Next Article in Journal
Verification of Current-State Opacity in Discrete Event Systems by Using Basis Coverability Graphs
Next Article in Special Issue
Design of Distributed Interval Observers for Multiple Euler–Lagrange Systems
Previous Article in Journal
Nonlinear Techniques and Ridge Regression as a Combined Approach: Carcinoma Identification Case Study
Previous Article in Special Issue
Motion Synchronization Control for a Large Civil Aircraft’s Hybrid Actuation System Using Fuzzy Logic-Based Control Techniques
 
 
Font Type:
Arial Georgia Verdana
Font Size:
Aa Aa Aa
Line Spacing:
Column Width:
Background:
Article

Development of Slime Mold Optimizer with Application for Tuning Cascaded PD-PI Controller to Enhance Frequency Stability in Power Systems

1
Electrical Engineering Department, Jazan University, Jazan 45142, Saudi Arabia
2
Ecole Nationale d’Ingénieurs de Sfax, ENIS, Sfax 3038, Tunisia
3
College of Engineering and Technology, American University of the Middle East, Egaila 54200, Kuwait
4
Electrical Engineering Department, Engineering and Information Technology College, Buraydah Private Colleges, Buraydah 51418, Saudi Arabia
5
Electrical Power Engineering Department, Faculty of Engineering, Cairo University, Giza 12613, Egypt
6
Department of Electrical Power Engineering, Faculty of Engineering, Suez University, Suez 43533, Egypt
7
Electrical Engineering Department, Suez Canal University, Ismailia 41522, Egypt
8
Reactors Department, Nuclear Research Center, Egyptian Atomic Energy Authority, Cairo 11787, Egypt
9
Electrical Power Systems Department, National Research University “MPEI”, 111250 Moscow, Russia
*
Authors to whom correspondence should be addressed.
Mathematics 2023, 11(8), 1796; https://doi.org/10.3390/math11081796
Submission received: 28 February 2023 / Revised: 2 April 2023 / Accepted: 7 April 2023 / Published: 10 April 2023
(This article belongs to the Special Issue Advanced Control Theory with Applications)

Abstract

Multi-area power systems (MAPSs) are highly complex non-linear systems facing a fundamental issue in real-world engineering problems called frequency stability problems (FSP). This paper develops an enhanced slime mold optimization algorithm (ESMOA) to optimize the tuning parameters for a cascaded proportional derivative-proportional integral (PD-PI) controller. The novel ESMOA proposal includes a new system that combines basic SMO, chaotic dynamics, and an elite group. The motion update incorporates the chaotic technique, and the exploitation procedure is enhanced by searching for a select group rather than merely the best solution overall. The proposed cascaded PD-PI controller based on the ESMOA is employed for solving the FSP in MAPSs with two area non-reheat thermal systems to keep the balance between the electrical power load and the generation and provide power system security, reliability, and quality. The proposed cascaded PD-PI controller based on the ESMOA is evaluated using time domain simulation to minimize the integral time-multiplied absolute error (ITAE). It is evaluated in four different test situations with various sets of perturbations. For tuning the cascaded PD-PI controller, the proposed ESMOA is compared to the golden search optimizer (GSO) and circle optimizer (CO), where the proposed ESMOA provides the best performance. Furthermore, the findings of the proposed cascaded PD-PI controller based on the ESMOA outperform previous published PID and PI controllers adjusted using numerous contemporary techniques.

1. Introduction

A continuous production of electrical energy, supplied by power-generating plants, has grown into a requirement for modernized life and the industrial progress of countries. A stable power network can endure interruptions, fluctuations, and changing consumer needs. If the electrical network becomes unstable, load shedding might be activated, leading to blackouts in the worst-case scenario. Loads in electrical networks are particularly uncertain and variable due to changes in load demand, which causes the network frequency and tie-line transfer power to deviate from the nominal levels [1,2]. Power networks are typically integrated with several power-generating areas to deliver electricity to high-demand zones. A disruption in one location may impact the other related power systems [3]. The primary purpose of multi-area power systems (MAPSs) aims at balancing supply and connected loads, which is an important challenge to managing the continual growth in demand and the peculiarities of the MAPSs system, which incorporates a diversity of power station types [4]. As a result, a power network operator’s primary priority is maintaining the frequency of a power system. Area generation control (AGC) can be designed to restore the system to its steady state by regulating the generator output power and preserving a balance between power production and load requirements [5,6]. This problem becomes more and more critical with the integration of renewable sources [7], flexible alternating current devices [8], high voltage direct current grids [9], batteries [10], automatic voltage regulators [11], etc.
In MAPSs, frequency stability or load frequency control (LFC) is the process that keeps the frequency inside nominal boundaries when the load demand changes. LFC is critical to power system stability because it preserves power balancing across linked regions despite varying loading situations. When the system’s loading surpasses or drops short of the generator’s power, the system’s frequency will become unbalanced and surpass the threshold limitations. An automatic control action is performed to preserve the nominal frequency by initiating load shedding or activating protection relays that disconnect generators from the network [12,13]. The frequency of undershoots, overshoots, and settling time must be maintained at a minimum to guarantee dependable power system operation, which may be accomplished by installing external controllers [14].
Over many years, there have been substantial efforts to run numerous optimization techniques to improve the controllers’ configurations, while metaheuristic approaches may manage technological obstacles, including complexity, non-linearities, and uncertainties. As a result, the genetic algorithm (GA) was utilized to improve the settings of AGC in a two-area power network having non-reheat thermal generating plants [15]. Although the GA seems relatively robust owing to a more significant standard error of the derived fitness scores, it has been integrated with the Taguchi approach to design the employed AGC via optimally estimating the corresponding gains [15]. In [16], a particle swarm optimization (PSO) containing a constricting component and a craziness-based PSO were utilized to improve the undershoot, overshoot, and settling time of transient response. Furthermore, the differential evolution (DE) approach was employed to update the PI controller in a connected power system to overcome the frequency stability issue [17]. In [18], a flower pollination optimization algorithm (FPOA) was performed in MAPSs to design a proportional-integral-derivative (PID) controller that makes use of spontaneous flower pollinating types. A bacterial foraging method was integrated PSO-dependent on the PI controller for handling the LFC of interconnected MAPSs under standard and customized fitness functions, including two regions of non-reheat thermal systems [19]. In [20], an adaptive sliding mode control mechanism was developed and used for the LFC to withstand unmodeled dynamics, parametric fluctuation, and external disturbances. It also reduces chattering and is used in the LFC regulation based on the power system’s diverse areas. Ref. [21] describes grey wolf optimizing implementations for AGC in three MAPSs with and without solar thermal power plants. Furthermore, in [22], the cuckoo search approach was used to solve the LFC problem in three-area connected systems by optimizing the PI controller and the integral plus the double derivative controller based on two degrees of freedom [23].
In [24], a self-adapted multi-population elitist (SAMPE) JAYA compared the optimizing method that was developed for PID controller design as an upgraded JAYA variant to control the LFC in connected two non-reheat thermal MAPSs optimally. In a two-area connected MAPS, a PID controller based on the optimization approach was used to minimize a single-objective target, including numerous ITAE performance indicators [25]. A teaching learning-based optimizing technique was utilized to adequately design a fuzzy PID controller to manage the undershoot, overshoot, and settling time [26]. Ref. [27] combines an advanced type II fuzzified PID controller with a water cycle algorithm (WCA) and applies it to a MAPS with generation rate limits. To tackle LFC regulation in MAPSs, Ref. [28] created a cascaded PI-PI and PD with filter-PI utilizing the coyote optimization technique. In [29], the bees optimization approach (BOA) was used to optimize the settings of a fuzzed PID comprising a derivative filter, which was then applied to a dual area-linked power system. In [30], a gravitational search method was combined with the firefly optimizing technique to enhance controller setting adjustment and was used in a two-area hydrothermal power system. In [31], the arithmetic optimization approach (AOA) was used to fine-tune a fuzzy-PID controller while accounting for the influence of the high voltage direct current link to overcome the drawbacks of AC transmission.
The slime mold optimization algorithm (SMOA) is an evolutionary approach generated by the propagating and foraging behavior of slime mold, which was reported in 2020 by Li et al. [27]. The SMOA features a distinctive conceptual model, highly efficient outcomes, a gradient-free and simple coding structure that mimics the positive and negative feedbacks of slime mold propagating waves. It is effectively employed for a variety of practical and industrial optimization problems, including engineering design problems [31], load estimation of water resources [30], parameter estimations of fuel cells [29], parameter identification of photovoltaic modules [32,33], optimal power flow [34,35], and emission economic dispatch [36]. The SMOA still has some drawbacks, including low computing accuracy and a premature convergence speed on selected benchmark problems [30]. As a result, in this research, an ESMOA is presented for addressing engineering issues using chaotic dynamics and an elite group. The suggested ESMOA makes two changes to the conventional SMOA to improve its performance. Initially, an elite group is established to save the best solutions for every repetition to improve the exploitative-seeking tactic. Secondly, to improve the exploratory seeking tactic, a logistic mapping with a chaotic tendency is devised to improve the search in extremely random environments. To address the FSP of MAPSs, a cascaded PD-PI controller is optimized utilizing an upgraded ESMOA with two area non-reheat thermal systems. It is evaluated to minimize the ITAE using time domain simulation. The proposed cascaded PD-PI controller based on the ESMOA is evaluated in four test situations with various sets of perturbations. The proposed ESMOA is compared to the golden search optimizer (GSO) [37] and circle optimizer (CO) [38] for adjusting the cascaded PD-PI controller, with the suggested ESMOA providing the best performance. Furthermore, the suggested cascaded PD-PI controller based on the ESMOA outperforms previously reported PID and PI controllers modified with various modern approaches. The following are the primary contributions proposed in this paper:
The frequency stability of MAPSs is addressed via an innovative cascaded PD-PI controller via ESMOA.
With SMOA, an elite group and chaotic logistic mapping emerge to produce a novel ESMOA with better performance than recent GSO and CO algorithms.
The ESMOA has more reliability than contemporary GSO and CO algorithms in designing the cascaded PD-PI controller.
The proposed PD-PI controller based on the ESMOA outperforms previously reported PID and PI controllers using modern methods.
The following is the structure of the presented article. Section 2 describes the proposed cascaded PD-PI controller and the FSP of MAPSs. Section 3 offers the proposed ESMOA and its stages. Section 4 includes the results and discussion, and Section 5 shows the conclusions.

