Abstract
Recently, liquidity issues in financial markets and portfolio asset management have attracted much attention among investors and scholars, fuelling a stream of research devoted to exploring the role of liquidity in investment decisions. In this paper, we aim to investigate the effects of introducing liquidity in portfolio optimization problems. For this purpose, first we consider three volume-based liquidity measures proposed in the literature and we build a new one particularly suited to portfolio optimization. Secondly, we formulate an extended version of the Markowitz portfolio selection problem, named mean–variance–liquidity, wherein the goal is to minimize the portfolio variance subject to the usual constraint on the expected portfolio return and an additional constraint on the portfolio liquidity. Thirdly, we consider a sensitivity analysis, with the aim to assess the trade-offs between liquidity and return, on the one hand, and between liquidity and risk, on the other hand. In the second part of the paper, the portfolio optimization framework is applied to a dataset of US ETFs comprising both standard and alternative, often illiquid, investments. The analysis is carried out with all the liquidity measures considered, allowing us to shed light on the relationships among risk, return and liquidity. Finally, we study the effects of the introduction of a Bitcoin ETF, as an asset with an extremely high expected return and risk.
Keywords:
portfolio optimization; liquidity measures; return–liquidity opportunity cost; trading volume; alternative investments MSC:
91G10; 91-10
1. Introduction
The interest of economics and finance scholars in financial market liquidity has a long tradition. In the 1980s, investors noted that selling a large number of shares of certain stocks triggered a steep decline in their quoted prices, and this led to a greater focus on liquidity-based investment strategies [1]. This attention to liquidity prompted a number of scholars to commit to defining and estimating proper liquidity measures and studying their relationship with stock returns [2,3,4], facing in this several challenges. In this regard, Amihud [2] (p. 33) argues that “Liquidity is an elusive concept. It is not observed directly but rather has a number of aspects that cannot be captured in a single measure”. As a matter of fact, different liquidity measures have been proposed throughout the years to account for many different aspects, such as the impact of trading volumes on market prices and demand spread.
More recently, liquidity has gained importance also in quantitative finance, and especially in portfolio optimization (see for instance [5,6,7]). Although asset liquidity was initially disregarded in the Modern Portfolio Theory, scholars have shown that, in fact, stocks vary in liquidity (however measured) and that returns and liquidity are not unrelated [2,8]. Hence, especially for institutional investors that trade in large volumes, it is crucial to also consider liquidity in the construction of a portfolio, which requires additional considerations besides the standard preferences for risk and return. In this regard, the seminal paper by Lo et al. [9] provides a starting and fundamental contribution to the inclusion of liquidity in portfolio optimization; they build some liquidity measures based on trading volumes, shares outstanding, and bid-ask spread, and they devise different methods to include liquidity in the mean variance optimization model [10], using such measures. In detail, Lo et al. [9] propose three alternative approaches to include liquidity: (1) a preliminary liquidity filter, where stocks that do not meet a liquidity threshold are excluded from the portfolio construction; (2) portfolio liquidity constraints, setting the liquidity of the portfolio equal to a target value in the optimization model; (3) the explicit inclusion of the liquidity level of the portfolio in the objective function. Lo et al. [9] argue that these simple procedures allow investors to obtain portfolios that are significantly more liquid than standard optimal mean variance portfolios.
Over time, the framework proposed by Lo et al. [9] has been often applied by scholars to model preferences for liquidity in portfolio optimization. Thanks to its simplicity and flexibility, it has allowed researchers to investigate the role of liquidity in portfolio selection using further liquidity measures and asset classes (see for example [11]). On the other hand, interestingly, a number of studies have shown that taking liquidity into consideration considerably changes the risk–return profile of the optimal portfolios obtained [5,12].
Moreover, different models and approaches have also been proposed. Kinlaw et al. [13] view liquidity as a shadow allocation and attach a shadow asset to the portfolio when investors deploy liquidity to increase their expected utility. Ang et al. [14] devise a dynamic model of consumption and investment with three types of assets: a risk-free bond, a risky and liquid asset, and an illiquid risky asset that cannot be traded continuously, whose trading opportunities are governed by a Poisson process. Al Janabi [15] designs a generalization of the mean variance model with the variance replaced by a liquidity-adjusted value at risk and the dependence structure modeled through Kendall’s tau. Li and Zhang [16] propose a mean–variance–entropy approach with liquidity and diversification constraints. Vieira et al. [17] consider an index tracking optimization model with liquidity constraints and evaluate the diversification effect using the Gini index.
In recent decades, there has also been a surge of interest in alternative assets. To hedge severe turmoils in financial markets and avoid incurring large losses, investors have started to allocate a significant portion of their portfolios to non-standard investment vehicles, which are often thought to provide a diversification effect (see [18]). Alternative asset markets have caught the attention of scholars as well; in particular, scholars have explored several alternative investments, such as real estate (indeed, real estate is often, even if not always, considered an alternative investment) [19,20], cryptocurrencies [21,22,23,24], and art [25,26], highlighting the benefits that these asset classes have on a portfolio in terms of diversification. However, notwithstanding the improvement brought to the risk of the portfolio, such assets complicate the portfolio selection, due to their lower liquidity [25].
Research analyzing liquidity in the context of portfolio optimization and investigating the optimal allocation of alternative assets in financial portfolios has begun to be widely published in the empirical literature. In particular, several studies analyzed liquidity in the context of portfolio optimization [27,28,29] and investigated the optimal allocation of alternative assets in a financial portfolio [30,31]. More recently, some scholars applied portfolio optimization models that incorporate the liquidity characteristics of standard and alternative asset classes, generally focusing on only one, or a few, alternative investments, mainly commodities [15] and cryptocurrencies [11,12,32]. However, to the best of our knowledge, the liquidity effects on the portfolio allocation of a broadly diversified array of alternative asset classes (comprising, e.g., gold, commodities, cryptocurrencies, and hedge funds) jointly with traditional ones have not been investigated in depth. Nonetheless, diversification strategies often comprise multiple asset classes, which display different liquidity characteristics. Therefore, it may be interesting to explore the role of liquidity in portfolio optimization models including multiple alternative assets simultaneously.
The goal of this paper is to study the effects of the introduction of a liquidity constraint into a portfolio optimization model where multiple alternative assets are considered. In particular, we pursue the following research objectives:
- We analyze some volume-based liquidity measures already proposed in the literature; in addition, we devise a novel measure of liquidity, based on the coefficient of variation of the market volume;
- Following one of Lo et al. [9]’s suggestions, we devise an extension of the classical mean variance optimization problem which includes an additional constraint that guarantees the portfolio a desired liquidity level; furthermore, we derive, through an in-depth sensitivity analysis, the trade-offs among the target return, the target liquidity, and the variance of the optimal portfolios;
- Making use of the liquidity measures and the extended portfolio optimization problem discussed in the first part of this paper, in the second part we analyze the effects of the introduction of a liquidity constraint in portfolio selection problems including a wide range of alternative investments, in the form of thematic ETFs. Moreover, we undertake a back-testing procedure;
- Finally, we investigate the effects of the introduction of an extremely high expected return and risk asset class, represented by a Bitcoin ETF.
