Analysis of Drag Coefficients around Objects Created Using Log-Aesthetic Curves
Abstract
1. Introduction
2. Modeling Incompressible Fluid Flow and the Drag Coefficient
3. Creating Same-Sized LAC Hydrofoils with Various Shapes
| Algorithm 1 Building LAC Hydrofoil with User-specified Size |
![]() |
4. Simulation and Domain Settings
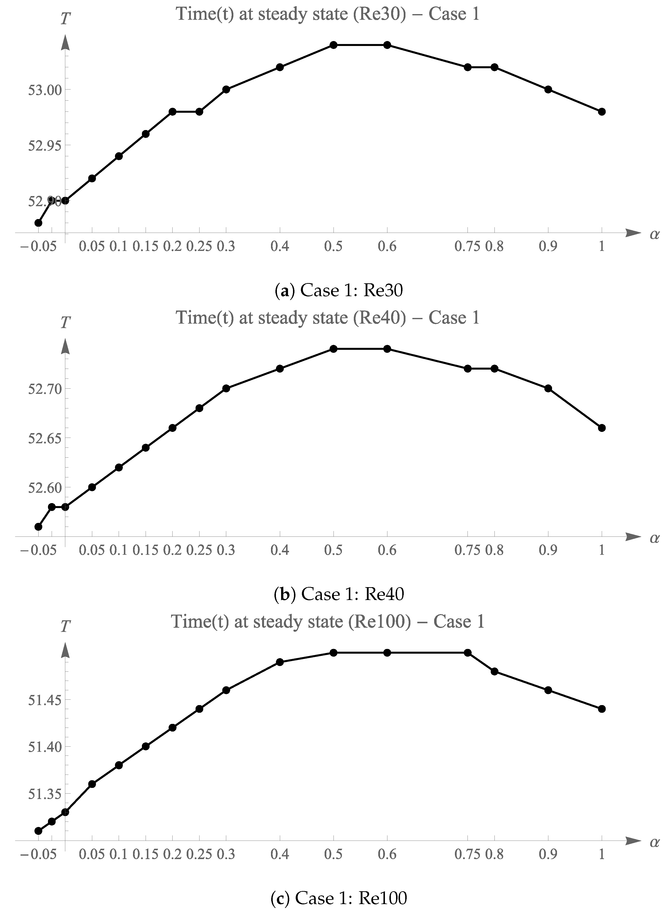
5. Results and Discussion
6. Cluster Analysis of Drag Distribution
7. Conclusions
Author Contributions
Funding
Institutional Review Board Statement
Informed Consent Statement
Data Availability Statement
Acknowledgments
Conflicts of Interest
Abbreviations
| CAD | Computer-Aided Design |
| DTW | Dynamic Time Warping |
| FEM | Finite Element Method |
| LAC | Log-Aesthetic Curve |
| LCG | Logarithmic Curvature Graph |
| LDDC | Logarithmic Distribution Diagram of Curvature |
| SBDF | Semi-Implicit Backward Difference Formula |
References
- Yoshimoto, F.; Harada, T. Analysis of the characteristics of curves in natural and factory products. In Proceedings of the 2nd IASTED International Conference on Vizualization, Imaging and Image Processing, Malaga, Spain, 9–12 September 2002; pp. 276–281. [Google Scholar]
- Harada, T.; Yoshimoto, F.; Moriyama, M. Aesthetic curve in the field of industrial design. In Proceedings of the IEEE Symposium on Visual Languages, Tokyo, Japan, 13–16 September 1999; pp. 38–47. [Google Scholar] [CrossRef]
- Miura, K.T. A general equation of aesthetic curves and its self-affinity. Comput.-Aided Des. Appl. 2006, 3, 457–464. [Google Scholar] [CrossRef]
- Gobithaasan, R.U.; Miura, K.T. Logarithmic curvature graph as a shape interrogation tool. Appl. Math. Sci. 2014, 8, 755–765. [Google Scholar] [CrossRef]
- Miura, K.T.; Shibuya, D.; Gobithaasan, R.U.; Usuki, S. Designing log-aesthetic splines with G2 continuity. Comput.-Aided Des. Appl. 2013, 10, 1021–1032. [Google Scholar] [CrossRef]
- Arslan, A.; Tari, E.; Ziatdinov, R.; Nabiyev, R.I. Transition curve modeling with kinematical properties: Research on Log-aesthetic curves. CAD Solut. LLC 2014, 11, 509–517. [Google Scholar] [CrossRef][Green Version]
- Gobithaasan, R.U.; Yip, S.W.; Miura, K.T.; Madhavan, S. Optimal path smoothing with Log-aesthetic curves based on shortest distance, minimum bending energy or curvature variation energy. Comput.-Aided Des. Appl. 2020, 17, 639–658. [Google Scholar] [CrossRef]
- Kineri, Y.; Endo, S.; Maekawa, T. Surface design based on direct curvature editing. CAD Comput. Aided Des. 2014, 55, 1–12. [Google Scholar] [CrossRef]
- Suzuki, T. Application of Log-aesthetic curves to the eaves of a wooden house. In Proceedings of the 4th International Conference on Archi-Cultural Interactions through the Silk Road, Nishinomiya, Japan, 16–18 July 2016; pp. 67–70. [Google Scholar]
- Levien, R.; Séquin, C.H. Interpolating Splines: Which is the fairest of them all? Comput.-Aided Des. Appl. 2009, 6, 91–102. [Google Scholar] [CrossRef]
