Next Article in Journal
On Solvability Conditions for the Cauchy Problem for Non-Volterra Functional Differential Equations with Pointwise and Integral Restrictions on Functional Operators
Next Article in Special Issue
Edge Odd Graceful Labeling in Some Wheel-Related Graphs
Previous Article in Journal
Variable Selection for Sparse Logistic Regression with Grouped Variables
Previous Article in Special Issue
Dual-Neighborhood Search for Solving the Minimum Dominating Tree Problem
 
 
Font Type:
Arial Georgia Verdana
Font Size:
Aa Aa Aa
Line Spacing:
Column Width:
Background:
Article

Conditions for Implicit-Degree Sum for Spanning Trees with Few Leaves in K1,4-Free Graphs

1
School of Mathematical Science, Tianjin Normal University, Tianjin 300387, China
2
Department of Computer Science, National Yang Ming Chiao Tung University, Hsinchu 30010, Taiwan
3
School of Mathematical Science, Yangzhou University, Yangzhou 225009, China
4
School of Mathematics and Statistics, Beijing Institute of Technology, Beijing 100081, China
*
Author to whom correspondence should be addressed.
These authors contributed equally to this work.
Mathematics 2023, 11(24), 4981; https://doi.org/10.3390/math11244981
Submission received: 20 October 2023 / Revised: 4 December 2023 / Accepted: 14 December 2023 / Published: 17 December 2023
(This article belongs to the Special Issue Advanced Graph Theory and Combinatorics)

Abstract

:
A graph with n vertices is called an n-graph. A spanning tree with at most k leaves is referred to as a spanning k-ended tree. Spanning k-ended trees are important in various fields such as network design, graph theory, and communication networks. They provide a structured way to connect all the nodes in a network while ensuring efficient communication and minimizing unnecessary connections. In addition, they serve as fundamental components for algorithms in routing, broadcasting, and spanning tree protocols. However, determining whether a connected graph has a spanning k-ended tree or not is NP-complete. Therefore, it is important to identify sufficient conditions for the existence of such trees. The implicit-degree proposed by Zhu, Li, and Deng is an important indicator for the Hamiltonian problem and the spanning k-ended tree problem. In this article, we provide two sufficient conditions for K1,4-free connected graphs to have spanning k-ended trees for k = 2, 3. We prove the following: Let G be a K1,4-free connected n-graph. For k = 2, 3, if the implicit-degree sum of any k + 1 independent vertices of G is at least nk + 2, then G has a spanning k-ended tree. Moreover, we give two examples to show that the lower bounds n and n − 1 are the best possible.
MSC:
05C05; 05C07