Research on portfolio allocation has revealed its contribution in several ways, starting from the famous papers by Markowitz [10], Sharpe [33], and Lintner [34], which laid the foundation for Modern Portfolio Theory and the Capital Asset Pricing Model (CAPM). Over time, this foundational framework has been expanded to address various market imperfections, such as liquidity constraints, resulting in the creation of advanced liquidity and portfolio models, including the development of Lo et al. [9] discussed above. On the other hand, besides the extension of the classical mean variance optimization problem that includes additional constraints that guarantee the portfolio the desired level of liquidity, another line of research that has been widely explored in the literature is the role of liquidity in asset pricing, and portfolio models originating from the asset pricing theory. Along this line, we find both mainly theoretical contributions—see for example [3,35,36,37,38]—and others with extensive empirical analysis—among these, see [39,40,41,42]. For recent literature reviews on methodologies, tools and solution approaches in portfolio optimization that can extend the mean variance framework to include operational constraints, refer to [43,44].
In the present contribution, as a reference point for portfolio optimization, we consider the classical mean variance model [10] that does not include liquidity in its original formulation, and we extend it along this direction. The mean variance model is simple in its original version, yet it represents an interesting starting point for further developments [45], among which there is also the inclusion of liquidity (see for example the recent review on portfolio optimization [46]). Moreover, although the mean variance model was developed long ago, its principles continue to be a major reference in both the theory and practice of finance, and the model is still widely used by researchers and practitioners. See for instance [45,47,48,49].
In the empirical analysis, we consider a set of ETFs representing standard and alternative investment markets. In particular, 11 ETFs on equity and 2 ETFs on bonds represent traditional investment opportunities, whereas 8 ETFs on gold, silver, rare earth metals, commodities, luxury, hedge funds, forestry, and sustainability represent the alternative investments that can add diversification opportunities to the portfolio composition. This choice has major benefits: ETFs allow even average investors to access a market of alternatives that would not be accessible otherwise; furthermore, ETFs are tradable and available for a wide range of assets, also with data on volumes. This makes our portfolio model more realistic. In our paper, ETFs are thus considered as assets to build optimal portfolios, differently from other contributions that investigate the optimal composition of an ETF [50,51]. A number of studies already focused on ETFs liquidity implications, e.g., [50], and portfolio optimization models applied to ETFs (for instance [52,53]), but investigations specific to portfolio selection with liquidity constraints and ETFs on alternative investment markets have not been fully considered.
This paper is organized as follows. Section 2 discusses the liquidity measures employed in this study and the framework to include them in the extended portfolio optimization model, as well as the sensitivity analysis. Section 3 presents the data used in the empirical analysis and provides some descriptive statistics to characterize the ETFs considered. Section 4 illustrates the result of the portfolio optimization with liquidity constraints for various liquidity measures and alternative asset classes. Finally, Section 5 presents some concluding remarks.
2. Methodology
Since alternative investments are often characterized by a lower liquidity, compared to traditional investment assets, when we investigate the role of alternative investments in optimal portfolios, we need to also consider liquidity constraints. Moreover, since, as is well known, alternative investment markets are often thin in size, with a consequent lower trading volume, we resort to volume-based liquidity measures in order to build a proper portfolio liquidity constraint. In particular, since we base our analysis on daily data, we rely on low-frequency data liquidity measures (see [54]).
As pointed out in Section 1, liquidity has many facets and definitions, and can be measured with different indicators. For instance, a liquid asset should display a low quoted spread, as the evaluation on the supply side should align with that on the demand side in an efficient market [55]. Furthermore, a transaction on a liquid security should not influence its quoted prices significantly when the order is inserted in the market. Indeed, multiple liquidity proxies have been proposed in the literature on the financial markets microstructure, in order to capture the various liquidity dimensions, such as the breadth of the market and the time to transact. A comprehensive review of liquidity measures falls outside the scope of the present paper; for an extensive discussion on several of these measures, we refer the interested reader to [8,54,55].
Section 2.1, which is related to the research objective no. 1, focuses on the presentation of some volume-based liquidity measures that will be used in our portfolio analysis; Section 2.2 and Section 2.3, which regard research objective no. 2, extend the classical mean variance optimization problem and discuss the sensitivity analysis, respectively.
2.1. Liquidity Measures
Let us denote by and the price and the number of shares traded of security i in period t (in our case, day t), respectively. The volume of security i in period t measured in monetary value (usually indicated as dollar-volume) is defined as
Let us consider a time series of daily dollar-volumes for asset i, , with T observations. The first liquidity measure we present is the average dollar-volume, AveVol, defined as
This measure has been employed, among others, by Brauneis et al. [56] and Moreno et al. [12].
Another widely used liquidity measure is Amihud [2], which measures the “daily price response associated with one dollar of trading volume” and thus works as a price–impact liquidity indicator. This measure is computed as follows:
where is the daily return on asset i in day t. Amihud is probably one of the most widely employed liquidity measures and it has been adopted in several studies, for instance [5,11,12,17]. Notice that Amihud is actually an illiquidity measure, since higher values of this indicator are associated to a lower liquidity of the security market.
Kyle and Obizhaeva [57] argue that there is a relationship between the variance of the asset returns and the dollar volume of its market. For this reason, they propose the following liquidity index:
where is the variance of the returns on asset i. According to Kyle and Obizhaeva [57], the intuition behind this liquidity measure is linked to the assumption—often made by traders—that transaction costs (a source of illiquidity) are higher in markets with low dollar volume and high volatility. As Amihud, KO is an illiquidity measure, too.
Besides the previous indicators presented in the literature for the liquidity/illiquidity of a security market, we propose a new liquidity measure, or more precisely an illiquidity one, CVVol, tailored on portfolio investments, and for this reason suitable for portfolio optimization problems. The idea is to use, for this purpose, a measure of the relative variability of the market volume.
More precisely, CVVol is defined as the coefficient of variation of the dollar volume:
where is the standard deviation of the volume of asset i.
In insurance, the coefficient of variation of a total random amount X, describing for example a portfolio loss, is commonly used to measure its relative riskiness; for a discussion, see for example [58]. Analogously, in statistics the coefficient of variation of a random variable X is used to measure its relative variability.
In our context, CVVol can be interpreted as the variability of the dollar volume of an asset relative to its average dollar volume, and indirectly it evaluates the relative riskiness of an impact on prices, even if its computation is based solely on the volume. Indeed, the volume may vary greatly from one time to another, and may therefore be linked to the risk of being forced to accept to trade at an unfavorable price when investors decide to buy or sell the shares. With regard to this, let us observe that this novel indicator may be viewed as an indirect price–impact liquidity measure, although the calculation is based solely on market volume data.
Clearly, CVVol depends both on the central tendency and the variability of the asset volume, and it represents an illiquidity measure since larger values of CVVol imply a higher relative variability level and, hence, a potentially lower liquidity when the security is bought or sold.
2.2. Portfolio Optimization with Liquidity Constraints
Let us now discuss the inclusion of the liquidity dimension in portfolio optimization problems. After choosing one of the liquidity measures (2)–(5) to assess the liquidity/illiquidity of security markets, we turn our attention to the addition of liquidity in the portfolio selection process. In this paper, we follow Lo et al. [9] and build a liquidity constraint to be included in the portfolio optimization.