- Imai, T.; Shibutani, T.; Matsui, K.; Kumagai, S.; Tran, D.T.; Mu, K.; Maekawa, T. Curvature sensitive analysis of axially compressed cylindrical tubes with corrugated surface using isogeometric analysis and experiment. Comput. Aided Geom. Des. 2016, 49, 17–30. [Google Scholar] [CrossRef]
- John, V. Reference values for drag and lift of a two-dimensional time-dependent flow around a cylinder. Int. J. Numer. Methods Fluids 2004, 44, 777–788. [Google Scholar] [CrossRef]
- Loy, K.C.; Bourgault, Y. On efficient high-order semi-implicit time-stepping schemes for unsteady incompressible Navier–Stokes equations. Comput. Fluids 2017, 148, 166–184. [Google Scholar] [CrossRef]
- Wo, M.S.; Gobithaasan, R.U.; Miura, K.T.; Loy, K.C.; Yasmeen, S.; Harun, F.N. Log-aesthetic curves and their relation to fluid flow patterns in terms of streamlines. J. Comput. Des. Eng. 2020, 8, 55–68. [Google Scholar] [CrossRef]
- Quartapelle, L. Numerical Solution of the Incompressible Navier–Stokes Equations; Springer Science & Business Media: Berlin, Germany, 1993. [Google Scholar] [CrossRef]
- Girault, V.; Raviart, P.A. Mathematical Foundation of the Stokes Problem BT—Finite Element Methods for Navier–Stokes Equations: Theory and Algorithms; Springer: Berlin/Heidelberg, Germany, 1986; pp. 1–111. [Google Scholar] [CrossRef]
- Babuška, I. The finite element method with Lagrangian multipliers. Numer. Math. 1973, 20, 179–192. [Google Scholar] [CrossRef]
- Girault, V.; Raviart, P.A. Numerical Solution of the Stokes Problem in the Primitive Variables BT—Finite Element Methods for Navier–Stokes Equations: Theory and Algorithms; Springer: Berlin/Heidelberg, Germany, 1986; pp. 112–192. [Google Scholar] [CrossRef]
- Barrenechea, G.R.; Wachtel, A. The inf-sup stability of the lowest order Taylor–Hood pair on affine anisotropic meshes. IMA J. Numer. Anal. 2020, 40, 2377–2398. [Google Scholar] [CrossRef]
- Temam, R. Navier–Stokes Equations: Theory and Numerical Analysis; American Mathematical Society: Chelsea, MA, USA, 2000. [Google Scholar]
- Yoshida, N.; Saito, T. Interactive aesthetic curve segments. Vis. Comput. 2006, 22, 896–905. [Google Scholar] [CrossRef]
- Kanaya, I.; Nakano, Y.; Sato, K. Classification of Aesthetic Curves and Surfaces for Industrial Designs. Des. Discourse 2007, 2, 4. [Google Scholar]
- Gobithasan, R.; Ali, J. Towards G2 curve design with Timmer parametric cubic. In Proceedings of the Proceedings. International Conference on Computer Graphics, Imaging and Visualization, Penang, Malaysia, 2 July 2004; pp. 109–114. [Google Scholar] [CrossRef]
- Hardie, S. Drag Estimations on Experimental Aircraft Using CFD; Technical Report; Mälardalens Högskola: Västerås, Sweden, 2006. [Google Scholar]
- Khchine, Y.E.; Sriti, M. Boundary layer and amplified grid effects on aerodynamic performances of S809 airfoil for horizontal axis wind turbine (HAWT). J. Eng. Sci. Technol. 2017, 12, 3011–3022. [Google Scholar]