2. Problem Formulation

MAPS Model

In this study, the MAPS includes two non-reheat thermal turbine generators and employs the proposed cascaded PD-PI controller based on the ESMOA in each area, as depicted in Figure 1. As shown, for each area, the key components are the speed-regulating device, turbine, and generator, as mentioned in Refs. [39,40]. The change in the power demands (∆PD1 and ∆PD2), the change in the tie-line power transfer (∆PTIE), and the governor controller signals (u1 and u2) handle the inputs. At the same time, the frequency deviations in each area (∆f1 and ∆f2) and the control errors (ACE1 and ACE2) represent the outputs [25]. ∆Pg is the change (per unit (p.u)) in the governor valve position; ∆Pt represents the power changes (p.u) in turbine output; T12 refers to the synchronized coefficient between the two areas; ∆f indicates the frequency change (Hz) in the power system; B indicates the frequency bias; and R refers to the governor speed droop characteristics. In Figure 1, Tg1, Tg2, Tt1, Tt2, TP1, and TP2 indicate the time constants (in a sec) of the governor, the turbine, and the power system, respectively, of both areas. KP1 and KP2 are the power system gains of the two areas, respectively. R1 and R2 represent the governor speed regulation constants.
The input signals to the controllers are the respective area control errors (ACE1 and ACE2) from
A C E 1 = Δ P T I E + B 1 × Δ f 1
A C E 2 = a 12 × Δ P T I E + B 2 × Δ f 2
With two control loops, the cascaded controller prevents perturbation from expanding to adjacent system parts [41]. As illustrated in Figure 2, the cascaded controller has two control loops (master and slave). The master one represents the outer loop. It contains the process output y(s) that will be influenced by the master control. The load disturbance ∆PD(s) influences the power system GPS(s) gain, indicating the outer process.
Figure 1. Block diagram for a two-area power system model [25,42].
Figure 1. Block diagram for a two-area power system model [25,42].
Mathematics 11 01796 g001
Figure 2. Proposed cascaded PD-PI controller. (a) Detailed cascaded PD-PI controller. (b) Cascaded PD-PI controller integration with the non-reheat thermal turbine generators and power system.
Figure 2. Proposed cascaded PD-PI controller. (a) Detailed cascaded PD-PI controller. (b) Cascaded PD-PI controller integration with the non-reheat thermal turbine generators and power system.
Mathematics 11 01796 g002
The master loop formula is as follows:
y ( s ) = G P S ( s ) × O 1 ( s ) + Δ P D ( s )
where O1(s) is the incoming signal to GPS(s), which is also y2(s) as the process output of the slave loop. CPD(s) is the outer loop controller responsible for y(s) in order to obtain F(s) which is the reference signal. The slave, or inner loop, represents the internal process gain GTH(s). It can be mathematically defined as follows:
y 2 ( s ) = G T H ( s ) × O 2 ( s )
where O2(s) denotes the internal process’s input signal. The inner loop controller is known as CPI(s). That loop considers the impact of the internal process’s gain adjustments.
The cascade controller’s whole transfer function may be represented as follows:
y ( s ) = T F 1 ( s ) × F ( s ) T F 2 ( s ) × Δ P D ( s )
T F 1 ( s ) = G P S ( s ) G T H ( s ) C P D ( s ) C P I ( s ) 1 + G T H ( s ) C P I ( s ) + G P S ( s ) G T H ( s ) C P D ( s ) C P I ( s )
T F 2 ( s ) = G P S ( s ) 1 + G T H ( s ) C P I ( s ) + G P S ( s ) G T H ( s ) C P D ( s ) C P I ( s )
As a result, the goal function (OF) is used to disclose the system’s needs and constraints to build the proposed cascaded PD-PI controller as effectively as is feasible. Under normal conditions, each area would follow its load, and in the event of a load interruption, the power exchange between areas would be swiftly recovered to its intended value. A time-domain objective function is adjusted utilizing integral criteria as follows:
O F = I T A E = 0 t s i m Δ f 1 + Δ f 2 + Δ P T I E × t × d t
Furthermore, OF can be readily upgraded to minimize the peak overshoots of frequency fluctuations across each area and in tie-line power transmission. This adaptation evolves due to attaining a suitable damping ratio to offer a specific degree of stability [43]. The problem constraints are the boundaries of the controller component settings. Thus, the design task could be represented as the following optimization aspect.
M i n   O F
Subject to
For the proposed cascaded PD-PI controller,
K p 1 A r e a , M i n K p 1 A r e a K p 1 A r e a , M a x , A r e a = 1   o r   2
K d A r e a , M i n K d A r e a K d A r e a , M a x , A r e a = 1   o r   2
K p 2 A r e a , M i n K p 2 A r e a K p 2 A r e a , M a x , A r e a = 1   o r   2
K i A r e a , M i n K i A r e a K i A r e a , M a x , A r e a = 1   o r   2
n A r e a , M i n n A r e a n A r e a , M a x , A r e a = 1   o r   2
The subscripts “min” and “max” represent each region’s lowest and highest quantities of each control variable. The comparative amounts are set to be 0 and 3, and the filter parameter n is between 0 and 500 [43].

3. Enhanced Slime Mold Optimization Algorithm

The SMOA offers a unique computing approach that uses dynamic weighting to mimic the mechanisms that cause positive and negative reactions in the slime mold propagating waves to form the optimum path for attaching food [27,34]. The SMOA population is initially generated in the space with dimension (d):
V k ( 0 ) = V min + r a n d ( 0 , 1 ) · V max V min k = 1 : N K
where Vmin and Vmax represent the minimum and maximum bounds of everyone’s control variable, and NK is the number of individuals in the population.
Considering that slime mold could follow food based on the fragrance in the air, this behavior may be expressed as follows:
V k ( t + 1 ) = V b ( t ) + υ 1 × ( W × V r 1 ( t ) V r 2 ( t ) ) P v > r υ 2 × V k ( t ) P v r k = 1 : N K
where t represents the current iteration, Vk represents the slime mold position, Vb represents the place having the highest smell concentrations, and Vr1 and Vr2 represent two options picked randomly within the population. The slime mold selection behavior is represented by two components, υ1, and υ2, where υ2 decreases linearly from 1 to 0. W is the searching agent’s weight, whereas r is a randomized number between [0, 1]. The Pv formula looks like this:
P v = tanh O F ( k ) O F B k = 1 : N K
where OF(k) is the current individual’s objective rating, OFB is the finest global objective value across the iterations, and υ1: can be represented as follows:
υ 1 = [ arctanh 1 2 M T , arctanh 1 2 M T ]
where MT is the maximal length of iterations. The weight W is as follows:
W ( I n d s m ( k ) ) = 1 + r · log O F B O F ( k ) O F B O F W + 1 , c o n d i t i o n 1 + r · log O F B O F ( k ) O F B O F W + 1 , o t h e r s k = 1 : N K
The first part of the population is represented by condition, while r provides a stochastic number between [0, 1]. OFW is the worst objective value obtained in the current iteration, and Indsm denotes the sorted sequence of objective scores as follows:
I n d s m = s o r t ( O F )
The second step numerically simulates slime mold venous tissue organization contraction during seeking. The slime mold’s seeking activities might vary depending on the kind of food it consumes. The specific technique for altering the placement of the slime mold consists of the following:
V k ( t + 1 ) = V min + r a n d ( 0 , 1 ) × V max V min V b ( I t ) + υ 1 × W × V r 1 ( t ) V r 2 ( t ) υ 2 × V k ( t ) r a n d < z P v > r P v r
where rand and r represent arbitrary numbers between 0 and 1. z represents a factor that defines how effectively a matching mechanism would investigate and utilize data, with different values employed depending on the scenario.
Two adjustments have enhanced the SMOA’s performance. An enhanced version (ESMOA) with chaotic dynamics and an elite group is used to increase the effectiveness of the original SMOA. An elite group of five members is constructed and refreshed to save the four finest members in every iteration to improve the exploitative seeking function, in addition to the average individual, as follows:
V k ( t + 1 ) = V E l i t e ( t ) + υ 1 × W × V r 1 ( t ) V r 2 ( t ) i f   P v > r
where   V E l i t e ( t ) = r a n d [ V b 1 ; V b 2 ; V b 3 ; V b 4 ; V A v g ]
As a result, the exploitative-seeking mode is permitted in various desired directions. A logistic mapping with a chaotic tendency is additionally intended to promote the search in a strongly random environment to improve the exploratory seeking characteristic [44]. Depending on it, the chaotic logistic mapping produces a generated vector (Cm) as follows:
C m k ( t + 1 ) = 4 C m k ( t ) ( C m k ( t ) 1 ) )
where   C m ( 0 ) = r a n d ( 1 , dim )
According to this approach, that vector is built in each cycle for each control variable. As a result, the standard SMOA upgrading technique has been changed, and the slime mold’s new locations have been modified as follows:
V k ( t + 1 ) = V min + r a n d ( 0 , 1 ) × V max V min Y E l i t i s t ( t ) + υ 1 × V r 2 ( t ) + W × V r 1 ( t ) C m k × υ 2 × V k ( t ) r a n d < z Pr > r Pr r
Figure 3 depicts the proposed ESMOA’s key phases centered on chaotic dynamics and an elite group algorithm.

4. Simulation Results and Discussions

This section is divided into two sections. Section 4.1 explores several applications of the proposed ESMOA on different numerical benchmarks compared to the original version of the SMOA. Additionally, the GSO and CO are applied at the same base for examining the comparison with recently applied techniques. Section 4.2 explores the applicability of the proposed ESMOA for the optimal design of cascaded PD-PI controllers for enhancing frequency stability in multi-area power systems.

