function Linear Cost Function Convex Cost Function
(co, ce) w c ̲ 1 = 1000 · S0.5 w c 1
= 500 + 100 · S 0 S < 50 5500 + 40 · S 50 S < 100 8500 + 20 · S 100 S
w c ̲ 2 = 135  · S w c 2
= 120 · S             0 S < 50 1000 + 120 · S 50 S < 100 2000 + 120 · S 100 S
w c ̲ 3 = 50 · S1.25 w c 3
= 500 + 100 · S 0 S < 50 1000 + 125 · S 50 S < 100 1500 + 160 · S 100 S
ce = 1.1 · co(200, 220)(126, 2)(176, 2) (45, 2)(49, 2) (28, 2)(49, 2)
25,06024,295 27,09226,000 26,26525,278
(300, 330)(149, 3)(193, 3) (63, 2)(49, 3) (39, 2)(49, 3)
25,82624,657 29,58528,650 29,44427,925
(400, 440)(167, 3)(208, 3) (80, 3)(90, 3) (53, 3)(49, 3)
26,37924,934 31,57131,248 32,18230,656
(500, 550)(181, 3)(218, 3) (93, 3)(99, 3) (66, 3)(49, 3)
26,80625,158 33,18632,670 34,50433,205
ce = 2 · co(200, 400)(139, 11)(185, 9) (59, 10)(49, 9) (39, 8)(49, 9)
25,48824,501 28,71527,662 28,48826,903
(300, 600)(167, 12)(207, 12) (82, 11)(92, 11) (55, 11)(49, 11)
26,23824,860 31,21030,915 31,78130,056
(400, 800)(180, 13)(217, 12) (94, 12)(98, 12) (66, 12)(98, 12)
26,77025,138 33,14032,615 34,51833,182
(500, 1000)(194, 13)(229, 13) (106, 13)(99, 13) (78, 12)(99, 13)
27,18425,362 34,72734,214 36,83534,786
Table 2. (a) The optimal thresholds for Cases ( a ) and ( b ) (marked in red and blue, respectively) when c e = 1.1 c o . (b) The optimal thresholds for Cases ( a ) and ( b ) (marked in red and blue, respectively) when c e = 2 c o .
Table 2. (a) The optimal thresholds for Cases ( a ) and ( b ) (marked in red and blue, respectively) when c e = 1.1 c o . (b) The optimal thresholds for Cases ( a ) and ( b ) (marked in red and blue, respectively) when c e = 2 c o .
(a)
 
(S*, s*, Qe*)
TC e*(a) (% Δ (a))
(S*, se*, Qe*)
TC e*(b) (% Δ (b))
Concave Cost Function Linear Cost Function Convex Cost Function
(co, ce) w c ̲ 1 = 1000  · S0.5 w c 1 = 500 + 100 · S 0 S < 50 5500 + 40 · S 50 S < 100 8500 + 20 · S 100 S w c ̲ 2 = 135 · S w c 2 = 120 · S 0 S < 50           1000 + 120 · S 50 S < 100 2000 + 120 · S 100 S w c ̲ 3 = 50  · S 1.25 w c 3 = 500 + 100 · S 0 S < 50 1000 + 125 · S 50 S < 100 1500 + 160 · S 100 S
ce = 1.1 · co(200, 220)(126, 2, 34)(176, 2, 39) (45, 2, 18)(49, 2, 19) (28, 2, 15)(49, 2, 20)
24,413 (2.58%)23,935 (1.48%) 25,584 (5.56%)24,599 (5.38%) 24907 (5.45%)24,029 (4.94%)
(126, 2, 34)(176, 2, 39) (45, 2, 18)(49, 2, 19) (28, 2, 15)(49, 2, 20)
24,413 (2.58%)23,935 (1.48%) 25,584 (5.56%)24,599 (5.38%) 24,907 (5.45%)24,029 (4.94%)
(300, 330)(149, 3, 41)(193, 3, 45) (63, 2, 20)(49, 3, 19) (39, 2, 15)(49, 3, 19)
25,246 (2.24%)24,328 (1.33%) 27,692 (6.39%)27,192 (5.08%) 27,487 (6.64%)26,596 (4.75%)
(149, 2, 37)(193, 2, 41) (63, 2, 20)(49, 2, 17) (39, 2, 15)(49, 2, 18)
25,122 (2.72%)24,262 (1.60%) 27,692 (6.39%)26,827 (6.36%) 27,487 (6.64%)26,263 (5.95%)
(400, 440)(167, 3, 43)(208, 3, 47) (80, 3, 25)(90, 3, 28) (53, 3, 19)(49, 3, 18)
25,778 (2.27%)24,594 (1.36%) 29,832 (5.50%)29,603 (5.26%) 30,156 (6.29%)28,884 (5.78%)
(167, 2, 40)(208, 2, 43) (80, 2, 23)(90, 2, 26) (53, 2, 17)(49, 2, 17)
25,655 (2.74%)24,527 (1.63%) 29,430 (6.78%)29,235 (6.44%) 29,682 (7.76%)28,483 (7.08%)
(500, 550)(181, 3, 46)(218, 3, 49) (93, 3, 28)(99, 3, 30) (66, 3, 21)(49, 3, 17)
26,193 (2.28%)24,798 (1.43%) 31,289 (5.71%)30,848 (5.57%) 32,152 (6.81%)31,166 (6.14%)
(181, 2, 42)(218, 2, 45) (93, 2, 26)(99, 2, 27) (66, 2, 20)(49, 2, 16)
26,071 (2.74%)24,728 (1.70%) 30,867 (6.98%)30,451 (6.79%) 31,618 (8.36%)30,696 (7.55%)
(b)
(S*, s*,Qe*)
TC e*(a) (% Δ (a))