First of all, we deem more natural for an investor to reason in terms of a lower liquidity level to be ensured for the portfolio, rather than in terms of an upper illiquidity level not to be exceeded. For this reason, we transform the illiquidity measures Amihud, KO, and CVVol into liquidity indicators by taking their reciprocal. For the sake of notation, in the rest of the paper by Amihud, KO, and CVVol we actually denote the reciprocal of Equations (3)–(5).
Secondly, the liquidity measures presented in Section 2.1 refer to single assets, while we need a liquidity measure referred to a portfolio of securities. Following a suggestion of Lo et al. [9], we build a measure of portfolio liquidity defined as the following weighted average of the liquidity measures of the individual assets held in the portfolio, with weights given by the proportion of wealth invested in each security detained:
where , with , is the weight of asset i in the portfolio and is the value of the chosen liquidity indicator for asset i, with .
Let us consider the classical mean variance optimization model (MV) [10], that can be formulated as follows:
where is the vector of the asset weights, is the variance–covariance matrix of the asset returns, is the asset mean returns vector, is the portfolio target return chosen by the investor, is the vector of 1 s, and is the null vector. The investor minimizes the risk, represented by half the variance, , while requiring a minimum level M for the expected return of the portfolio, ; the usual budget and non-negativity constraints complete the formulation.
In this paper, we assume that investors, besides the classical preferences for a high return and a low risk, wish to achieve at least a predetermined liquidity level . This requirement can be translated into a lower-bound constraint for the liquidity of the portfolio:
The resulting mean–variance–liquidity (MV-L) portfolio optimization problem can be formulated as follows:
where is the vector of asset liquidities. The quantities M and L depend on the investors’ preferences for return and liquidity, respectively.
2.3. Sensitivity Analysis and Liquidity–Return Trade-Off
With reference to the portfolio optimization problem (9), it is interesting to analyze and discuss the relationships among the three investors’ goals of controlling risk, return, and liquidity. For this purpose, we consider a sensitivity analysis aimed to identify the trade-offs between the desired expected return and liquidity, on the one hand, and between the desired risk level and liquidity, on the other hand. Indeed, the usefulness of sensitivity analysis in the context of optimization problems has long been recognized by the literature; see for example, among others [59,60,61,62].
As for the trade-off between the desired expected return and liquidity goals, we examine how much the investor has to lower the desired expected return after a small increase in the liquidity in order to keep the variance of the portfolio constant. We refer to this as liquidity–return trade-off (). Mathematically, we move along the level curve associated to a specific value of the risk, representing the curve of all possible liquidity–return pairs that provide the same optimal portfolio variance. As is often done, we consider the first-order approximation provided by the tangent line to function g in a given initial point . We focus on the slope of this line, which represents the marginal rate of substitution between liquidity and return and provides the liquidity–return trade-off we are interested in.
Let us first define the optimal value of the objective function as a function of the target return M and the target liquidity L, which are the focus of this sensitivity analysis; is the solution to portfolio optimization problem (9) and measures the portfolio risk. The liquidity–return trade-off is the first derivative of curve g and can be computed as the ratio of the partial derivatives of with respect to the target liquidity L and expected return M:
Therefore, we can approximate the change in the target return, , consequent to a change in the target liquidity as follows:
Besides the absolute return change consequent to an absolute liquidity change , it is interesting to also analyze the relative change consequent to a relative change . To this aim, we may define the elasticity of the target return M with respect to the target liquidity L. The notion of elasticity we propose in this context is analogous to the notion of price elasticity of demand of a product, which is adopted in economics to measure the sensitivity of the demand to a relative price change (analogously, we may associate the liquidity–return trade-off, , to the concept of marginal rate of substitution between two goods, defined in economics with reference to the indifference curve in the consumer’s utility maximization problem, or to the concept of marginal rate of technical substitution between two production factors (usually capital and labor) with reference to the isoquant curve in the firm’s profit maximization problem). In our case, we may define:
where the elasticity is defined taking the limit of the relative changes for .
It is immediate to note that the elasticity can be expressed in terms of the liquidity–return trade-off as follows:
Finally, using Equations (11) and (13), we may express the relative return change in terms of the elasticity in the following way:
As far as the trade-off between the desired risk level and liquidity is concerned, we may proceed analogously. The procedure is similar to the one followed for the liquidity–return trade-off once we formulate the optimization problem in terms of the maximization of the expected portfolio return subject to constraints on the portfolio risk and liquidity, as follows:
We define the liquidity–risk trade-off :
We can approximate the change in the target risk, , consequent to a change in the target liquidity as follows:
By defining the elasticity of the target variance V with respect to the target liquidity L:
we may express the elasticity in terms of the liquidity–variance trade-off :
and using the elasticity we may approximate the relative variance change :
Let us observe that, by focusing on the liquidity–return trade-off (liquidity–risk trade-off), we wish to evaluate the effect of an increase in the target liquidity on the target return (risk) by keeping constant the risk (return). On the other hand, we may wish to evaluate the effect of an increase in the return (risk) on the target liquidity by keeping constant the risk (return). This is equivalent to the computation of a return–liquidity trade-off (variance–liquidity trade-off ) with a similar procedure.
In addition, we may also consider a version of the optimization problem wherein the portfolio liquidity is maximized subject to the constraints on the portfolio return and risk. Nevertheless, the aim of this paper is to extend the mean variance framework to include a liquidity constraint.
3. Empirical Analysis: The Data
With the aim to verify the applicability of the optimization models proposed in Section 2.2 to real data, and to compare the optimal portfolios obtained with different liquidity measures, we carry out an empirical investigation on a set of ETFs representing standard and alternative investment markets.
The empirical investigation concerns US data in the period from January 2016 to December 2023. The chosen ETFs are thematic assets representing two bond ETFs, eleven ETFs representing the GICS sectors (although real estate is traditionally viewed as an alternative investment, the widely used GICS classification explicitly considers the real estate among the 11 industry macro-sectors [63], so real estate can be considered as a standard asset), and eight ETFs representing as many alternative assets (Gold, Silver, Commodities, Rare earth metals, Luxury, Hedge funds, Forestry, Sustainability). The complete list is reported in Table 1, where the first column indicates the sector which is represented by the ETF chosen, and in the last column (Class) the standard sectors are indicated with “S” and the alternative asset ETFs are indicated with “A”. The historical data on prices and volumes have been downloaded from Bloomberg with a daily frequency.
Table 1.
List of the ETFs considered in the portfolio optimization analysis. S = Standard; A = Alternative.
The main descriptive statistics for the daily returns are computed as
and reported in Table 2. In addition, the last two columns of Table 2 display the results of the Jarque–Bera (J-B) normality test and the Augmented Dickey–Fuller stationarity test (ADF), respectively.
Table 2.
Main descriptive statistics of the ETFs daily returns (columns 2–7), results of the Jarque–Bera normality test (J-B, column 8) and of the Augmented Dickey–Fuller stationarity test (ADF, column 9). The model of the ADF test includes no drift and the order of the model was selected using the Akaike Information Criterion (AIC). * indicates that the null hypothesis is rejected at a 5% significance level (p-value lower than 0.05). Reference period: 2016–2023.
We may notice that some alternative investments underperform standard equity ETFs, while others offer fairly high average returns, at the cost of a high volatility. For instance, rare earth metals display a 0.057% daily mean return and a standard deviation equal to 2.17%. Moreover, the results of the J-B and the ADF tests indicate, at a 5% significance level, that the returns are not normally distributed and that their time series are stationary.