1. Introduction

All the graphs considered in this paper are finite, undirected, and simple. Notations not defined here refer to [1]. For a graph G, we always use V ( G ) , E ( G ) , and | V ( G ) | to denote the vertex set, edge set, and number of vertices of G, respectively. A graph G with n vertices is called an n-graph. Suppose H is a subgraph of G and u is a vertex of G. We define the neighborhood of u in H as N H ( u ) = { x V ( H ) u x E ( G ) } and the degree of u in H as d H ( u ) = | N H ( u ) | . For two vertices u , v V ( H ) , we use P H [ u , v ] to denote a path between u and v in H with u and v as end vertices, and use P H ( u , v ) = P H [ u , v ] { u , v } , d H ( u , v ) to denote the distance between u and v in H, i.e., the number of edges of the shortest path between u and v in H. Suppose E is a nonempty subset of E ( G ) . We use H + E and H E to denote the graph obtained from H by adding and deleting edges in E , respectively. If E = { e } , we write H + e and H e instead of H + { e } and H { e } , respectively. Let Δ ( H ) denote the maximum degree of H. For an integer i 1 and a subset X of V ( G ) , we define N H ( X ) = x X { y V ( H ) x y E ( G ) } , d H ( X ) = x X d H ( x ) , and N i H ( X ) = { x V ( H ) | N H ( x ) X | = i } .
Let G 1 , G 2 , , G k be k graphs. The union graph of G 1 , G 2 , , G k , denoted by i = 1 k G i , is a graph with vertex set i = 1 k V ( G i ) and edge set i = 1 k E ( G i ) ; if G 1 , G 2 , , G k are pairwise vertex disjoint, we denote i = 1 k G i by i = 1 k G i or G 1 + G 2 + + G k ; if each G i is isomorphic to Q, we abbreviate i = 1 k G i as k Q . The join graph of G 1 , G 2 , , G k , denoted by i = 1 k G i , is a graph obtained from i = 1 k G i by connecting any vertex of G i to each vertex of G j by an edge for each i j .
A subset U of V ( G ) is called an independent set of G if any two vertices of U are nonadjacent in G. We use α ( G ) to denote the independence number of a graph G. For an integer k 1 , we denote σ k ( G ) = min { i = 1 k d G ( u i ) { u 1 , u 2 , , u k } as an independent set of G } if k α ( G ) ; otherwise, σ k ( G ) = + .
A tree is a connected acyclic graph. A maximal tree is a tree that cannot be extended by adding any more edges without creating a cycle. For a tree T, a leaf of T is a vertex v with d T ( v ) = 1 . We use L ( T ) to denote the set of leaves in T. A spanning tree (resp. a Hamiltonian path) of a graph is a tree (resp. a path) containing all the vertices of the graph. A spanning k-ended tree (resp. k-ended tree) is a spanning tree (resp. a tree) with at most k leaves. Obviously, a Hamiltonian path is a spanning 2-ended tree.
Spanning k-ended trees are important in various fields such as network design, graph theory, and communication networks. They provide a structured way to connect all the nodes in a network while ensuring efficient communication and minimizing unnecessary connections. In addition, they serve as fundamental components for algorithms in routing, broadcasting, and spanning tree protocols. Therefore, the existence and properties of spanning k-ended trees are crucial for optimizing network design and performance. Ozeki and Yamashita [2] pointed out that determining whether a graph has a spanning k-ended tree or not is NP-complete. Since then, many scholars have studied the sufficient conditions for the existence of spanning k-ended trees, such as degree sum conditions [3,4,5,6,7,8,9].
The forbidden induced subgraph conditions are a set of criteria used to determine whether a given graph can have a spanning tree with specific properties. These conditions indicate which specific subgraphs are not allowed to be induced in the graph for such spanning trees to exist. Among all the forbidden induced subgraphs, the complete bipartite graph K 1 , r is central. A graph that does not contain an induced subgraph isomorphic to K 1 , r is called a K 1 , r -free graph. Matthews and Sumner [10] showed that a K 1 , 3 -free n-graph G has a Hamiltonian path if σ 3 ( G ) n 2 . Kano et al. [11] gave a degree sum condition for a K 1 , 3 -free graph to have a spanning k-ended tree as follows.
Theorem 1
(Kano et al. [11]). Let G be a connected K 1 , 3 -free n-graph. If σ k + 1 ( G ) n k for any k 2 , then G has a spanning k-ended tree.
For k = 2 , 3 , Kyaw gave a sufficient condition for a K 1 , 4 -free graph to have a spanning k-ended tree.
Theorem 2.
Let G be a connected K 1 , 4 -free n-graph.
(1) 
(Kyaw [12]) If σ 3 ( G ) n , then G has a Hamiltonian path.
(2) 
(Kyaw [13]) If σ 4 ( G ) n 1 , then G has a spanning 3-ended tree.
The Hamiltonian problem holds significant importance in graph theory and combinatorial optimization. It is crucial in determining whether a given graph contains a Hamiltonian cycle, which is a cycle that visits each vertex exactly once. The problem has applications in various fields, including computer science, logistics, and transportation, as it relates to the design of efficient routes, scheduling, and circuit layout. Furthermore, the study of the Hamiltonian problem has led to the development of important algorithms and heuristics, contributing to advancements in computational complexity and theoretical computer science. The problem also serves as a foundational concept for understanding and solving other NP-complete problems, making it a central focus of research in combinatorial optimization and algorithmic design.
Degree conditions and forbidden induced subgraph conditions are the two types of classical sufficient conditions for graphs to be Hamiltonian. As we all known, in the study of the existence of a Hamiltonian cycle, the degree sum of end vertices in a longest path is crucial. Bondy [14] proved that if a 2-connected n-graph has a longest path between x and y such that d G ( x ) + d G ( y ) c , then G is Hamiltonian or has a cycle of length at least c. Sometimes, perhaps, the degree sum of the two end vertices of a longest path is smaller, but the degrees of their neighbors or vertices at distance two with them are larger, and we can replace them by some larger degree vertices in the right position so that we can construct a longest path with a larger degree sum of its end vertices. Therefore, we can construct a longer cycle. With the inspiration of this idea, Zhu, Li, and Deng [15] proposed the definition of implicit-degree.
Definition 1
(Zhu, Li and Deng [15]). Let x be a vertex of G and let N G 2 ( x ) = { y V ( G ) d G ( x , y ) = 2 } denote the set of vertices at distance two with x in G. Set M 2 = max { d G ( y ) y N G 2 ( x ) } . If l = d G ( x ) 2 and N G 2 ( x ) , then suppose that d 1 x d 2 x d l 1 x d l x is the degree sequence of vertices of N G ( x ) N G 2 ( x ) in G. The implicit-degree of x, denoted by i d G ( x ) , is defined as
i d G ( x ) = max { d l x , d G ( x ) } , i f d l x > M 2 ; max { d l 1 x , d G ( x ) } , i f d l x M 2 .
If l = d G ( x ) 1 or N G 2 ( x ) = , then we define i d G ( x ) = d G ( x ) .
Obviously, i d G ( x ) d G ( x ) for every vertex x V ( G ) . From the definition of implicit-degree, it coincides with the importance of a person’s friends or friends’ friends in a social network. We define i σ k ( G ) = min { j = 1 k i d G ( u j ) { u 1 , u 2 , , u k } is an independent set of G } if k α ( G ) ; otherwise, i σ k ( G ) = + . Many classical results in graph theory that consider degree conditions can be extended to implicit-degree conditions, such as [15,16,17]. We just give one example related to spanning trees to show this in detail.
Theorem 3
(Cai et al. [18]). Let G be a connected n-graph and k 2 be an integer. If i σ t ( G ) t ( n k ) 2 + 1 ( k t 2 ) , then G contains a spanning k-ended tree.
Since i σ 2 ( G ) σ 2 ( G ) , the result of Broersma and Tuinstra [3] is a corollary of Theorem 3 when t = 2 . In this article, we extend Theorem 2 by using i σ 3 ( G ) and i σ 4 ( G ) in place of σ 3 ( G ) and σ 4 ( G ) , respectively.
Theorem 4.
Suppose G is a connected K 1 , 4 -free n-graph.
(1) 
If i σ 3 ( G ) n , then G has a Hamiltonian path.
(2) 
If i σ 4 ( G ) n 1 , then G has a spanning 3-ended tree.
The proof of Theorem 4 will be given in Section 3. Now, we present the following three examples. The first one shows that the lower bounds in Theorem 4 are better than those in Theorem 3; the second one shows that the lower bounds are sharp in Theorem 4; and the third one provides graphs which do not satisfy the conditions of Theorem 2, but satisfy the conditions of Theorem 3.
Example 1.
Let G be a connected n-graph with n > 6 . Theorem 3 shows that (1) G has a Hamiltonian path if i σ 3 ( G ) ( 3 n 4 ) / 2 > n ; (2) G has a spanning 4-ended tree if i σ 4 ( G ) 2 n 7 > n 1 . Theorem 4 shows that, if G is K 1 , 4 -free, then i σ 3 ( G ) ( 3 n 4 ) / 2 and i σ 4 ( G ) 2 n 7 can be reduced to i σ 3 ( G ) n and i σ 4 ( G ) n 1 , respectively.
Example 2.
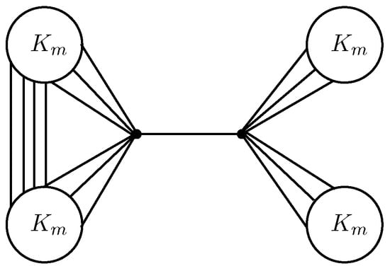
(1) The graph G = K 1 3 K m indicates that the condition i σ 3 n ( = 3 m + 1 ) in Theorem 4 is sharp. Clearly, G has no Hamiltonian path. The vertex in K 1 has implicit-degree 3 m and every vertex in 3 K m has implicit-degree m. So, i σ 3 ( G ) = 3 m = n 1 . (2) The following graph G indicates that the condition i σ 4 ( G ) n 1 in Theorem 4 is sharp. Let G i be a complete n i -graph for 1 i 4 . The graph G is constructed with vertex set V ( G ) = i = 1 4 V ( G i ) { u , v } ( u , v i = 1 4 V ( G i ) ) and edge set E ( G ) = i = 1 4 E ( G i ) { u v } { u w w V ( G 1 ) V ( G 2 ) } { v w w V ( G 3 ) V ( G 4 ) } (see Figure 1). It is easy to verify that i σ 4 ( G ) = i = 1 4 n i = n 2 and G has no spanning 3-ended tree. Without loss of generality, suppose n 1 + n 2 n 3 + n 4 . For each vertex x V ( G ) , the degree and implicit-degree of x can be seen from in Table 1.
Example 3.
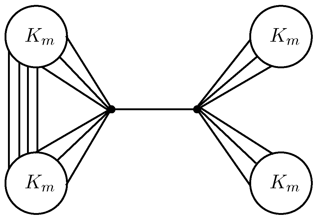
(1) Let G i = K m with i = 1 , 2 , 3 . Let G be a graph constructed from the graph K 1 ( G 1 G 2 G 3 ) ( m 2 ) by adding one edge between x i and y i for each 1 i m , and deleting one edge between K 1 and G 1 , G 2 . Where V ( K 1 ) = { u } , V ( G 1 ) = { x 1 , x 2 , , x m } , V ( G 2 ) = { y 1 , y 2 , , y m } , and V ( G 3 ) = { z 1 , z 2 , , z m } , and x 1 and y 1 denote the two vertices not adjacent to u. It is easy to verify that σ 3 ( G ) = 3 m = n 1 , i σ 3 ( G ) = 3 ( m + 1 ) > n , and G has a Hamiltonian path x m x m 1 x 1 y 1 y 2 y m x z 1 z 2 z m . For each vertex x V ( G ) , the degree and implicit-degree of x can be seen from Table 2. (2) Let G be a graph constructed from the graph in Figure 1 with n i = m = ( n 2 ) / 4 ( 1 i 4 ) by adding m 1 independent edges between G 1 and G 2 (see Figure 2). It is easy to verify that σ 4 ( G ) = 4 m = n 2 , i σ 4 ( G ) = 2 m + 2 ( m + 1 ) > n 1 , and G contains a spanning 3-ended tree. This shows that Theorem 4 generalizes Theorem 2.
We will prove Theorem 4 in Section 3 while some preliminaries will be given in Section 2.