(S*, se*, Qe*)
TCe*(b) (%Δ(b))
Concave Cost Function Linear Cost Function Convex Cost Function
(co, ce) w c ̲ 1 = 1000  · S0.5 w c 1 = 500 + 100 · S 0 S < 50 5500 + 40 · S 50 S < 100 8500 + 20 · S 100 S w c ̲ 2 = 135 ·  S w c 2 = 120 · S 0 S < 50           1000 + 120 · S 50 S < 100 2000 + 120 · S 100 S w c ̲ 3 = 50 · S1.25 w c 3 = 500 + 100 · S 0 S < 50 1000 + 125 · S 50 S < 100 1500 + 160 · S 100 S
ce = 2 · co(200, 400)(139, 11, 32)(185, 9, 37) (59, 10, 12)(49, 9, 10) (39, 8, 10)(49, 9, 11)
25,217 (1.06%)24,298 (0.82%) 27,892 (2.86%)26,650 (3.65%) 27,198 (4.52%)25,947 (3.55%)
(139, 2, 22)(185, 2, 27) (59, 2, 10)(49, 2, 8) (39, 2, 7)(49, 2, 8)
24,802 (2.69%)24,099 (1.66%) 26,910 (6.28%)25,962 (6.14%) 26,610 (6.59%)25,422 (5.50%)
(300, 600)(167, 12, 37)(207, 12, 43) (82, 11, 16)(92, 11, 20) (55, 11, 12)(49, 11, 12)
25,997 (0.91%)24,723 (0.55%) 30,342 (2.78%)30,127 (2.54%) 30,637 (3.59%)28,957 (3.65%)
(167, 2, 24)(207, 2, 29) (82, 2, 12)(92, 2, 14) (55, 2, 7)(49, 2, 4)
25,563 (2.57%)24,468 (1.57%) 29,175 (6.52%)29,030 (6.09%) 29,331 (7.70%)28,037 (6.71%)
(400, 800)(180, 13, 40)(217, 12, 44) (94, 12, 19)(98, 12, 20) (66, 12, 14)(98, 12, 21)
26,539 (0.86%)24,984 (0.61%) 32,269 (2.62%)31,780 (2.56%) 33,321 (3.46%)32,344 (2.52%)
(180, 2, 25)(217, 2, 29) (94, 2, 12)(98, 2, 13) (66, 2, 7)(98, 2, 14)
26,040 (2.72%)24,705 (1.72%) 30,880 (6.81%)30,443 (6.65%) 31,649 (8.31%)30,992 (6.59%)
(500, 1000)(194, 13, 42)(229, 13, 47) (106, 13, 22)(99, 13, 21) (78, 12, 14)(99, 13, 21)
26,950 (0.86%)25,226 (0.53%) 33,916 (2.33%)33,331 (2.58%) 35,509 (3.59%)33,902 (2.54%)
(194, 2, 26)(229, 2, 30) (106, 2, 14)(99, 2, 12) (78, 2, 8)(99, 2, 13)
26,449 (2.70%)24,922 (1.73%) 32,322 (6.92%)31,683(7.39%) 33,678 (8.57%)32,239 (7.32%)
Table 3. (a) The thresholds ( S * , s * , Q ˜ e * ) and T C ˜ e * for K e = 1100 . (b) The thresholds ( S * , s * , Q ˜ e * ) and T C ˜ e * for K e = 3500 .
Table 3. (a) The thresholds ( S * , s * , Q ˜ e * ) and T C ˜ e * for K e = 1100 . (b) The thresholds ( S * , s * , Q ˜ e * ) and T C ˜ e * for K e = 3500 .
(a)
 