4.1. Applications on Different Numerical Benchmarks

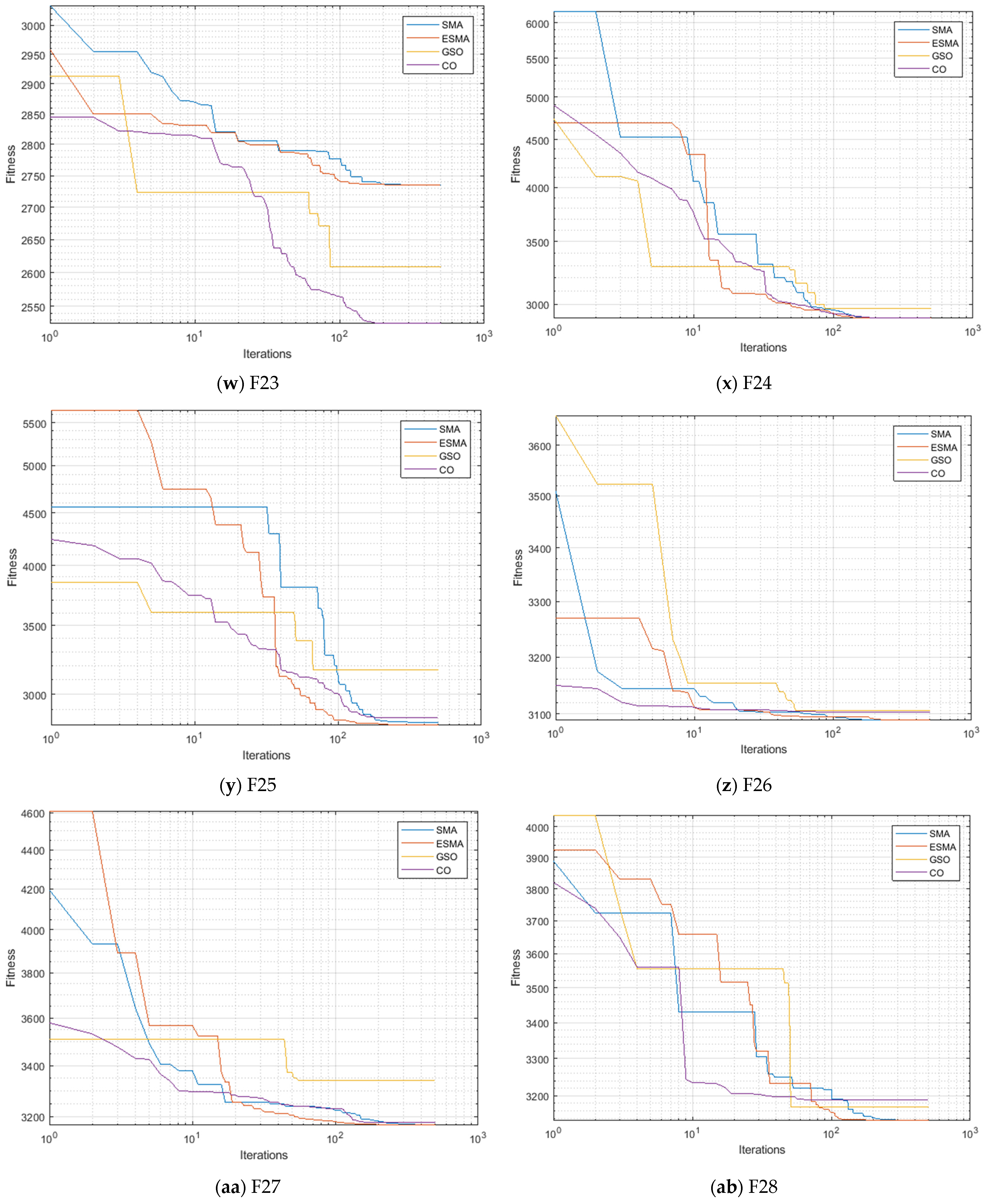
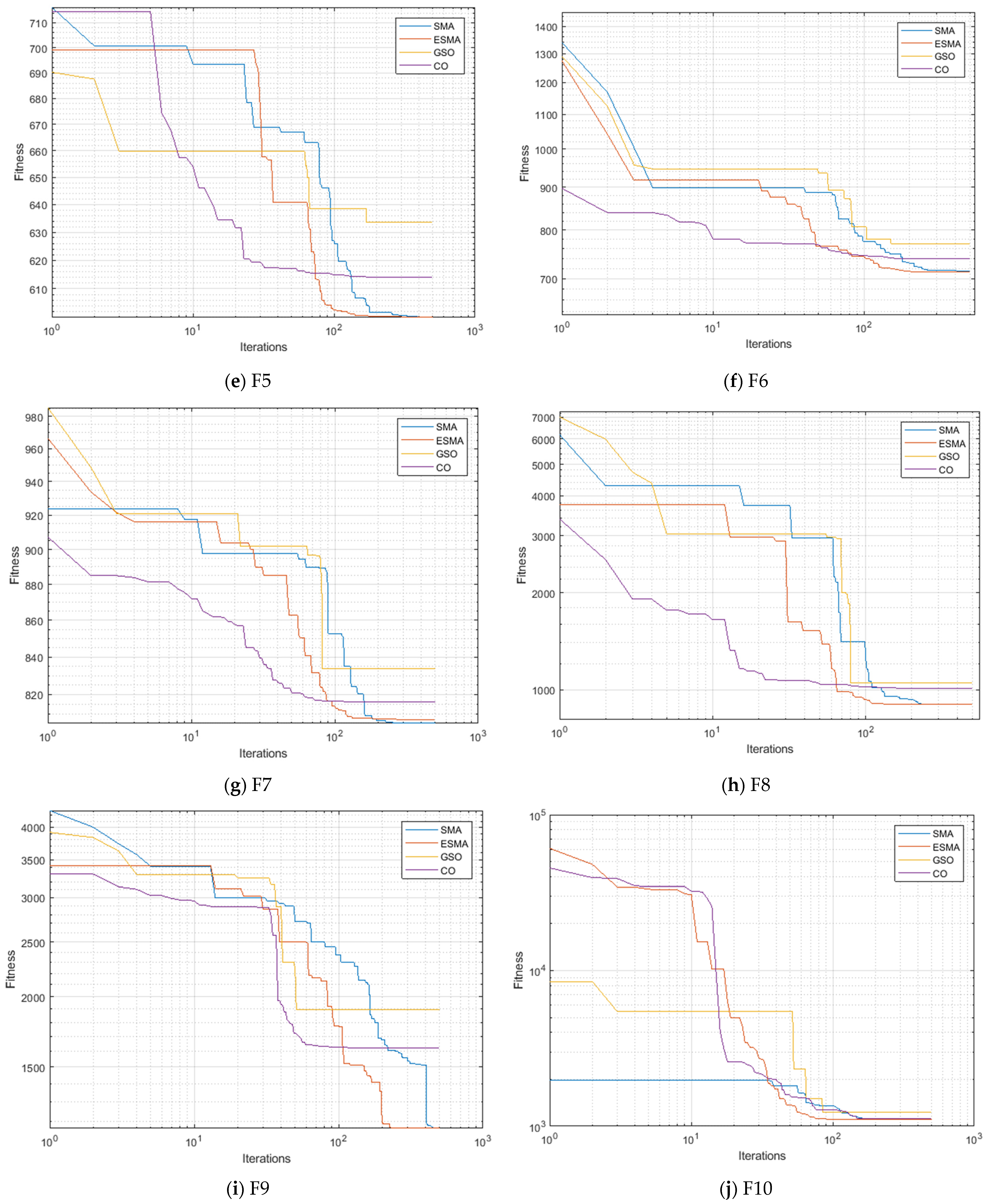
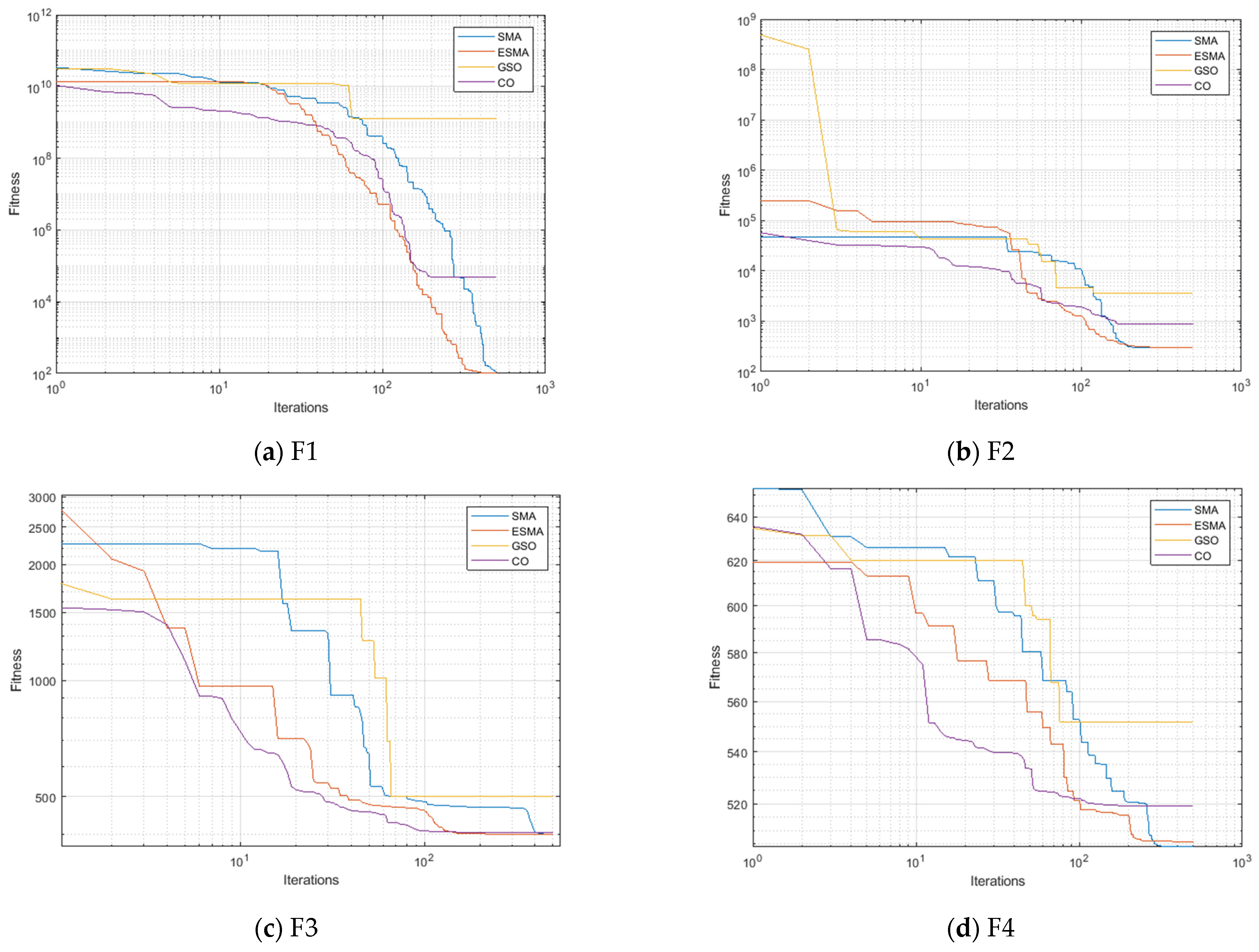
At first, the proposed ESMOA, the original version of SMOA, GSO, and CO are applied to several applications of the different numerical benchmarks. Because of its incredible complexity, CEC’17 is regarded as a problematic testbed and is, thus, used to evaluate the quality of the suggested ESMOA. The suggested ESMOA is tried on CEC’17 functions with ten dimensions. The CEC’17 test suite consists of 28 standard functions, with F2 removed [45]. It consists of four groups of functions: unimodal (F1 and F3), multi-modal (F4–F10), hybrid (F11–F20), and combination functions. (F21–F29). The capacity to escape local areas is evaluated using multi-modal functions. While composite functions approximating real-world optimization problems with highly dynamic search spaces are used to explore the trade-off regarding the search algorithms’ exploitation and exploratory skills. The comparative algorithms are applied with 30 search agents and 500 iterations to guarantee fair comparison. Their convergence features for the 28 benchmark functions are displayed in Figure 4, while their outcomes are tabulated in Table 1 and Table 2, respectively, in terms of the best, mean, worst, and standard deviations.
From both tables, the proposed ESMOA shows great effectiveness and robustness over the original SMOA, GSO, and CO. Compared to the original SMOA, the proposed ESMOA shows superiority in 78.57%, 67.86%, 96.43%, and 96.43% of the benchmark functions regarding the best, mean, worst, and standard deviations of the obtained fitness. Compared to the GSO, the proposed ESMOA shows superiority in 92.86%, 100%, 100%, and 100% of the benchmark functions regarding the best, mean, worst, and standard deviations of the obtained fitness. Compared to the CO, the proposed ESMOA shows superiority in 96.43%, 100%, 100%, and 100% of the benchmark functions regarding the best, mean, worst, and standard deviations of the obtained fitness.