2. Preliminaries

Let x , y be two vertices of an oriented path P. We use x P y to denote the subpath of P from x to y and y P ¯ x to denote the subpath of P from y to x in the reverse direction. Define x and x + as the predecessor and successor of x on P, respectively. For any subset I V ( P ) , we define I = { y y + I } and I + = { y y I } . In this section, let P = x 1 x 2 x p be a path of a connected graph G and x , y , z be any three distinct vertices not in V ( P ) . The following lemmas are useful in the proof of Theorem 4.
Lemma 1.
(Kyaw [13]). Let T be a maximal tree of G with four leaves. If G has no spanning 3-ended tree, then there is no 3-ended tree T in G such that V ( T ) = V ( T ) .
Lemma 2
(Zhu, Li and Deng [15]). If P is a longest path satisfying x 1 x p E ( G ) and d G ( x 1 ) < i d G ( x 1 ) , then there is a vertex x j N P ( x 1 ) such that d G ( x j ) i d G ( x 1 ) .
Lemma 3.
If N P ( x ) N P ( y ) = , then
d P ( x ) + d P ( y ) | V ( P ) | , if x x 1 E ( G ) or y x p E ( G ) ; | V ( P ) | + 1 , otherwise .
Proof. 
Note that | N P ( x ) N P ( y ) | = | N P ( x ) | + | N P ( y ) | . If x x 1 E ( G ) , then N P ( x ) N P ( y ) V ( P ) and thus d P ( x ) + d P ( y ) = | N P ( x ) | + | N P ( y ) | = | N P ( x ) N P ( y ) | | V ( P ) | . If y x p E ( G ) , then ( N P ( x ) { x 1 } ) N P ( y ) V ( P ) { x p } and thus d P ( x ) + d P ( y ) = | N P ( x ) | + | N P ( y ) | = | N P ( x ) N P ( y ) | | V ( P ) | . Otherwise, ( N P ( x ) { x 1 } ) N P ( y ) V ( P ) and thus d P ( x ) + d P ( y ) = | ( N P ( x ) { x 1 } ) | + | { x 1 } | + | N P ( y ) | = | ( N P ( x ) { x 1 } ) N P ( y ) | + 1 | V ( P ) | + 1 . □
Lemma 4.
If N P ( x ) N P ( y ) = , N P ( x ) N P ( z ) = , and N P ( y ) N P ( z ) = , then d P ( x ) + d P ( y ) + d P ( z ) | V ( P ) | + 1 .
Proof. 
Note that | N P ( x ) N P ( y ) N P ( z ) | = | N P ( x ) | + | N P ( y ) | + | N P ( z ) | and ( N P ( x ) { x 1 } ) N P ( x ) N P ( z ) V ( P ) . Then, d P ( x ) + d P ( y ) + d P ( z ) | ( N P ( x ) { x 1 } ) | + | { x 1 } | + | N P ( y ) | + | N P ( z ) | | V ( P ) | + 1 .