(S*, s*, Q ˜ e*)
T C ˜  e*, % Δ ˜ e(2)
% Δ ˜ e(1)
Concave Cost Function Linear Cost Function Convex Cost Function
w c ̲ 1 = 1000  · S0.5 w c 1 = 500 + 100 · S 0 S < 50 5500 + 40 · S 50 S < 100 8500 + 20 · S 100 S w c ̲ 2 = 135  · S w c 2 = 120 · S 0 S < 50 1000 + 120 · S 50 S < 100 2000 + 120 · S 100 S w c ̲ 3 = 50  · S1.25 w c 3 = 500 + 100 · S 0 S < 50 1000 + 125 · S 50 S < 100 1500 + 160 · S 100 S
ce = 1.1co
Ke = 1100(200, 220)(126, 2, 1)(176, 2, 1) (45, 2, 3)(49, 2, 3) (28, 2, 3)(49, 2, 3)
24,083, 1.4%23,828, 0.4% 24,713, 3.4%23,722, 3.6% 23,963, 3.8%23,029, 4.16%
3.9%1.90% 8.78%8.76% 8.76%8.90%
(300, 330)(149, 3, 1)(193, 3, 1) (63, 2, 2)(49, 3, 2) (39, 2, 2)(49, 3, 2)
24,911, 1.3%24,195, 0.5% 26,351, 4.8%25,795, 5.1% 25,741, 6.4%25,095, 5.64%
3.5%1.87% 10.93%9.97% 12.6%10.13%
(400, 440)(167, 3, 1)(208, 3, 1) (80, 3, 1)(90, 3, 1) (53, 3, 2)(49, 3, 2)
25,435, 1.3%24,446, 0.6% 28,498, 4.5%28,490, 3.8% 28,295, 6.2%26,657, 7.7%
3.58%1.96% 9.73%8.80% 12.08%13.04%
(500, 550)(181, 3, 1)(218, 3, 1) (93, 3, 1)(99, 3, 1) (66, 3, 1)(49, 3, 2)
25,851, 1.3%24,638, 0.6% 29,796, 4.8%29,515, 4.3% 30,010, 6.7%28,218, 9.46%
3.56%2% 10.22%9.66% 13.08%15.02%
ce = 2co
(200, 400)(139, 11, 5)(185, 9, 3) (59, 10, 12)(49, 9, 10) (39, 8, 9)(49, 9, 10)
25, 188, 0.1%24,265, 0.1% 27,982, −0.3%26,766, −0.4% 27,420, −0.8%26,020, −0.28%
1.18%0.96% 2.55%3.24% 3.75%3.28%
(300, 600)(167, 12, 4)(207, 12, 3) (82, 11, 7)(92, 11, 6) (55, 11, 16)(49, 11, 17)
25,976, 0.1%24,713, 0% 30,404,−0.2%30,157, −0.1% 30,923, −0.9%29,250, −1%
1%0.60% 2.58%2.45% 2.7%2.68%
(400, 800)(180, 13, 4)(217, 12, 3) (94, 12, 7)(98, 12, 6) (66, 12, 18)(98, 12, 6)
26,528, 0%24,966, 0.1% 32,349, −0.2%31,846, −0.2% 33,599, −0.8%32,411, −0.21%
0.90%0.70% 2.4%2.36% 2.66%2.32%
(500, 1000)(194, 13, 3)(229, 13, 3) (106, 13, 7)(99, 13, 10) (78, 12, 12)(99, 13, 10)
26,931, 0.1%25,214, 0% 34,014, −0.3%33,465, −0.4% 35,753, −0.7%34,036, −0.4%
0.93%0.60% 2%2.20% 2.94%2.16%
(b)
(S*, s*Qe*)
TC e*(a) (% Δ (a))
(S*, se*, Qe*)
TC e*(b) (% Δ (b))
Concave Cost Function Linear Cost Function Convex Cost Function
w c ̲ 1 = 1000  · S0.5 w c 1 = 500 + 100 · S 0 S < 50 5500 + 40 · S 50 S < 100 8500 + 20 · S 100 S w c ̲ 2 = 135  · S w c 2 = 120 · S 0 S < 50 1000 + 120 · S 50 S < 100 2000 + 120 · S 100 S w c ̲ 3 = 50  · S1.25 w c 3 = 500 + 100 · S 0 S < 50 1000 + 125 · S 50 S < 100 1500 + 160 · S 100 S
Ke = 3500ce = 1.1co
(200, 220)(126, 2, 3)(176, 2, 3) (45, 2, 6)(49, 2, 6) (28, 2, 9)(49, 2, 6)
24,429, −0.07%23,960, −0.1% 26,630, −4.09%25,461, −3.5% 26,928, −8.11%24,769, −3.08%
2.52%1.38% 1.70%2.07% −2.52%2%
(300, 330)(149, 3, 3)(193, 3, 2) (63, 2, 4)(49, 3, 5) (39, 2, 5)(49, 3, 5)