4.2. Applications for Enhancing Frequency Stability in Multi-Area Power Systems

In this part, the suggested ESMOA (Figure 3) is utilized to minimize the goal function of ITAE, which is specified in Equation (8). The GSO and CO procedures are also employed for comparison. The number of iterations is set to 100, while the number of search agents is 10. Four separate testing cases are run, each having distinct perturbations. The whole simulation process is carried out in MATLAB. The data from the understudied MAPSs are similar to those from the references [17,46]. All tests are run with the same number of function repetitions to provide a fair comparison of the competing approaches. As noted, four instances are explored based on the positioning of the step change:
  • Case 1: Step load disturbance only in area 1.
  • Case 2: Step load disturbance only in area 2.
  • Case 3: Step load disturbance in areas 1 and 2.
  • Case 4: Step load disturbance only in area 1 considering non-linearities in the power system.

4.2.1. Application for Case 1

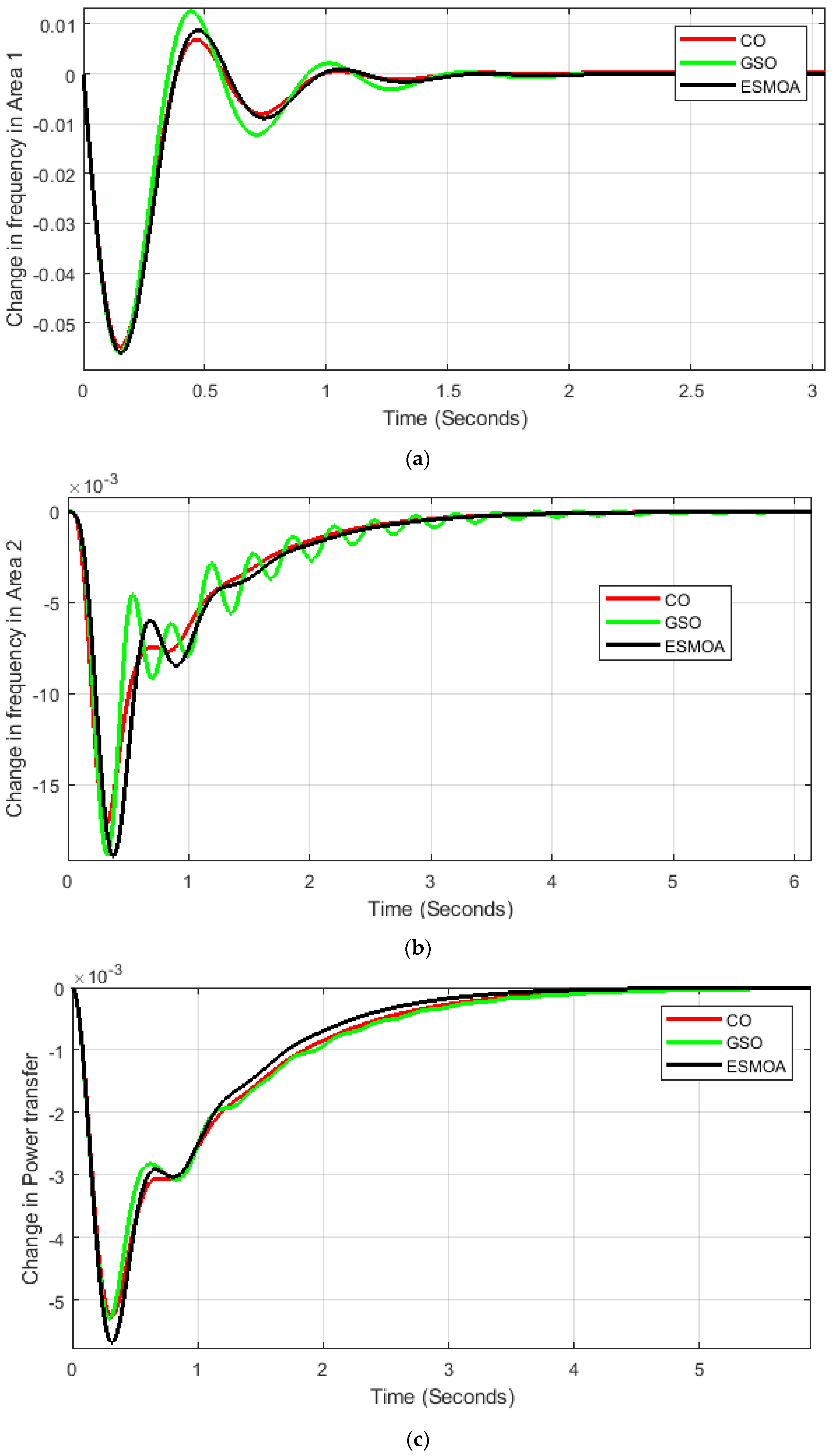
Area 2 remains unaltered in this case, but a 0.1 p.u step load augmentation hike in area 1 is assessed. The suggested ESMOA (Figure 3), GSO, and CO techniques are applied; Figure 5 shows the corresponding converging characteristics, and Table 3 summarizes the simulated data for the investigated ITAE minimizing approaches. The summarized data accompany the ITAE target scores and the related parameter settings of Kp1, Ki, Kp2, Kd, and n in each area. As shown, the proposed ESMOA achieves the lowest value regarding the ITAE objective of 0.023431, where GSO and CO obtain ITAE objective values of 0.023922 and 0.02677, respectively.
Figure 6 also shows the dynamic responses for frequency variations in each region and tie-line transfer power. As seen in Figure 6, the suggested ESMOA outperforms the CO and GSO in reducing the objective function. Even though the GSO algorithm delivers the quickest reaction when approaching the stable region, multiple oscillations are present, particularly in the frequency deviation in area 2.
From the reported results, the ESMOA algorithm gives a slightly smaller ITAE value (0.023431548) compared with that given by the GSO (0.026772795). The decreased amount represents 12.486% which declares a significant improvement percentage in this case. On the other side, as shown in Figure 6, the corresponding outputs are reasonably coincident regarding the change in frequency in area 1 (Figure 6a). However, slight improvement is shown in the change in frequency in area 2 (Figure 6b). At the same time, significant mitigation is declared regarding the change in power transfer between the two areas (Figure 6c).
Figure 7 depicts the assessed four measures of the lowest, mean, maximum, and standard deviation produced by ITAE throughout several independent operations to provide statistical comparability between CO, GSO, and the suggested ESMOA. This figure states the recommended ESMOA’s high efficacy and capability compared to CO and GSO. The suggested ESMOA is used to obtain the smallest measurements, as illustrated. It finds the smallest minimum, mean, maximum, and standard deviation with 0.023431548, 0.024266891, 0.02780845, and 0.001298062, respectively.
Table 4 contrasts the efficacy of the proposed ESMOA-based PD-PI controller with various previously published controlling methods concerning ITAE and settling time. As shown, the proposed ESMOA-based PD-PI controller obtains the minimum ITAE of 0.02343 where the conventional PI, PI-based-BFOA, PI-based-DE, PI-based-BFOA-PSO, PI-based-GA, PI-based-FA, PI-based-PSO, PID-based-ARA, PI-based-FA, CO-based PD-PI controller, and GSO-based PD-PI controller find 3.5795, 1.8379, 0.9911, 1.1865, 2.7475, 0.8695, 1.2142, 0.075401, 0.4714, 0.02392, and 0.02677, respectively. Regarding the lowest ITAE value, frequency settling time, and tie-line power variations, the proposed ESMOA-based PD-PI controller beats the other previously published optimization strategies, as shown in the table.