3. Proof of Theorem 4

Since the result of Theorem 4 (2) will be used in the proof of Theorem 4 (1), we prove Theorem 4 (2) firstly.
Proof of Theorem 4 (2). 
Let G be a connected K 1 , 4 -free n-graph with i σ 4 ( G ) n 1 and let G have no spanning three-ended tree. Then, every spanning tree of G has at least four leaves. Choose a maximal tree T of G with exactly four leaves such that Δ ( T ) is minimal.
Since T has exactly four leaves, we have Δ ( T ) = 4 or Δ ( T ) = 3 (see Figure 3). Let L ( T ) = { x 1 , x 2 , x 3 , x 4 } and S = { x x V ( T ) and d T ( x ) = Δ ( T ) } . Since T is maximal, N G ( L ( T ) ) V ( T ) .
If Δ ( T ) = 4 , then | S | = 1 . Let S = { r } and N T ( r ) = { y 1 , y 2 , y 3 , y 4 } (see Figure 3a). If y i y j E ( G ) for some i j , then T = T + y i y j r y i is a tree with four leaves such that V ( T ) = V ( T ) and Δ ( T ) = 3 < Δ ( T ) . This contradicts the choice of T. So, { y 1 , y 2 , y 3 , y 4 } is an independent set of G. Thus, { r , y 1 , y 2 , y 3 , y 4 } induces a K 1 , 4 , a contradiction.
Next, we can assume Δ ( T ) = 3 . Then, | S | = 2 . Let S = { s , t } (see Figure 3b). We choose such a T satisfying the following conditions.
(C1) The distance d T ( s , t ) is as small as possible;
(C2) The degree sum d G ( L ( T ) ) is as large as possible, subject to (1).
Let B i be the component of T S such that V ( B i ) L ( T ) = { x i } and let y i be the unique vertex of N T ( S ) V ( B i ) with 1 i 4 . We assume, without loss of generality, that s y 1 , s y 2 , t y 3 , t y 4 E ( T ) . □
Claim 1.
L ( T ) is an independent set of G.
Proof. 
If there are two vertices x i , x j L ( T ) such that x i x j E ( G ) , then T = T + x i x j s y i or T + x i x j t y i is a three-ended tree such that V ( T ) = V ( T ) , contrary to Lemma 1. □
Claim 2.
x i y j E ( G )  for  1 i j 4 .
Proof. 
If there are two vertices x i , y j such that x i y j E ( G ) , then T = T + x i y j s y j or T + x i y j t y j is a three-ended tree such that V ( T ) = V ( T ) , contrary to Lemma 1. □
Claim 3.
N G ( L ( T ) ) V ( P T ( s , t ) ) = .
Proof. 
Suppose to the contrary that N G ( L ( T ) ) V ( P T ( s , t ) ) . We assume, without loss of generality, that there is a vertex z V ( P T ( s , t ) ) such that x 1 z E ( G ) . Then, T = T + x 1 z s y 1 is a tree with four leaves such that Δ ( T ) = 3 , V ( T ) = V ( T ) and d T ( z ) = d T ( t ) = 3 . But d T ( z , t ) < d T ( s , t ) , contrary to the condition (C1). □
Claim 4.
i d G ( x j ) = d G ( x j )  for each vertex  x j L ( T ) .
Proof. 
Suppose that there is a vertex x j L ( T ) such that i d G ( x j ) > d G ( x j ) . Without loss of generality, we assume i d G ( x 1 ) > d G ( x 1 ) . Let l = d G ( x 1 ) and N G ( x 1 ) = { w 1 , w 2 , , w l } . Suppose that d 1 x 1 d 2 x 1 d l 1 x 1 d l x 1 is the degree sequence of vertices of N G ( x 1 ) N G 2 ( x 1 ) in G. By the definition of i d G ( x 1 ) , we have l 2 and i d G ( x 1 ) = d l 1 x 1 or i d G ( x 1 ) = d l x 1 . Denote w i and w i + as the predecessor and successor of w i on the path P T [ x 1 , w i ] , respectively. Without loss of generality, suppose w 1 = x 1 . By Claims 1–3, there must exist a vertex w m + N G 2 ( x 1 ) for some 1 m l and { s , t } { w 1 , w 2 , , w l } = .
If i d G ( x 1 ) = d l 1 x 1 , then, since w 2 , w 3 , , w l are l 1 vertices in N G ( x 1 ) N G 2 ( x 1 ) , there must exist a vertex w j { w 2 , w 3 , , w l } such that d G ( w j ) d l 1 x 1 = i d G ( x 1 ) > d G ( x 1 ) . If i d G ( x 1 ) = d l x 1 , then d l x 1 > M 2 = max { d G ( x u ) u N G 2 ( x 1 ) } . Since w m + N G 2 ( x 1 ) , d G ( w m + ) M 2 < d l x 1 = i d G ( x 1 ) . Since w 2 , w 3 , , w l , w m + are l vertices in N G ( x 1 ) N G 2 ( x 1 ) , there must exist a vertex w j { w 2 , w 3 , , w l } such that d G ( w j ) d l x 1 = i d G ( x 1 ) > d G ( x 1 ) . Therefore, in both cases, we can obtain a tree T = T + x 1 w j w j w j with four leaves such that Δ ( T ) = Δ ( T ) , V ( T ) = V ( T ) , and w j replaces x 1 as a new leaf of T . Then, u L ( T ) d G ( u ) u L ( T ) d G ( u ) = d G ( w j ) d G ( x 1 ) i d G ( x 1 ) d G ( x 1 ) > 0 , contrary to condition (C2). □
Claim 5.
For  1 i j 4 , if  z V ( B i ) N G ( x j ) , then  z N G ( L ( T ) { x j } ) , where  z  denotes the predecessor of z on the path  P T [ x j , z ] .
Proof. 
Suppose z is a vertex of V ( B i ) N ( x j ) such that z N G ( L ( T ) { x j } ) for some i j . Without loss of generality, we assume that s y i E ( G ) and z x k E ( G ) for some k j . Then, T = T + { x j z , x k z } { s y i , z z } is a three-ended tree such that V ( T ) = V ( T ) , contrary to Lemma 1. □
Claim 6.
N 4 ( L ( T ) = N 3 ( L ( T ) ) = .
Proof. 
If there is a vertex w N 4 ( L ( T ) ) , then, by Claim 1, { w , x 1 , x 2 , x 3 , x 4 } induces a K 1 , 4 , a contradiction.
If there is a vertex w N 3 ( L ( T ) ) , then, by Claim 3, w i = 1 4 V ( B i ) S . Let w x r , w x s , w x t E ( G ) , where { x r , x s , x t } L ( T ) . We can assume r i . If w V ( B i ) for some 1 i 4 , then w y i by Claim 2 and w N G ( L ( T ) ) by Claim 5. Thus, { w , w , x r , x s , x t } induces a K 1 , 4 by Claim 1, a contradiction.
If w S , then, without loss of generality, we assume w = s . So there is a vertex x j L ( T ) such that s x j E ( G ) and t V ( P T [ s , x j ] ) . If s t is an edge of T, then T = T + s x j s t is a three-ended tree such that V ( T ) = V ( T ) , contrary to Lemma 1. Otherwise, there is a vertex s + V ( P T [ s , t ] ) . By Claim 3, x + N G ( L ( T ) ) . Then, { s , s + , x r , x s , x t } induces a K 1 , 4 by Claim 1, a contradiction. □
Next, we calculate d G ( L ( T ) ) . For convenience, for 1 i 4 , we set A i 1 = { x i } , A i 2 = N G ( x i ) V ( B i ) , A i 3 = ( N G ( L ( T ) { x i } ) ) V ( B i ) , and A i 4 = ( N 2 G ( L ( T ) ) N ( x i ) ) V ( B i ) , where ( N ( L ( T ) { x i } ) ) = { u u N ( L ( T ) { x i } ) . Clearly, A i 1 A i 2 A i 3 A i 4 V ( B i ) for every i = 1 , 2 , 3 , 4 .
Claim 7.
For  1 i 4 , A i 1 , A i 2 , A i 3 , and  A i 4  are pairwise disjoint.
Proof. 
Clearly, A i 1 A i 2 = and A i 1 A i 3 = . By Claim 1, A i 1 A i 4 = . By Claim 5, A i 2 A i 3 = and A i 3 A i 4 = . By Claim 6, A i 2 A i 4 = . □
For 1 i 4 , by Claims 6 and 7, and the inclusion–exclusion principle, we have
| V ( B i ) | | A i 1 A i 2 A i 3 A i 4 | = | A i 1 | + | A i 2 | + | A i 3 | + | A i 4 | = 1 + | N G ( x i ) V ( B i ) | + | ( N G ( L ( T ) { x i } ) ) V ( B i ) | + | ( N 2 G ( L ( T ) ) N ( x i ) ) V ( B i ) | = 1 + | N G ( x i ) V ( B i ) | + | ( N G ( L ( T ) { x i } ) ) V ( B i ) | + | ( N 2 G ( L ( T ) ) N ( x i ) ) V ( B i ) | 1 + j = 1 4 | N G ( x j ) V ( B i ) | .