25,154, 0.36%24,294, 0.14% 27,843, −0.55%27,624, −1.6% 28,363, −3.19%26,924, −1.23%
2.60%1.47% 5.89%3.58% 3.67%3.58%
(400, 440)(167, 3, 2)(208, 3, 2) (80, 3, 3)(90, 3, 3) (53, 3, 4)(49, 3, 4)
25,620, 0.6%24,528, 0.27% 29,541, 0.98%29,348, 0.86% 30,181, −0.08%28,729, 0.54%
2.88%1.63% 6.43%6.08% 6.22%6.30%
(500, 550)(181, 3, 2)(218, 3, 1) (93, 3, 2)(99, 3, 2) (66, 3, 3)(49, 3, 4)
26,003, 0.73%24,710, 0.35% 30,704, 1.87%30,313, 1.73% 31,548, 1.88%30,481, 2.2%
3%1.78% 7.48%7.21% 8.57%8.20%
ce = 2co
(200, 400)(139, 11, 13)(185, 9, 6) (59, 10, 19)(49, 9, 18) (39, 8, 17)(49, 9, 18)
25,260, −0.17%24,315, −0.07% 28,254, −1.3%27,209, −2.1% 28,145, −3.48%26,462, −1.98%
0.89%0.76% 1.61%1.64% 1.20%1.64%
(300, 600)(167, 12, 9)(207, 12, 7) (82, 11, 18)(92, 11, 16) (55, 11, 20)(49, 11, 21)
26,028, −0.12%24,740, −0.07% 30,575, −0.77%30,320, −0.64% 31,180, −1.77%29,555, −2.07%
0.80%0.48% 2.03%1.92% 1.89%1.67%
(400, 800)(180, 13, 8)(217, 12, 5) (94, 12, 18)(98, 12, 18) (66, 12, 21)(98, 12, 18)
26,570, −0.12%24,994, −0.04% 32,468, −0.62%31,968, −0.6% 33,760, −1.32%32,532, −0.58%
0.75%0.57% 2.03%1.98% 2.20%1.96%
(500, 1000)(194, 13, 6)(229, 13, 5) (106, 13, 20)(99, 13, 20) (78, 12, 19)(99, 13, 20)
26,971, −0.08%25,235, −0.04% 34,087, −0.5%33,531, −0.6% 35,884, −1.06%34,101, −0.59%
0.78%0.50% 1.84%2% 2.58%1.97%
Disclaimer/Publisher’s Note: The statements, opinions and data contained in all publications are solely those of the individual author(s) and contributor(s) and not of MDPI and/or the editor(s). MDPI and/or the editor(s) disclaim responsibility for any injury to people or property resulting from any ideas, methods, instructions or products referred to in the content.

Share and Cite

MDPI and ACS Style

Barron, Y.; Benshimol, C. Emergency Supply Alternatives for a Storage Facility of a Repairable Multi-Component System. Mathematics 2024, 12, 2730. https://doi.org/10.3390/math12172730

AMA Style

Barron Y, Benshimol C. Emergency Supply Alternatives for a Storage Facility of a Repairable Multi-Component System. Mathematics. 2024; 12(17):2730. https://doi.org/10.3390/math12172730

Chicago/Turabian Style

Barron, Yonit, and Chananel Benshimol. 2024. "Emergency Supply Alternatives for a Storage Facility of a Repairable Multi-Component System" Mathematics 12, no. 17: 2730. https://doi.org/10.3390/math12172730

APA Style

Barron, Y., & Benshimol, C. (2024). Emergency Supply Alternatives for a Storage Facility of a Repairable Multi-Component System. Mathematics, 12(17), 2730. https://doi.org/10.3390/math12172730

Note that from the first issue of 2016, this journal uses article numbers instead of page numbers. See further details here.

Article Metrics

Back to TopTop