4.2.2. Application for Case 2

Area 1 remains unaltered in this case, but a 0.1 p.u step load augmentation hike in area 2 is assessed. The suggested ESMOA, GSO, and CO techniques are applied; Figure 8 shows the corresponding converging characteristics, and Table 5 summarizes the simulated data for the investigated ITAE minimizing approaches. The summarized data accompany the ITAE target scores and the related parameter settings of Kp1, Ki, Kp2, Kd, and n in each area. As shown, the proposed ESMOA achieves the lowest ITAE objective value of 0.023653, where CO and GSO obtain ITAE objective values of 0.023821 and 0.026281, respectively. Therefore, the suggested ESMOA improves the ITAE value by 10% compared to GSO and 0.71% compared to CO.
Figure 9 also shows the dynamic responses for frequency variations in each region and tie-line transfer power. As seen in Figure 9, the suggested ESMOA outperforms the CO and GSO in reducing the objective function. It provides the lowest settling times of 3.0999, 0.92, and 3.6663 s for the deviations in frequency in area 1, frequency in area 2, and transfer power, respectively. The CO algorithm obtains settling times of 3.1744, 1.3345, and 3.7474 s, while the GSO algorithm attains settling times of 3.5335, 1.5755, and 4.2202 s for the deviations in frequency in area 1, frequency in area 2, and transfer power, respectively.
For this case, Figure 10 depicts the assessed four measures of the lowest, mean, maximum, and standard deviation of the produced ITAE throughout several independent operations to provide statistical comparability between CO, GSO, and the suggested ESMOA. The suggested ESMOA is used to obtain the smallest measurements, as illustrated. It finds the smallest minimum, mean, maximum, and standard deviation with 0.023653, 0.02491, 0.027762, and 0.001483, respectively.
Table 6 contrasts the efficacy of the proposed ESMOA-based PD-PI controller with various previously published controlling methods concerning ITAE. As shown, the proposed ESMOA-based PD-PI controller obtains the minimum ITAE of 0.023653, while the conventional PID-based-PSO, PID-based-ARA, PID-based-JAYA, PI-based-DE, PID-based-SAMPE-JAYA, CO-based PD-PI controller, and GSO-based PD-PI controller find 0.0816, 0.075409, 0.078, 0.082, 0.077, 0.023821, and 0.026281, respectively.

4.2.3. Application for Case 3

In areas 1 and 2, a simultaneous 0.1 p.u. step load augmentation hike is assessed for this case. The suggested ESMOA, GSO, and CO techniques are applied; Figure 11 shows the corresponding converging characteristics, and Table 7 summarizes the simulated data for the investigated ITAE minimizing approaches. The summarized data accompany the ITAE target scores and the related parameter settings of Kp1, Ki, Kp2, Kd, and n in each area. As shown, the proposed ESMOA achieves the lowest ITAE objective value of 0.04428, while CO and GSO obtain ITAE objective values of 0.075148 and 0.08294, respectively. Therefore, the suggested ESMOA improves the ITAE value by 41.1% compared to GSO and 46.61% compared to CO.
Figure 12 also shows the dynamic responses for frequency variations in each region and tie-line transfer power. The suggested ESMOA outperforms the CO and GSO in reducing the objective function. It provides the lowest settling times of 2.5137, 1.5619, and 3.5789 s for the deviations in frequency in areas 1 and 2 and the transfer power, respectively. The CO algorithm obtains settling times of 3.62, 2.2824, and 5.2696 s. In contrast, the GSO algorithm attains settling times of 4.0042, 3.227, and 4.9151 s for the deviations in frequency in area 1, frequency in area 2, and transfer power, respectively.
For this case, Figure 13 depicts the assessed four measures of the lowest, mean, maximum, and standard deviation of the produced ITAE throughout several independent operations to provide statistical comparability between CO, GSO, and the suggested ESMOA. The suggested ESMOA is used to obtain the smallest measurements, as illustrated. It finds the smallest minimum, mean, maximum, and standard deviation with 0.044279, 0.04573, 0.04841, and 0.001272, respectively.
Table 8 contrasts the efficacy of the proposed ESMOA-based PD-PI controller with various previously published controlling methods concerning ITAE. As shown, the proposed ESMOA-based PD-PI controller obtains the minimum ITAE of 0.04428, where the conventional PID-based-PSO, PID-based-ARA, PID-based-JAYA, PI-based-DE, PID-based-SAMPE-JAYA, CO-based PD-PI controller, and GSO-based PD-PI controller find 0.2354, 0.146308, 0.2272, 0.2021, 0.1726, 0.075148, and 0.082937, respectively.
Then, the proposed ESMOA results obtained using the cascaded PD-PI controller are compared with the other reported results that use different types of controllers, namely, PI and PID. The parameters of the compared controllers were optimized in previous articles based on other recent algorithms which simulated several operating scenarios of the same power system model. Therefore, all the controllers are adequately designed with the best parameters. This point demonstrates that the presented cascaded PD-PI controller, designed based on the proposed ESMOA, outperforms the same controller based on the GSO and CO. Additionally, the presented cascaded PD-PI controller, designed based on the proposed ESMOA, outperforms the PI and PID controllers, which were designed based on other previous algorithms.

4.2.4. Application for Case 4 as Extension to Non-Linear Power System

To further show the effectiveness of the proposed ESMOA in handling the frequency stability in power systems, the developed ESMOA is applied in comparison to GSO and CO for tuning the presented cascaded PD-PI controller considering the non-linearities in the power system model. This study was expanded to involve any non-linearity which could exist in the power grid. The non-linear characteristic is illustrated in Figure 14 as well as in [47]. Instead of the linear model of the non-reheat turbine displayed in Figure 1, the actual physical limit on the response speed of a turbine determined by the generation rate constraint (GRC) effect (δ) is integrated with 0.05 in this model. This is to account for the GRC impact (i.e., the practical physical constraint on the response speed of a turbine).
At t = 0 s, a step load rise of 0.05 p.u. in area 1 is implemented for the above purpose. The proposed ESMOA, GSO, and CO methods are used, as shown in Figure 15, and Table 9 outlines the simulated data for the studied ITAE minimizing approaches. The summarized statistics are presented in addition to the ITAE goal scores and the associated parameter settings of Kp1, Ki, Kp2, Kd, and n in each area. According to the results, the suggested ESMOA has the lowest ITAE objective value of 0.225044, while CO and GSO have ITAE objective values of 0.230348 and 0.254536, respectively. As a result, the proposed ESMOA increases the ITAE value by 11.59% when compared to GSO and 2.31% when compared to CO.
For this case, Figure 16 depicts the assessed four measures of the lowest, mean, maximum, and standard deviation of the produced ITAE throughout several independent operations to provide statistical comparability between CO, GSO, and the suggested ESMOA. The suggested ESMOA is used to obtain the smallest measurements, as illustrated. It finds the smallest minimum, mean, maximum, and standard deviation with 0.225, 0.2314, 0.2375, and 0.0054, respectively.
Furthermore, the dynamic responses for frequency deviations in each area and tie-line power under ITAE are displayed in Figure 17. The proposed ESMOA provides better performances over CO and GSO in terms of settling times in frequency deviations and tie-line power deviations. From Figure 17a, that displays the deviation in frequency in area 1, the proposed ESMOA shows a rise time of 1.8143 × 10−4 s; settling time of 2.8403 s; and peak time of 1.0750 s. From Figure 17b, that displays the deviation in frequency in area 2, the proposed ESMOA records the minimum settling time of 2.7745 s, while the CO and GSO record settling times of 2.9972 and 3.3071 s. Additionally, the proposed ESMOA achieves the least peak time of 1.0232 s as shown in Figure 17c, that displays the deviation in power transfer between the two areas, while the CO and GSO record peak times of 1.0482 and 0.0383 s.
Table 10 contrasts the efficacy of the proposed ESMOA-based PD-PI controller with various previously published controlling methods concerning ITAE. As shown, the proposed ESMOA-based PD-PI controller obtains the minimum ITAE of 0.225044, while the conventional PID, PID-based-GA, PID-based-BFOA, PID-based-FA, PID-based-hybrid FA and pattern search, CO-based PD-PI controller, and GSO-based PD-PI controller find 0.604, 0.5513, 0.4788, 0.324, 0.2782, 0.230348, and 0.25436, respectively.

5. Conclusions

This paper presents a cascaded PD-PI controller optimized using an improved ESMOA, which includes a chaotic dynamic and an elite group. The suggested cascaded PD-PI controller based on the ESMOA solves the FSP in MAPSs with two area non-reheat thermal systems. The motion update incorporates the chaotic technique, and the exploitation procedure is enhanced by searching for an elite group rather than merely the best solution overall. The proposed ESMOA is assessed compared to GSO and CO for designing the cascaded PD-PI controller. The proposed ESMOA provides the best performance. For load perturbation in area 1, the proposed ESMOA improves the ITAE value by 12.48% and 2.0521% compared to GSO and CO, respectively. For load perturbation in area 2, the proposed ESMOA enhances the ITAE value by 10% and 0.71% compared to GSO and CO, respectively. For simultaneous load perturbation in areas 1 and 2, the suggested ESMOA improves the ITAE value by 41.1% and 46.61% compared to GSO and CO, respectively. Additionally, the proposed ESMOA shows higher robustness than CO and GSO as it successfully finds the smallest minimum, mean, maximum, and standard deviation. In addition to that, the effectiveness of the presented cascaded PD-PI controller via the proposed ESMOA is demonstrated in handling the frequency stability considering the non-linearities in the power system model. Moreover, the proposed cascaded PD-PI controller based on the ESMOA demonstrates significant efficiency and outperformance over several previously published PID and PI controllers adjusted using numerous contemporary techniques.

Author Contributions

Conceptualization, A.R.G.; Methodology, S.A., M.E. and A.R.G.; Software, A.R.G.; Validation, A.M.E.-R., A.M.S., G.M. and M.A.T.; Formal analysis, S.A., A.M.E.-R., G.M. and M.A.T.; Investigation, A.M.E.-R., M.E., G.M. and M.A.T.; Resources, M.E.; Data curation, A.M.S. and M.A.T.; Writing—original draft, S.A.; Writing—review & editing, A.M.E.-R. and M.E.; Visualization, A.M.S. All authors have read and agreed to the published version of the manuscript.