Figure 1 reports the correlation matrix of the returns. We may note that Treasury bonds generally show a low correlation, often negative, with both standard and alternative ETFs. As for the alternative assets, some of them exhibit low correlation values, not only with standard investments but also with other alternative asset classes, while others (Hedge funds, Forestry, Sustainability) present a more varied correlation behavior, low with some assets and high with others.
Figure 1.
Correlation matrix of the ETFs returns. Reference period: 2016–2023.
Table 3 reports the results of the unit root tests carried out on the ETFs’ volume time series. For almost all the ETFs, the ADF test rejects the null hypothesis of unit roots at the 5% significance level, showing that, in general, volumes are stationary over time. These results are confirmed by the outcomes of a further unit root test we carried out, the Phillips–Perron (PP) test. The stationarity of the volumes allows us capture the liquidity dimension of the ETFs in our portfolio by estimating the liquidity measures on the whole sample data, namely over the entire time period considered.
Table 3.
Results of the Augmented Dickey–Fuller (ADF) test and Phillips–Perron test (PP) carried out on volume of the ETFs analyzed. Both tests include a version with and without drift. The order of the ADF model was selected using the Akaike Information Criterion (AIC); the number of Newey–West lags used to calculate the standard error in the Phillips–Perron test is equal to . * indicates that the null hypothesis is rejected at a 5% significance level (p-value lower than 0.05). Reference period: 2016–2023.
Table 4 reports for each asset the values of the liquidity measures discussed in the previous section, computed using volumes expressed in million USD (we observe that the results are dependent on the choice of the specific ETF and different ETFs on the same sector can have different values of liquidity). We may notice how different the order of magnitude is for the different liquidity measures and this will be taken into account in the portfolio liquidity constraint. It is interesting to observe that Corporate bonds are highly liquid based on all the four measures, while the Luxury ETF is the least liquid investment (average daily dollar-volume is USD 0.491 million). Overall, it appears that alternative investments are less liquid than standard ones with reference to all the measures. However, few exceptions are worth noting: the Real Estate ETF, the most liquid ETF according to CVVol, differently from all the other measures, and the Hedge Funds ETF, which obtains a low liquidity value only when the AveVol measure is used. Unexpectedly, Gold, which is considered an alternative investment, is always among the most liquid assets.
To obtain further insights, we present in Figure 2 the correlations between the liquidity measures, as well as the correlations of the liquidity measures with the average and standard deviation of the asset returns. As expected, asset returns and standard deviation are positively correlated (0.672), while, more interestingly and in accordance with the existing previous literature (see [8]), we find that all the liquidity measures are negatively correlated with the average returns, and even more negatively with the standard deviations. In particular, the KO measure displays the lowest correlation with both mean (−0.494) and standard deviation (−0.587) of the returns. This is partly due to the definition of KO, which is constructed with the variance of the returns. We recall that we consider the reciprocal of KO, and for this reason we observe the negative correlation with the standard deviation of the returns. In addition, we notice that all the liquidity measures are highly and positively correlated. In particular, AveVol is almost perfectly correlated with Amihud (0.966) and KO (0.905); KO is also highly correlated with Amihud, while CVVol has the lowest correlation with all the other measures (ranging from 0.629 to 0.768).
4. Empirical Analysis: Portfolio Optimization Results
To examine both the applicability of the optimization models presented in Section 2.2 and investigate and compare the effects of the introduction of the different liquidity measures in portfolio optimization, we carry out an in-depth empirical investigation on the ETFs considered in Section 3. The results obtained, which are related to the research objective no. 3, are presented and discussed in the next Section 4.1, Section 4.2 and Section 4.3. As it is usual in portfolio optimization, the expected return and volatility of all assets are considered in the optimization models on an yearly base.
In addition, in order to tackle the last research objective, in Section 4.4 we investigate the effect of the introduction of an asset with an extremely high expected return and volatility, namely a Bitcoin ETF.
4.1. Comparison of the Portfolio Optimization Results
We employ the portfolio optimization models presented in Section 2.2, namely the classical MV model and the extended MV-L model obtained including an additional liquidity constraint based on one of the four liquidity measures considered in Section 2.1, AveVol, Amihud, KO, and CVVol, respectively.
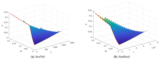
Figure 3 and Figure 4 show the efficient frontiers obtained with the MV-L model for the different liquidity measures employed; in detail, Figure 3 displays the 3D surfaces as the target return M and the target liquidity L vary, and Figure 4 displays the level curves. In both figures, the minimum level considered for the liquidity measures is set to the liquidity value exhibited by the minimum variance optimal portfolio. For comparison, Figure 3 also shows the mean variance frontier obtained with the MV model (7), indicated with a red dashed line; the minimum variance portfolio exhibits a volatility and a return equal to . As can be seen, the model proposed allows us to smoothly compute the efficient frontiers with all the four liquidity measures considered.

Figure 3.
Mean–variance–liquidity efficient frontiers obtained with the MV-L model (9) using the liquidity measures AveVol (a), Amihud (b), KO (c), and CVVol (d) as the target return M and the target liquidity L vary. The red dashed line represents the mean variance frontier obtained with the MV model (7). Reference period: 2016–2023.
Figure 4.
Level curves of the mean–variance–liquidity efficient frontiers obtained with the MV-L model (9) using the liquidity measures AveVol (a), Amihud (b), KO (c), and CVVol (d) as the target return M and the target liquidity L vary. Reference period: 2016–2023.
The efficient frontiers obtained with the different liquidity measures display a somewhat similar behavior, with AveVol, Amihud and CVVol that enable the investor to reach also high return–high volatility portfolios, while KO seems to exhibit a more “conservative” behavior, since it excludes the possibility to obtain the highest return–volatility pairs. This is likely due to the relationship between the asset volatility and the asset liquidity measured with KO, made explicit by the KO definition (4). In order to obtain a high return portfolio, high volatility assets need to be included, so that this portfolio necessarily exhibits also a high KO illiquidity value (4), i.e., a low liquidity level.
We may note that the introduction of the liquidity constraint has the effect of leaving the riskier portfolios out of the efficient frontier. This effect is more and more pronounced as the liquidity constraint becomes tighter, and it is particularly evident for the KO liquidity measure.
To examine the effects of introducing a liquidity constraint on the optimal portfolio composition and compare this effect for the different liquidity measures considered, we first report in Figure 5 the composition of the MV portfolio as the target return level changes. In Figure 6, Figure 7 and Figure 8, we present the composition of the MV-L portfolios obtained for three different levels of the target liquidity, denoted by low, medium, and high level, respectively. These target levels are determined considering first the range between the liquidity of the MV portfolio and that of the asset with the highest liquidity (Corporate bonds for AveVol, Amihud and KO, and Real estate for CVVol), and then dividing it into four sub-intervals of equal length; the low, medium, and high target liquidity levels are chosen as the extremes of the sub-intervals and correspond to the 25%, 50%, and 75% percentiles of the range, respectively.
Figure 5.
Optimal portfolio weights of the MV optimization model (7). Reference period: 2016–2023.
Figure 6.