Hence,
i = 1 4 | V ( B i ) | 4 + i = 1 4 j = 1 4 | N G ( x j ) V ( B i ) | .
By Claim 6, we have
j = 1 4 | N G ( x j ) { s } | 2 and j = 1 4 | N G ( x j ) { t } | 2 .
Notice that N G ( L ( T ) ) V ( T ) and N G ( L ( T ) ) ( V ( P T [ s , t ] ) { s , t } ) = by Claim 3. By inequalities (1) and (2), we have
j = 1 4 d G ( x j ) = i = 1 4 j = 1 4 | N G ( x j ) V ( B i ) | + j = 1 4 | N G ( x j ) { s , t } | ( i = 1 4 | V ( B i ) | 4 ) + 4 = i = 1 4 | V ( B i ) | | V ( T ) | 2 .
Therefore, by Claim 4, we have n = | V ( G ) | | V ( T ) | 2 + j = 1 4 d G ( x j ) = 2 + j = 1 4 i d G ( x j ) 2 + i σ 4 ( G ) . So, i σ 4 ( G ) n 2 ; this contradicts the condition i σ 4 ( G ) n 1 . Now, we complete the proof of Theorem 4 (2).
Proof of Theorem 4 (1). 
Let G be a connected K 1 , 4 -free n-graph with i σ 3 ( G ) n but let G have no Hamiltonian path. Since i σ 4 ( G ) i σ 3 ( G ) n , by Theorem 4 (2), G has a spanning three-ended tree. Let
T * = { T T is a spanning three-ended tree of G } .
Since G has no Hamiltonian path, every tree in T * has exactly three leaves. We choose a longest path P = x 1 x 2 x p of T * such that d G ( x 1 ) + d G ( x p ) is as large as possible. Then, N G ( x 1 ) N G ( x p ) V ( P ) . Let T be the tree in T * containing the path P. Then, H = T V ( P ) is a path of T and one of the end vertices of H is adjacent to some vertex x r with 2 r p 1 in T. For convenience, set H = y 1 y 2 y h . Without loss of generality, we assume y 1 x r E ( T ) . In fact, by the choice of P, we have h + 1 r p h . □
Claim 8.
{ x 1 , x p , y j }  is an independent set of G for every vertex  y j V ( H ) .
Proof. 
If x 1 x p E ( G ) , then y h H ¯ y 1 x r P ¯ x 1 x p P ¯ x r + 1 is a Hamiltonian path of G, a contradiction. Since N G ( x 1 ) N G ( x p ) V ( P ) , we have x 1 y j E ( G ) and x p y j E ( G ) for every vertex y j V ( H ) . So, { x 1 , x p , y j } is an independent set of G for every vertex y j V ( H ) . □
Claim 9.
i d G ( x 1 ) = d G ( x 1 ) and i d G ( x p ) = d G ( x p ) .
Proof. 
If d G ( x 1 ) < i d G ( x 1 ) , then, by Lemma 2, there is a vertex x j N P ( x 1 ) such that d G ( x j ) i d G ( x 1 ) . Thus, P = x j P ¯ x 1 x j + 1 P x p is another longest path of T * such that d G ( x j ) + d G ( x p ) i d G ( x 1 ) + d G ( x p ) > d G ( x 1 ) + d G ( x p ) . This contradicts the choice of P. So, i d G ( x 1 ) = d G ( x 1 ) . Similarly, i d G ( x p ) = d G ( x p ) . □
Set i δ ( H ) = min { i d G ( u ) u V ( H ) } .
Case 1.
There is a vertex  y t V ( H )  such that  d G ( y t ) i δ ( H ) .
Subcase 1.
| V ( H ) | 2 .
Set A 1 = N P ( x 1 ) , B 1 = N P ( x p ) + and C 1 = N P ( y t ) . If there is a vertex x s A 1 C 1 , then T = T + { y t x s , x 1 x s + 1 } { x s x s + 1 , y 1 x r } is a tree in T * and P = y 1 H y t x s P ¯ x 1 x s + 1 P x p is a path of T * longer than P, a contradiction. So, A 1 C 1 = . Similarly, B 1 C 1 = .
If there is a vertex x s A 1 B 1 , then s r (otherwise, y h H ¯ y 1 x r P ¯ x 1 x r + 1 P x p is a Hamiltonian path of G, a contradiction). Thus, T = T + { x 1 x s + 1 , x p x s 1 } { x r x r 1 , x s x s 1 } is a tree in T * , and P = y h H ¯ y 1 x r P x p x s 1 P ¯ x 1 x s + 1 P x r 1 if s < r or P = y h H ¯ y 1 x r P x s 1 x p P ¯ x s + 1 x 1 P x r 1 if s > r ; P is a path of T * longer than P, a contradiction. So, A 1 B 1 = . Therefore, A 1 , B 1 , and C 1 are pairwise disjoint. Note that A 1 B 1 C 1 V ( P ) and N G ( x 1 ) N G ( x p ) V ( P ) . We have
d G ( x 1 ) + d G ( x p ) + d G ( y t ) = ( d P ( x 1 ) + d P ( x p ) + d P ( y t ) ) + ( d H ( x 1 ) + d H ( x p ) + d H ( y t ) ) ( | A 1 | + | B 1 | + | C 1 | ) + ( | V ( H ) | 1 ) | V ( P ) | + ( | V ( H ) | 1 ) = n 1 .
On the other hand, d G ( x 1 ) + d G ( x p ) + d G ( y t ) i d G ( x 1 ) + i d G ( x p ) + i δ ( H ) i σ 3 ( G ) n , a contradiction.
Subcase 2.
| V ( H ) | = 1 .
Then, H = { y 1 } . Let N P ( y 1 ) = { x i 1 , x i 2 , , x i k } ( k 1 ). We can assume that x i 1 , x i 2 , , x i k occur in this order along P. Let P 1 = x 2 x 3 x i 1 , P j = x i j 1 + 1 x i j 1 + 2 x i j for 2 j k , and, P k + 1 = x i k + 1 x i k + 2 x p 1 . Clearly, n = j = 1 k + 1 | V ( P j ) | + 3 . Since P is a longest path of T * , it is easy to verify that N P s ( x 1 ) N P s ( x p ) = for 1 s k + 1 , x i j + 1 N P ( x 1 ) , x i j 1 N P ( x p ) for 1 j k , and moreover, if k 2 , then x i j + 1 N P ( x p ) for 1 j k 1 , x i j 1 N P ( x 1 ) and i j i j 1 2 for 2 j k .
If k = 1 , then, by Lemma 3, d G ( x 1 ) + d G ( x p ) + d G ( y 1 ) = d P ( x 1 ) + d P ( x p ) + d P ( y 1 ) = j = 1 2 ( d P j ( x 1 ) + d P j ( x p ) ) + 1 j = 1 2 ( | V ( P j ) | + 1 ) + 1 = n 1 .
If k = 2 , then x i 1 N P ( x p ) (otherwise, { x i 1 , x i 1 1 , x i 1 + 1 , y 1 , x p } induces a K 1 , 4 , a contradiction). Thus, by Lemma 3, we have d G ( x 1 ) + d G ( x p ) + d G ( y 1 ) = d P ( x 1 ) + d P ( x p ) + d P ( y 1 ) = j = 1 3 ( d P j ( x 1 ) + d P j ( x p ) ) + 2 j = 1 3 | V ( P j ) | + 2 = n 1 .
Next, suppose k 3 . Similarly to the case k = 2 , we can ascertain that d P j ( x ) + d P j ( y ) | V ( P j ) | for j = 1 , k , k + 1 . Since G is K 1 , 4 -free, { x i j 1 + 1 , x i j 1 , x i j } ( N P ( x 1 ) N P ( x p ) ) = for 2 j k 1 . By Lemma 3, we have d P j ( x 1 ) + d P j ( x p ) = d P j { x i j 1 , x i j } ( x 1 ) + d P j { x i j 1 , x i j } ( x p ) | V ( P j { x i j 1 , x i j } ) | = | V ( P j ) | 2 for 2 j k 1 . Therefore, d G ( x 1 ) + d G ( x p ) + d G ( y 1 ) = d P ( x 1 ) + d P ( x p ) + d P ( y 1 ) = j = 1 k + 1 ( d P j ( x 1 ) + d P j ( x p ) ) + k | V ( P 1 ) | + j = 2 k 1 ( | V ( P j ) | 2 ) + | V ( P k ) | + | V ( P k + 1 ) | + k n 1 .
By the above discussion, for any k 1 , we have d G ( x 1 ) + d G ( x p ) + d G ( y 1 ) n 1 . On the other hand, d G ( x 1 ) + d G ( x p ) + d G ( y 1 ) i d G ( x 1 ) + i d G ( x p ) + i δ ( H ) i σ 3 ( G ) n , a contradiction.
Case 2.
d G ( y j ) < i δ ( H )  for every vertex  y j V ( H ) .
Claim 10.
d P ( y 1 ) 2  and  d P ( y h ) 2 .
Proof. 
If d P ( y 1 ) = | { x r } | = 1 , then x r 1 , x r + 1 N G 2 ( y 1 ) and d H ( y 1 ) = d G ( y 1 ) 1 . Since d G ( y j ) < i δ ( H ) for every vertex y j V ( H ) , we have d G ( y 1 ) < i d G ( y 1 ) . Then, by the definition of i d G ( y 1 ) , there is a vertex y s N H ( y 1 ) such that d G ( y s ) i d G ( y 1 ) i δ ( H ) , a contradiction.
If d P ( y h ) = 1 , then, by a similar argument to the one above, we can obtain a contradiction. If d P ( y h ) = 0 , then d H ( y h ) d G ( y h ) . Since d G ( y j ) < i δ ( H ) for every vertex y j V ( H ) , we have d G ( y h ) < i d G ( y h ) . Then, by the definition of i d G ( y h ) , there is a vertex y t N H ( y h ) such that d G ( y t ) i d G ( y h ) i δ ( H ) , a contradiction. □