Funding

This research received no external funding.

Data Availability Statement

Not applicable.

Conflicts of Interest

The authors declare no conflict of interest.

References

  1. Mehta, S.; Basak, P. A comprehensive review on control techniques for stability improvement in microgrids. Int. Trans. Electr. Energy Syst. 2021, 31, e12822. [Google Scholar] [CrossRef]
  2. Sharma, D. Load Frequency Control: A Literature Review. Int. J. Sci. Technol. Res. 2020, 9, 6421–6437. [Google Scholar]
  3. Hassan, A.; Aly, M.; Elmelegi, A.; Nasrat, L.; Watanabe, M.; Mohamed, E.A. Optimal Frequency Control of Multi-Area Hybrid Power System Using New Cascaded TID-PIλDμN Controller Incorporating Electric Vehicles. Fractal Fract. 2022, 6, 548. [Google Scholar] [CrossRef]
  4. Elkasem, A.H.A.; Khamies, M.; Hassan, M.H.; Agwa, A.M.; Kamel, S. Optimal Design of TD-TI Controller for LFC Considering Renewables Penetration by an Improved Chaos Game Optimizer. Fractal Fract. 2022, 6, 220. [Google Scholar] [CrossRef]
  5. Nayak, J.R.; Shaw, B.; Sahu, B.K. Implementation of hybrid SSA–SA based three-degree-of-freedom fractional-order PID controller for AGC of a two-area power system integrated with small hydro plants. IET Gener. Transm. Distrib. 2020, 14, 2430–2440. [Google Scholar] [CrossRef]
  6. Naidu, K.; Mokhlis, H.; Abu Bakar, A.H.; Terzija, V. Performance investigation of ABC algorithm in multi-area power system with multiple interconnected generators. Appl. Soft Comput. 2017, 57, 436–451. [Google Scholar] [CrossRef]
  7. El-Ela, A.A.A.; El-Sehiemy, R.A.; Shaheen, A.M.; Ellien, A.R. Review on Active Distribution Networks with Fault Current Limiters and Renewable Energy Resources. Energies 2022, 15, 7648. [Google Scholar] [CrossRef]
  8. Ginidi, A.; Elattar, E.; Shaheen, A.; Elsayed, A.; El-Sehiemy, R.; Dorrah, H. Optimal Power Flow Incorporating Thyristor-Controlled Series Capacitors Using the Gorilla Troops Algorithm. Int. Trans. Electr. Energy Syst. 2022, 2022, 9448199. [Google Scholar] [CrossRef]
  9. Mohammadi, F.; Nazri, G.-A.; Saif, M. An Improved Mixed AC/DC Power Flow Algorithm in Hybrid AC/DC Grids with MT-HVDC Systems. Appl. Sci. 2020, 10, 297. [Google Scholar] [CrossRef]
  10. El-Sehiemy, R.; Hamida, M.A.; Elattar, E.; Shaheen, A.; Ginidi, A. Nonlinear Dynamic Model for Parameter Estimation of Li-Ion Batteries Using Supply–Demand Algorithm. Energies 2022, 15, 4556. [Google Scholar] [CrossRef]
  11. Nasef, A.; Shaheen, A.; Khattab, H. Local and remote control of automatic voltage regulators in distribution networks with different variations and uncertainties: Practical cases study. Electr. Power Syst. Res. 2022, 205, 107773. [Google Scholar] [CrossRef]
  12. Bevrani, H.; Golpîra, H.; Messina, A.R.; Hatziargyriou, N.; Milano, F.; Ise, T. Power system frequency control: An updated review of current solutions and new challenges. Electr. Power Syst. Res. 2021, 194, 107114. [Google Scholar] [CrossRef]
  13. Mohamed, T.H.; Alamin, M.A.M.; Hassan, A.M. A novel adaptive load frequency control in single and interconnected power systems. Ain Shams Eng. J. 2020, 12, 1763–1773. [Google Scholar] [CrossRef]
  14. Naidu, K.; Mokhlis, H.; Bakar, A. Multiobjective optimization using weighted sum Artificial Bee Colony algorithm for Load Frequency Control. Int. J. Electr. Power Energy Syst. 2014, 55, 657–667. [Google Scholar] [CrossRef]
  15. Hasan, N.; Nasirudin, I.; Farooq, S. Hybrid Taguchi Genetic Algorithm-Based AGC Controller for Multisource Interconnected Power System. Electr. Power Compon. Syst. 2019, 47, 101–112. [Google Scholar] [CrossRef]
  16. Bhatt, P.; Roy, R.; Ghoshal, S. GA/particle swarm intelligence based optimization of two specific varieties of controller devices applied to two-area multi-units automatic generation control. Int. J. Electr. Power Energy Syst. 2010, 32, 299–310. [Google Scholar] [CrossRef]
  17. Rout, U.K.; Sahu, R.K.; Panda, S. Design and analysis of differential evolution algorithm based automatic generation control for interconnected power system. Ain Shams Eng. J. 2013, 4, 409–421. [Google Scholar] [CrossRef]
  18. Jagatheesan, K.; Anand, B.; Samanta, S.; Dey, N.; Santhi, V.; Ashour, A.S.; Balas, V.E. Application of flower pollination algorithm in load frequency control of multi-area interconnected power system with nonlinearity. Neural Comput. Appl. 2017, 28, 475–488. [Google Scholar] [CrossRef]
  19. Panda, S.; Mohanty, B.; Hota, P. Hybrid BFOA–PSO algorithm for automatic generation control of linear and nonlinear interconnected power systems. Appl. Soft Comput. 2013, 13, 4718–4730. [Google Scholar] [CrossRef]
  20. Guo, J. Application of a novel adaptive sliding mode control method to the load frequency control. Eur. J. Control 2020, 57, 172–178. [Google Scholar] [CrossRef]
  21. Sharma, Y.; Saikia, L.C. Automatic generation control of a multi-area ST—Thermal power system using Grey Wolf Optimizer algorithm based classical controllers. Int. J. Electr. Power Energy Syst. 2015, 73, 853–862. [Google Scholar] [CrossRef]
  22. Abdelaziz, A.; Ali, E. Cuckoo Search algorithm based load frequency controller design for nonlinear interconnected power system. Int. J. Electr. Power Energy Syst. 2015, 73, 632–643. [Google Scholar] [CrossRef]
  23. Dash, P.; Saikia, L.C.; Sinha, N. Comparison of performances of several Cuckoo search algorithm based 2DOF controllers in AGC of multi-area thermal system. Int. J. Electr. Power Energy Syst. 2014, 55, 429–436. [Google Scholar] [CrossRef]
  24. El Ela, A.A.A.; El-Sehiemy, R.A.; Shaheen, A.M.; Diab, A.E.G. Optimal Design of PID Controller Based Sampe-Jaya Algorithm for Load Frequency Control of Linear and Nonlinear Multi-Area Thermal Power Systems. Int. J. Eng. Res. Afr. 2020, 50, 79–93. [Google Scholar] [CrossRef]
  25. Singh, S.P.; Prakash, T.; Singh, V.; Babu, M.G. Analytic hierarchy process based automatic generation control of multi-area interconnected power system using Jaya algorithm. Eng. Appl. Artif. Intell. 2017, 60, 35–44. [Google Scholar] [CrossRef]
  26. Pati, T.K.; Nayak, J.R.; Sahu, B.K. Application of TLBO algorithm to study the performance of automatic generation control of a two-area multi-units interconnected power system. In Proceedings of the 2015 IEEE International Conference on Signal Processing, Informatics, Communication and Energy Systems, SPICES, Kozhikode, India, 19–21 February 2015; pp. 1–5. [Google Scholar] [CrossRef]
  27. Li, S.; Chen, H.; Wang, M.; Heidari, A.A.; Mirjalili, S. Slime mould algorithm: A new method for stochastic optimization. Future Gener. Comput. Syst. 2020, 111, 300–323. [Google Scholar] [CrossRef]
  28. El-Ela, A.A.A.; El-Sehiemy, R.A.; Shaheen, A.M.; Diab, A.E.-G. Enhanced coyote optimizer-based cascaded load frequency controllers in multi-area power systems with renewable. Neural Comput. Appl. 2021, 33, 8459–8477. [Google Scholar] [CrossRef]
  29. Zheng, J.; Xie, Y.; Huang, X.; Wei, Z.; Taheri, B. Balanced version of Slime Mold Algorithm: A study on PEM fuel cell system parameters identification. Energy Rep. 2021, 7, 3199–3209. [Google Scholar] [CrossRef]
  30. Yu, K.; Liu, L.; Chen, Z. An Improved Slime Mould Algorithm for Demand Estimation of Urban Water Resources. Mathematics 2021, 9, 1316. [Google Scholar] [CrossRef]
  31. Dhawale, D.; Kamboj, V.K.; Anand, P. An effective solution to numerical and multi-disciplinary design optimization problems using chaotic slime mold algorithm. Eng. Comput. 2021, 38, 2739–2777. [Google Scholar] [CrossRef]
  32. Mostafa, M.; Rezk, H.; Aly, M.; Ahmed, E.M. A new strategy based on slime mould algorithm to extract the optimal model parameters of solar PV panel. Sustain. Energy Technol. Assess. 2020, 42, 100849. [Google Scholar] [CrossRef]
  33. Liu, Y.; Heidari, A.A.; Ye, X.; Liang, G.; Chen, H.; He, C. Boosting slime mould algorithm for parameter identification of photovoltaic models. Energy 2021, 234, 121164. [Google Scholar] [CrossRef]
  34. Sarhan, S.; Shaheen, A.M.; El-Sehiemy, R.A.; Gafar, M. An Enhanced Slime Mould Optimizer That Uses Chaotic Behavior and an Elitist Group for Solving Engineering Problems. Mathematics 2022, 10, 1991. [Google Scholar] [CrossRef]
  35. Khunkitti, S.; Siritaratiwat, A.; Premrudeepreechacharn, S. Multi-Objective Optimal Power Flow Problems Based on Slime Mould Algorithm. Sustainability 2021, 13, 7448. [Google Scholar] [CrossRef]
  36. Hassan, M.H.; Kamel, S.; Abualigah, L.; Eid, A. Development and application of slime mould algorithm for optimal economic emission dispatch. Expert Syst. Appl. 2021, 182, 115205. [Google Scholar] [CrossRef]
  37. Noroozi, M.; Mohammadi, H.; Efatinasab, E.; Lashgari, A.; Eslami, M.; Khan, B. Golden Search Optimization Algorithm. IEEE Access 2022, 10, 37515–37532. [Google Scholar] [CrossRef]
  38. Qais, M.H.; Hasanien, H.M.; Turky, R.A.; Alghuwainem, S.; Tostado-Véliz, M.; Jurado, F. Circle Search Algorithm: A Geometry-Based Metaheuristic Optimization Algorithm. Mathematics 2022, 10, 1626. [Google Scholar] [CrossRef]
  39. Xu, Y.; Li, C.; Wang, Z.; Zhang, N.; Peng, B. Load Frequency Control of a Novel Renewable Energy Integrated Micro-Grid Containing Pumped Hydropower Energy Storage. IEEE Access 2018, 6, 29067–29077. [Google Scholar] [CrossRef]
  40. El-Sehiemy, R.; Shaheen, A.; Ginidi, A.; Al-Gahtani, S.F. Proportional-Integral-Derivative Controller Based-Artificial Rabbits Algorithm for Load Frequency Control in Multi-Area Power Systems. Fractal Fract. 2023, 7, 97. [Google Scholar] [CrossRef]
  41. Dash, P.; Saikia, L.C.; Sinha, N. Flower Pollination Algorithm Optimized PI-PD Cascade Controller in Automatic Generation Control of a Multi-area Power System. Int. J. Electr. Power Energy Syst. 2016, 82, 19–28. [Google Scholar] [CrossRef]
  42. El-Ela, A.A.A.; El-Sehiemy, R.A.; Shaheen, A.M.; Diab, A.E.-G. Design of cascaded controller based on coyote optimizer for load frequency control in multi-area power systems with renewable sources. Control Eng. Pract. 2022, 121, 105058. [Google Scholar] [CrossRef]
  43. Alhelou, H.H.; Hamedani-Golshan, M.E.; Heydarian-Forushani, E.; Al-Sumaiti, A.S.; Siano, P. Decentralized Fractional Order Control Scheme for LFC of Deregulated Nonlinear Power Systems in Presence of EVs and RER. In Proceedings of the 2018 International Conference on Smart Energy Systems and Technologies, SEST 2018 Proceedings, Sevilla, Spain, 10–12 September 2018; pp. 1–6. [Google Scholar] [CrossRef]
  44. Kumari, S.; Chugh, R. A novel four-step feedback procedure for rapid control of chaotic behavior of the logistic map and unstable traffic on the road. Chaos 2020, 30, 123115. [Google Scholar] [CrossRef] [PubMed]
  45. Wu, G.; Mallipeddi, R.; Suganthan, P.N. Problem Definitions and Evaluation Criteria for the CEC 2017 Competition on Constrained Real Parameter Optimization; Technical Report; National University of Defense Technology: Changsha, China; Kyungpook National University: Daegu, Republic of Korea; Nanyang Technological University: Singapore, 2017. [Google Scholar]
  46. Padhan, S.; Sahu, R.K.; Panda, S. Application of Firefly Algorithm for Load Frequency Control of Multi-Area Interconnected Power System. Electr. Power Compon. Syst. 2014, 42, 1419–1430. [Google Scholar] [CrossRef]
  47. Ali, E.; Abd-Elazim, S. BFOA based design of PID controller for two area Load Frequency Control with nonlinearities. Int. J. Electr. Power Energy Syst. 2013, 51, 224–231. [Google Scholar] [CrossRef]
  48. Sahu, R.K.; Panda, S.; Padhan, S. A hybrid firefly algorithm and pattern search technique for automatic generation control of multi area power systems. Int. J. Electr. Power Energy Syst. 2015, 64, 9–23. [Google Scholar] [CrossRef]
Figure 3. Proposed ESMOA flowchart.
Figure 3. Proposed ESMOA flowchart.
Mathematics 11 01796 g003
Figure 4. Convergence features of the comparative algorithms for the 28 benchmark functions.
Figure 4. Convergence features of the comparative algorithms for the 28 benchmark functions.