Optimal portfolio weights of the MV-L optimization model (9) for the different liquidity measures considered, with a low target value for the liquidity constraint. Reference period: 2016–2023.

Figure 7.
Optimal portfolio weights of the MV-L optimization model (9) for the different liquidity measures considered, with a medium target value for the liquidity constraint. Reference period: 2016–2023.
Figure 8.
Optimal portfolio weights of the MV-L optimization model (9) for the different liquidity measures considered, with a high target value for the liquidity constraint. Reference period: 2016–2023.
In general, the composition of the optimal portfolios is sufficiently well diversified both for the MV and the MV-L models, at least when the target return level is set to a “reasonable” level. Indeed, as the target return increases, the number of assets in the optimal portfolio tend to diminish. Moreover, as the target liquidity level becomes increasingly higher the optimal portfolios become less diversified, especially with the KO and CVVol liquidity measures. This outcome is in line with the results reported by [17], who find that a tighter liquidity constraint entails a lower diversification in an index-tracking framework.
Overall, the optimal allocation results confirm the role played by liquidity. In particular, with the MV-L model, we note that “new” ETFs enter portfolio allocations; that is, ETFs characterized by the highest levels of liquidity—according to the measures considered—are included in portfolio allocation, or their weight is increased, when compared with the allocation obtained with the MV model. In particular, this is the case of the Corporate bond ETF (for AveVol, Amihud, KO) and the Real estate ETF (for CVVol). This effect becomes more pronounced when tightening the constraint from a low to a high liquidity requirement, and produces more concentrated portfolios where the role of the most liquid ETFs is predominant (see Figure 6, Figure 7 and Figure 8). Although these results present some differences in the allocation weights, they are consistent across all four liquidity measures considered.
As for the presence of alternative assets in the optimal portfolios, we may observe that they are rather well represented for “reasonable” target return levels, both for the MV and the MV-L models, while for higher return targets only the Gold ETF is included in the portfolio. On the other hand, there are some ETFs that do not contribute to the allocation, regardless of the choice of the optimization model; for instance, the Energy, Materials, Forestry, and Sustainability ETFs. Moreover, when we consider the medium and higher liquidity targets, the differences in the optimal portfolios obtained with the various liquidity measures become more marked, in particular AveVol and Amihud tend to provide more diversified portfolios than KO and CVVol.
4.2. Liquidity–Return Trade-Off
In Section 2.3, we have presented a methodology that is useful for a sensitivity analysis. Table 5 reports the partial derivatives of with respect to the target levels M and L, that enable us to compute the sensitivity analysis indicators, the liquidity–return trade-off , the elasticity of the target return with respect to the target liquidity , and finally the relative return change . The reported outcomes are computed in correspondence of a target return level and a target liquidity level L which depends on the liquidity measure considered, equal to 1120.1 for AveVol, 238,790 for Amihud, 3542.8 for KO and 1.32 for CVVol. The partial derivatives and have been numerically approximated as follows:
where is a generic function of the real variables and and the relative target return change is consequent to a 1% relative target liquidity change.
Table 5.
Sensitivity analysis: partial derivatives of with respect to the target levels M and L, liquidity–return trade-off , elasticity of the target return with respect to the target liquidity , and relative return change consequent to a 1% relative target liquidity change. The outcomes reported have been computed in correspondence of a target return level and a target liquidity level L which depends on the liquidity measure considered, equal to 1120.1 for AveVol, 238,790 for Amihud, 3542.8 for KO and 1.32 for CVVol. Reference period: 2016–2023.
Especially the elasticity and the relative return change indicators have an immediate and helpful interpretation, since they are relative indicators, independent of the unit of measure used in the computations. As is expected, they have a negative value, indicating that to increase the target liquidity we need to diminish the target return, in order to keep the volatility constant. As we may notice, in the chosen starting point the elasticity, and consequently the relative change in the return, is in absolute value higher for CVVol and KO, which exhibit a value that is approximately equal to twice the elasticity obtained with AveVol and Amihud.
For the sake of brevity, we do not report the computations for the other trade-offs, which can be obtained with a similar procedure.
4.3. Portfolio Backtesting
In this section, we give a hint of portfolio backtesting. To this purpose, we divide the dataset into two periods, constituted by the first 7 years of data, from 2016 to 2022, and the last year, 2023, respectively.
The first period, 2016–2022, is used to estimate the expected return of all ETFs, the variance–covariance matrix of their returns and their liquidity, evaluated with the CVVol measure (5). The estimated parameters are used to find the optimal portfolio composition for a target return and a low, medium, and high target liquidity level L, determined as described in Section 4.1.
Figure 9 shows the optimal portfolio weights computed with the MV-L optimization model (9) and, for comparison, also those obtained with the MV model (7). We may observe that, while the MV portfolio includes multiple alternative assets, the MV-L model mainly focuses on one of them (Gold). Indeed, when a high liquidity is required, Gold turns out to be predominant, due to the high liquidity value it exhibits.
The second period, 2023, is then used for backtesting as an out-of-sample holding period for the portfolios composed in the previous step, which are assumed to be held for the whole year. At the end of the holding period, we assess and compare the portfolio values and their liquidity.
Figure 10 displays the daily values of the optimal portfolios selected in the backtesting investigation. Furthermore, Table 6 reports the main statistics of the returns of the optimal portfolios selected in the backtesting investigation, computed out of sample in the holding period. The last columns of Table 6 report the liquidity value of the portfolios computed with Equation (2) and the reciprocal of Equations (3)–(5). By observing the equity lines (Figure 10), it appears that the portfolio with a low liquidity requirement does not perform much differently than the mean variance portfolio; however, its liquidity is much higher (see liquidity measures in Table 6). On the other hand, the portfolios with a medium and a high target liquidity are much more volatile, and less diversified (as already noted, see Section 4.1). This result confirms the importance of striking a balance among the risk–return–liquidity objectives according to the investor’s preferences.
Figure 10.
Dynamics of the values of the optimal portfolios selected in the backtesting investigation; the portfolios have been computed with the MV-L optimization model (9) using the CVVol liquidity measure for a low, medium, and high target liquidity value; for comparison, the MV portfolio (7) is also displayed. Reference period: 2023.
Table 6.
Main statistics of the returns of the optimal portfolios selected in the backtesting investigation, computed out of sample in the holding period. The portfolios have been computed with the MV-L optimization model (9) using the CVVol liquidity measure for a low, medium, and high target liquidity value; for comparison, the MV portfolio (7) is also displayed. The last four columns report the liquidity value of the portfolios computed with Equation (2) and the reciprocal of Equations (3)–(5). Reference period: 2023.
As said, when we set a high liquidity target, the optimal portfolio shows a higher variance. This is in accordance with the results of the sensitivity analysis carried out in Section 2.3 and Section 4.2, which showed that, in order to keep the variance constant, to increase the liquidity target we have to accept a lower target return (see the liquidity–return trade-off defined in Section 2.3). Here, the target return is kept constant; therefore, what changes is the portfolio variance, and the relevant trade-off is the liquidity-risk trade-off (16).
To some extent, this seems unintuitive, as we may expect that a higher liquidity is associated to a lower financial risk, but instead it seems that liquidity and return variability go in tandem. This result is confirmed by the additional risk measures reported in Table 6, namely the maximum drawdown and the Value at Risk (VaR). However, we point out that this result may be due to the specificity of our data or the period considered.