- Hecht, F. New development in freefem+. J. Numer. Math. 2012, 20, 251–265. [Google Scholar] [CrossRef]
- Anderson, J.D. Fundamentals of Aerodynamics, 6th ed.; McGraw-Hill Higher Education: New York, NY, USA, 2017. [Google Scholar]
- Anderson, J.D. Introduction to Flight, 5th ed.; McGraw-Hill Higher Education: New York, NY, USA, 2004. [Google Scholar]
- Everitt, B.S.; Landau, S.; Leese, M.; Stahl, D. Cluster Analysis, 5th ed.; John Wiley & Sons: Hoboken, NJ, USA, 2011. [Google Scholar]
- Everitt, B.S.; Dunn, G. Applied Multivariate Data Analysis, 2nd ed.; John Wiley & Sons: Hoboken, NJ, USA, 2001. [Google Scholar] [CrossRef]
- Aghabozorgi, S.; Seyed Shirkhorshidi, A.; Teh, Y.W. Time-series clustering—A decade review. Inf. Syst. 2015, 53, 16–38. [Google Scholar] [CrossRef]
- Senin, P. Dynamic Time Warping Algorithm Review. Science 2008, 855, 40. [Google Scholar]
- Sobolewska, E. Dynamic Time Warping (DTW) as a Mean to Cluster Time Series. 2022. Available online: https://rstudio-pubs-static.s3.amazonaws.com/474160_0761428e8683401e941a92a4177254a4.html (accessed on 1 December 2022).
- Fiore, G.; Anderson, E.; Garborg, C.S.; Murray, M.; Johnson, M.; Moore, M.J.; Howle, L.; Shorter, K.A. From the track to the ocean: Using flow control to improve marine bio-logging tags for cetaceans. PLoS ONE 2017, 12, e0170962. [Google Scholar] [CrossRef] [PubMed]
- Bridel-Bertomeu, T.; Fovet, B.; Tierny, J.; Vivodtzev, F. Topological Analysis of High Velocity Turbulent Flow. In Proceedings of the 2019 IEEE 9th Symposium on Large Data Analysis and Visualization (LDAV), Vancouver, BC, Canada, 21 October 2019; pp. 87–88. [Google Scholar] [CrossRef]






















| Case 1 | Case 2 | Case 3 | |
|---|---|---|---|
| −0.25 | - | - | 0.521258 |
| −0.05 | 0.446640 | 0.475329 | 0.522634 |
| −0.025 | 0.446800 | - | - |
| 0 | 0.446969 | 0.475734 | 0.522961 |
| 0.05 | 0.447340 | 0.476112 | 0.523232 |
| 0.1 | 0.447697 | 0.476487 | 0.523516 |
| 0.15 | 0.448072 | 0.476843 | 0.523750 |
| 0.2 | 0.448431 | - | - |
| 0.25 | 0.448761 | 0.477721 | 0.524190 |
| 0.3 | 0.449071 | 0.47815 | 0.524372 |
| 0.4 | 0.449556 | 0.478454 | 0.524683 |
| 0.5 | 0.449860 | 0.478641 | 0.524931 |
| 0.6 | 0.450000 | 0.47869 | 0.525093 |
| 0.75 | 0.449951 | 0.47866 | 0.525211 |
| 0.8 | 0.449783 | 0.478519 | 0.525236 |
| 0.9 | 0.449555 | 0.478327 | 0.525195 |
| 1 | 0.449168 | 0.477669 | 0.525139 |
| 1.2 | - | 0.475734 | - |
| 1.5 | - | - | 0.524178 |
| Case 1 | Case 2 | Case 3 | |
|---|---|---|---|
| −0.25 | - | - | 0.448448 |
| −0.05 | 0.37942 | 0.405816 | 0.449585 |
| −0.025 | 0.379562 | - | - |
| 0 | 0.379712 | 0.406168 | 0.449856 |
| 0.05 | 0.380041 | 0.406495 | 0.450076 |
| 0.1 | 0.380358 | 0.406821 | 0.450311 |
| 0.15 | 0.38069 | 0.407127 | 0.450501 |
| 0.2 | 0.381008 | - | - |
| 0.25 | 0.381299 | 0.407885 | 0.450860 |