Mathematics 11 01796 g004aMathematics 11 01796 g004bMathematics 11 01796 g004cMathematics 11 01796 g004dMathematics 11 01796 g004e
Figure 5. Converging characteristics of the suggested ESMOA, GSO, and CO techniques for Case 1.
Figure 5. Converging characteristics of the suggested ESMOA, GSO, and CO techniques for Case 1.
Mathematics 11 01796 g005
Figure 6. Dynamic responses for CO, GSO, and the proposed ESMOA for Case 1. (a) Deviation in frequency in area 1. (b) Deviation in frequency in area 2. (c) Deviation in transferred power through interconnected tie-line.
Figure 6. Dynamic responses for CO, GSO, and the proposed ESMOA for Case 1. (a) Deviation in frequency in area 1. (b) Deviation in frequency in area 2. (c) Deviation in transferred power through interconnected tie-line.
Mathematics 11 01796 g006
Figure 7. Statistical measures for CO, GSO, and the proposed ESMOA for Case 1.
Figure 7. Statistical measures for CO, GSO, and the proposed ESMOA for Case 1.
Mathematics 11 01796 g007
Figure 8. Converging characteristics of the suggested ESMOA, GSO, and CO techniques for Case 2.
Figure 8. Converging characteristics of the suggested ESMOA, GSO, and CO techniques for Case 2.
Mathematics 11 01796 g008
Figure 9. Dynamic responses for CO, GSO, and the proposed ESMOA for Case 2. (a) Deviation in frequency in area 1. (b) Deviation in frequency in area 2. (c) Deviation in transferred power through interconnected tie-line.
Figure 9. Dynamic responses for CO, GSO, and the proposed ESMOA for Case 2. (a) Deviation in frequency in area 1. (b) Deviation in frequency in area 2. (c) Deviation in transferred power through interconnected tie-line.
Mathematics 11 01796 g009aMathematics 11 01796 g009b
Figure 10. Statistical measures for CO, GSO, and the proposed ESMOA for Case 2.
Figure 10. Statistical measures for CO, GSO, and the proposed ESMOA for Case 2.
Mathematics 11 01796 g010
Figure 11. Converging characteristics of the suggested ESMOA, GSO, and CO techniques for Case 3.
Figure 11. Converging characteristics of the suggested ESMOA, GSO, and CO techniques for Case 3.
Mathematics 11 01796 g011
Figure 12. Dynamic responses for CO, GSO, and the proposed ESMOA for Case 3. (a) Deviation in frequency in area 1. (b) Deviation in frequency in area 2. (c) Deviation in transferred power through interconnected tie-line.
Figure 12. Dynamic responses for CO, GSO, and the proposed ESMOA for Case 3. (a) Deviation in frequency in area 1. (b) Deviation in frequency in area 2. (c) Deviation in transferred power through interconnected tie-line.
Mathematics 11 01796 g012aMathematics 11 01796 g012b
Figure 13. Statistical measures for CO, GSO, and the proposed ESMOA for Case 3.
Figure 13. Statistical measures for CO, GSO, and the proposed ESMOA for Case 3.
Mathematics 11 01796 g013
Figure 14. Non-linear turbine model with GRC.
Figure 14. Non-linear turbine model with GRC.
Mathematics 11 01796 g014
Figure 15. Convergence characteristics for CO, GSO, and the proposed ESMOA for Case 4.
Figure 15. Convergence characteristics for CO, GSO, and the proposed ESMOA for Case 4.
Mathematics 11 01796 g015
Figure 16. Statistical measures for CO, GSO, and the proposed ESMOA for Case 4.
Figure 16. Statistical measures for CO, GSO, and the proposed ESMOA for Case 4.
Mathematics 11 01796 g016
Figure 17. Dynamic responses for CO, GSO, and the proposed ESMOA for Case 4. (a) Deviation in frequency in area 1. (b) Deviation in frequency in area 2. (c) Deviation in transferred power through interconnected tie-line.
Figure 17. Dynamic responses for CO, GSO, and the proposed ESMOA for Case 4. (a) Deviation in frequency in area 1. (b) Deviation in frequency in area 2. (c) Deviation in transferred power through interconnected tie-line.
Mathematics 11 01796 g017aMathematics 11 01796 g017b
Table 1. Best and mean of the comparative algorithms for the 28 benchmark functions.
Table 1. Best and mean of the comparative algorithms for the 28 benchmark functions.
Function NameBestMean
Proposed ESMOAOriginal SMOAGSOCOProposed ESMOAOriginal SMOAGSOCO
F1100.38115.6448,532.00130,840.003042.804047.10132,910.00389,590.00
F2300.00300.00862.843631.00300.09300.0514,241.007192.00
F3400.01400.05404.19501.24405.41407.54506.25714.73
F4505.97503.98519.12551.75515.62514.89561.92579.45
F5600.04600.08614.06633.65600.09600.17645.26646.92
F6712.85715.20739.97771.23724.81725.50789.00796.06
F7806.97804.98816.01833.54814.53816.62846.86850.81
F8900.00900.001007.401049.20900.00900.251631.001403.00
F91165.301168.701621.201898.301462.201511.802610.202727.50
F101101.001103.401116.001233.001112.401137.802006.001659.30
F113253.405561.403612.701,662,800.0021,345.00207,930.00248,790.00131,410.00
F121319.601465.101679.70190,570.002161.808132.90108,430.00329,250.00
F131434.101435.001446.601740.201764.301929.003889.005668.90
F141504.701522.301713.103271.004320.803349.9018,439.0011,877.00
F151601.801602.101675.801775.301646.501663.502083.802070.70
F161705.501721.001750.601774.901730.101747.101889.901811.90
F172166.903473.401949.00326,110.0024,256.0019,428.00502,870.0075,619.00
F181915.701908.001935.805104.503553.305501.10726,860.00229,180.00
F192004.002005.302068.102161.402021.802030.302268.902250.60
F202200.002202.802204.602220.402313.902304.402341.702329.20
F212300.502241.002308.102436.002301.902298.102417.302632.50
F222607.402612.402625.102621.302616.502619.502718.902687.20
F232735.402734.702524.402608.402751.002751.602822.502792.70
F242897.802898.202901.502971.102917.802922.202971.403155.50
F252800.202816.002848.803166.902953.303022.603667.103494.10
F263089.003089.003103.703105.403091.003090.503174.103154.90
F273166.503167.503176.303341.203342.203320.003478.503587.20
F283134.403134.403189.203171.203180.703186.203384.803422.50
Table 2. Worst and standard deviations of the comparative algorithms for the 28 benchmark functions.
Table 2. Worst and standard deviations of the comparative algorithms for the 28 benchmark functions.
Function NameWorstStandard Deviation
Proposed ESMOAOriginal SMOAGSOCOProposed ESMOAOriginal SMOAGSOCO
F15542.4012,677.0028,897.0092,394.001949.303400.7044,212.0014,445.00
F2300.39300.3578,883.0010,628.000.090.0817,009.001924.90
F3407.21456.991547.101006.702.119.52190.61106.96
F4521.49530.26623.22611.503.886.3227.6611.15
F5600.12600.51678.05662.270.020.0914.447.06
F6731.80742.81880.06818.595.116.8229.9110.39
F7820.90829.85923.48863.564.195.5821.185.72
F8900.00905.834350.501677.100.001.07577.21154.49
F91679.001980.103664.503020.80146.27196.82486.29246.06
F101124.301336.5017,767.003062.206.6762.632411.60352.41
F11597,810.001,267,400.002,418,100.002,363,500.0018,966.0031,202.0057,591.00595,460.00
F124041.9032,548.00270,800.00186,570.00647.7610,628.0053,603.0038,638.00
F132504.008381.6028,906.0029,799.00326.271330.907451.905085.40
F147356.1011,424.00103,090.0020,748.001898.702415.7025,557.003936.90
F151731.601899.602769.802283.2045.3473.85226.4998.50
F161747.801838.802217.901850.1012.0325.04107.1517.22
F1735,618.0042,539.00125,660.00255,060.009720.0011,108.00248,740.0071,446.00
F1813,985.0028,127.00198,640.00973,510.002695.907991.5031,346.0025,352.00
F192036.502073.602693.202386.0010.3014.61117.4740.63
F202328.902335.402413.902413.7031.0740.6353.1959.64
F212302.902304.203791.102979.900.6514.43246.41108.66
F222623.602633.502901.102755.204.605.0656.5120.75
F232762.702772.202992.402923.007.408.6097.5851.44
F242947.002969.403179.203382.3023.5825.4756.4081.43
F252999.103920.704859.704128.6046.95289.78582.65206.69
F263092.703095.303312.603219.601.181.4850.3137.80
F273411.803731.804019.003750.10102.46137.11212.66120.79
F283235.303283.503757.003663.2032.1938.54135.6397.90
Table 3. Results for Case 1.
Table 3. Results for Case 1.
Algorithm Proposed ESMOAGSOCO
Controller parametersKP1Area 1333
Ki1.1980190181.8825987131.125704786
KP2333
Kd1.5756981371.1630538011.712103293
n500198.3903318500
KP1Area 20.16722662132.477149042
Ki0.884624931.5972013222.639381164
KP22.8810631350.7314471353
Kd32.9030960592.095134679
n392.617581840.09581819283.8518794
ITAE Value 0.0234315480.0267727950.023922459
ITAE improvement percent compared to the proposed ESMOA-12.482.0521
Table 4. Comparison of the proposed ESMOA outcomes with other reported results in terms of ITAE and settling time.
Table 4. Comparison of the proposed ESMOA outcomes with other reported results in terms of ITAE and settling time.
ControllerOptimization TechniqueReferenceSettling Times (s)Objective Value
∆PTIE∆F2∆F1ITAE
PIConventional[46]28.27045.01045.003.5795
PIBFOA[46]6.3507.0905.5201.8379
PIDE[17]5.7508.1608.9600.9911
PIBFOA-PSO[19]5.7307.6507.3901.1865
PIGA[46]9.37011.39010.5902.7475
PIFirefly algorithm (FA)[46]5.6207.2207.1100.8695
PIPSO[19]5.0007.8207.3701.2142
PIDArtificial rabbits’ algorithm (ARA)[40]3.0592942.9013412.1958340.075401
PIDFA[46]4.7805.4904.2500.4714
PD-PICOApplied3.81573.10871.33950.023922459
PD-PIGSOApplied3.98833.73141.41180.026772795
PD-PIProposed ESMOAApplied3.30183.11721.42020.023431548
Table 5. Results for Case 2.
Table 5. Results for Case 2.
Algorithm Proposed ESMOAGSOCO
Controller parametersKP1Area 1333
Ki2.71228133
KP20.01931533
Kd1.3157951.2177122.178291
n336.0855282.2859500
KP1Area 2333
Ki1.1744531.8937161.244513
KP2333
Kd1.6445721.3730061.585313
n489.4933183.442471.6436
ITAE Value 0.0236530.0262810.023821
ITAE improvement percent compared to the proposed ESMOA-9.990.7057
Table 6. Comparison of the proposed ESMOA outcomes with other reported results in terms of ITAE for Case 2.
Table 6. Comparison of the proposed ESMOA outcomes with other reported results in terms of ITAE for Case 2.
ControllerOptimization TechniqueReferenceITAE Objective Value
PIDPSO[40]0.0816
PIDARA[40]0.075409
PIDJAYA[40]0.078
PIDDE[40]0.082
PIDSAMPE-JAYA[40]0.077
PD-PICOApplied0.023821
PD-PIGSOApplied0.026281
PD-PIProposed ESMOAApplied0.023653
Table 7. Results for Case 3.
Table 7. Results for Case 3.
Algorithm Proposed ESMOAGSOCO
Controller parametersKP1Area 1333
Ki1.08002230.719087
KP2333
Kd1.4242850.9081992.467428
n448.7811202.108238.15772
KP1Area 2332.904342
Ki1.0563630.56298
KP2332.893778
Kd1.5510310.9081993
n474.3045202.1082500
ITAE Value 0.0442790.0829370.075148
ITAE improvement percent compared to the proposed ESMOA-46.61141.0773
Table 8. Comparison of the proposed ESMOA outcomes with other reported results in terms of ITAE for Case 3.
Table 8. Comparison of the proposed ESMOA outcomes with other reported results in terms of ITAE for Case 3.
ControllerOptimization TechniqueReferenceITAE Objective Value
PIDPSO[40]0.2354
PIDARA[40]0.146308
PIDJAYA[40]0.2272
PIDDE[40]0.2021
PIDSAMPE-JAYA[40]0.1726
PD-PICOApplied0.075148
PD-PIGSOApplied0.082937
PD-PIProposed ESMOAApplied0.044279
Table 9. Results for Case 4.
Table 9. Results for Case 4.
Algorithm Proposed ESMOAGSOCO
Controller parametersKP1Area 11.8103592.70.52778
Ki1.168591.80.988066
KP20.4326140.31.44749
Kd1.0780641.81.401102
n448.8788201.3416166.6564
KP1Area 20.25885902.5717
Ki1.8757762.11.135735
KP20.5162611.8240081.692278
Kd1.506582.42.446288
n339.1538301.3416225.1243
ITAE Value 0.2250440.2545360.230348
ITAE improvement percent compared to the proposed ESMOA-11.592.31
Table 10. Comparison of the proposed ESMOA outcomes with other reported results in terms of ITAE for Case 4.
Table 10. Comparison of the proposed ESMOA outcomes with other reported results in terms of ITAE for Case 4.
ControllerOptimization TechniqueReferenceITAE Objective Value
PIDConventional[47]0.604
PIDGA[47]0.5513
PIDBFOA[47]0.4788
PIDFA[48]0.324
PIDhybrid FA and pattern search[48]0.2782
PD-PICOApplied0.230348
PD-PIGSOApplied0.25436
PD-PIProposed ESMOAApplied0.225044
Disclaimer/Publisher’s Note: The statements, opinions and data contained in all publications are solely those of the individual author(s) and contributor(s) and not of MDPI and/or the editor(s). MDPI and/or the editor(s) disclaim responsibility for any injury to people or property resulting from any ideas, methods, instructions or products referred to in the content.