Subcase 3.
| V ( H ) | 2 .
Since P is a longest path of T * , we have | N P ( y 1 ) + | = | N P ( y 1 ) | and N P ( y 1 ) + N G 2 ( y 1 ) . Then, | N H ( y 1 ) N P ( y 1 ) + | = d G ( y 1 ) . Since d G ( y j ) < i δ ( H ) for every vertex y j V ( H ) , d G ( y s ) < i d G ( y 1 ) for any y s N H ( y 1 ) { y 1 } . By the definition of i d G ( y 1 ) , there is a vertex x t N P ( y 1 ) + such that d G ( x t ) i d G ( y 1 ) . Suppose x i is the first vertex in N P ( y 1 ) + such that d G ( x i ) i d G ( y 1 ) and x j is the last vertex in N P ( y h ) . We can assume i < j . (Since, otherwise, there is a vertex x k N P ( y h ) + such that d G ( x k ) i d G ( y h ) and k < i ).
Let Q 1 = x 2 x 3 x i 1 , Q 2 = x i + 1 x i + 2 x j 1 , and Q 3 = x j x j + 1 x p 1 . Then, n = | V ( Q 1 ) | + | V ( Q 2 ) | + | V ( Q 3 ) | + | V ( H ) | + 3
Claim 11.
{ x 1 , x p , x i }  is an independent set of G.
Proof. 
If x 1 x i E ( G ) , then y h H ¯ y 1 x i 1 P ¯ x 1 x i P x p is a Hamiltonian path of G, a contradiction. If x 1 x p E ( G ) , then y 1 H y h x j P x p x 1 P x j 1 is a Hamiltonian path of G, a contradiction. If x i x p E ( G ) , then x 1 P x i 1 y 1 H y h x j P x p x i P x j 1 is a Hamiltonian path of G, a contradiction. So, { x 1 , x p , x i } is an independent set of G. □
Claim 12.
d Q 1 ( x 1 ) + d Q 1 ( x p ) + d Q 1 ( x i ) | V ( Q 1 ) | + 2 .
Proof. 
Set A 2 = N Q 1 ( x 1 ) , B 2 = N Q 1 ( x p ) and C 2 = N Q 1 ( x i ) + .
If there is a vertex x s A 2 C 2 , then T = T + { x j y h , x i 1 y 1 , x 1 x s + 1 , x i x s 1 } { x s x s + 1 , y 1 x r , x i x i 1 , x j x j 1 } is a tree in T * and P = x p P ¯ x j y h H ¯ y 1 x i 1 P ¯ x s + 1 x 1 P x s 1 x i P x j 1 is a path of T * longer than P, this contradicts the choice of P. So, A 2 C 2 = .
If there is a vertex x s B 2 C 2 , then P = x 1 P x s 1 x i P x j y h H ¯ y 1 x i 1 P ¯ x s x p P ¯ x j + 1 is a Hamiltonian path of G, a contradiction. So, B 2 C 2 = . Notice that A 2 B 2 = and ( N Q 1 ( x 1 ) { x 2 } ) N Q 1 ( x p ) ( N Q 1 ( x i ) { x i 1 } ) + V ( Q 1 ) . Therefore,
d Q 1 ( x 1 ) + d Q 1 ( x p ) + d Q 1 ( x i ) = | N Q 1 ( x 1 ) | + | N Q 1 ( x p ) | + | N Q 1 ( x i ) | = | ( N Q 1 ( x 1 ) { x 2 } ) | + | { x 2 } | + | N Q 1 ( x p ) | + | ( N Q 1 ( x i ) { x i 1 } ) + | + | { x i 1 } | = | ( N Q 1 ( x 1 ) { x 2 } ) N Q 1 ( x p ) ( N Q 1 ( x i ) { x i 1 } ) + | + 2 | V ( Q 1 ) | + 2 .
Claim 13.
d Q 2 ( x 1 ) + d Q 2 ( x p ) + d Q 2 ( x i ) | V ( Q 2 ) | + 1 .
Proof. 
Since G has no Hamiltonian path, x p x j 1 E ( G ) . Set A 3 = N Q 2 ( x i ) , B 3 = N Q 2 ( x p ) + , and C 3 = N Q 2 ( x 1 ) .
If there is a vertex x s A 3 B 3 , then T = T + { x p x s 1 , x j y h , x i 1 y 1 , x i x s + 1 } { x s x s + 1 , y 1 x r , x i x i 1 , x j x j + 1 } is a tree in T * and P = x j + 1 P x p x s 1 P ¯ x i x s + 1 P x j y h H ¯ y 1 x i 1 P ¯ x 1 is a path of T * longer than P, this contradicts the choice of P. So, A 3 B 3 = . Similarly, B 3 C 3 = and A 3 C 3 = . Note that N Q 2 ( x 1 ) N Q 2 ( x p ) + ( N Q 2 ( x i ) { x i + 1 } ) V ( Q 2 ) . Therefore,
d Q 2 ( x 1 ) + d Q 2 ( x p ) + d Q 2 ( x i ) = | N Q 2 ( x 1 ) | + | N Q 2 ( x p ) | + | N Q 2 ( x i ) | = | N Q 2 ( x 1 ) | + | N Q 2 ( x p ) + | + ( | ( N Q 2 ( x i ) { x i + 1 } ) | + | { x i + 1 } | = | N Q 2 ( x 1 ) N Q 2 ( x p ) + ( N Q 2 ( x i ) { x i + 1 } ) | + 1 | V ( Q 2 ) | + 1 .
Claim 14.
d Q 3 ( x 1 ) + d Q 3 ( x p ) + d Q 3 ( x i ) | V ( Q 3 ) | + 1 .
Proof. 
Since G has no Hamiltonian path, x 1 x j 1 , x 1 x j + 1 E ( G ) . By the choice of P, y h x j 1 , y h x j + 1 E ( G ) . Since G is K 1 , 4 -free, x 1 x j E ( G ) (otherwise { x j , x 1 , x j 1 , x j + 1 , y h } induces a K 1 , 4 ). Set A 4 = N Q 3 ( x 1 ) , B 4 = N Q 3 ( x p ) + , and C 4 = N Q 3 ( x i ) .
If there is a vertex x s A 4 B 4 , then T = T + { x p x s 1 , x j y h , x 1 x s + 1 } { x s x s + 1 , y 1 x r , x j x j 1 } is a tree in T * and P = x j 1 P ¯ x 1 x s + 1 P x p x s 1 P ¯ x j y h H ¯ y 1 is a path of T * longer than P, this contradicts the choice of P. So, A 4 B 4 = . Similarly, B 4 C 4 = and A 4 C 4 = . Note that N Q 3 ( x 1 ) ( N Q 3 ( x p ) { x p 1 } ) + N Q 3 ( x i ) V ( Q 3 ) . Therefore,
d Q 3 ( x 1 ) + d Q 3 ( x p ) + d Q 3 ( x i ) = | N Q 3 ( x 1 ) | + | N Q 3 ( x p ) | + | N Q 3 ( x i ) | = | N Q 3 ( x 1 ) | + | ( N Q 3 ( x p ) { x p 1 } ) + | + | { x p 1 } | + | N Q 3 ( x i ) | = | N Q 3 ( x 1 ) ( N Q 3 ( x p ) { x p 1 } ) + N Q 3 ( x i ) | + 1 | V ( Q 3 ) | + 1 .
Since P is a longest path of T * , it is easy to verify that N H ( x 1 ) N H ( x p ) N H ( x i ) = . Therefore, by Claims 11–14, we have
d G ( x 1 ) + d G ( x p ) + d G ( x i ) = l = 1 3 ( d Q l ( x 1 ) + d Q l ( x p ) + d Q l ( x i ) ) ( | V ( Q 1 ) | + 2 ) + ( | V ( Q 2 ) | + 1 ) + ( | V ( Q 3 ) | + 1 ) n 1 .
On the other hand, d G ( x 1 ) + d G ( x p ) + d G ( x i ) i d G ( x 1 ) + i d G ( x p ) + i d G ( y 1 ) i σ 3 ( G ) n , a contradiction.
Subcase 4.
| V ( H ) | = 1 .
Then, H = { y 1 } . By a similar argument to the one in Subcase 3, there is a vertex x t N P ( y 1 ) + such that d G ( x t ) i d G ( y 1 ) . Suppose x i is the first vertex in N P ( y 1 ) + such that d G ( x i ) i d G ( y 1 ) and x j is the last vertex in N P ( y 1 ) . Clearly, i < j . Similarly to the discussion in Claim 11, we can ascertain that { x 1 , x p , x i } is an independent set of G. Let P 1 = x 1 x 2 x i 1 , P 2 = x i + 1 x i + 2 x j 1 , and P 3 = x j x j + 1 x p 1 .
If there is a vertex x s N P 1 ( x 1 ) N P 1 ( x i ) , then P = y 1 x i 1 P ¯ x s + 1 x 1 P x s x i P x p is a Hamiltonian path of G, a contradiction. So, N P 1 ( x 1 ) N P 1 ( x i ) = . Similarly, N P 1 ( x 1 ) N P 1 ( x p ) = , N P 1 ( x p ) N P 1 ( x i ) = , and N P 1 ( x i ) N P 1 ( x p ) = . Since G is K 1 , 4 -free, N P 1 ( x i ) N P 1 ( x p ) = (otherwise, if there is a vertex x s N P 1 ( x i ) N P 1 ( x p ) , then { x s , x i , x p , x s 1 , x s + 1 } induces a K 1 , 4 , a contradiction). Therefore, by Lemma 4, d P 1 ( x 1 ) + d P 1 ( x p ) + d P 1 ( x i ) | V ( P 1 ) | + 1 . Similarly, d P 2 ( x 1 ) + d P 2 ( x p ) + d P 2 ( x i ) | V ( P 2 ) | + 1 and d P 3 ( x 1 ) + d P 3 ( x p ) + d P 3 ( x i ) | V ( P 3 ) | + 1 . Thus, we have
d G ( x 1 ) + d G ( x p ) + d G ( x i ) = l = 1 3 ( d P l ( x 1 ) + d P l ( x p ) + d P l ( x i ) ) l = 1 3 ( | V ( P l ) | + 1 ) = n 1 .
On the other hand, d G ( x 1 ) + d G ( x p ) + d G ( x i ) i d G ( x 1 ) + i d G ( x p ) + i d G ( y 1 ) i σ 3 ( G ) n , a contradiction. Now, the proof of Theorem 4 (1) is completed.