| 0.3 | 0.381575 | 0.408255 | 0.451006 |
| 0.4 | 0.382005 | 0.408515 | 0.451255 |
| 0.5 | 0.382276 | 0.408674 | 0.451452 |
| 0.6 | 0.382403 | 0.408714 | 0.451575 |
| 0.75 | 0.382372 | 0.408688 | 0.451655 |
| 0.8 | 0.382229 | 0.408566 | 0.451671 |
| 0.9 | 0.38204 | 0.408403 | 0.451623 |
| 1 | 0.381712 | 0.407844 | 0.451566 |
| 1.2 | - | 0.407665 | - |
| 1.5 | - | - | 0.450725 |
| Case 1 | Case 2 | Case 3 | |
|---|---|---|---|
| −0.25 | - | - | 0.285798 |
| −0.05 | 0.230045 | 0.250844 | 0.286243 |
| −0.025 | 0.230138 | - | - |
| 0 | 0.230236 | 0.251051 | 0.286353 |
| 0.05 | 0.230454 | 0.251242 | 0.286429 |
| 0.1 | 0.230660 | 0.251431 | 0.286522 |
| 0.15 | 0.230879 | 0.251607 | 0.286585 |
| 0.2 | 0.231089 | - | - |
| 0.25 | 0.231278 | 0.251917 | 0.286711 |
| 0.3 | 0.231461 | 0.252042 | 0.286755 |
| 0.4 | 0.231748 | 0.252250 | 0.286825 |
| 0.5 | 0.231933 | 0.252394 | 0.286874 |
| 0.6 | 0.232026 | 0.252478 | 0.286883 |
| 0.75 | 0.232035 | 0.252487 | 0.286845 |
| 0.8 | 0.231950 | 0.252469 | 0.286833 |
| 0.9 | 0.231858 | 0.252392 | 0.286756 |
| 1 | 0.231678 | 0.252301 | 0.286686 |
| 1.2 | - | 0.251984 | - |
| 1.5 | - | - | 0.286111 |
| Case 1 () | Case 2 () | Case 3 () | ||||
|---|---|---|---|---|---|---|
| 0.6 | 0.450000 | 0.75 | 0.478660 | 0.8 | 0.525236 | |
| 0.6 | 0.382403 | 0.75 | 0.408688 | 0.8 | 0.451671 | |
| 0.75 | 0.232035 | 0.75 | 0.252487 | 0.6 | 0.286883 | |
Disclaimer/Publisher’s Note: The statements, opinions and data contained in all publications are solely those of the individual author(s) and contributor(s) and not of MDPI and/or the editor(s). MDPI and/or the editor(s) disclaim responsibility for any injury to people or property resulting from any ideas, methods, instructions or products referred to in the content. |
© 2022 by the authors. Licensee MDPI, Basel, Switzerland. This article is an open access article distributed under the terms and conditions of the Creative Commons Attribution (CC BY) license (https://creativecommons.org/licenses/by/4.0/).
Share and Cite
Wo, M.S.; Gobithaasan, R.U.; Miura, K.T.; Loy, K.C.; Harun, F.N. Analysis of Drag Coefficients around Objects Created Using Log-Aesthetic Curves. Mathematics 2023, 11, 103. https://doi.org/10.3390/math11010103
Wo MS, Gobithaasan RU, Miura KT, Loy KC, Harun FN. Analysis of Drag Coefficients around Objects Created Using Log-Aesthetic Curves. Mathematics. 2023; 11(1):103. https://doi.org/10.3390/math11010103
Chicago/Turabian StyleWo, Mei Seen, R.U. Gobithaasan, Kenjiro T. Miura, Kak Choon Loy, and Fatimah Noor Harun. 2023. "Analysis of Drag Coefficients around Objects Created Using Log-Aesthetic Curves" Mathematics 11, no. 1: 103. https://doi.org/10.3390/math11010103
APA StyleWo, M. S., Gobithaasan, R. U., Miura, K. T., Loy, K. C., & Harun, F. N. (2023). Analysis of Drag Coefficients around Objects Created Using Log-Aesthetic Curves. Mathematics, 11(1), 103. https://doi.org/10.3390/math11010103