Share and Cite

MDPI and ACS Style

Abid, S.; El-Rifaie, A.M.; Elshahed, M.; Ginidi, A.R.; Shaheen, A.M.; Moustafa, G.; Tolba, M.A. Development of Slime Mold Optimizer with Application for Tuning Cascaded PD-PI Controller to Enhance Frequency Stability in Power Systems. Mathematics 2023, 11, 1796. https://doi.org/10.3390/math11081796

AMA Style

Abid S, El-Rifaie AM, Elshahed M, Ginidi AR, Shaheen AM, Moustafa G, Tolba MA. Development of Slime Mold Optimizer with Application for Tuning Cascaded PD-PI Controller to Enhance Frequency Stability in Power Systems. Mathematics. 2023; 11(8):1796. https://doi.org/10.3390/math11081796

Chicago/Turabian Style

Abid, Slim, Ali M. El-Rifaie, Mostafa Elshahed, Ahmed R. Ginidi, Abdullah M. Shaheen, Ghareeb Moustafa, and Mohamed A. Tolba. 2023. "Development of Slime Mold Optimizer with Application for Tuning Cascaded PD-PI Controller to Enhance Frequency Stability in Power Systems" Mathematics 11, no. 8: 1796. https://doi.org/10.3390/math11081796

APA Style

Abid, S., El-Rifaie, A. M., Elshahed, M., Ginidi, A. R., Shaheen, A. M., Moustafa, G., & Tolba, M. A. (2023). Development of Slime Mold Optimizer with Application for Tuning Cascaded PD-PI Controller to Enhance Frequency Stability in Power Systems. Mathematics, 11(8), 1796. https://doi.org/10.3390/math11081796

Note that from the first issue of 2016, this journal uses article numbers instead of page numbers. See further details here.

Article Metrics

Back to TopTop