Interestingly, and contrary to what one would expect, in the out-of-sample year considered, the high target liquidity level portfolio turns out to exhibit a lower liquidity value than the portfolio with the medium target liquidity, for all the four liquidity measures considered. For instance, the CVVol of the high target liquidity level portfolio is 3.07, while the CVVol of the medium one is 3.28.
4.4. Introducing an Asset with Extremely High Return and High Volatility: The Case of Bitcoin
To investigate how the optimization model with liquidity constraints behaves in presence of an asset with an extremely high expected return and an extremely high volatility—relative to those of the other assets—we also have carried out a set of investigations by extending the set of assets to include a Bitcoin ETF, namely the Grayscale Bitcoin Trust ETF. These further analyses are conducted on the data for the whole period 2016–2023.
For the Bitcoin ETF considered, we report the main statistics of the returns:
| ETF | Mean | SD | Maximum | Minimum | Skewness | Kurtosis |
| Bitcoin | 0.0034 | 0.0035 | 0.412 | −0.256 | 0.525 | 6.928 |
and the values of the liquidity measures, computed using volumes expressed in million USD:
| ETF | AveVol | Amihud | KO | CVVol |
| Bitcoin | 110.013 | 86.249 | 422.098 | 0.618 |
While return mean and standard deviation are high, the liquidity measures exhibited by the Bitcoin ETF are comprised between the minimum and the maximum values, based on all the four liquidity measures considered.
Figure 11 shows the mean–variance–liquidity efficient frontiers obtained with the MV-L model (9), as the target return M and the target liquidity L vary, for the extended asset set including the Bitcoin ETF. For comparison, Figure 11 also displays the mean variance frontier obtained with the MV model (7). Furthermore, Figure 12 and Figure 13 report the optimal portfolio weights of the MV optimization model (7) and of the MV-L optimization model (9), respectively, for the extended asset set including Bitcoin, and the medium level liquidity constraint target (in the MV-L model).
Figure 11.
Mean–variance–liquidity efficient frontiers obtained with the MV-L model (9), as the target return M and the target liquidity L vary, for the extended asset set including Bitcoin; the liquidity measures used are AveVol (a), Amihud (b), KO (c), and CVVol (d). The red dashed line represents the mean–variance frontier obtained with the MV model (7). Reference period: 2016–2023. The red dashed line represents the mean–variance frontier obtained with the MV model.
Figure 12.
Optimal portfolio weights of the MV optimization model (7) for the extended asset set including Bitcoin. Reference period: 2016–2023.

Figure 13.
Optimal portfolio weights of the MV-L optimization model (9) for the extended asset set including Bitcoin; the liquidity measures used are AveVol (a), Amihud (b), KO (c), and CVVol (d) and the target value for the liquidity constraint is set to the medium level. Reference period: 2016–2023.
As can be expected, it is now possible to build portfolios with an extremely high target return, at the cost of a high risk and also a low liquidity, as seen in Figure 11. However, the introduction of a liquidity constraint impedes obtaining portfolios with the most extreme return values. In particular, the KO liquidity measure substantially limits the return that can be obtained from the portfolio, much more than the other three liquidity measures. On the other hand, we may notice that the Bitcoin ETF enters all the optimal portfolios for the highest target return levels, while the share allocated to the Information Technology (IT) ETF is sensibly reduced (Figure 13) when the liquidity dimension is taken into account. Similarly to the case without Bitcoin (see Section 4.1), the MV-L model assigns a relevant weight to the most liquid ETFs—based on the liquidity measure selected—to satisfy the liquidity goal. However, it is interesting to note that, except for the KO, requiring a higher liquidity has the consequences of increasing the portion allocated to the most liquid ETFs and, jointly, switching the position from the IT ETF in favor of the more profitable Bitcoin ETF. Hence, overall, we observe that the logic behind the MV-L optimization model—that is, balancing the liquidity goal with the risk and return ones—has not changed. However, the specific risk–return characteristics of the Bitcoin ETF lead to different portfolio compositions compared to the ones obtained when this asset is excluded from the investable alternatives.
5. Conclusions
In this paper, we have investigated the effects of introducing liquidity constraints in portfolio optimization problems, especially having in mind the fact that alternative assets often exhibit a lower liquidity than traditional financial assets.
To this aim, in the first part of the paper we review three volume-based liquidity measures considered in the literature; in addition, we propose an alternative liquidity measure, namely the coefficient of variation of the volume (in monetary terms), particularly suited for the inclusion in portfolio optimization problems. All four liquidity measures considered can be easily computed when, as is usually the case, data on trading volumes are available.
Starting from the definition of the liquidity measures considered, we extend the classical mean variance optimization model with the inclusion of an additional constraint that imposes a target liquidity level chosen by the investor to the resulting portfolio allocation. Furthermore, an in-depth sensitivity analysis allows us to determine the trade-off between the target expected return and the target liquidity levels set by the investor, holding the portfolio risk, measured by the variance, constant.
In the second part of the paper, we present the results of a broad empirical analysis, carried out on a set of ETFs which are representative of both traditional GICS sectors and several alternative investment markets. The different assets refer to markets with quite different liquidity levels and make a good test bench for the liquidity measures and the optimization model adopted. The results of the analysis show that the liquidity measures and the MV-L model can indeed be quite easily applied on real data and provide an optimal portfolio allocation with the desired liquidity and expected return, with the efficient frontier and the optimal portfolio allocation that depend also on the liquidity measures selected.
The analysis carried out also allows us to draw some conclusions on the liquidity measures, though specific to our dataset. The optimal allocations obtained with AveVol and Amihud are rather similar, while KO is more conservative and limits the exposure to extremely risky portfolios. Finally, CVVol, which also considers the variability of the volumes, provides the investor with a richer information and may thus usefully be considered in conjunction with the other measures.
In the empirical investigation, we also employ a portfolio back-testing procedure to investigate how the MV-L model performs out of sample and, finally, we explore the effect of the introduction of an additional alternative asset with an extremely high risk and return, that is a Bitcoin ETF. The results have shown that investors should strike a balance among the risk–return–liquidity objectives, on the one hand, and that the inclusion of Bitcoin in the investment set requires additional considerations regarding these three goals, on the other hand. We again point out that some of these results may be due to the specificity of our data or of the period considered.
There are several interesting extensions of our analysis left for future research: the inclusion of liquidity measures in portfolio algorithms more elaborate and refined than the classical mean variance model; the adoption of different liquidity measures not based on trading volume, in order to take into account also niche alternative investment markets, such as the art market, for which volume data are not easily available; moreover, it can be interesting to consider an extension of the MV-L to a dynamic portfolio allocation model.
Author Contributions
Conceptualization, D.B., A.B., S.F. and G.A.V.; methodology, D.B., A.B., S.F. and G.A.V.; software, G.A.V.; validation, D.B., A.B., S.F. and G.A.V.; formal analysis, D.B., A.B., S.F. and G.A.V.; investigation, D.B., A.B., S.F. and G.A.V.; data curation, D.B., A.B., S.F. and G.A.V.; writing—original draft preparation, D.B., A.B., S.F. and G.A.V.; writing—review and editing, D.B., A.B., S.F. and G.A.V. All authors have read and agreed to the published version of the manuscript.