4. Discussion

Spanning k-ended trees are important in various fields such as network design, graph theory, and communication networks. They provide a structured way to connect all the nodes in a network while ensuring efficient communication and minimizing unnecessary connections. In addition, they serve as fundamental components for algorithms in routing, broadcasting, and spanning tree protocols. However, determining whether a connected graph has a spanning k-ended tree or not is NP-complete; therefore, it is important to identify sufficient conditions for the existence of such trees. The implicit-degree proposed by Zhu, Li, and Deng is an important indicator for the existence of spanning k-ended trees. In this article, we provide two sufficient conditions for K 1 , 4 -free connected graphs to have spanning k-ended trees for k = 2 , 3 . Moreover, we point out that the lower bounds in our result are the best possible. There exist K 1 , 4 -free connected graphs that satisfy our conditions but do not satisfy the conditions of Theorem 2; therefore, our result is stronger than that of Theorem 2.

5. Conclusions

From the definition of implicit-degree, it can be seen that the implicit-degree of a vertex comprehensively considers the degree of the vertex as well as the degrees of its neighbors and vertices at distance two with it. Furthermore, the implicit-degree of a vertex is greater than or equal to the degree of that vertex. In this article, we have demonstrated that the degree conditions in Theorem 2 can be equivalently replaced by implicit-degree conditions. Additionally, many classic results under degree conditions, such as Dirac’s condition and Ore’s condition for the Hamiltonian cycle problem, also hold when replaced by implicit-degree conditions. We believe that the existence problems of spanning subgraphs under degree conditions can be equivalently replaced by corresponding implicit-degree conditions.

Author Contributions

Conceptualization, J.C., C.-K.L., Q.S. and P.W.; Methodology, J.C., C.-K.L., Q.S. and P.W.; Writing—original draft preparation, J.C. and P.W.; Writing—Review and editing, J.C., C.-K.L., Q.S. and P.W.; Funding acquisition, J.C. All authors have read and agreed to the published version of the manuscript.

Funding

This research was funded by National Natural Science Foundation of China of grant number 12371365.

Data Availability Statement

Data are contained within the article.

Conflicts of Interest

The authors declare no conflict of interest.

References

  1. Bondy, J.A.; Murty, U.S.R. Graph Theory, in Graduate Texts in Mathematics; Springer: New York, NY, USA, 2008. [Google Scholar]
  2. Ozeki, K.; Yamashita, T. Spanning Trees: A Survey. Graphs Comb. 2011, 27, 1–26. [Google Scholar] [CrossRef]
  3. Broersma, H.; Tuinstra, H. Independent trees and Hamilton cycles. J. Graph Theory 1998, 29, 227–237. [Google Scholar] [CrossRef]
  4. Chen, Y.; Chen, G.; Hu, Z. Spanning 3-ended trees in k-connected K1,4-free graphs. Sci. China Math. 2014, 57, 1579–1586. [Google Scholar] [CrossRef]
  5. Chen, Y.; Ha, P.; Hanh, D. Spanning trees with at most 4 leaves in K1,5-free graphs. Discret. Math. 2019, 342, 2342–2349. [Google Scholar] [CrossRef]
  6. Hu, Z.; Sun, P. Spanning 5-ended trees in K1,5-free graphs. Bull. Malays. Math. Sci. Soc. 2020, 43, 2565–2586. [Google Scholar] [CrossRef]
  7. Tsugaki, M.; Yamashita, T. Spanning trees with few leaves. Graphs Comb. 2007, 23, 585–598. [Google Scholar] [CrossRef]
  8. Wang, P.; Cai, J. Spanning trees with at most 4 leaves in K1,5-free graphs. Discret. Math. 2019, 342, 1546–1552. [Google Scholar] [CrossRef]
  9. Win, S. On a conjecture of Las Vergnas concerning certain spanning trees in graphs. Results Math. 1979, 2, 215–224. [Google Scholar] [CrossRef]
  10. Matthews, M.; Sumner, D. Longest paths and cycles in K1,3-free graphs. J. Graph Theory 1985, 9, 269–277. [Google Scholar] [CrossRef]
  11. Kano, M.; Kyaw, A.; Matsude, H.; Ozeki, K.; Satio, A.; Yamashita, T. Spanning trees with a bounded number of leaves in claw-free graphs. Ars Comb. 2012, 34, 137–154. [Google Scholar]
  12. Kyaw, A. Spanning trees with at most k leaves in K1,4-free graphs. Discret. Math. 2011, 311, 2135–2142. [Google Scholar] [CrossRef]
  13. Kyaw, A. Spanning trees with at most 3 leaves in K1,4-free graphs. Discret. Math. 2009, 309, 6146–6148. [Google Scholar] [CrossRef]
  14. Bondy, J.A. Largest cycles in graphs. Discret. Math. 1971, 1, 121–132. [Google Scholar] [CrossRef]
  15. Zhu, Y.; Li, H.; Deng, X. Implicit-degrees and Circumferences. Graphs Comb. 1989, 5, 283–290. [Google Scholar]
  16. Huang, X. Implicit-degree condition for hamiltonicity of 2-heavy graphs. Discret. Appl. Math. 2017, 219, 126–131. [Google Scholar] [CrossRef]
  17. Li, H. Generalizations of Dirac’s theorem in Hamiltonian graph theory-A survey. Discret. Math. 2013, 313, 2034–2053. [Google Scholar] [CrossRef]
  18. Cai, J.; Flandrin, E.; Li, H.; Sun, Q. Spanning trees with a bounded number of leaves. Opusc. Math. 2017, 37, 501–508. [Google Scholar] [CrossRef]
Figure 1. Graph with no spanning 3-ended tree.
Figure 1. Graph with no spanning 3-ended tree.
Mathematics 11 04981 g001
Figure 2. Graph with no Hamiltonian cycle.
Figure 2. Graph with no Hamiltonian cycle.
Mathematics 11 04981 g002
Figure 3. Trees with exactly four leaves.
Figure 3. Trees with exactly four leaves.
Mathematics 11 04981 g003
Table 1. Degrees and implicit-degrees of all the vertices in the graph in Figure 1.
Table 1. Degrees and implicit-degrees of all the vertices in the graph in Figure 1.
The Vertex x N G ( x ) N G 2 ( x ) d G ( x ) id G ( x )
x V ( K n 1 ) ( V ( K n 1 ) { x } ) { u } V ( K n 2 ) { v } n 1 n 1
x V ( K n 2 ) ( V ( K n 2 ) { x } ) { u } V ( K n 1 ) { v } n 2 n 2
x V ( K n 3 ) ( V ( K n 3 ) { x } ) { v } V ( K n 4 ) { u } n 3 n 3
x V ( K n 4 ) ( V ( K n 4 ) { x } ) { v } V ( K n 3 ) { u } n 4 n 4
x = u V ( K n 1 ) V ( K n 2 ) { v } V ( K n 3 ) V ( K n 4 ) n 1 + n 2 + 1 n 3 + n 4 + 1
x = v V ( K n 3 ) V ( K n 4 ) { u } V ( K n 1 ) V ( K n 2 ) n 3 + n 4 + 1 n 3 + n 4 + 1
Table 2. Degrees and implicit-degrees of all the vertices in the graph G .
Table 2. Degrees and implicit-degrees of all the vertices in the graph G .
The Vertex x N G ( x ) N G 2 ( x ) d G ( x ) id G ( x )
x = u V ( G ) { u } 3 m 3 m
x = x i ( 2 i m ) ( V ( G 1 ) { x i } ) { x , y i } ( V ( G 2 ) { y i } ) V ( G 3 ) m + 1 m + 1
x = x 1 ( V ( G 1 ) { x 1 } ) { y 1 } ( V ( G 2 ) { y 1 } ) { x } m m + 1
x = y i ( 2 i m ) ( V ( G 2 ) { y i } ) { x , x i } ( V ( G 1 ) { x i } ) V ( G 3 ) m + 1 m + 1
x = y 1 ( V ( G 2 ) { y 1 } ) { x 1 } ( V ( G 1 ) { x 1 } ) { x } m m + 1
x z i ( 1 i m ) ( V ( G 3 ) { z i } ) { x } ( V ( G 1 ) { x 1 } ) ( V ( G 2 ) { y 1 } ) m m + 1
Disclaimer/Publisher’s Note: The statements, opinions and data contained in all publications are solely those of the individual author(s) and contributor(s) and not of MDPI and/or the editor(s). MDPI and/or the editor(s) disclaim responsibility for any injury to people or property resulting from any ideas, methods, instructions or products referred to in the content.

Share and Cite

MDPI and ACS Style

Cai, J.; Lin, C.-K.; Sun, Q.; Wang, P. Conditions for Implicit-Degree Sum for Spanning Trees with Few Leaves in K1,4-Free Graphs. Mathematics 2023, 11, 4981. https://doi.org/10.3390/math11244981

AMA Style

Cai J, Lin C-K, Sun Q, Wang P. Conditions for Implicit-Degree Sum for Spanning Trees with Few Leaves in K1,4-Free Graphs. Mathematics. 2023; 11(24):4981. https://doi.org/10.3390/math11244981

Chicago/Turabian Style

Cai, Junqing, Cheng-Kuan Lin, Qiang Sun, and Panpan Wang. 2023. "Conditions for Implicit-Degree Sum for Spanning Trees with Few Leaves in K1,4-Free Graphs" Mathematics 11, no. 24: 4981. https://doi.org/10.3390/math11244981

APA Style

Cai, J., Lin, C.-K., Sun, Q., & Wang, P. (2023). Conditions for Implicit-Degree Sum for Spanning Trees with Few Leaves in K1,4-Free Graphs. Mathematics, 11(24), 4981. https://doi.org/10.3390/math11244981

Note that from the first issue of 2016, this journal uses article numbers instead of page numbers. See further details here.

Article Metrics

Back to TopTop