Funding
This research received no external funding.
Data Availability Statement
The data used in this study have been downloaded from the data provider Bloomberg.
Conflicts of Interest
The authors declare no conflicts of interest.
References
- Cooper, S.K.; Groth, J.C.; Avera, W.A. Liquidity, Exchange Listing, and Common Stock Performance. J. Econ. Business 1985, 37, 19–33. [Google Scholar] [CrossRef]
- Amihud, Y. Illiquidity and stock returns: Cross-section and time-series effects. J. Financ. Mark. 2002, 5, 31–56. [Google Scholar] [CrossRef]
- Amihud, Y.; Mendelson, H. Asset pricing and the bid—Ask spread. J. Financ. Econ. 1986, 17, 223–249. [Google Scholar] [CrossRef]
- Eleswarapu, V.R. Cost of transacting and expected returns in the NASDAQ market. J. Financ. 1997, 52, 2113–2127. [Google Scholar] [CrossRef]
- González, A.; Rubio, G. Portfolio choice and the effects of liquidity. SERIEs 2011, 2, 53–74. [Google Scholar] [CrossRef][Green Version]
- Ly Vath, V.; Mnif, M.; Pham, H. A model of optimal portfolio selection under liquidity risk and price impact. Financ. Stoch. 2020, 11, 51–90. [Google Scholar] [CrossRef][Green Version]
- Zhang, R.; Langrené, N.; Tian, Y.; Zhu, Z.; Klebaner, F.; Hamza, K. Dynamic portfolio optimization with liquidity cost and market impact: A simulation-and-regression approach. Quant. Financ. 2018, 19, 519–532. [Google Scholar] [CrossRef]
- Le, H.; Gregoriu, A. How do you capture liquidity? A review of the literature on low-frequency stock liquidity. J. Econ. Surv. 2020, 34, 1170–1186. [Google Scholar] [CrossRef]
- Lo, A.W.; Petrov, C.; Wierzbicki, M. It’s 11 PM—Do you know where your liquidity is? The mean-variance-liquidity frontier. J. Invest. Manag. 2003, 1, 55–93. [Google Scholar]
- Markowitz, H.M. Portfolio Selection: Efficient Diversification of Investments; Yale University Press: New Haven, CT, USA, 1959. [Google Scholar]
- Ghabri, Y.; Guesmi, K.; Zantour, A. Bitcoin and liquidity risk diversification. Financ. Res. Lett. 2021, 40, 101679. [Google Scholar] [CrossRef]
- Moreno, D.; Antoli, M.; Quintana, D. Benefits of investing in cryptocurrencies when liquidity is a factor. Res. Int. Bus. Financ. 2022, 1, 101751. [Google Scholar] [CrossRef]
- Kinlaw, W.; Kritzman, K.; Turkington, D. Liquidity and portfolio choice: A unified approach. J. Portf. Manag. 2013, 39, 19–27. [Google Scholar] [CrossRef]
- Ang, A.; Papanikolau, D.; Westerfield, M.M. Portfolio Choice with Illiquid Assets. Manag. Sci. 2014, 60, 2737–2761. [Google Scholar] [CrossRef]
- Al Janabi, M.A.M. Is optimum always optimal? A revisit of the mean-variance method under nonlinear measures of dependence and non-normal liquidity constraints. J. Forecast. 2020, 40, 387–415. [Google Scholar] [CrossRef]
- Li, B.; Zhang, R. A new mean-variance-entropy model for uncertain portfolio optimization with liquidity and diversification. Chaos Solitons Fractals 2021, 146, 110842. [Google Scholar] [CrossRef]
- Vieira, E.B.F.; Filomena, T.P.; Sant’Anna, L.R.; Lejeune, M.A. Liquidity-constrained index tracking optimization models. Ann. Oper. Res. 2023, 330, 73–118. [Google Scholar] [CrossRef]
- Koumou, G.B. Diversification and portfolio theory: A review. Financ. Mark. Portf. Manag. 2020, 34, 267–312. [Google Scholar] [CrossRef]
- Boudry, W.I.; Deroos, J.A.; Ukhov, A.D. Diversification benefits of reit preferred and common stock: New evidence from a utility-based framework. Real Estate Econ. 2020, 48, 240–293. [Google Scholar] [CrossRef]
- Stelk, S.J.; Zhou, J.; Anderson, R.I. REITs in a mixed-asset portfolio: An investigation of extreme risks. J. Altern. Invest. 2017, 20, 81–91. [Google Scholar] [CrossRef]
- Aljinovic, Z.; Marasović, B. Šestanović T. Cryptocurrency Portfolio Selection–A Multicriteria Approach. Mathematics 2021, 9, 1677. [Google Scholar] [CrossRef]
- Briere, M.; Oosterlinck, K.; Szafarz, A.P. Virtual currency, tangible return: Portfolio diversification with bitcoin. J. Asset Manag. 2015, 16, 365–373. [Google Scholar] [CrossRef]
- Maghsoodi, A.I. Cryptocurrency portfolio allocation using a novel hybrid and predictive big data decision support system. Omega 2023, 115, 102787. [Google Scholar] [CrossRef]
- Milunovich, G. Cryptocurrencies, mainstream asset classes and risk factors: A study of connectedness. Aust. Econ. Rev. 2018, 51, 551–563. [Google Scholar] [CrossRef]
- Korteweg, A.; Kraeussl, R.; Verwijmeren, P. Does it Pay to Invest in Art? A Selection-Corrected Returns Perspective. Rev. Financ. Stud. 2015, 29, 1007–1038. [Google Scholar] [CrossRef]
- Renneboog, L.; Spaenjers, C. Buying beauty: On prices and returns in the art market. Manag. Sci. 2013, 59, 36–53. [Google Scholar] [CrossRef]
- Li, B.; Zhang, R.; Sun, Y. Multi-period portfolio selection based on uncertainty theory with bankruptcy control and liquidity. Automatica 2023, 147, 110751. [Google Scholar] [CrossRef]
- Lu, S.; Zhang, N.; Jia, L. A multiobjective multiperiod mean-semientropy-skewness model for uncertain portfolio selection. Appl. Intell. 2021, 51, 5233–5258. [Google Scholar] [CrossRef]
- Vieira, E.B.F.; Filomena, T.P. Liquidity Constraints for Portfolio Selection Based on Financial Volume. Comput. Econ. 2020, 56, 1055–1077. [Google Scholar] [CrossRef]
- Platanakis, E.; Sakkas, A.; Suthcliffe, C. Should investors include Bitcoin in their portfolios? A portfolio theory approach. Br. Account. Rev. 2020, 52, 100837. [Google Scholar] [CrossRef]
- Platanakis, E.; Urquhart, A. Harmful diversification: Evidence from alternative investments. Br. Account. Rev. 2019, 51, 1–23. [Google Scholar] [CrossRef]
- Trimborn, S.; Li, M.; Härdle, W.K. Investing with Cryptocurrencies—A Liquidity Constrained Investment Approach. J. Financ. Econom. 2020, 18, 280–306. [Google Scholar] [CrossRef]
- Sharpe, W.F. Capital Asset Prices: A Theory of Market Equilibrium under Conditions of Risk. J. Financ. 1964, 19, 425–442. [Google Scholar]
- Lintner, J. The Valuation of Risk Assets and the Selection of Risky Investments in Stock Portfolios and Capital Budgets. Rev. Econ. Stat. 1965, 47, 13–37. [Google Scholar] [CrossRef]
- Acharya, V.V.; Pedersen, L.H. Asset pricing with liquidity risk. J. Financ. Econ. 2005, 77, 375–410. [Google Scholar] [CrossRef]
- Brennan, M.J.; Chordia, T.; Subrahmanyam, A. Alternative factor specifications, security characteristics, and the cross-section of expected stock returns. J. Financ. Econ. 1998, 49, 345–373. [Google Scholar] [CrossRef]
- Jacoby, G.; Fowler, D.J.; Gottesman, A.A. The capital asset pricing model and the liquidity effect: A theoretical approach. J. Financ. Mark. 2000, 3, 69–81. [Google Scholar] [CrossRef]
- Pástor, L.; Stambaugh, R.F. Liquidity Risk and Expected Stock Returns. J. Political Econ. 2003, 111, 642–685. [Google Scholar] [CrossRef]
- Altay, E.; Calgici, S. Liquidity adjusted capital asset pricing model in an emerging market: Liquidity risk in Borsa Istanbul. Borsa Istanb. Rev. 2019, 19, 297–309. [Google Scholar] [CrossRef]
- Liu, W.; Luo, D.; Zhao, H. Transaction costs, liquidity risk, and the CCAPM. J. Bank. Financ. 2016, 63, 126–145. [Google Scholar] [CrossRef]
- Ma, X.; Zhang, X.; Liu, W. Further tests of asset pricing models: Liquidity risk matters. Econ. Model. 2021, 95, 255–273. [Google Scholar] [CrossRef]
- Minovic, J.; Zivkovic, B. CAPM augmented with liquidity and size premium in the Croatian stock market. Econ. Res.-Ekon. Istraživanja 2014, 27, 191–206. [Google Scholar] [CrossRef][Green Version]
- Zhang, Y.; Li, X.; Guo, S. Portfolio selection problems with Markowitz’s mean–variance framework: A review of literature. Fuzzy Optim. Decis. Mak. 2018, 17, 125–158. [Google Scholar] [CrossRef]
- Milhomem, D.A.; Pereira Dantas, M.J. Analysis of New Approaches Used in Portfolio Optimization: A Systematic Literature Review. In Evolutionary and Memetic Computing for Project Portfolio Selection and Scheduling. Adaptation, Learning, and Optimization; Harrison, K.R., Elsayed, S., Garanovich, I.L., Weir, T., Boswell, S.G., Sarker, R.A., Eds.; Springer: Cham, Switzerland, 2022; Volume 26. [Google Scholar]
- Naccarato, A.; Pierini, A.; Ferraro, G. Markowitz portfolio optimization through pairs trading cointegrated strategy in long-term investment. Ann. Oper. Res. 2021, 229, 81–99. [Google Scholar] [CrossRef]
- Salo, A.; Doumpos, M.; Liesiö, J.; Zopounidis, C. Fifty years of portfolio optimization. Eur. J. Oper. Res. 2024, 318, 1–18. [Google Scholar] [CrossRef]
- Abensur, E.O.; de Carvalho, W.P. Improving portfolio selection by balancing liquidity-risk-return: Evidence from stock markets. Theor. Econ. Lett. 2022, 12, 479–497. [Google Scholar] [CrossRef]
- Boyd, S.; Johansson, K.; Kahn, R.; Schiele, P.; Schmelzer, T. Markowitz Portfolio Construction at Seventy. arXiv 2024, arXiv:2401.05080. [Google Scholar]
- Sexauer, S.C.; Siegel, L.B. Harry Markowitz and the philosopher’s stone. Financ. Anal. J. 2024, 80, 1–11. [Google Scholar] [CrossRef]
- Bae, K.; Kim, D. Liquidity risk and exchange-traded fund returns, variances, and tracking errors. J. Financ. Econ. 2020, 138, 222–253. [Google Scholar] [CrossRef]
- Valle, C.A.; Meade, N.; Beasley, J.E. An optimisation approach to constructing an exchange-traded fund. Optim. Lett. 2015, 9, 635–661. [Google Scholar] [CrossRef]
- Tang, M.L.; Wu, F.Y.; Hung, M.C. Multi-asset allocation of exchange traded funds: Application of Black-Litterman model. Invest. Anal. J. 2021, 50, 273–293. [Google Scholar] [CrossRef]
- Zhao, Y.; Stasinakis, C.; Sermpinis, G.; Shi, Y. Neural network copula portfolio optimization for exchange traded funds. Quant. Financ. 2018, 18, 761–775. [Google Scholar] [CrossRef]
- Goyenko, R.Y.; Holden, C.W.; Trzcinka, C.A. Do liquidity measures measure liquidity? J. Financ. Econ. 2009, 92, 153–181. [Google Scholar] [CrossRef]
- Ametefe, F.; Devaney, S.; Marcato, G. Liquidity: A Review of Dimensions, Causes, Measures, and Empirical Applications in Real Estate Markets. J. Real Estate Lit. 2020, 24, 1–29. [Google Scholar] [CrossRef]
- Brauneis, A.; Mestel, R.; Riordan, R.; Theissen, E. How to measure the liquidity of cryptocurrency markets? J. Bank. Financ. 2021, 124, 106041. [Google Scholar] [CrossRef]
- Kyle, A.S.; Obizhaeva, A.A. Market microstructure invariance: Empirical hypotheses. Econometrica 2016, 84, 1345–1404. [Google Scholar] [CrossRef]
- Olivieri, A.; Pitacco, E. Introduction to Insurance Mathematics. Technical and Financial Features of Risk Transfer; Springer: Berlin/Heidelberg, Germany, 2015. [Google Scholar]
- Bertsekas, E. Nonlinear Programming, 3rd ed.; Athena Scientific: Belmont, MA, USA, 2016. [Google Scholar]
- Fiacco, A.V.; Ishizuka, Y. Sensitivity and stability analysis for nonlinear programming. Ann. Oper. Res. 1990, 27, 215–235. [Google Scholar] [CrossRef]
- Stechlinski, P.; Jäschke, J.; Barton, P.I. Generalized sensitivity analysis of nonlinear programs using a sequence of quadratic programs. Optimization 2018, 68, 485–508. [Google Scholar] [CrossRef]
- Sydsaeter, K.; Hammond, P.; Seierstad, A.; Strom, A. Further Mathematics for Economic Analysis; Prentice Hall, Pearson Education Ltd.: Harlow, UK, 2005. [Google Scholar]
- MSCI. Global Industry Classification Standard (GICS®) Methodology. Guidining Principles and Methodology for GICS; MSCI: Frankfurt am Main, Germany, 2023. [Google Scholar]
Disclaimer/Publisher’s Note: The statements, opinions and data contained in all publications are solely those of the individual author(s) and contributor(s) and not of MDPI and/or the editor(s). MDPI and/or the editor(s) disclaim responsibility for any injury to people or property resulting from any ideas, methods, instructions or products referred to in the content. |
© 2024 by the authors. Licensee MDPI, Basel, Switzerland. This article is an open access article distributed under the terms and conditions of the Creative Commons Attribution (CC BY) license (https://creativecommons.org/licenses/by/4.0/).